Poly-L-Arginine Molecule Properties in Simple Electrolytes: Molecular Dynamic Modeling and Experiments
Abstract
:1. Introduction
2. Experimental Section
2.1. Materials and Methods
2.2. Theoretical Modeling
3. Results and Discussion
3.1. Theoretical Modeling Results
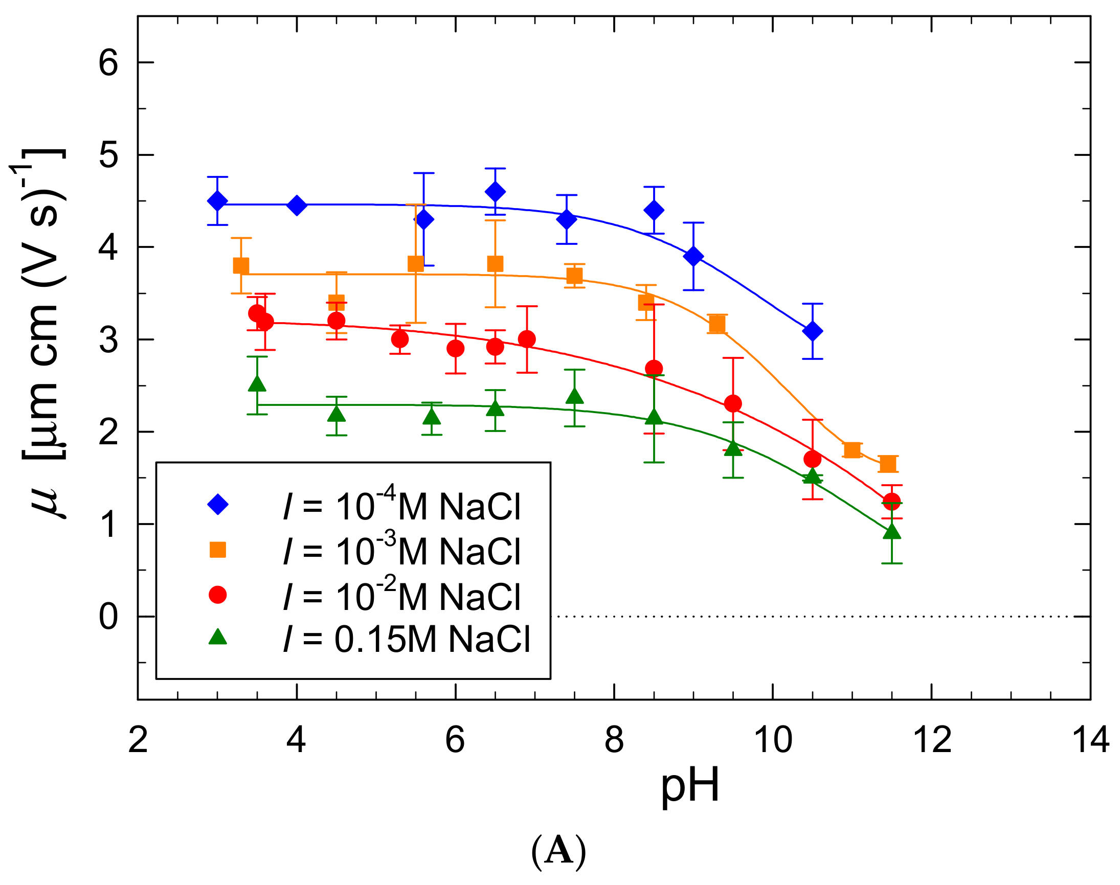
3.2. Experimental Characteristics of P-Arg Solutions
3.3. Dynamic Viscosity Measurements
4. Conclusions
Supplementary Materials
Author Contributions
Funding
Acknowledgments
Conflicts of Interest
References
- Gardini, D.; Lüscher, C.J.; Struve, C.; Krogfelt, K.A. Chapter 4—Tailored nanomaterials for antimicrobial applications. In Fundamentals of Nanoparticles; Barhoum, A., Hamdy Makhlouf, A.S., Eds.; Micro and Nano Technologies; Elsevier: Amsterdam, The Netherlands, 2018; pp. 71–104. ISBN 978-0-323-51255-8. [Google Scholar]
- Bolto, B.; Gregory, J. Organic polyelectrolytes in water treatment. Water Res. 2007, 41, 2301–2324. [Google Scholar] [CrossRef] [PubMed]
- Nicu, R.; Bobu, E.; Desbrieres, J. Chitosan as cationic polyelectrolyte in wet-end papermaking systems. Cellul. Chem. Technol. 2011, 45, 105. [Google Scholar]
- Craig, M.; Holmberg, K.; Le Ru, E.; Etchegoin, P. Polypeptide Multilayer Self-Assembly Studied by Ellipsometry. J. Drug Deliv. 2014, 2014, e424697. [Google Scholar] [CrossRef] [PubMed]
- Wang, S.; Chen, K.; Xu, Y.; Yu, X.; Wang, W.; Li, L.; Guo, X. Protein immobilization and separation using anionic/cationic spherical polyelectrolyte brushes based on charge anisotropy. Soft Matter 2013, 9, 11276–11287. [Google Scholar] [CrossRef]
- Patel, L.N.; Zaro, J.L.; Shen, W.-C. Cell Penetrating Peptides: Intracellular Pathways and Pharmaceutical Perspectives. Pharm. Res. 2007, 24, 1977–1992. [Google Scholar] [CrossRef]
- Zhu, X.; Jańczewski, D.; Lee, S.S.C.; Teo, S.L.-M.; Vancso, G.J. Cross-Linked Polyelectrolyte Multilayers for Marine Antifouling Applications. ACS Appl. Mater. Interfaces 2013, 5, 5961–5968. [Google Scholar] [CrossRef]
- Rodriguez-Abetxuko, A.; Sánchez-deAlcázar, D.; Muñumer, P.; Beloqui, A. Tunable Polymeric Scaffolds for Enzyme Immobilization. Front. Bioeng. Biotechnol. 2020, 8, 830. [Google Scholar] [CrossRef]
- Ambade, A.V.; Sandanaraj, B.S.; Klaikherd, A.; Thayumanavan, S. Fluorescent polyelectrolytes as protein sensors. Polym. Int. 2007, 56, 474–481. [Google Scholar] [CrossRef]
- Hashimoto, T.; Kawazu, T.; Nagasaki, T.; Murakami, A.; Yamaoka, T. Quantitative comparison between poly(L-arginine) and poly(L-lysine) at each step of polyplex-based gene transfection using a microinjection technique. Sci. Technol. Adv. Mater. 2012, 13, 015009. [Google Scholar] [CrossRef] [Green Version]
- Ferrari, P.F.; Zattera, E.; Pastorino, L.; Perego, P.; Palombo, D. Dextran/poly-L-arginine multi-layered CaCO3-based nanosystem for vascular drug delivery. Int. J. Biol. Macromol. 2021, 177, 548–558. [Google Scholar] [CrossRef]
