Families’ Worries during the First and Second COVID-19 Wave in Germany: Longitudinal Study in Two Population-Based Cohorts
Abstract
:1. Introduction
2. Materials and Methods
2.1. Design
2.2. Study Participants
2.3. Questionnaire
2.4. Statistical Analyses
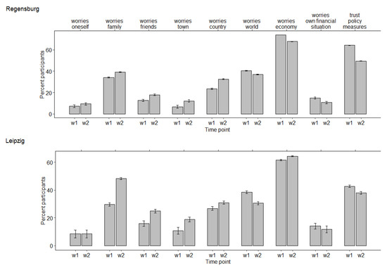
3. Results
4. Discussion
Strengths and Limitations
5. Conclusions
Author Contributions
Funding
Institutional Review Board Statement
Informed Consent Statement
Data Availability Statement
Acknowledgments
Conflicts of Interest
Appendix A
| Question | Response Options | |||
|---|---|---|---|---|
| 1 | German (Original) | English | German (Original) | English |
| 2 | Befinden Sie und/oder ein Haushaltsmitglied sich DERZEIT in Quarantäne/Isolation? | Are you and/or is someone you live with currently in quarantine/isolation? | ja nein | yes no |
| 3 | Gibt bzw. gab es in der Familie und dem Bekanntenkreis (inkl. des Freundeskreises des Kindes/der Kinder) mindestens eine nachgewiesene Corona-Erkrankung? | Are/were there any confirmed cases of coronavirus disease in your family or circle of friends (including the child’s friends)? | nicht, dass ich wüsste ja, aber nur mit milden Symptomen ja, mindestens eine Person ist/war ernsthaft erkrankt | not that I know of yes, but only with mild symptoms yes, at least one person is/was seriously ill |
| 4 | Gehört jemand aus der Familie/dem Freundeskreis zu einer Risikogruppe bezüglich des Corona-Virus? | Does anyone of your family or friends belong to a risk group regarding the coronavirus? | nicht, dass ich wüsste ja | Not that I know of yes |
| 5 | Hat sich Ihre Arbeitssituation aufgrund der Corona-Krise geändert? | Has your work situation changed due to the corona crisis? | Ja, ich arbeite jetzt vollständig oder nahezu vollständig im Homeoffice. Ja, ich arbeite jetzt teilweise im Homeoffice.Nein, ich gehe weiter zur Arbeit. Nein, ich arbeitete schon vor Beginn der Corona-Krise vollständig oder teilweise im Homeoffice. Nicht zutreffend | Yes, I now work completely or almost completely in home office. Yes, I now work partly in home office. No, I still go to work. No, I was working in home office completely or partially even before the Corona crisis began. Not applicable |
| 6 | Wie sehr stimmen Sie den folgenden Aussagen zu?
| How much do you agree with the following statements?
| überhaupt nicht ein wenig mittelmäßig ziemlich sehr | not at all slightly moderately very extremely |
| 7 |
|
| see line 6 | |
| 8 |
|
| see line 6 | |
| 9 | Wenn Sie an die Gefahren durch Corona und die Einschränkungen durch Gegenmaßnahmen denken, wie sehr sorgen Sie sich um
| When you think of the dangers of corona and the limitations of countermeasures, how much are you worried about
| see line 6 | |
| 10 |
|
| see line 6 | |
| 11 |
|
| see line 6 | |
| 12 |
|
| see line 6 | |
| 13 |
|
| see line 6 | |
| 14 |
|
| see line 6 | |
References
- Poulain, T.; Meigen, C.; Sobek, C.; Ober, P.; Igel, U.; Körner, A.; Kiess, W.; Vogel, M. Loss of Childcare and Classroom Teaching during the COVID-19-Related Lockdown in Spring 2020: A Longitudinal Study on Consequences on Leisure Behavior and Schoolwork at Home. PLoS ONE 2021, 16, e0247949. [Google Scholar] [CrossRef]
- Ravens-Sieberer, U.; Kaman, A.; Erhart, M.; Devine, J.; Schlack, R.; Otto, C. Impact of the COVID-19 Pandemic on Quality of Life and Mental Health in Children and Adolescents in Germany. Eur. Child Adolesc. Psychiatry 2021. [Google Scholar] [CrossRef]
