Neural Mechanisms of Subliminal Mentor-Student Relationship Stimuli Processing: An ERP Study
Abstract
1. Introduction
2. Methods
2.1. Participants
2.2. Materials
2.3. Psychometric Assessment
2.3.1. Mentor’s Abusive Supervision
2.3.2. Mentor Satisfaction
2.4. Experimental Procedure
2.5. ERP Data Recording
2.6. Statistical Analysis
3. Results
3.1. Behaviors
3.2. ERPs
3.2.1. P2
3.2.2. N2
3.2.3. P3
3.3. Correlation between ERPs and Subjective Ratings
4. Discussion
Limitations and Future Research
5. Conclusions
Author Contributions
Funding
Institutional Review Board Statement
Informed Consent Statement
Data Availability Statement
Acknowledgments
Conflicts of Interest
References
- Busch, J.W. Mentoring in graduate schools of education: Mentors’ perceptions. Am. Educ. Res. J. 1985, 22, 257–265. [Google Scholar] [CrossRef]
- Clark, R.A.; Harden, S.L. Mentor relationships in clinical psychology doctoral training: Results of a national survey. Teach. Psychol. 2000, 27, 262–268. [Google Scholar] [CrossRef]
- Roach, A.; Christensen, B.K.; Rieger, E. The essential ingredients of research supervision: A discrete-choice experiment. J. Educ. Psychol. 2019, 111, 1243–1260. [Google Scholar] [CrossRef]
- Stafford, B.; Robbins, S.P. Mentorship for graduate social work students: Real or ideal. J. Appl. Soc. Sci. 1991, 15, 193–206. [Google Scholar]
- Yamada, S.; Cappadocia, M.C.; Pepler, D. Workplace bullying in Canadian graduate psychology programs: Student perspectives of student–supervisor relationships. Train. Educ. Prof. Psychol. 2014, 8, 58–67. [Google Scholar] [CrossRef]
- Johnson, W.B.; Huwe, J.M. Toward a typology of mentorship dysfunction in graduate school. Psychotherapy 2002, 39, 44–55. [Google Scholar] [CrossRef]
- Lienard, J.F.; Achakulvisut, T.; Acuna, D.E.; David, S.V. Intellectual synthesis in mentorship determines success in academic careers. Nat. Commun. 2018, 9, 4840. [Google Scholar] [CrossRef]
- Tompkins, K.A.; Brecht, K.; Tucker, B.; Neander, L.L.; Swift, J.K. Who matters most? The contribution of faculty, student-peers, and outside support in predicting graduate student satisfaction. Train. Educ. Prof. Psychol. 2016, 10, 102–108. [Google Scholar] [CrossRef]
- Biaggio, M.; Paget, T.L.; Chenoweth, M.S. A model for ethical management of faculty-student dual relationships. Prof. Psychol. Res. Pract. 1997, 28, 184–189. [Google Scholar] [CrossRef]
- Johnson, W.B.; Rose, G.; Schlosser, L.Z. Student-faculty mentoring: Theoretical and methodological issues. In The Blackwell Handbook of Mentoring: A Multiple Perspectives Approach; Allen, T.D., Eby, L.T., Eds.; Blackwell Publishing: Malden, MA, USA, 2008; pp. 49–70. [Google Scholar]
- Ache, F.; Rader, C.; Hütter, M. Advisors want their advice to be used – but not too much: An interpersonal perspective on advice taking. J. Exp. Soc. Psychol. 2020, 89, 103979. [Google Scholar] [CrossRef]
- Patnoe, S. A Narrative History of Experimental Social Psychology: The Lewin Tradition; Springer: New York, NY, USA, 1988. [Google Scholar]
- Magee, J.C.; Smith, P.K. The social distance theory of power. Pers. Soc. Psychol. Rev. 2013, 17, 158–186. [Google Scholar] [CrossRef] [PubMed]
- Keltner, D.; Gruenfeld, D.H.; Anderson, C. Power, approach, and inhibition. Psychol. Rev. 2003, 110, 265–284. [Google Scholar] [CrossRef] [PubMed]
- Tiedens, L.Z.; Fragale, A.R. Power moves: Complementarity in dominant and submissive nonverbal behavior. J. Pers. Soc. Psychol. 2003, 84, 558–568. [Google Scholar] [CrossRef] [PubMed]
- Guinote, A. Power and affordances: When the situation has more power over powerful than powerless individuals. J. Pers. Soc. Psychol. 2008, 95, 237–252. [Google Scholar] [CrossRef] [PubMed]
- Guinote, A. In touch with your feelings: Power increases reliance on bodily information. Soc. Cogn. 2010, 28, 110–121. [Google Scholar] [CrossRef]