- Kim, E.-J.; Shim, G.; Kim, K.; Kwon, I.C.; Oh, Y.-K.; Shim, C.-K. Hyaluronic acid complexed to biodegradable poly L-arginine for targeted delivery of siRNAs. J. Gene Med. 2009, 11, 791–803. [Google Scholar] [CrossRef]
- Kar, M.; Tiwari, N.; Tiwari, M.; Lahiri, M.; Gupta, S.S. Poly-L-Arginine Grafted Silica Mesoporous Nanoparticles for Enhanced Cellular Uptake and their Application in DNA Delivery and Controlled Drug Release. Part. Part. Syst. Charact. 2013, 30, 166–179. [Google Scholar] [CrossRef]
- Luo, R.; Venkatraman, S.S.; Neu, B. Layer-by-Layer Polyelectrolyte–Polyester Hybrid Microcapsules for Encapsulation and Delivery of Hydrophobic Drugs. Biomacromolecules 2013, 14, 2262–2271. [Google Scholar] [CrossRef]
- Ariga, K.; Lvov, Y.M.; Kawakami, K.; Ji, Q.; Hill, J.P. Layer-by-layer self-assembled shells for drug delivery. Adv. Drug Deliv. Rev. 2011, 63, 762–771. [Google Scholar] [CrossRef]
- Sepahi, M.; Jalal, R.; Mashreghi, M. Antibacterial activity of poly-l-arginine under different conditions. Iran J. Microbiol. 2017, 9, 103–111. [Google Scholar]
- Fitch, C.A.; Platzer, G.; Okon, M.; Garcia-Moreno E, B.; McIntosh, L.P. Arginine: Its pKa value revisited. Protein Sci. 2015, 24, 752–761. [Google Scholar] [CrossRef] [Green Version]
- Lewis, C.; Hughes, B.H.; Vasquez, M.; Wall, A.M.; Northrup, V.L.; Witzleb, T.J.; Billiot, E.J.; Fang, Y.; Billiot, F.H.; Morris, K.F. Effect of pH on the Binding of Sodium, Lysine, and Arginine Counterions to l-Undecyl Leucinate Micelles. J. Surfact Deterg. 2016, 19, 1175–1188. [Google Scholar] [CrossRef]
- Tanvir, F.; Yaqub, A.; Tanvir, S.; Anderson, W.A. Poly-L-arginine Coated Silver Nanoprisms and Their Anti-Bacterial Properties. Nanomaterials 2017, 7, 296. [Google Scholar] [CrossRef] [Green Version]
- Li, J.; Liu, S.; Lakshminarayanan, R.; Bai, Y.; Pervushin, K.; Verma, C.; Beuerman, R.W. Molecular simulations suggest how a branched antimicrobial peptide perturbs a bacterial membrane and enhances permeability. Biochim. Biophys. Acta BBA Biomembr. 2013, 1828, 1112–1121. [Google Scholar] [CrossRef] [Green Version]
- Webber, J.L.; Benbow, N.L.; Krasowska, M.; Beattie, D.A. Formation and enzymatic degradation of poly-l-arginine/fucoidan multilayer films. Colloids Surf. B Biointerfaces 2017, 159, 468–476. [Google Scholar] [CrossRef]
- Mattner, F.; Fleitmann, J.-K.; Lingnau, K.; Schmidt, W.; Egyed, A.; Fritz, J.; Zauner, W.; Wittmann, B.; Gorny, I.; Berger, M.; et al. Vaccination with Poly-l-Arginine As Immunostimulant for Peptide Vaccines: Induction of Potent and Long-Lasting T-Cell Responses against Cancer Antigens. Cancer Res. 2002, 62, 1477–1480. [Google Scholar]