- Vogel, M.; Meigen, C.; Sobek, C.; Ober, P.; Igel, U.; Körner, A.; Kiess, W.; Poulain, T. Well-Being and COVID-19-Related Worries of German Children and Adolescents: A Longitudinal Study from Pre-COVID to the End of Lockdown in Spring 2020. JCPP Adv. 2021, 1, e12004. [Google Scholar] [CrossRef]
- Christner, N.; Essler, S.; Hazzam, A.; Paulus, M. Children’s Psychological Well-Being and Problem Behavior during the COVID-19 Pandemic: An Online Study during the Lockdown Period in Germany. PLoS ONE 2021, 16, e0253473. [Google Scholar] [CrossRef]
- Renner, I.; van Staa, J.; Neumann, A.; Sinß, F.; Paul, M. Early childhood intervention from a distance-opportunities and challenges in supporting psychosocially stressed families in the COVID-19 pandemic. Bundesgesundh. Gesundh. Gesundh. 2021, 64, 1603–1610. [Google Scholar] [CrossRef]
- Calvano, C.; Engelke, L.; Di Bella, J.; Kindermann, J.; Renneberg, B.; Winter, S.M. Families in the COVID-19 Pandemic: Parental Stress, Parent Mental Health and the Occurrence of Adverse Childhood Experiences—Results of a Representative Survey in Germany. Eur. Child Adolesc. Psychiatry 2021, 1–13. [Google Scholar] [CrossRef]
- Paschke, K.; Arnaud, N.; Austermann, M.I.; Thomasius, R. Risk factors for prospective increase in psychological stress during COVID-19 lockdown in a representative sample of adolescents and their parents. BJPsych Open 2021, 7, e94. [Google Scholar] [CrossRef]
- Huebener, M.; Waights, S.; Spiess, C.K.; Siegel, N.A.; Wagner, G.G. Parental Well-Being in Times of COVID-19 in Germany. Rev. Econ. Househ. 2021, 19, 91–122. [Google Scholar] [CrossRef]
- Rabe, J.E.; Schillok, H.; Merkel, C.; Voss, S.; Coenen, M.; De Bock, F.; von Rüden, U.; Bramesfeld, A.; Jung-Sievers, C.; COSMO-Gruppe. Burden in parents of school-aged children during different phases of the COVID-19 pandemic in Germany: An analysis within the COVID-19 snapshot monitoring (COSMO) study. Bundesgesundh. Gesundh. Gesundh. 2021, 64, 1500–1511. [Google Scholar] [CrossRef]
- Barber, S.J.; Kim, H. COVID-19 Worries and Behavior Changes in Older and Younger Men and Women. J. Gerontol. Ser. B 2021, 76, e17–e23. [Google Scholar] [CrossRef]
- Maaravi, Y.; Heller, B. Not all worries were created equal: The case of COVID-19 anxiety. Public Health 2020, 185, 243–245. [Google Scholar] [CrossRef]
- Brandstetter, S.; Toncheva, A.A.; Niggel, J.; Wolff, C.; Gran, S.; Seelbach-Göbel, B.; Apfelbacher, C.; Melter, M.; Kabesch, M. KUNO-Kids study group KUNO-Kids Birth Cohort Study: Rationale, Design, and Cohort Description. Mol. Cell. Pediatr. 2019, 6, 1. [Google Scholar] [CrossRef]
- Poulain, T.; Baber, R.; Vogel, M.; Pietzner, D.; Kirsten, T.; Jurkutat, A.; Hiemisch, A.; Hilbert, A.; Kratzsch, J.; Thiery, J.; et al. The LIFE Child Study: A Population-Based Perinatal and Pediatric Cohort in Germany. Eur. J. Epidemiol. 2017, 32, 145–158. [Google Scholar] [CrossRef]
- Bavarian Health and Food Safety Authority (LGL). Available online: https://www.lgl.bayern.de/gesundheit/infektionsschutz/infektionskrankheiten_a_z/coronavirus/karte_coronavirus/index.htm (accessed on 6 May 2021).
- Infection Cases in Saxony. Available online: https://www.coronavirus.sachsen.de/infektionsfaelle-in-sachsen-4151.html (accessed on 6 May 2021).
- R Core Team. A Language and Environment for Statistical Computing. Available online: https://www.R-project.org/ (accessed on 1 July 2020).
- Christensen, R.H.B. Ordinal—Regression Models for Ordinal Data. R Package Version 2019, 3–9. Available online: http://www.cran.r-project.org/package=ordinal (accessed on 1 July 2020).
