Menthol Mouth Rinsing Maintains Relative Power Production during Three-Minute Maximal Cycling Performance in the Heat Compared to Cold Water and Placebo Rinsing
Abstract
1. Introduction
2. Materials and Methods
2.1. Participants
2.2. General Design
2.3. Experimental Procedure
2.3.1. Physiological Measures
2.3.2. Perceptual Measures
2.3.3. Solution Formulation
2.4. Statistical Analysis
3. Results
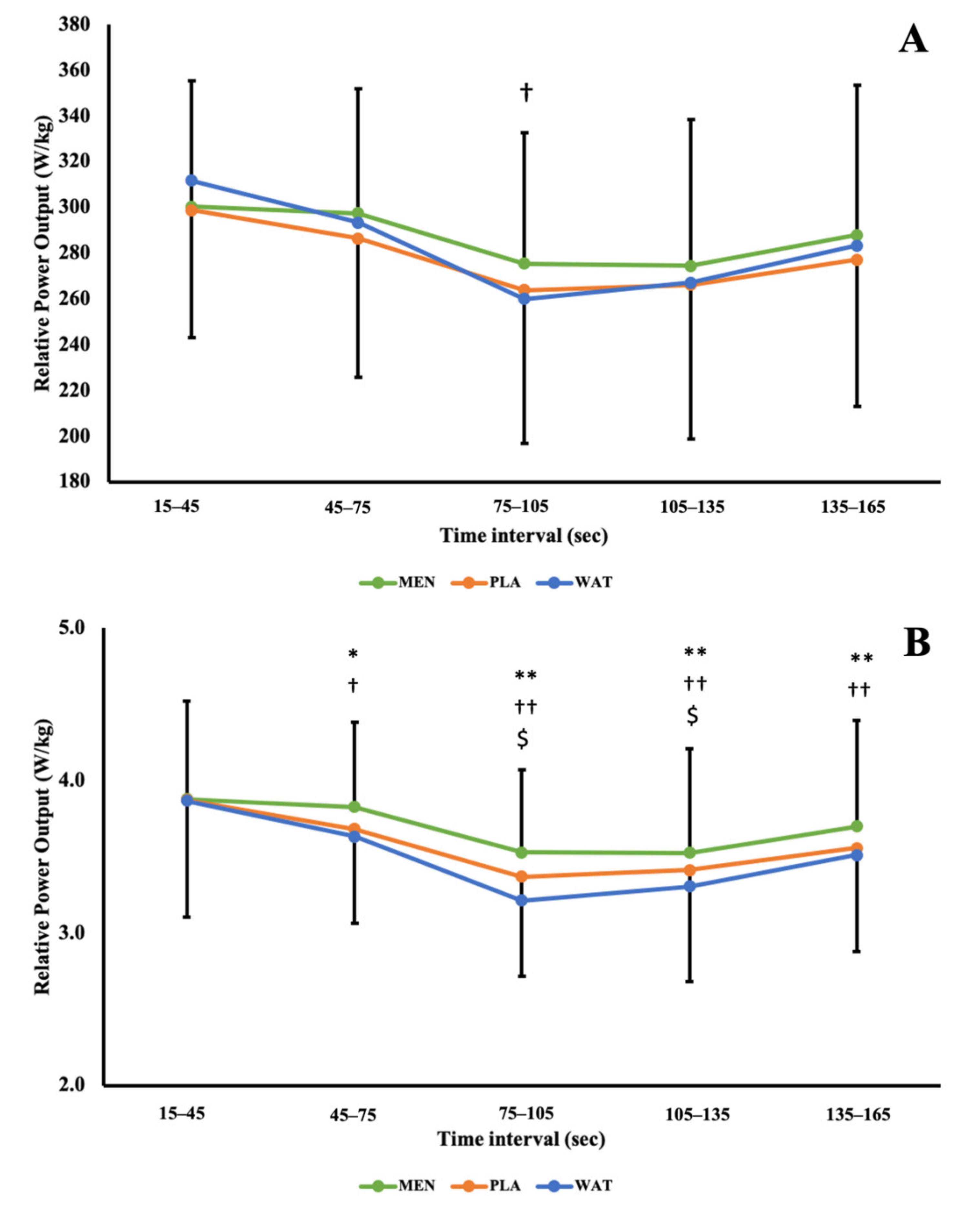
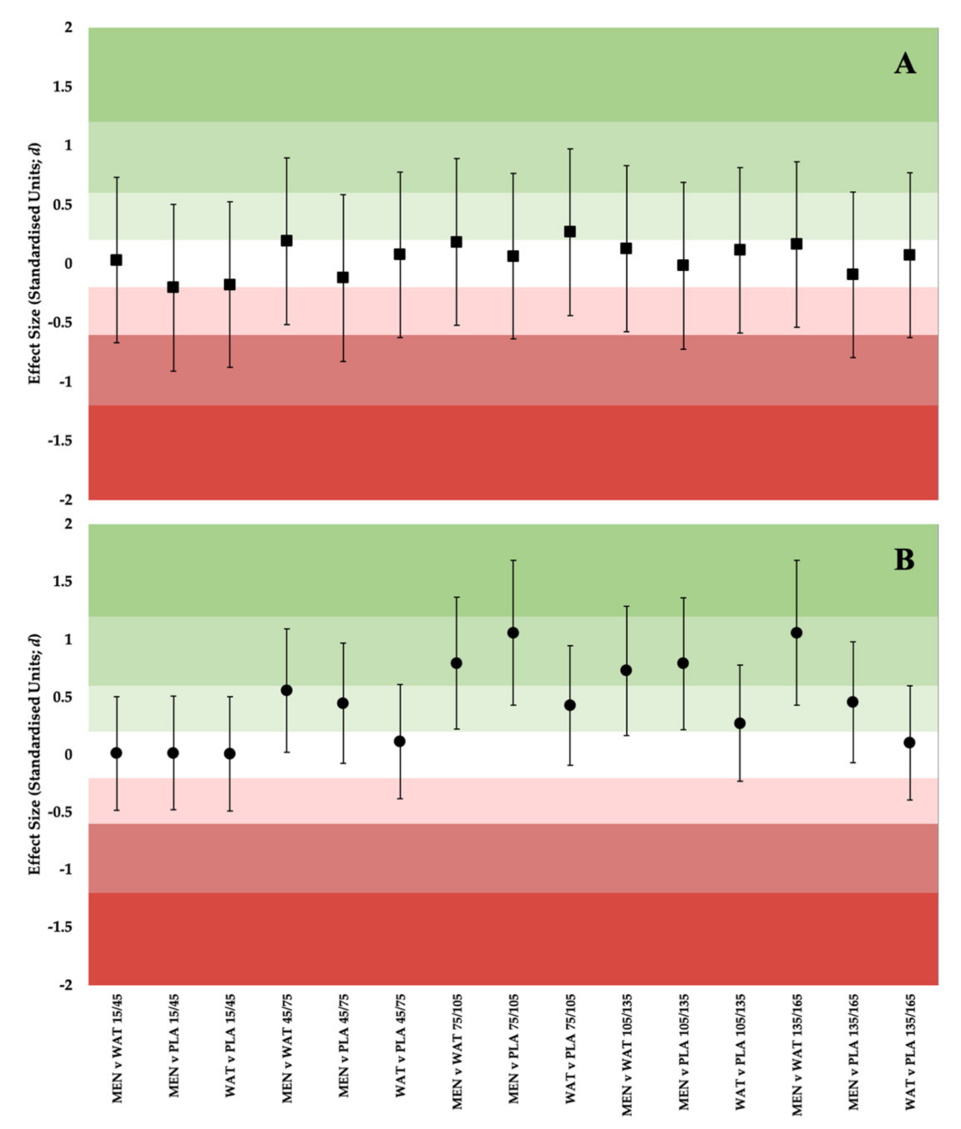
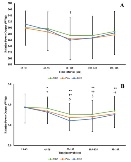
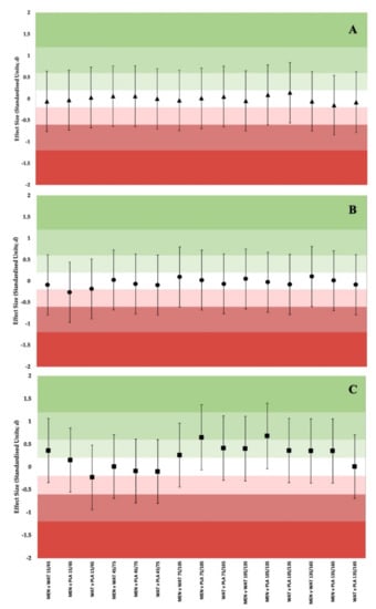
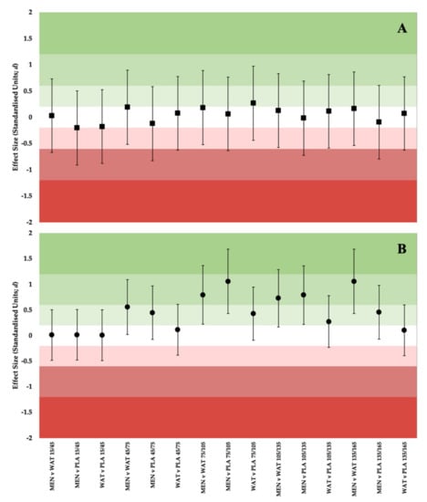
3.1. Performance
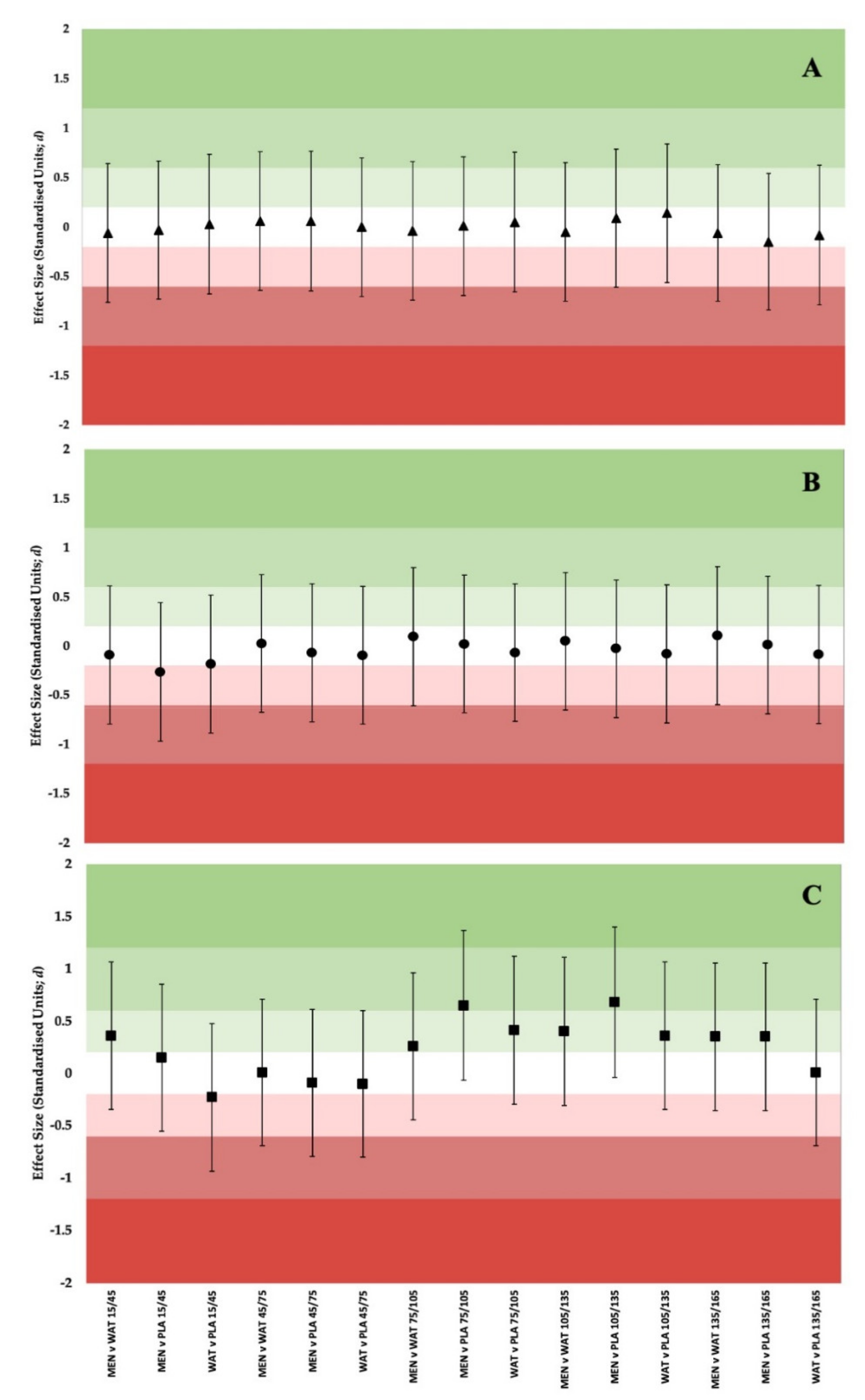
3.2. Physiological Responses
3.3. Thermal Comfort, Thermal Sensation and RPE
4. Discussion
5. Conclusions
Author Contributions
Funding
Institutional Review Board Statement
Informed Consent Statement
Data Availability Statement
Conflicts of Interest
References
- Barwood, M.J.; Gibson, O.R.; Gillis, D.J.; Jeffries, O.; Morris, N.B.; Pearce, J.; Ross, M.L.; Stevens, C.; Rinaldi, K.; Kounalakis, S.N.; et al. Menthol as an Ergogenic Aid for the Tokyo 2021 Olympic Games: An Expert-Led Consensus Statement Using the Modified Delphi Method. Sports Med. 2020, 50, 1709–1727. [Google Scholar] [CrossRef]
- Jeffries, O.; Waldron, M. The effects of menthol on exercise performance and thermal sensation: A meta-analysis. J. Sci. Med. Sport 2019, 22, 707–715. [Google Scholar] [CrossRef] [PubMed]
- Wegmann, M.; Faude, O.; Poppendieck, W.; Hecksteden, A.; Fröhlich, M.; Meyer, T. Pre-Cooling and Sports Performance. Sports Med. 2012, 42, 545–564. [Google Scholar] [CrossRef] [PubMed]
- Quod, M.J.; Martin, D.T.; Laursen, P.B. Cooling Athletes before Competition in the Heat. Sports Med. 2006, 36, 671–682. [Google Scholar] [CrossRef]
- Mündel, T.; Jones, D.A. The effects of swilling an l(−)-menthol solution during exercise in the heat. Eur. J. Appl. Physiol. 2009, 109, 59–65. [Google Scholar] [CrossRef] [PubMed]
- Flood, T.R.; Waldron, M.; Jeffries, O. Oral L-menthol reduces thermal sensation, increases work-rate and extends time to exhaustion, in the heat at a fixed rating of perceived exertion. Eur. J. Appl. Physiol. 2017, 117, 1501–1512. [Google Scholar] [CrossRef]
- Jeffries, O.; Goldsmith, M.; Waldron, M. L-Menthol mouth rinse or ice slurry ingestion during the latter stages of exercise in the heat provide a novel stimulus to enhance performance despite elevation in mean body temperature. Eur. J. Appl. Physiol. 2018, 118, 2435–2442. [Google Scholar] [CrossRef] [PubMed]