- Kudo, S.; Nagasaki, Y. A novel nitric oxide-based anticancer therapeutics by macrophage-targeted poly(l-arginine)-based nanoparticles. J. Control. Release 2015, 217, 256–262. [Google Scholar] [CrossRef] [PubMed]
- Laisney, J.; Gurusamy, D.; Baddar, Z.E.; Palli, S.R.; Unrine, J.M. RNAi in Spodoptera frugiperda Sf9 Cells via Nanomaterial Mediated Delivery of dsRNA: A Comparison of Poly-l-arginine Polyplexes and Poly-l-arginine-Functionalized Au Nanoparticles. ACS Appl. Mater. Interfaces 2020, 12, 25645–25657. [Google Scholar] [CrossRef] [PubMed]
- Barreira, S.V.P.; Silva, F. Surface Modification Chemistry Based on the Electrostatic Adsorption of Poly-l-arginine onto Alkanethiol Modified Gold Surfaces. Langmuir 2003, 19, 10324–10331. [Google Scholar] [CrossRef]
- Cao, Q.; Zhao, H.; Yang, Y.; He, Y.; Ding, N.; Wang, J.; Wu, Z.; Xiang, K.; Wang, G. Electrochemical immunosensor for casein based on gold nanoparticles and poly(l-Arginine)/multi-walled carbon nanotubes composite film functionalized interface. Biosens. Bioelectron. 2011, 26, 3469–3474. [Google Scholar] [CrossRef] [PubMed]
- Maleki, N.; Kashanian, S.; Nazari, M.; Shahabadi, N. A novel sensitive laccase biosensor using gold nanoparticles and poly L-arginine to detect catechol in natural water. Biotechnol. Appl. Biochem. 2019, 66, 502–509. [Google Scholar] [CrossRef] [PubMed]
- Van den Berg, A.I.S.; Yun, C.-O.; Schiffelers, R.M.; Hennink, W.E. Polymeric delivery systems for nucleic acid therapeutics: Approaching the clinic. J. Control. Release 2021, 331, 121–141. [Google Scholar] [CrossRef]
- Naik, R.J.; Chandra, P.; Mann, A.; Ganguli, M. Exogenous and Cell Surface Glycosaminoglycans Alter DNA Delivery Efficiency of Arginine and Lysine Homopeptides in Distinctly Different Ways *. J. Biol. Chem. 2011, 286, 18982–18993. [Google Scholar] [CrossRef] [Green Version]
- Kurosaki, T.; Kitahara, T.; Kawakami, S.; Higuchi, Y.; Yamaguchi, A.; Nakagawa, H.; Kodama, Y.; Hamamoto, T.; Hashida, M.; Sasaki, H. γ-Polyglutamic acid-coated vectors for effective and safe gene therapy. J. Control. Release 2010, 142, 404–410. [Google Scholar] [CrossRef] [Green Version]
- Hayakawa, T.; Kondo, Y.; Yamamoto, H. Secondary Structure of Poly-L-arginine and Its Derivatives. BCSJ 1969, 42, 1937–1941. [Google Scholar] [CrossRef]
- Miyamoto, M.; Natsume, H.; Iwata, S.; Ohtake, K.; Yamaguchi, M.; Kobayashi, D.; Sugibayashi, K.; Yamashina, M.; Morimoto, Y. Improved nasal absorption of drugs using poly-l-arginine: Effects of concentration and molecular weight of poly-l-arginine on the nasal absorption of fluorescein isothiocyanate–dextran in rats. Eur. J. Pharm. Biopharm. 2001, 52, 21–30. [Google Scholar] [CrossRef]
