Task and Ego Orientation in Sport Questionnaire (TEOSQ): Psychometric Properties in Its Digital Version
Abstract
1. Introduction
2. Materials and Methods
2.1. Participants
2.2. Instrument
2.3. Procedure
2.4. Data Analysis
2.5. Invariance Analysis
3. Results
3.1. Preliminary Analysis
3.2. Internal Consistency, Convergent and Discriminant Validity
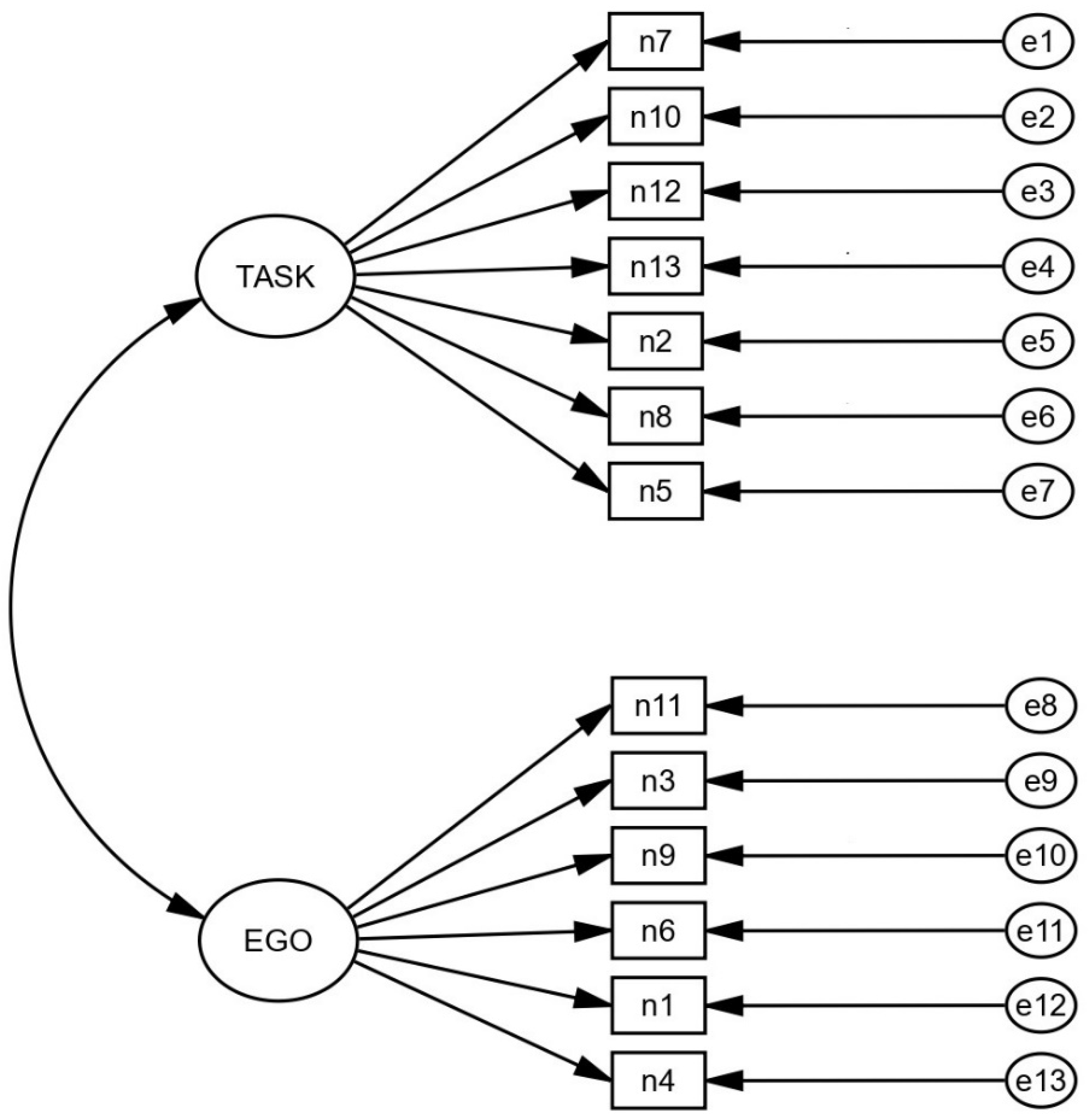
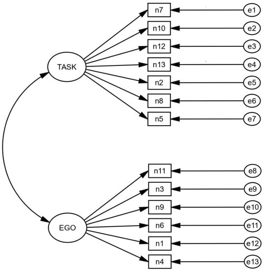
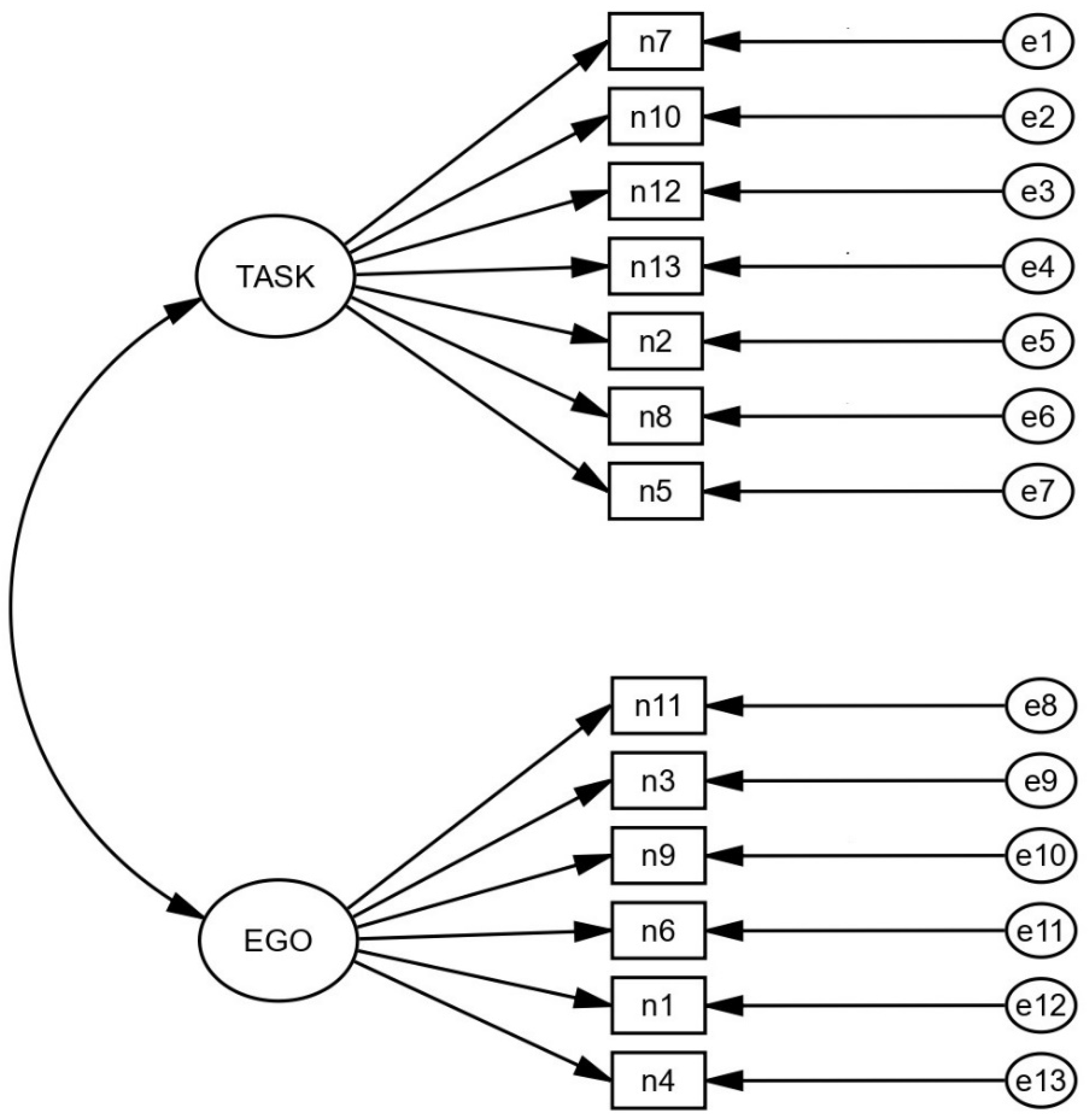
3.3. Confirmatory Factor Analysis
3.4. Invariance Analysis
4. Discussion
5. Conclusions
Author Contributions
Funding
Institutional Review Board Statement
Informed Consent Statement
Data Availability Statement
Conflicts of Interest
References
- Duda, J.; Whitehead, J. Measurement of goal perspectives in the physical domain. In Advances in Sport and Exercise Psychology Measurement; Duda, J., Ed.; Fitness Information Technology: Morgantown, WV, USA, 1998; pp. 21–48. [Google Scholar]
- Nicholls, J.G. The general and specific in the development and expression of achievement motivation. In Motivation in Sport and Exercise; Roberts, G., Ed.; Human Kinetics: Champaign, IL, USA, 1992; pp. 31–54. [Google Scholar]
- Maehr, M.L.; Nicholls, J.G. Culture and achievement motivation: A second look. In Studies in Cross-Cultural Psychology; Warren, N., Ed.; Academic Press: Cambridge, MA, USA, 1980; pp. 221–267. [Google Scholar]
- Dweck, C.S.; Elliott, E. Achievement motivation. In Handbook of Child Psychology; Hetherington, M., Ed.; Wiley: Hoboken, NJ, USA, 1993; Volume 4, pp. 643–691. [Google Scholar]
- Ames, C. Achievement goals, motivational climate, and motivational processes. In Motivation in Sport and Exercise; Roberts, G., Ed.; Human Kinetics: Champaign, IL, USA, 1992; pp. 161–176. [Google Scholar]
- Duda, J.L.; Nicholls, J.G. Dimensions of achievement motivation in schoolwork and sport. J. Educ. Psychol. 1992, 84, 290. [Google Scholar] [CrossRef]
- Duda, J.L. Relationship between Task and Ego Orientation and the Perceived Purpose of Sport among High School Athletes. J. Sport Exerc. Psychol. 1989, 11, 318–335. [Google Scholar] [CrossRef]