- Gavel, E.H.; Logan-Sprenger, H.M.; Good, J.; Jacobs, I.; Thomas, S.G. Menthol Mouth Rinsing and Cycling Performance in Females Under Heat Stress. Int. J. Sport Physiol. 2021, 16, 1014–1020. [Google Scholar] [CrossRef] [PubMed]
- Stevens, C.J.; Thoseby, B.; Sculley, D.V.; Callister, R.; Taylor, L.; Dascombe, B.J. Running performance and thermal sensation in the heat are improved with menthol mouth rinse but not ice slurry ingestion. Scand. J. Med. Sci. Sports 2016, 26, 1209–1216. [Google Scholar] [CrossRef] [PubMed]
- Riera, F.; Trong, T.T.; Sinnapah, S.; Hue, O. Physical and Perceptual Cooling with Beverages to Increase Cycle Performance in a Tropical Climate. PLoS ONE 2014, 9, e103718. [Google Scholar] [CrossRef] [PubMed]
- Howe, A.S.; Boden, B.P. Heat-Related Illness in Athletes. Am. J. Sports Med. 2007, 35, 1384–1395. [Google Scholar] [CrossRef] [PubMed]
- Schlader, Z.J.; Simmons, S.E.; Stannard, S.R.; Mündel, T. Skin temperature as a thermal controller of exercise intensity. Eur. J. Appl. Physiol. 2011, 111, 1631–1639. [Google Scholar] [CrossRef] [PubMed]
- Schulze, E.; Daanen, H.A.; Levels, K.; Casadio, J.R.; Plews, D.J.; Kilding, A.E.; Siegel, R.; Laursen, P.B. Effect of Thermal State and Thermal Comfort on Cycling Performance in the Heat. Int. J. Sports Physiol. Perform. 2015, 10, 655–663. [Google Scholar] [CrossRef] [PubMed]
- Gillis, D.J.; House, J.R.; Tipton, M.J. The influence of menthol on thermoregulation and perception during exercise in warm, humid conditions. Eur. J. Appl. Physiol. 2010, 110, 609–618. [Google Scholar] [CrossRef]
- Stevens, C.J.; Bennett, K.J.M.; Sculley, D.V.; Callister, R.; Taylor, L.; Dascombe, B.J. A comparison of mixed-method cooling interventions on pre-loaded running performance in the heat. J. Strength Cond. Res. 2017, 31, 620–629. [Google Scholar] [CrossRef]
- Gavel, E.H.; Hawke, K.V.; Bentley, D.J.; Logan-Sprenger, H.M. Menthol Mouth Rinsing Is More Than Just a Mouth Wash—Swilling of Menthol to Improve Physiological Performance. Front. Nutr. 2021, 8, 691695. [Google Scholar] [CrossRef] [PubMed]
- Stevens, C.J.; Best, R. Menthol: A Fresh Ergogenic Aid for Athletic Performance. Sports Med. 2017, 47, 1035–1042. [Google Scholar] [CrossRef]
- Watson, H.R.; Hems, R.; Rowsell, D.G.; Spring, D.J. New compounds with the menthol cooling effect. J. Soc. Cosmet. Chem. 1978, 29, 185–200. [Google Scholar]