- Garrido, C.; Aguayo, T.; Clavijo, E.; Gómez-Jeria, J.S.; Campos-Vallette, M.M. The effect of the pH on the interaction of L-arginine with colloidal silver nanoparticles. A Raman and SERS study. J. Raman Spectrosc. 2013, 44, 1105–1110. [Google Scholar] [CrossRef]
- Opanasopit, P.; Tragulpakseerojn, J.; Apirakaramwong, A.; Ngawhirunpat, T.; Rojanarata, T.; Ruktanonchai, U. The development of poly-L-arginine-coated liposomes for gene delivery. Int. J. Nanomed. 2011, 6, 2245–2252. [Google Scholar] [CrossRef] [Green Version]
- Schwieger, C.; Blume, A. Interaction of Poly(l-arginine) with Negatively Charged DPPG Membranes: Calorimetric and Monolayer Studies. Biomacromolecules 2009, 10, 2152–2161. [Google Scholar] [CrossRef]
- Porus, M.; Maroni, P.; Borkovec, M. Response of Adsorbed Polyelectrolyte Monolayers to Changes in Solution Composition. Langmuir 2012, 28, 17506–17516. [Google Scholar] [CrossRef]
- Porus, M.; Maroni, P.; Borkovec, M. Structure of Adsorbed Polyelectrolyte Monolayers Investigated by Combining Optical Reflectometry and Piezoelectric Techniques. Langmuir 2012, 28, 5642–5651. [Google Scholar] [CrossRef]
- Morga, M.; Adamczyk, Z.; Gödrich, S.; Oćwieja, M.; Papastavrou, G. Monolayers of poly-l-lysine on mica—Electrokinetic characteristics. J. Colloid Interface Sci. 2015, 456, 116–124. [Google Scholar] [CrossRef]
- Morga, M.; Michna, A.; Adamczyk, Z. Formation and stability of polyelectrolyte/polypeptide monolayers determined by electrokinetic measurements. Colloids Surf. A Physicochem. Eng. Asp. 2017, 529, 302–310. [Google Scholar] [CrossRef]
- Micsonai, A.; Wien, F.; Bulyáki, É.; Kun, J.; Moussong, É.; Lee, Y.-H.; Goto, Y.; Réfrégiers, M.; Kardos, J. BeStSel: A web server for accurate protein secondary structure prediction and fold recognition from the circular dichroism spectra. Nucleic Acids Res. 2018, 46, W315–W322. [Google Scholar] [CrossRef]
- Micsonai, A.; Wien, F.; Kernya, L.; Lee, Y.-H.; Goto, Y.; Réfrégiers, M.; Kardos, J. Accurate secondary structure prediction and fold recognition for circular dichroism spectroscopy. PNAS 2015, 112, E3095–E3103. [Google Scholar] [CrossRef] [Green Version]
- Berendsen, H.J.C.; van der Spoel, D.; van Drunen, R. GROMACS: A message-passing parallel molecular dynamics implementation. Comput. Phys. Commun. 1995, 91, 43–56. [Google Scholar] [CrossRef]
- Lindahl, E.; Hess, B.; Spoel, D. van der GROMACS 3.0: A package for molecular simulation and trajectory analysis. J. Mol. Model 2001, 7, 306–317. [Google Scholar] [CrossRef]
- Adamczyk, Z.; Morga, M.; Kosior, D.; Batys, P. Conformations of Poly- L-lysine Molecules in Electrolyte Solutions: Modeling and Experimental Measurements. J. Phys. Chem. C 2018, 122, 23180–23190. [Google Scholar] [CrossRef] [Green Version]