- Balaguer, I.; Castillo, I.; Tomás, I. Análisis de las propiedades psicométricas del Cuestionario de Orientación al Ego y a la Tarea en el Deporte (TEOSQ) en su traducción al castellano. Analysis of the psychometric properties of the Task and Ego Orientation in Sport Questionnaire (TEOSQ) in its Spanish translation. Psicológica 1996, 17, 71–81. [Google Scholar]
- Cecchini, J.A.; González, C.; Carmona, A.; Contreras, O. Relationships between motivational climate, goal orientation, intrinsic motivation, self-confidence, anxiety and mood in young athletes. Psicothema 2004, 16, 104–109. [Google Scholar]
- Kavussanu, M.; Seal, A.R.; Phillips, D.R. Observed prosocial and antisocial behaviors in male soccer teams: Age differences across adolescence and the role of motivational variables. J. Appl. Sport Psychol. 2006, 18, 326–344. [Google Scholar] [CrossRef]
- Ring, C.; Kavussanu, M. Ego involvement increases doping likelihood. J. Sports Sci. 2017, 36, 1757–1762. [Google Scholar] [CrossRef] [PubMed]
- Torregrosa, M.; Sousa, C.; Viladrich, C.; Villamarín, F.; Cruz, J. El clima motivacional y el estilo de comunicación del entrenador como predictores del compromiso en futbolistas jóvenes. Motivational climate and coaches’ communication style predict young soccer players’ commitment. Psicothema 2008, 20, 254–259. [Google Scholar] [PubMed]
- Clancy, R.B.; Herring, M.P.; Campbell, M.J. Motivation measures in sport: A critical review and bibliometric analysis. Front. Psychol. 2017, 8, 348. [Google Scholar] [CrossRef] [PubMed]
- Franco, E.; Coterón, J.; Martínez, H.A. Invarianza cultural del Cuestionario de la Orientación a la Tarea y al Ego (TEOSQ) y diferencias en las orientaciones motivacionales entre adolescentes de España, Argentina, Colombia y Ecuador. Cross-cultural invariance of Task and Ego Orientation in Sport Questionnaire (TEOSQ) and differences in motivational orientations among adolescents from Spain, Argentine, Colombia and Ecuador. Diversitas 2019, 15, 49–58. [Google Scholar] [CrossRef]
- López-Walle, J.; Balaguer, I.; Meliá, J.L.; Castillo, I.; Tristán, J. Adaptación a la población mexicana del Cuestionario de Orientación al Ego y a la Tarea en el Deporte (TEOSQ). Adaptation to the Mexican population of the Ego and Task Orientation in Sport Questionnaire (TEOSQ). Rev. Psicol. Deporte 2011, 20, 523–536. [Google Scholar]