- Burdon, C.A.; Johnson, N.A.; Chapman, P.G. Influence of beverage temperature on palatability and fluid ingestion during endurance exercise: A systematic review. Int. J. Sport Nutr. Exerc. Metab. 2012, 22, 199–211. [Google Scholar] [CrossRef]
- Burdon, C.A.; O’Connor, H.T.; Gifford, J.A. Influence of beverage temperature on exercise performance in the heat: A systematic review. Int. J. Sport Nutr. Exerc. Metab. 2010, 20, 166–174. [Google Scholar] [CrossRef]
- Lee, J.K.W.; Shirreffs, S.M. The influence of drink temperature on thermoregulatory responses during prolonged exercise in a moderate environment. J. Sports Sci. 2007, 25, 975–985. [Google Scholar] [CrossRef]
- Lee, J.K.W.; Maughan, R.J.; Shirreffs, S.M. The influence of serial feeding of drinks at different temperatures on thermoregulatory responses during cycling. J. Sports Sci. 2008, 26, 583–590. [Google Scholar] [CrossRef]
- Best, R. Improving Performance: A question of taste? Aspetar Sports Med. J. 2021, 10, 46–51. [Google Scholar]
- Eccles, R. Role of cold receptors and menthol in thirst, the drive to breathe and arousal. Appetite 2000, 34, 29–35. [Google Scholar] [CrossRef] [PubMed]
- Eccles, R.; Du-Plessis, L.; Dommels, Y.; Wilkinson, J.E. Cold pleasure. Why we like ice drinks, ice-lollies and ice cream. Appetite 2013, 71, 357–360. [Google Scholar] [CrossRef] [PubMed]
- Green, B.G. Menthol modulates oral sensations of warmth and cold. Physiol. Behav. 1985, 35, 427–434. [Google Scholar] [CrossRef]
- Eccles, R. Menthol: Effects on nasal sensation of airflow and the drive to breathe. Curr. Allergy Asthma Rep. 2003, 3, 210–214. [Google Scholar] [CrossRef] [PubMed]
- Best, R.; Payton, S.; Spears, I.; Riera, F.; Berger, N. Topical and Ingested Cooling Methodologies for Endurance Exercise Performance in the Heat. Sports 2018, 6, 11. [Google Scholar] [CrossRef]
- Gillis, D.J.; Weston, N.; House, J.R.; Tipton, M.J. Influence of repeated daily menthol exposure on human temperature regulation and perception. Physiol. Behav. 2015, 139, 511–518. [Google Scholar] [CrossRef]
- Best, R.; Maulder, P.S.; Berger, N. Perceptual and Physiological Responses to Carbohydrate and Menthol Mouth-Swilling Solutions: A Repeated Measures Cross-Over Preliminary Trial. Beverages 2021, 7, 9. [Google Scholar] [CrossRef]
- Best, R.; Naicker, R.; Maulder, P.; Berger, N. Dilution Method of Menthol Solutions Affects Subsequent Perceptual Thermal Responses during Passive Heat Exposure in Non-Heat Acclimated Participants. Beverages 2021, 7, 62. [Google Scholar] [CrossRef]