- Duan, Y.; Wu, C.; Chowdhury, S.; Lee, M.C.; Xiong, G.; Zhang, W.; Yang, R.; Cieplak, P.; Luo, R.; Lee, T.; et al. A point-charge force field for molecular mechanics simulations of proteins based on condensed-phase quantum mechanical calculations. J. Comput. Chem. 2003, 24, 1999–2012. [Google Scholar] [CrossRef]
- Jorgensen, W.L.; Chandrasekhar, J.; Madura, J.D.; Impey, R.W.; Klein, M.L. Comparison of simple potential functions for simulating liquid water. J. Chem. Phys. 1983, 79, 926–935. [Google Scholar] [CrossRef]
- Hanwell, M.D.; Curtis, D.E.; Lonie, D.C.; Vandermeersch, T.; Zurek, E.; Hutchison, G.R. Avogadro: An advanced semantic chemical editor, visualization, and analysis platform. J. Cheminformatics 2012, 4, 17. [Google Scholar] [CrossRef] [Green Version]
- Bussi, G.; Donadio, D.; Parrinello, M. Canonical sampling through velocity rescaling. J. Chem. Phys. 2007, 126, 014101. [Google Scholar] [CrossRef] [Green Version]
- Parrinello, M.; Rahman, A. Polymorphic transitions in single crystals: A new molecular dynamics method. J. Appl. Phys. 1981, 52, 7182–7190. [Google Scholar] [CrossRef]
- Hess, B.; Bekker, H.; Berendsen, H.J.C.; Fraaije, J.G.E.M. LINCS: A linear constraint solver for molecular simulations. J. Comput. Chem 1997, 1463–1472. [Google Scholar] [CrossRef]
- Miyamoto, S.; Kollman, P.A. Settle: An analytical version of the SHAKE and RATTLE algorithm for rigid water models. J. Comput. Chem. 1992, 13, 952–962. [Google Scholar] [CrossRef]
- Humphrey, W.; Dalke, A.; Schulten, K. VMD: Visual molecular dynamics. J. Mol. Graph. 1996, 14, 33–38. [Google Scholar] [CrossRef]
- Adamczyk, Z.; Jamroży, K.; Batys, P.; Michna, A. Influence of ionic strength on poly(diallyldimethylammonium chloride) macromolecule conformations in electrolyte solutions. J. Colloid Interface Sci. 2014, 435, 182–190. [Google Scholar] [CrossRef]
- Michna, A.; Batys, P.; Morga, M.; Pomorska, A.; Wytrwal-Sarna, M.; Kepczynski, M.; Adamczyk, Z. Formation of Strong Polycation (Poly[(3-allylamino-2-hydroxypropyl)trimethylammonium chloride]) Monolayers on Mica, Silica, and Gold Substrates: Modeling and Experimental Studies. J. Phys. Chem. C 2019, 123, 19022–19032. [Google Scholar] [CrossRef]
- Batys, P.; Morga, M.; Bonarek, P.; Sammalkorpi, M. pH-Induced Changes in Polypeptide Conformation: Force-Field Comparison with Experimental Validation. J. Phys. Chem. B 2020, 124, 2961–2972. [Google Scholar] [CrossRef]
- Michna, A.; Adamczyk, Z.; Kubiak, K.; Jamroży, K. Formation of PDADMAC monolayers evaluated in situ by QCM and streaming potential measurements. J. Colloid Interface Sci. 2014, 428, 170–177. [Google Scholar] [CrossRef]
- Morga, M.; Adamczyk, Z.; Kosior, D. Silica nanoparticle monolayers on a macroion modified surface: Formation mechanism and stability. Phys. Chem. Chem. Phys. 2017, 19, 22721–22732. [Google Scholar] [CrossRef]