- López-Walle, J.; Tristán, J.; Castillo Tomás, I.; Balaguer, I. Invarianza factorial del teosq en jóvenes deportistas mexicanos y españoles Cross-cultural validation of teosq in Mexican and Spanish junior athletes. Rev. Mex. Psicol. 2011, 28, 53–61. [Google Scholar]
- Tomczak, M.; Walczak, M.; Kleka, P.; Walczak, A.; Bojkowski, U. Psychometric Properties of the Polish Version of Task and Ego Orientation in Sport Questionnaire (TEOSQ). Int. J. Environ. Res. Public Health 2020, 17, 3593. [Google Scholar] [CrossRef] [PubMed]
- González-Ruíz, S.L.; Hernández-Mendo, A.; Pastrana-Brincones, J.L. Herramienta software para la evaluación psicosocial de deportistas y entornos deportivos Software tool for the psychosocial assessment of athletes and sport environments. Rev. Digit. 2010, 15. Available online: https://www.efdeportes.com/efd144/evaluacion-psicosocial-de-deportistas.htm (accessed on 12 February 2022).
- González Ruiz, S.L.; Gómez Gallego, I.; Pastrana Brincones, J.L.; Hernán-dez-Mendo, A. Algoritmos de clasificación y redes neuronales en la obser-vación automatizada de registros Classifcation algorithms and neural networks in automated observation records. Cuad. Psicol. Deporte 2015, 15, 31–40. [Google Scholar] [CrossRef][Green Version]
- González-Ruíz, S.L.; Domínguez-Alfonso, R.; Chica-Merino, E.; Pastrana-Brincones, J.L.; Hernández-Mendo, A. A virtual platform for on-line evaluation and research: MenPas. Cuad. De Psicol. Del Deporte 2018, 18, 26–48. [Google Scholar]
- Santamaría, P.; Sánchez-Sánchez, F. Cuestiones abiertas en el uso de las nuevas tecnologías en la evaluación psicológica Open questions in the use of new technologies in psychological assessment. Pap. Del Psicólogo 2022, 43, 48–54. [Google Scholar]
- Raimundi, M.J.; Reigal, R.; Hernández-Mendo, A. Adaptación argentina del Inventario Psicológico de Ejecución Deportiva (IPED): Validez, fiabilidad y precisión. Argentinian adaptation of the Sport Performance Psychological Inventory: Validity, reliability and accuracy. Cuad. De Psicol. Del Deporte 2016, 16, 211–222. [Google Scholar]