- Kunstman, J.W.; Maner, J.K. Sexual overperception: Power, mating motives, and biases in social judgement. J. Pers. Soc. Psychol. 2011, 100, 282–294. [Google Scholar] [CrossRef]
- Gruenfeld, D.H.; Inesi, M.E.; Magee, J.C.; Galinsky, A.D. Power and the objectification of social targets. J. Pers. Soc. Psychol. 2008, 95, 111–127. [Google Scholar] [CrossRef]
- Kipnis, D. Does power corrupt? J. Pers. Soc. Psychol. 1972, 24, 33–41. [Google Scholar] [CrossRef]
- Gabriel, S.; Valenti, J.; Young, A.F. Social surrogates, social motivations, and everyday activities: The case for a strong, subtle, and sneaky social self. In Advances in experimental Social Psychology; Olson, J.M., Zanna, M.P., Eds.; Academic Press: London, UK, 2016; pp. 191–245. [Google Scholar]
- Tu, C.-H. The measurement of social presence in an online learning environment. Int. J. E-Learn. 2002, 1, 34–45. [Google Scholar] [CrossRef]
- Inzlicht, M.; Ben-Zeev, T. A threatening intelectual environment: Why females are susceptible to experiencing problem-solving deficits in the presence of males. Psychol. Sci. 2000, 11, 365–371. [Google Scholar] [CrossRef]
- Jones, C.R.; Olson, M.A.; Fazio, R.H. Evaluative conditioning: The “how” question. In Advaces in Experimental Social Psychology; Zanna, M.P., Olson, J.M., Eds.; Academic Press: London, UK, 2010; pp. 205–255. [Google Scholar]
- Fan, X.; Bodenhausen, G.V.; Lee, A.Y. Acquiring favorable attitudes based on aversive affective cues: Examining the spontaneity and efficiency of propositional evaluative conditioning. J. Exp. Soc. Psychol. 2021, 95, 104139. [Google Scholar] [CrossRef]
- Crusius, J.; Lange, J. What catches the envious eye? Attentional biases within malicious and benign envy. J. Exp. Soc. Psychol. 2014, 55, 1–11. [Google Scholar] [CrossRef]
- Mussweiler, T.; Rüter, K.; Epstude, K. The man who wasn’t there: Subliminal social comparison standards influence self-evaluation. J. Exp. Soc. Psychol. 2004, 40, 689–696. [Google Scholar] [CrossRef]
- Chatard, A.; Bocage-Barthélémy, Y.; Selimbegović, L.; Guimond, S. The woman who wasn’t there: Converging evidence that subliminal social comparison affects self-evaluation. J. Exp. Soc. Psychol. 2017, 73, 1–13. [Google Scholar] [CrossRef]
- Berlad, I.; Pratt, H. P300 in response to the subject’s own name. Electroencephalogr. Clin. Neurophysiol. 1995, 96, 472–474. [Google Scholar] [CrossRef]
- Doradzińska, Ł.; Wójcik, M.J.; Paź, M.; Nowicka, M.M.; Nowicka, A.; Bola, M. Unconscious perception of one’s own name modulates amplitude of the P3B ERP component. Neuropsychologia 2020, 147, 107564. [Google Scholar] [CrossRef] [PubMed]
- Holeckova, I.; Fischer, C.; Morlet, D.; Delpuech, C.; Costes, N.; Mauguiere, F. Subject’s own name as a novel in a MMN design: A combined ERP and PET study. Brain Res. 2008, 1189, 152–165. [Google Scholar] [CrossRef] [PubMed]
- Tacikowski, P.; Cygan, H.B.; Nowicka, A. Neural correlates of own and close-other’s name recognition: ERP evidence. Front. Hum. Neurosci. 2014, 8, 194. [Google Scholar] [CrossRef]
- Wang, L.; Zhu, Z.; Bastiaansen, M.; Hagoort, P.; Yang, Y. Recognizing the emotional valence of names: An ERP study. Brain Lang. 2013, 125, 118–127. [Google Scholar] [CrossRef][Green Version]
- Zhu, Y.; Zhang, L.; Fan, J.; Han, S. Neural basis of cultural influence on self-representation. NeuroImage 2007, 34, 1310–1316. [Google Scholar] [CrossRef]
- Tacikowski, P.; Nowicka, A. Allocation of attention to self-name and self-face: An ERP study. Biol. Psychol. 2010, 84, 318–324. [Google Scholar] [CrossRef] [PubMed]
- Tacikowski, P.; Jednorog, K.; Marchewka, A.; Nowicka, A. How multiple repetitions influence the processing of self-, famous and unknown names and faces: An ERP study. Int. J. Psychophysiol. 2011, 79, 219–230. [Google Scholar] [CrossRef] [PubMed]
- Leuthold, H.; Kunkel, A.; Mackenzie, I.G.; Filik, R. Online processing of moral transgressions: ERP evidence for spontaneous evaluation. Soc. Cogn. Affect. Neurosci. 2015, 10, 1021–1029. [Google Scholar] [CrossRef] [PubMed]