- Adamczyk, Z.; Zembala, M.; Warszyński, P.; Jachimska, B. Characterization of polyelectrolyte multilayers by the streaming potential method. Langmuir 2004, 20, 10517–10525. [Google Scholar] [CrossRef]
- Morga, M.; Adamczyk, Z. Monolayers of cationic polyelectrolytes on mica – Electrokinetic studies. J. Colloid Interface Sci. 2013, 407, 196–204. [Google Scholar] [CrossRef]
- Michna, A.; Adamczyk, Z.; Batys, P. Mapping single macromolecule chains using the colloid deposition method: PDADMAC on mica. J. Colloid Interface Sci. 2015, 450, 82–90. [Google Scholar] [CrossRef]
- Brenner, H. Rheology of a dilute suspension of axisymmetric Brownian particles. Int. J. Multiph. Flow 1974, 1, 195–341. [Google Scholar] [CrossRef]
- Almutairi, F.M.; Adams, G.G.; Kök, M.S.; Lawson, C.J.; Gahler, R.; Wood, S.; Foster, T.J.; Rowe, A.J.; Harding, S.E. An analytical ultracentrifugation based study on the conformation of lambda carrageenan in aqueous solution. Carbohydr. Polym. 2013, 97, 203–209. [Google Scholar] [CrossRef] [PubMed]











| Quantity (Unit), Symbol | Value | Remarks |
|---|---|---|
| Chemical structure of monomer | ![]() | Monomer molar mass, M1 = 0.174 kg mol−1 |
| Density (kg m−3), ρp | 1.58 ± 0.03 × 103 | This work, MD modeling |
| Monomer volume (nm3), ν1 | 0.183 ± 0.002 | Calculated as M1/(Av ρp) |
| Monomer length for the extended chain (nm), lm | 0.333 ± 0.001 | This work, MD modeling |
| Quantity (Unit), Symbol | Number of Monomers, Nm | |||||
|---|---|---|---|---|---|---|
| 25 | 30 | 35 | 40 | 45 | 50 | |
| Average end-to-end distance (nm) | 5.95 ± 0.01 | 6.42 ± 0.01 | 8.17 ± 0.01 | 8.93 ± 0.01 | 10.24 ± 0.01 | 10.78 ± 0.01 |
| Maximum end-to-end distance (nm) (contour length) | 8.38 ± 0.01 | 9.89 ± 0.01 | 11.48 ± 0.01 | 13.24 ± 0.01 | 15.16 ± 0.01 | 16.77 ± 0.01 |
| Molecule volume (nm3), vm | 4.58 ± 0.05 | 5.49 ± 0.06 | 6.41 ± 0.7 | 7.32 ± 0.08 | 8.24 ± 0.09 | 9.15 ± 0.10 |
| Chain diameter (nm), dc (I = 10−3 M) | 1.00 ± 0.02 | 1.04 ± 0.02 | 1.00 ± 0.02 | 1.02 ± 0.02 | 1.01 ± 0.02 | 1.04 ± 0.01 |
| Diameter of extended chain (nm) (I = 0 M) | 0.83 ± 0.02 | 0.84 ± 0.02 | 0.84 ± 0.02 | 0.84 ± 0.02 | 0.83 ± 0.02 | 0.83 ± 0.02 |
| pH | α-Helix | β-Sheet | Turn | Others | NRMSD |
|---|---|---|---|---|---|
| 5.7 | 1 | 31 | 18 | 50 | 0.0393 |
| 9.9 | 0 | 33 | 16 | 51 | 0.0454 |
| 10.4 | 0 | 29 | 18 | 53 | 0.038 |
| 10.8 | 13 | 23 | 13 | 51 | 0.0507 |
| 11.3 | 15 | 21 | 13 | 51 | 0.052 |
| Quantity (Unit), Symbol | Value | Remarks |
|---|---|---|
| Average molar mass (kg mol−1), Mn | 42 | Manufacturer, viscosity method |
| Density (kg m−3), ρp | 1.5 ± 0.04 × 103 | This work, dilution method |
| Average number of monomers in the molecule, | 241 ± 10 | Calculated as Mn/M1 |
| Average molecule volume (nm3), νp | 46.5 | Calculated as 1027 × Mn/(ρp Av) |