- Best, R.; McDonald, K.; Hurst, P.; Pickering, C. Can taste be ergogenic? Eur. J. Nutr. 2021, 60, 45–54. [Google Scholar] [CrossRef] [PubMed]
- Klein, A.H.; Carstens, M.I.; Zanotto, K.L.; Sawyer, C.M.; Ivanov, M.; Cheung, S.; Carstens, E. Self- and cross-desensitization of oral irritation by menthol and cinnamaldehyde (CA) via peripheral interactions at trigeminal sensory neurons. Chem. Senses 2011, 36, 199–208. [Google Scholar] [CrossRef]
- Best, R.; Temm, D.; Hucker, H.; McDonald, K. Repeated Menthol Mouth Swilling Affects Neither Strength nor Power Performance. Sports 2020, 8, 90. [Google Scholar] [CrossRef] [PubMed]
- Best, R.; Crosby, S.; Berger, N.; McDonald, K. The Effect of Isolated and Combined Application of Menthol and Carbohydrate Mouth Rinses on 40 km Time Trial Performance, Physiological and Perceptual Measures in the Heat. Nutrients 2021, 13, 4309. [Google Scholar] [CrossRef] [PubMed]
- Périard, J.D.; Eijsvogels, T.M.H.; Daanen, H.A.M. Exercise under heat stress: Thermoregulation, hydration, performance implications, and mitigation strategies. Physiol. Rev. 2021, 101, 1873–1979. [Google Scholar] [CrossRef]
- Tipton, M.J.; Harper, A.; Paton, J.F.R.; Costello, J.T. The human ventilatory response to stress: Rate or depth? J. Physiol. 2017, 595, 5729–5752. [Google Scholar] [CrossRef]
- Medbo, J.I.; Tabata, I. Relative importance of aerobic and anaerobic energy release during short-lasting exhausting bicycle exercise. J. Appl. Physiol. 1989, 67, 1881–1886. [Google Scholar] [CrossRef]
- Hill, D.W. Energy system contributions in middle-distance running events. J. Sports Sci. 1999, 17, 477–483. [Google Scholar] [CrossRef]
- Burnley, M.; Doust, J.H.; Vanhatalo, A. A 3-min All-Out Test to Determine Peak Oxygen Uptake and the Maximal Steady State. Med. Sci. Sports Exerc. 2006, 38, 1995–2003. [Google Scholar] [CrossRef]
- Vanhatalo, A.; Doust, J.H.; Burnley, M. Determination of Critical Power Using a 3-min All-out Cycling Test. Med. Sci. Sports Exerc. 2007, 39, 548–555. [Google Scholar] [CrossRef] [PubMed]
- Duffield, R.; Dawson, B.; Goodman, C. Energy system contribution to 1500- and 3000-metre track running. J. Sports Sci. 2005, 23, 993–1002. [Google Scholar] [CrossRef]
- Gibson, O.R.; Wrightson, J.G.; Hayes, M. Intermittent sprint performance in the heat is not altered by augmenting thermal perception via L-menthol or capsaicin mouth rinses. Eur. J. Appl. Physiol. 2019, 119, 653–664. [Google Scholar] [CrossRef] [PubMed]