- Beierle, F.; Schobel, J.; Vogel, C.; Allgaier, J.; Mulansky, L.; Haug, F.; Haug, J.; Schlee, W.; Holfelder, M.; Stach, M.; et al. Corona health—A study-and sensor-based mobile app platform exploring aspects of the COVID-19 pandemic. Int. J. Environ. Res. Public Health 2021, 18, 7395. [Google Scholar] [CrossRef]
- Hantrais, L.; Allin, P.; Kritikos, M.; Sogomonjan, M.; Anand, P.B.; Livingstone, S.; Williams, M.; Innes, M. COVID-19 and the digital revolution. Contemp. Soc. Sci. 2020, 16, 256–270. [Google Scholar] [CrossRef]
- Lakshminarasimhappa, M.C. Web-based and smart mobile app for data collection: Kobo Toolbox/Kobo collect. J. Indian Libr. Assoc. 2021, 57, 72–79. [Google Scholar]
- Cheung, G.W.; Rensvold, R.B. Evaluating goodness-of-fit indexes for testing measurement invariance. Struct. Equ. Model. A Multidiscip. J. 2002, 9, 233–255. [Google Scholar] [CrossRef]
- Sass, D. Testing measurement invariance and comparing latent factor means within a confirmatory factor analysis framework. J. Psychoeduc. Assess. 2011, 29, 347–363. [Google Scholar] [CrossRef]
- Lochbaum, M.; Kazak, Z.; Graham, K.A.; Wright, T.; Zazo, R. Task and ego goal orientations in competitive sport: A quantitative review of the literature from 1989 to 2016. Kinesiology 2016, 48, 3–29. [Google Scholar] [CrossRef]
- World Medical Association. World medical association declaration of Helsinki: Ethical principles for medical research involving human subjects. J. Am. Med. Assoc. 2013, 310, 2191–2194. [Google Scholar] [CrossRef]
- Convention for the Protection of Human Rights and Dignity of the Human Being with Regard to the Application of Biology and Medicine: Convention on Human Rights and Biomedicine. Council of Europe 1997. European Treaty Series No. 164. Available online: https://rm.coe.int/168007cf98 (accessed on 12 February 2022).
- Byrne, B. Structural Equation Modeling with AMOS. Basic Concepts, Applications, and Programming, 3rd ed.; Routledge: Oxfordshire, UK, 2016. [Google Scholar] [CrossRef]