| Equivalent sphere diameter (nm) | 4.73 | Calculated as: (6 νp/π)1/3 |
| Extended length (maximum) (nm), | 84 | Predicted from the cylinder (rod) model: 4 νp/(π dc2) |
| 80 | Calculated as: lm | |
| Average aspect ratio parameter, λ | 100 | Calculated from the cylinder (rod) model, /dc |
| 96 | Predicted from MD calculations |
| I (M) | κ−1 (nm) | D (m2 s−1) | dH (nm) | μe (μm cm (V s)−1) | ζ (mV) | Nc | α* |
|---|---|---|---|---|---|---|---|
| 1 × 10−5 | 68.7 | 2.9 ± 0.4 × 10−11 | 17 ± 5 | 4.7 ± 0.25 | 85 | 63 | 0.26 |
| 10−4 | 30.5 | 4.1 ± 0.4 × 10−11 | 12 ± 3 | 4.2 ± 0.25 | 78 | 40 | 0.17 |
| 10−3 | 9.63 | 4.5 ± 0.4 × 10−11 | 11 ± 3 | 3.7 ± 0.25 | 70 | 32 | 0.13 |
| 10−2 | 3.05 | 4.9 ± 0.3 × 10−11 | 10 ± 2 | 3.2 ± 0.2 | 55 | 25 | 0.10 |
| 0.15 | 0.786 | 6.1 ± 0.3 × 10−11 | 8 ± 3 | 2.1 ± 0.2 | 38 | 13 | 0.04 |
| cNaCl [M] | [η] [1] | λ [1] | Lc [nm] | dc [nm] |
|---|---|---|---|---|
| 10−6 | 560 * | 97 * | 81 * | 0.84 0.84 ± 0.02 ** |
| 10−5 | 490 ± 10 | 89 ± 3 | 79 ± 3 | 0.87 ± 0.02 |
| 10−4 | 360 ± 10 | 75 ± 3 | 70 ± 3 | 0.93 ± 0.02 |
| 10−3 | 180 ± 10 | 51 ± 3 | 54 ± 2 | 1.06 ± 0.03 1.03 ± 0.02 ** |
| 10−2 | 90 ± 5 | 34 ± 2 | 41 ± 2 | 1.2 ± 0.05 |
| 0.15 | 62 ± 5 | 28 ± 2 | 36 ± 2 | 1.3 ± 0.05 |
Publisher’s Note: MDPI stays neutral with regard to jurisdictional claims in published maps and institutional affiliations. |
© 2022 by the authors. Licensee MDPI, Basel, Switzerland. This article is an open access article distributed under the terms and conditions of the Creative Commons Attribution (CC BY) license (https://creativecommons.org/licenses/by/4.0/).
Share and Cite
Morga, M.; Batys, P.; Kosior, D.; Bonarek, P.; Adamczyk, Z. Poly-L-Arginine Molecule Properties in Simple Electrolytes: Molecular Dynamic Modeling and Experiments. Int. J. Environ. Res. Public Health 2022, 19, 3588. https://doi.org/10.3390/ijerph19063588
Morga M, Batys P, Kosior D, Bonarek P, Adamczyk Z. Poly-L-Arginine Molecule Properties in Simple Electrolytes: Molecular Dynamic Modeling and Experiments. International Journal of Environmental Research and Public Health. 2022; 19(6):3588. https://doi.org/10.3390/ijerph19063588
Chicago/Turabian StyleMorga, Maria, Piotr Batys, Dominik Kosior, Piotr Bonarek, and Zbigniew Adamczyk. 2022. "Poly-L-Arginine Molecule Properties in Simple Electrolytes: Molecular Dynamic Modeling and Experiments" International Journal of Environmental Research and Public Health 19, no. 6: 3588. https://doi.org/10.3390/ijerph19063588
APA StyleMorga, M., Batys, P., Kosior, D., Bonarek, P., & Adamczyk, Z. (2022). Poly-L-Arginine Molecule Properties in Simple Electrolytes: Molecular Dynamic Modeling and Experiments. International Journal of Environmental Research and Public Health, 19(6), 3588. https://doi.org/10.3390/ijerph19063588