- Iannetta, D.; Murias, J.M.; Keir, D.A. A Simple Method to Quantify the VO2 Mean Response Time of Ramp-Incremental Exercise. Med. Sci. Sports Exerc. 2019, 51, 1080–1086. [Google Scholar] [CrossRef]
- Borg, G. Borg’s Perceived Exertion and Pain Scales; Human Kinetics: Champaign, IL, USA, 1998; ISBN 9780880116237. [Google Scholar]
- Taylor, H.L.; Buskirk, E.; Henschel, A. Maximal Oxygen Intake as an Objective Measure of Cardio-Respiratory Performance. J. Appl. Physiol. 1955, 8, 73–80. [Google Scholar] [CrossRef]
- Edvardsen, E.; Hem, E.; Anderssen, S.A. End Criteria for Reaching Maximal Oxygen Uptake Must Be Strict and Adjusted to Sex and Age: A Cross-Sectional Study. PLoS ONE 2014, 9, e85276. [Google Scholar] [CrossRef]
- Stevens, C.J.; Ross, M.L.R.; Carr, A.J.; Vallance, B.; Best, R.; Urwin, C.; Périard, J.D.; Burke, L. Postexercise Hot-Water Immersion Does Not Further Enhance Heat Adaptation or Performance in Endurance Athletes Training in a Hot Environment. Int. J. Sport Physiol. Perform. 2020, 16, 480–488. [Google Scholar] [CrossRef]
- Havenith, G.; Kuklane, K.; Fan, J.; Hodder, S.; Ouzzahra, Y.; Lundgren, K.; Au, Y.; Loveday, D. A database of static clothing thermal insulation and vapor permeability values of non-Western ensembles for use in ASHRAE Standard 55, ISO 7730, and ISO 9920. ASHRAE Trans. 2015, 121, 19. [Google Scholar]
- Raa, A.; Sunde, G.A.; Bolann, B.; Kvåle, R.; Bjerkvig, C.; Eliassen, H.S.; Wentzel-Larsen, T.; Heltne, J.-K. Validation of a point-of-care capillary lactate measuring device (Lactate Pro 2). Scand. J. Trauma Resusc. Emerg. Med. 2020, 28, 83. [Google Scholar] [CrossRef]
- Zhang, H.; Huizenga, C.; Arens, E.; Wang, D. Thermal sensation and comfort in transient non-uniform thermal environments. Eur. J. Appl. Physiol. 2004, 92, 728–733. [Google Scholar] [CrossRef]
- Young, A.J.; Sawka, M.N.; Epstein, Y.; Decristofano, B.; Pandolf, K.B. Cooling different body surfaces during upper and lower body exercise. J. Appl. Physiol. 1987, 63, 1218–1223. [Google Scholar] [CrossRef]
- Best, R.; Spears, I.; Hurst, P.; Berger, N. The Development of a Menthol Solution for Use during Sport and Exercise. Beverages 2018, 4, 44. [Google Scholar] [CrossRef]
- Best, R.; Standing, R. All things being equal: Spatiotemporal differences between Open and Women’s 16-goal Polo. Int. J. Perform. Anal. Sport 2019, 19, 919–929. [Google Scholar] [CrossRef]