- Hair, J.F.; Black, W.C.; Babin, B.J.; Anderson, R.E. Multivariate Data Analysis, 8th ed.; Cengage Learning: Boston, MA, USA, 2019. [Google Scholar] [CrossRef]
- Marsh, H.W.; Hau, K.T.; Wen, Z. In search of golden rules: Comment on hypothesis-testing approaches to setting cutoff values for fit indexes and dangers in Overgeneralizing Hu and Bentler’s (1999) findings. Struct. Equ. Model. A Multidiscip. J. 2004, 11, 320–341. [Google Scholar] [CrossRef]
- Hair, J.; Black, W.; Babin, B.; Anderson, R. Multivariate Data Analysis; Pearson Educational Inc.: Hoboken, NJ, USA, 2014. [Google Scholar]
- Chen, F.F. Sensitivity of goodness of fit indexes to lack of measurement invariance. Struct. Equ. Model. A Multidiscip. J. 2007, 14, 464–504. [Google Scholar] [CrossRef]
- Nevitt, J.; Hancock, G. Performance of bootstrapping approaches to model test statistics and parameter standard error estimation in structural equation modeling. Struct. Equ. Model. 2001, 8, 353–377. [Google Scholar] [CrossRef]
- Chi, L.; Duda, J.L. Multi-sample confirmatory factor analysis of the task and ego orientation in sport questionnaire. Res. Q. Exerc. Sport 1995, 66, 91–98. [Google Scholar] [CrossRef]

| Variables | M | SD | AVE | TASK | EGO |
|---|---|---|---|---|---|
| TASK | 29.28 | 4.38 | 0.47 | - | |
| EGO | 13.61 | 4.98 | 0.50 | 0.10 ** | - |
| General Sample | Male Sample | Female Sample | Individual Exhibit | Group Show | ||||||
|---|---|---|---|---|---|---|---|---|---|---|
| λ | SE | λ | SE | λ | SE | Λ | SE | λ | SE | |
| Task | 0.86 | 0.87 | 0.85 | 0.86 | 0.86 | |||||
| Item 2 | 0.77 * | 0.03 | 0.79 * | 0.04 | 0.75 * | 0.04 | 0.63 * | 0.05 | 0.60 * | 0.07 |
| Item 5 | 0.64 * | 0.03 | 0.65 * | 0.04 | 0.63 * | 0.04 | 0.79 * | 0.05 | 0.79 * | 0.07 |
| Item 7 | 0.62 * | 0.03 | 0.63 * | 0.04 | 0.61 * | 0.04 | 0.77 * | 0.05 | 0.70 * | 0.07 |
| Item 8 | 0.58 * | 0.03 | 0.59 * | 0.05 | 0.58 * | 0.05 | 0.65 * | 0.05 | 0.63 * | 0.07 |
| Item 10 | 0.79 * | 0.03 | 0.79 * | 0.04 | 0.79 * | 0.04 | 0.75 * | 0.05 | 0.80 * | 0.07 |
| Item 12 | 0.75 * | 0.03 | 0.77 * | 0.04 | 0.72 * | 0.04 | 0.59 * | 0.06 | 0.57 * | 0.07 |
| Item 13 | 0.64 * | 0.03 | 0.66 * | 0.05 | 0.63 * | 0.04 | 0.64 * | 0.05 | 0.64 * | 0.07 |
| Ego | 0.86 | 0.85 | 0.85 | 0.85 | 0.87 | |||||