- Power, K. The COVID-19 Pandemic Has Increased the Care Burden of Women and Families. Sustain. Sci. Pract. Policy 2020, 16, 67–73. [Google Scholar] [CrossRef]
- Kreyenfeld, M.; Zinn, S. Coronavirus and Care: How the Coronavirus Crisis Affected Fathers’ Involvement in Germany. Demogr. Res. 2021, 44, 99–124. [Google Scholar] [CrossRef]
- Anderton, R.; Botelho, V.; Consolo, A.; Da Silva, A.D.; Foroni, C.; Mohr, M.; Vivian, L. The Impact of the COVID-19 Pandemic on the Euro Area Labour Market. Econ. Bull. Artic. 2021, 8. Available online: https://www.ecb.europa.eu/pub/economic-bulletin/articles/2021/html/ecb.ebart202008_02~bc749d90e7.en.html (accessed on 1 July 2020).
- Padhan, R.; Prabheesh, K.P. The Economics of COVID-19 Pandemic: A Survey. Econ. Anal. Policy 2021, 70, 220–237. [Google Scholar] [CrossRef]
- Holst, H.; Fessler, A.; Niehoff, S. COVID-19, Social Class and Work Experience in Germany: Inequalities in Work-Related Health and Economic Risks. Eur. Soc. 2021, 23, S495–S512. [Google Scholar] [CrossRef]
- Steiber, N.; Siegert, C. The impact of the first phase of the COVID-19 pandemic on the employment and financial situation of families in Austria. OZS Osterreichische Z. Fur Soziologie 2021, 46, 429–442. [Google Scholar] [CrossRef]
- Westrupp, E.M.; Stokes, M.A.; Fuller-Tyszkiewicz, M.; Berkowitz, T.S.; Capic, T.; Khor, S.; Greenwood, C.J.; Mikocka-Walus, A.; Sciberras, E.; Youssef, G.J.; et al. Subjective Wellbeing in Parents during the COVID-19 Pandemic in Australia. J. Psychosom. Res. 2021, 145, 110482. [Google Scholar] [CrossRef]
- Parohan, M.; Yaghoubi, S.; Seraji, A.; Javanbakht, M.H.; Sarraf, P.; Djalali, M. Risk Factors for Mortality in Patients with Coronavirus Disease 2019 (COVID-19) Infection: A Systematic Review and Meta-Analysis of Observational Studies. Aging Male 2021, 23, 1416–1424. [Google Scholar] [CrossRef]
- Giordani, R.C.F.; Zanoni da Silva, M.; Muhl, C.; Giolo, S.R. Fear of COVID-19 Scale: Assessing Fear of the Coronavirus Pandemic in Brazil. J. Health Psychol. 2022, 27, 901–912. [Google Scholar] [CrossRef] [PubMed]
- Nguyen, H.T.; Do, B.N.; Pham, K.M.; Kim, G.B.; Dam, H.T.B.; Nguyen, T.T.; Nguyen, T.T.P.; Nguyen, Y.H.; Sørensen, K.; Pleasant, A.; et al. Fear of COVID-19 Scale—Associations of Its Scores with Health Literacy and Health-Related Behaviors among Medical Students. Int. J. Environ. Res. Public Health 2020, 17, 4164. [Google Scholar] [CrossRef]
- Westrupp, E.M.; Greenwood, C.J.; Fuller-Tyszkiewicz, M.; Olsson, C.A.; Sciberras, E.; Mikocka-Walus, A.; Melvin, G.A.; Evans, S.; Stokes, M.A.; Wood, A.G.; et al. Parent and Child Mental Health Trajectories April 2020 to May 2021: Strict Lockdown versus No Lockdown in Australia. Aust. N. Z. J. Psychiatry 2021. [Google Scholar] [CrossRef] [PubMed]
- Pieh, C.; Budimir, S.; Humer, E.; Probst, T. Comparing Mental Health during the COVID-19 Lockdown and 6 Months after the Lockdown in Austria: A Longitudinal Study. Front. Psychiatry 2021, 12, 197. [Google Scholar] [CrossRef] [PubMed]
- Moradian, S.; Bäuerle, A.; Schweda, A.; Musche, V.; Kohler, H.; Fink, M.; Weismüller, B.; Benecke, A.-V.; Dörrie, N.; Skoda, E.-M.; et al. Differences and Similarities between the Impact of the First and the Second COVID-19-Lockdown on Mental Health and Safety Behaviour in Germany. J. Public Health 2021, 43, 710–713. [Google Scholar] [CrossRef] [PubMed]
- Peters, A.; Rospleszcz, S.; Greiser, K.H.; Dallavalle, M.; Berger, K. The Impact of the COVID-19 Pandemic on Self-Reported Health. Dtsch. Arztebl. Int. 2020, 117, 861–867. [Google Scholar] [CrossRef]
- Betsch, C.; Wieler, L.; Bosnjak, M.; Ramharter, M.; Stollorz, V.; Omer, S.; Korn, L.; Sprengholz, P.; Felgendreff, L.; Eitze, S.; et al. Germany COVID-19 Snapshot MOnitoring (COSMO Germany): Monitoring Knowledge, Risk Perceptions, Preventive Behaviours, and Public Trust in the Current Coronavirus Outbreak in Germany. 2020. Available online: https://www.psycharchives.org/en/item/e5acdc65-77e9-4fd4-9cd2-bf6aa2dd5eba (accessed on 1 July 2020).