- Bradshaw, E.J.; Maulder, P.S.; Keogh, J.W.L. Biological movement variability during the sprint start: Performance enhancement or hindrance? Sports Biomech. 2007, 6, 246–260. [Google Scholar] [CrossRef]
- Hopkins, W.G.; Marshall, S.W.; Batterham, A.M.; Hanin, J. Progressive Statistics for Studies in Sports Medicine and Exercise Science. Med. Sci. Sports Exerc. 2009, 41, 3–13. [Google Scholar] [CrossRef]
- Johnson, T.M.; Sexton, P.J.; Placek, A.M.; Murray, S.R.; Pettitt, R.W. Reliability Analysis of the 3-min All-Out Exercise Test for Cycle Ergometry. Med. Sci. Sports Exerc. 2011, 43, 2375–2380. [Google Scholar] [CrossRef]
- Wright, J.; Bruce-Low, S.; Jobson, S. The Reliability and Validity of the 3-min All-out Cycling Critical Power Test. Int. J. Sports Med. 2017, 38, 462–467. [Google Scholar] [CrossRef]
- Ward, S.A. Ventilatory control in humans: Constraints and limitations. Exp. Physiol. 2007, 92, 357–366. [Google Scholar] [CrossRef]
- Brietzke, C.; Franco-Alvarenga, P.E.; Coelho-Júnior, H.J.; Silveira, R.; Asano, R.Y.; Pires, F.O. Effects of Carbohydrate Mouth Rinse on Cycling Time Trial Performance: A Systematic Review and Meta-Analysis. Sports Med. 2019, 49, 57–66. [Google Scholar] [CrossRef]
- Jeukendrup, A. A Step Towards Personalized Sports Nutrition: Carbohydrate Intake During Exercise. Sports Med. 2014, 44, 25–33. [Google Scholar] [CrossRef]
- Eccles, R. Menthol and Related Cooling Compounds. J. Pharm. Pharmacol. 1994, 46, 618–630. [Google Scholar] [CrossRef]
- Gam, S.; Guelfi, K.J.; Hammond, G.; Fournier, P.A. Mouth rinsing and ingestion of a bitter-tasting solution increases corticomotor excitability in male competitive cyclists. Eur. J. Appl. Physiol. 2015, 115, 2199–2204. [Google Scholar] [CrossRef]
- Backx, K.; Mcnaughton, L.; Crickmore, L.; Palmer, G.; Carlisle, A. The Effects of Differing Environmental Conditions on the Performance and Recovery from High-Intensity, Intermittent Cycle Ergometry. J. Strength Cond. Res. 2000, 14, 316. [Google Scholar] [CrossRef]
- Fritzsche, R.G.; Switzer, T.W.; Hodgkinson, B.J.; Coyle, E.F. Stroke volume decline during prolonged exercise is influenced by the increase in heart rate. J. Appl. Physiol. 1999, 86, 799–805. [Google Scholar] [CrossRef]
- González-Alonso, J.; Mora-Rodríguez, R.; Coyle, E.F. Stroke volume during exercise: Interaction of environment and hydration. Am. J. Physiol.-Heart C 2000, 278, H321–H330. [Google Scholar] [CrossRef]