| Item 1 | 0.69 * | 0.03 | 0.70 * | 0.05 | 0.67 * | 0.05 | 0.72 * | 0.04 | 0.79 * | 0.04 |
| Item 3 | 0.65 * | 0.03 | 0.63 * | 0.05 | 0.65 * | 0.05 | 0.66 * | 0.04 | 0.63 * | 0.04 |
| Item 4 | 0.66 * | 0.04 | 0.67 * | 0.05 | 0.64 * | 0.05 | 0.80 * | 0.04 | 0.80 * | 0.04 |
| Item 6 | 0.67 * | 0.03 | 0.68 * | 0.05 | 0.66 * | 0.05 | 0.65 * | 0.04 | 0.70 * | 0.04 |
| Item 9 | 0.80 * | 0.04 | 0.80 * | 0.05 | 0.79 * | 0.05 | 0.68 * | 0.04 | 0.71 * | 0.04 |
| Item 11 | 0.75 * | 0.04 | 0.73 * | 0.06 | 0.76 * | 0.05 | 0.65 * | 0.04 | 0.68 * | 0.04 |
| Model | Sample | χ2 | df | χ2/df | B-S p | SRMR | CFI | TLI | RMSEA | 90% CI | |
|---|---|---|---|---|---|---|---|---|---|---|---|
| Previous studies | |||||||||||
| Chi and Duda (1995) [37] | Spain 21.4 ± 1.3 | 108.21 | 62 | 1.74 | <0.001 | 0.06 | 0.92 | - | - | - | |
| Franco et al. (2019) [14] | Spain 14.02 ± 1.19 | 503.05 | 103 | 4.88 | <0.001 | - | - | - | 0.07 | 0.052–0.080 | |
| Spain 20.3 ± 1.8 | 253.02 | 62 | 4.08 | <0.001 | 0.08 | 0.83 | - | - | - | ||
| López-Walle et al. (2011a) [15] | Mexico 13.8 ± 2.15 | 169.82 | 62 | 2.74 | <0.001 | - | 0.91 | - | 0.09 | - | |
| Tomczak et al. (2020) [17] | Poland 19.2 ± 2.21 | 217.43 | 62 | - | <0.001 | 0.05 | 0.95 | 0.93 | 0.06 | 0.053–0.071 | |
| Current study | |||||||||||
| General | 720.72 | 64 | 11.26 | <0.001 | 0.06 | 0.94 | 0.93 | 0.07 | 0.062–0.071 | ||
| Female | 496.85 | 64 | 7.76 | <0.001 | 0.06 | 0.92 | 0.93 | 0.07 | 0.065–0.077 | ||
| Male | 321.67 | 64 | 5.03 | <0.001 | 0.06 | 0.94 | 0.95 | 0.07 | 0.058–0.072 | ||
| Individual | 525.26 | 64 | 8.21 | <0.001 | 0.06 | 0.94 | 0.93 | 0.07 | 0.064–0.075 | ||
| Team | 306.01 | 64 | 4.78 | <0.001 | 0.06 | 0.94 | 0.93 | 0.07 | 0.061–0.076 | ||
| M | χ2 | Df | Δχ2 | Δdf | p | CFI | ΔCFI | SRMR | ΔSRMR | RMSEA | ΔRMSEA |
|---|---|---|---|---|---|---|---|---|---|---|---|
| Male—female | |||||||||||
| CI | 818.95 | 128 | - | - | <0.001 | 0.94 | - | 0.06 | - | 0.05 | - |
| MY | 832.64 | 139 | 13.69 | 11 | <0.001 | 0.94 | 0.00 | 0.06 | 0.00 | 0.05 | 0.00 |
| SI | 855.70 | 142 | 36.75 | 14 | <0.001 | 0.94 | 0.00 | 0.07 | 0.01 | 0.05 | 0.00 |