- Trust in Institutions (COSMO). Available online: https://projekte.uni-erfurt.de/cosmo2020/web/topic/vertrauen-ablehnung-demos/10-vertrauen/#vertrauen-in-die-regierung-im-detail-stand-23.03.21 (accessed on 11 May 2021).
- Heinz, J.; Ogris, G. Follow-up 2021. In Freiheitsindex Österreich 2020; SORA: Wien, Austria, 2021; p. 38. [Google Scholar]
- Grosser, A.; Razum, O.; Vrijkotte, T.G.M.; Hinz, I.-M.; Spallek, J. Inclusion of Migrants and Ethnic Minorities in European Birth Cohort Studies-a Scoping Review. Eur. J. Public Health 2016, 26, 984–991. [Google Scholar] [CrossRef]
- Lange, M.; Butschalowsky, H.G.; Jentsch, F.; Kuhnert, R.; Schaffrath Rosario, A.; Schlaud, M.; Kamtsiuris, P.; KiGGS Study Group. The first KiGGS follow-up (KiGGS Wave 1): Study conduct, sample design, and response. Bundesgesundh. Gesundh. Gesundh. 2014, 57, 747–761. [Google Scholar] [CrossRef]
- Neuberger, F.; Grgic, M.; Diefenbacher, S.; Spensberger, F.; Lehfeld, A.-S.; Buchholz, U.; Haas, W.; Kalicki, B.; Kuger, S. COVID-19 Infections in Day Care Centres in Germany: Social and Organisational Determinants of Infections in Children and Staff in the Second and Third Wave of the Pandemic. BMC Public Health 2022, 22, 98. [Google Scholar] [CrossRef]
- Langenkamp, A.; Cano, T.; Czymara, C.S. My Home Is My Castle? The Role of Living Arrangements on Experiencing the COVID-19 Pandemic: Evidence From Germany. Front. Sociol. 2022, 6, 785201. [Google Scholar] [CrossRef] [PubMed]


| Regensburg (n = 507) | Leipzig (n = 213) | ||||
|---|---|---|---|---|---|
| w 1 | w 2 | w 1 | w 2 | ||
| Sociodemographic information | |||||
| Age mother at wave 1 | Mean (SD) | 36.4 years (3.9 years) | 35.5 years (4.5 years) | ||
| Age child at wave 1 a | Mean (SD) | 3.4 years (0.9 years) | 3.7 years (1.3 years) | ||
| Child in kindergarten a | Yes | 334 (66%) | 133 (62%) | ||
| No | 148 (29%) | 38 (18%) | |||
| Missing | 25 (5%) | 42 (20%) | |||
| Employment status parents | Both employed | 316 (62%) | 122 (57%) | ||
| One employed | 159 (31%) | 66 (31%) | |||
| Both unemployed | 4 (1%) | 7 (3%) | |||
| Missing | 28 (6%) | 18 (9%) | |||
| Education b | Higher | 400 (79%) | 180 (85%) | ||
| Lower | 105 (21%) | 32 (15%) | |||
| Missing | 2 (<1%) | 1 (<1%) | |||
| Migration background c | Yes | 53 (10%) | 7 (3%) | ||
| No | 441 (87%) | 154 (72%) | |||
| Missing | 13 (3%) | 52 (25%) | |||
| Pandemic-related information | |||||
| Currently in quarantine | Yes | 2 (<1%) | 6 (1%) | 5 (2%) | 5 (2%) |
| No | 505 (100%) | 501 (99%) | 208 (98%) | 208 (98%) | |
| Person at risk in family/circle of friends | Yes | 429 (85%) | 488 (96%) | 179 (84%) | 184 (86%) |
| No | 78 (15%) | 19 (4%) | 34 (16%) | 29 (14%) | |
| Infection in family/circle of friends | Severe | 49 (9%) | 102 (20%) | 10 (5%) | 46 (22%) |
| Mild | 69 (14%) | 230 (45%) | 18 (8%) | 102 (48%) | |
| No | 389 (77%) | 175 (35%) | 185 (87%) | 65 (30%) | |
| Change in working situation | No change | 185 (36%) | 85 (40%) | ||
| More home office | 304 (60%) | 128 (60%) | |||
| Missing | 18 (4%) | 0 (0%) | |||
| Main Effects Only | Significant Interaction Time * Region | |||||