- Bell, M.P.; Ferguson, R.A. Interaction between muscle temperature and contraction velocity affects mechanical efficiency during moderate-intensity cycling exercise in young and older women. J. Appl. Physiol. 2009, 107, 763–769. [Google Scholar] [CrossRef]
- Gagge, A.P.; Stolwijk, J.A.J.; Hardy, J.D. Comfort and thermal sensations and associated physiological responses at various ambient temperatures. Env. Res. 1967, 1, 1–20. [Google Scholar] [CrossRef]
- Weltman, A.; Stamford, B.A.; Fulco, C. Recovery from maximal effort exercise: Lactate disappearance and subsequent performance. J. Appl. Physiol. 1979, 47, 677–682. [Google Scholar] [CrossRef]
- Maunder, E.; Seiler, S.; Mildenhall, M.J.; Kilding, A.E.; Plews, D.J. The Importance of ‘Durability’ in the Physiological Profiling of Endurance Athletes. Sports Med. 2021, 51, 1619–1628. [Google Scholar] [CrossRef]
- Kohler, R.M.; Rundell, K.W.; Evans, T.M.; Levine, A.M. Peak Power during Repeated Wingate Trials: Implications for Testing. J. Strength Cond. Res. 2010, 24, 370–374. [Google Scholar] [CrossRef]
- Pickering, C. Are caffeine’s performance-enhancing effects partially driven by its bitter taste? Med. Hypotheses 2019, 131, 109301. [Google Scholar] [CrossRef]
- McClave, S.A.; LeBlanc, M.; Hawkins, S.A. Sustainability of Critical Power Determined by a 3-Minute All-Out Test in Elite Cyclists. J. Strength Cond. Res. 2011, 25, 3093–3098. [Google Scholar] [CrossRef]
- Bartram, J.C.; Thewlis, D.; Martin, D.T.; Norton, K.I. Predicting Critical Power in Elite Cyclists: Questioning Validity of the 3-min All-out Test. Int. J. Sport Physiol. Perform. 2017, 12, 783–787. [Google Scholar] [CrossRef][Green Version]
- Bernards, J.; Sato, K.; Haff, G.; Bazyler, C. Current Research and Statistical Practices in Sport Science and a Need for Change. Sports 2017, 5, 87. [Google Scholar] [CrossRef]
- Harriss, D.J.; MacSween, A.; Atkinson, G. Ethical Standards in Sport and Exercise Science Research: 2020 Update. Int. J. Sports Med. 2019, 40, 813–817. [Google Scholar] [CrossRef]
- Shirasaki, K.; Yamanobe, K.; Akashi, K.; Takashima, W. Variation of the drafting effect on the trailing rider for different numbers of riders in a cycling group. Proc. Inst. Mech. Eng. Part P J. Sports Eng. Technol. 2017, 175433711773661. [Google Scholar] [CrossRef]
- Belloli, M.; Giappino, S.; Robustelli, F.; Somaschini, C. Drafting Effect in Cycling: Investigation by Wind Tunnel Tests. Procedia Eng. 2016, 147, 38–43. [Google Scholar] [CrossRef]