| RI | 931.86 | 155 | 112.91 | 27 | <0.001 | 0.93 | 0.01 | 0.06 | 0.00 | 0.05 | 0.00 |
| Individual—team | |||||||||||
| CI | 831.27 | 128 | - | - | <0.001 | 0.94 | - | 0.06 | - | 0.05 | - |
| MY | 860.82 | 139 | 29.55 | 11 | <0.001 | 0.94 | 0.00 | 0.06 | 0.00 | 0.05 | 0.00 |
| SI | 900.04 | 142 | 68.77 | 14 | <0.001 | 0.94 | 0.00 | 0.08 | 0.02 | 0.05 | 0.00 |
| RI | 966.02 | 155 | 134.75 | 27 | <0.001 | 0.93 | 0.01 | 0.08 | 0.02 | 0.05 | 0.00 |
Publisher’s Note: MDPI stays neutral with regard to jurisdictional claims in published maps and institutional affiliations. |
© 2022 by the authors. Licensee MDPI, Basel, Switzerland. This article is an open access article distributed under the terms and conditions of the Creative Commons Attribution (CC BY) license (https://creativecommons.org/licenses/by/4.0/).
Share and Cite
Morales-Sánchez, V.; Pérez-Romero, N.; Franquelo, M.A.; Balaguer, I.; Hernández-Mendo, A.; Reigal, R.E. Task and Ego Orientation in Sport Questionnaire (TEOSQ): Psychometric Properties in Its Digital Version. Int. J. Environ. Res. Public Health 2022, 19, 3251. https://doi.org/10.3390/ijerph19063251
Morales-Sánchez V, Pérez-Romero N, Franquelo MA, Balaguer I, Hernández-Mendo A, Reigal RE. Task and Ego Orientation in Sport Questionnaire (TEOSQ): Psychometric Properties in Its Digital Version. International Journal of Environmental Research and Public Health. 2022; 19(6):3251. https://doi.org/10.3390/ijerph19063251
Chicago/Turabian StyleMorales-Sánchez, Verónica, Nuria Pérez-Romero, María Auxiliadora Franquelo, Isabel Balaguer, Antonio Hernández-Mendo, and Rafael E. Reigal. 2022. "Task and Ego Orientation in Sport Questionnaire (TEOSQ): Psychometric Properties in Its Digital Version" International Journal of Environmental Research and Public Health 19, no. 6: 3251. https://doi.org/10.3390/ijerph19063251
APA StyleMorales-Sánchez, V., Pérez-Romero, N., Franquelo, M. A., Balaguer, I., Hernández-Mendo, A., & Reigal, R. E. (2022). Task and Ego Orientation in Sport Questionnaire (TEOSQ): Psychometric Properties in Its Digital Version. International Journal of Environmental Research and Public Health, 19(6), 3251. https://doi.org/10.3390/ijerph19063251