- Seib-Pfeifer, L.-E.; Gibbons, H. Independent ERP predictors of affective priming underline the importance of depth of prime and target processing and implicit affect misattribution. Brain Cogn. 2019, 136, 103595. [Google Scholar] [CrossRef] [PubMed]
- Luck, S.J.; Hillyard, S.A. Electrophysiological correlates of feature analysis during visual search. Psychophysiology 1994, 31, 291–308. [Google Scholar] [CrossRef]
- Kasai, T. Early visual selection in near and far space: An event-related potential study. Neuroreport 2008, 19, 961–964. [Google Scholar] [CrossRef]
- Leppänen, J.M.; Kauppinen, P.; Peltola, M.J.; Hietanen, J.K. Differential electrocortical responses to increasing intensities of fearful and happy emotional expressions. Brain Res. 2007, 1166, 103–109. [Google Scholar] [CrossRef][Green Version]
- Bar-Haim, Y.; Lamy, D.; Glickman, S. Attentional bias in anxiety: A behavioral and ERP study. Brain Cogn. 2005, 59, 11–22. [Google Scholar] [CrossRef]
- Chen, P.; Qiu, J.; Li, H.; Zhang, Q. Spatiotemporal cortical activation underlying dilemma decision-making: An event-related potential study. Biol. Psychol. 2009, 82, 111–115. [Google Scholar] [CrossRef]
- Lu, J.; Peng, X.; Liao, C.; Cui, F. The stereotype of professional roles influences neural responses to moral transgressions: ERP evidence. Biol. Psychol. 2019, 145, 55–61. [Google Scholar] [CrossRef]
- Ramsey, R.; Ward, R. Putting the nonsocial into social neuroscience: A role for domain-general priority maps during social interactions. Perspect. Psychol. Sci. 2020, 15, 1076–1094. [Google Scholar] [CrossRef] [PubMed]
- Desimone, R.; Duncan, J. Neural mechanisms of selective visual attention. Annu Rev. Neurosci. 1995, 18, 193–222. [Google Scholar] [CrossRef] [PubMed]
- Maunsell, J.H.R. Neuronal mechanisms of visual attention. Annu. Rev. Vis. Sci. 2015, 1, 373–391. [Google Scholar] [CrossRef] [PubMed]
- Moore, T.; Zirnsak, M. Neural mechanisms of selective visual attention. Annu. Rev. Psychol. 2017, 68, 47–72. [Google Scholar] [CrossRef]
- Patel, S.H.; Azzam, P.N. Characterization of N200 and P300: Selected studies of the event-related potential. Int. J. Med. Sci. 2005, 2, 147–154. [Google Scholar] [CrossRef]
- Folstein, J.R.; van Petten, C. Influence of cognitive control and mismatch on the N2 component of the ERP: A review. Psychophysiology 2008, 45, 152–170. [Google Scholar] [CrossRef]
- Luck, S.J. Electrophysiological correlates of the focusing of attention within complex visual scenes: N2pc and related ERP components. In The Oxford Handbook of Event-Related Potential Components; Kappenman, E.S., Luck, S.J., Eds.; Oxford University Press: New York, NY, USA, 2011; 2p. [Google Scholar]
- Ernst, L.H.; Ehlis, A.-C.; Dresler, T.; Tupak, S.V.; Weidner, A.; Fallgatter, A.J. N1 and N2 ERPs reflect the regulation of automatic approach tendencies to positive stimuli. Neurosci. Res. 2013, 75, 239–249. [Google Scholar] [CrossRef]
- O’Donnell, B.F.; Shenton, M.E.; McCarley, R.W.; Faux, S.F.; Smith, R.S.; Salisbury, D.F.; Nestor, P.G.; Pollak, S.D.; Kikinis, R.; Jolesz, F.A. The auditory N2 component in schizophrenia: Relationship to MRI temporal lobe gray matter and to other ERP abnormalities. Biol. Psychiatry 1993, 34, 26–40. [Google Scholar] [CrossRef]
- Di Russo, F.; Martinez, A.; Sereno, M.I.; Pitzalis, S.; Hillyard, S.A. Cortical sources of the early components of the visual evoked potential. Hum. Brain Mapp. 2002, 15, 95–111. [Google Scholar] [CrossRef]
- Proverbio, A.M.; Vanutelli, M.E.; Vigano, S. Remembering faces: The effects of emotional valence and temporal recency. Brain Cogn. 2019, 135, 103584. [Google Scholar] [CrossRef]
- Lawson, A.L.; Liu, X.; Joseph, J.; Vagnini, V.L.; Kelly, T.H.; Jiang, Y. Sensation seeking predicts brain responses in the old-new task: Converging multimodal neuroimaging evidence. Int. J. Psychophysiol. 2012, 84, 260–269. [Google Scholar] [CrossRef] [PubMed]