- Stevens, C.J.; Ross, M.L.R.; Vogel, R.M. Development of a “Cooling” Menthol Energy Gel for Endurance Athletes: Effect of Menthol Concentration on Acceptability and Preferences. Int. J. Sport Nutr. Exe. 2021, 31, 40–45. [Google Scholar] [CrossRef]
- Ling, Y.-H.; Chen, S.-P.; Fann, C.S.-J.; Wang, S.-J.; Wang, Y.-F. TRPM8 genetic variant is associated with chronic migraine and allodynia. J. Headache Pain 2019, 20, 115. [Google Scholar] [CrossRef] [PubMed]
- Key, F.M.; Abdul-Aziz, M.A.; Mundry, R.; Peter, B.M.; Sekar, A.; D’Amato, M.; Dennis, M.Y.; Schmidt, J.M.; Andrés, A.M. Human local adaptation of the TRPM8 cold receptor along a latitudinal cline. PLoS Genet. 2018, 14, e1007298. [Google Scholar] [CrossRef]






Publisher’s Note: MDPI stays neutral with regard to jurisdictional claims in published maps and institutional affiliations. |
© 2022 by the authors. Licensee MDPI, Basel, Switzerland. This article is an open access article distributed under the terms and conditions of the Creative Commons Attribution (CC BY) license (https://creativecommons.org/licenses/by/4.0/).
Share and Cite
Crosby, S.; Butcher, A.; McDonald, K.; Berger, N.; Bekker, P.J.; Best, R. Menthol Mouth Rinsing Maintains Relative Power Production during Three-Minute Maximal Cycling Performance in the Heat Compared to Cold Water and Placebo Rinsing. Int. J. Environ. Res. Public Health 2022, 19, 3527. https://doi.org/10.3390/ijerph19063527
Crosby S, Butcher A, McDonald K, Berger N, Bekker PJ, Best R. Menthol Mouth Rinsing Maintains Relative Power Production during Three-Minute Maximal Cycling Performance in the Heat Compared to Cold Water and Placebo Rinsing. International Journal of Environmental Research and Public Health. 2022; 19(6):3527. https://doi.org/10.3390/ijerph19063527
Chicago/Turabian StyleCrosby, Seana, Anna Butcher, Kerin McDonald, Nicolas Berger, Petrus J. Bekker, and Russ Best. 2022. "Menthol Mouth Rinsing Maintains Relative Power Production during Three-Minute Maximal Cycling Performance in the Heat Compared to Cold Water and Placebo Rinsing" International Journal of Environmental Research and Public Health 19, no. 6: 3527. https://doi.org/10.3390/ijerph19063527
APA StyleCrosby, S., Butcher, A., McDonald, K., Berger, N., Bekker, P. J., & Best, R. (2022). Menthol Mouth Rinsing Maintains Relative Power Production during Three-Minute Maximal Cycling Performance in the Heat Compared to Cold Water and Placebo Rinsing. International Journal of Environmental Research and Public Health, 19(6), 3527. https://doi.org/10.3390/ijerph19063527