|---|---|---|---|---|---|---|
| Effect Region (L vs. RB) | Effect Time (w 2 vs. w 1) | Effect Time in Regensburg | Effect Time in Leipzig | p-Value Difference | ||
| Worries about own person | OR CI | 0.47 0.31–0.72 | 2.08 1.66–2.60 | ns | ||
| p | <0.001 | <0.001 | ||||
| Worries about family | OR CI | 1.38 1.08–1.78 | 3.01 1.93–4.71 | |||
| p | <0.05 | <0.001 | <0.001 | |||
| Worries about friends | OR CI | 1.72 1.33–2.21 | 2.97 1.90–4.67 | |||
| p | <0.001 | <0.001 | <0.01 | |||
| Worries about hometown | OR CI | 1.47 1.15–1.88 | 2.67 1.71–4.19 | |||
| p | <0.01 | <0.001 | <0.05 | |||
| Worries about country | OR CI | 0.76 0.54–1.06 | 1.54 1.25–1.90 | ns | ||
| p | 0.108 | <0.001 | ||||
| Worries about world | OR CI | 0.64 0.43–0.95 | 0.80 0.65–0.99 | ns | ||
| p | <0.05 | <0.05 | ||||
| Worries about economy | OR CI | 0.76 0.52–1.11 | 0.74 0.60–0.92 | ns | ||
| p | 0.159 | <0.01 | ||||
| Worries about own financial situation | OR CI | 0.82 0.49–1.35 | 0.54 0.43–0.68 | ns | ||
| p | 0.430 | <0.001 | ||||
| Trust in policy measures | OR CI | 0.30 0.22–0.39 | 0.91 0.59–1.41 | |||
| p | <0.001 | 0.689 | <0.001 | |||
Publisher’s Note: MDPI stays neutral with regard to jurisdictional claims in published maps and institutional affiliations. |
© 2022 by the authors. Licensee MDPI, Basel, Switzerland. This article is an open access article distributed under the terms and conditions of the Creative Commons Attribution (CC BY) license (https://creativecommons.org/licenses/by/4.0/).
Share and Cite
Brandstetter, S.; Poulain, T.; Vogel, M.; Meigen, C.; Melter, M.; Köninger, A.; Apfelbacher, C.; Kiess, W.; Kabesch, M.; Körner, A.; et al. Families’ Worries during the First and Second COVID-19 Wave in Germany: Longitudinal Study in Two Population-Based Cohorts. Int. J. Environ. Res. Public Health 2022, 19, 2820. https://doi.org/10.3390/ijerph19052820
Brandstetter S, Poulain T, Vogel M, Meigen C, Melter M, Köninger A, Apfelbacher C, Kiess W, Kabesch M, Körner A, et al. Families’ Worries during the First and Second COVID-19 Wave in Germany: Longitudinal Study in Two Population-Based Cohorts. International Journal of Environmental Research and Public Health. 2022; 19(5):2820. https://doi.org/10.3390/ijerph19052820
Chicago/Turabian StyleBrandstetter, Susanne, Tanja Poulain, Mandy Vogel, Christof Meigen, Michael Melter, Angela Köninger, Christian Apfelbacher, Wieland Kiess, Michael Kabesch, Antje Körner, and et al. 2022. "Families’ Worries during the First and Second COVID-19 Wave in Germany: Longitudinal Study in Two Population-Based Cohorts" International Journal of Environmental Research and Public Health 19, no. 5: 2820. https://doi.org/10.3390/ijerph19052820
APA StyleBrandstetter, S., Poulain, T., Vogel, M., Meigen, C., Melter, M., Köninger, A., Apfelbacher, C., Kiess, W., Kabesch, M., Körner, A., & KUNO Kids Study Group. (2022). Families’ Worries during the First and Second COVID-19 Wave in Germany: Longitudinal Study in Two Population-Based Cohorts. International Journal of Environmental Research and Public Health, 19(5), 2820. https://doi.org/10.3390/ijerph19052820