- Bockler, A.; Alpay, G.; Sturmer, B. Accessory stimuli affect the emergence of conflict, not conflict control. Exp. Psychol. 2011, 58, 102–109. [Google Scholar] [CrossRef] [PubMed]
- West, R.; Alain, C. Event-related neural activity associated with the Stroop task. Cogn. Brain Res. 1999, 8, 157–164. [Google Scholar] [CrossRef]
- Bartholow, B.D.; Pearson, M.A.; Dickter, C.L.; Sher, K.J.; Fabiani, M.; Gratton, G. Strategic control and medial frontal negativity: Beyond errors and response conflict. Psychophysiology 2005, 42, 33–42. [Google Scholar] [CrossRef] [PubMed]
- Fiske, S.T. Controlling other people: The impact of power on sterotyping. Am. Psychol. 1993, 48, 621–628. [Google Scholar] [CrossRef] [PubMed]
- Barry, R.J.; Steiner, G.Z.; De Blasio, F.M.; Fogarty, J.S.; Karamacoska, D.; MacDonald, B. Components in the P300: Don’t forget the Novelty P3! Psychophysiology 2020, 57, e13371. [Google Scholar] [CrossRef]
- Ernst, B.; Steinhauser, M. The effect of feedback novelty on neural correlates of feedback processing. Brain Cogn. 2020, 144, 105610. [Google Scholar] [CrossRef]
- Verleger, R. Effects of relevance and response frequency on P3b amplitudes: Review of findings and comparison of hypotheses about the process reflected by P3b. Psychophysiology 2020, 57, e13542. [Google Scholar] [CrossRef]
- Liddell, B.J.; Williams, L.M.; Rathjen, J.; Shevrin, H.; Gordon, E. A temporal dissociation of subliminal versus supraliminal fear perception: An event-related potential study. J. Cogn. Neurosci. 2004, 16, 479–486. [Google Scholar] [CrossRef]
- Marzouki, Y.; Midgley, K.J.; Holcomb, P.J.; Grainger, J. An ERP investigation of the modulation of subliminal priming by exogenous cues. Brain Res. 2008, 1231, 86–92. [Google Scholar] [CrossRef]
- Ma, Y.; Ma, H.; Chen, X. Security priming improves attentional processing to infant emotions among insecurely attached women: The different roles of supraliminal and subliminal priming. Neuropsychologia 2019, 134, 107216. [Google Scholar] [CrossRef] [PubMed]
- Vukusic, S.; Ciorciari, J.; Crewther, D.P. Electrophysiological correlates of subliminal perception of facial expressions in individuals with autistic traits: A backward masking study. Front. Hum. Neurosci. 2017, 11, 256. [Google Scholar] [CrossRef] [PubMed]
- Tanaka, M.; Yamada, E.; Maekawa, T.; Ogata, K.; Takamiya, N.; Nakazono, H.; Tobimatsu, S. Gender differences in subliminal affective face priming: A high-density ERP study. Brain Behav. 2021, 11, e02060. [Google Scholar] [CrossRef]
- Faul, F.; Erdfelder, E.; Buchner, A.; Lang, A.-G. Statistical power analyses using G*Power 3.1: Tests for correlation and regression analyses. Behav. Res. Methods 2009, 41, 1149–1160. [Google Scholar] [CrossRef] [PubMed]
- Carmody, S. Ngramr, R package version 1.7.2. 2021. Available online: https://cran.r-project.org/web/packages/ngramr/index.html (accessed on 24 February 2022).
- Miao, Q.; Chen, S.; Gong, Z.; Hong, Y. Handbook of HRM Frontier Research & Practice Scales; Zhejiang University Press: Hangzhou, China, 2015. [Google Scholar]
- Tepper, B.J. Consequences of abusive supervision. Acad. Manag. J. 2000, 43, 178–190. [Google Scholar] [CrossRef]
- Seib-Pfeifer, L.-E.; Kirsten, H.; Gibbons, H. Attention please: ERP evidence for prime-target resource competition in the neutral-target variant of affective priming. Acta Psychol. 2020, 208, 103102. [Google Scholar] [CrossRef]
- von Gunten, C.; Bartholow, B.D.; Scherer, L.D. Using ERPs to investigate valence processing in the affect misattribution procedure. Psychophysiology 2017, 54, 172–181. [Google Scholar] [CrossRef]
- Eldar, S.; Yankelevitch, R.; Lamy, D.; Bar-Haim, Y. Enhanced neural reactivity and selective attention to threat in anxiety. Biol. Psychol. 2010, 85, 252–257. [Google Scholar] [CrossRef]
- Cheung, M.W.L.; Chan, W. Testing dependent correlation coefficients via structural equation modeling. Organ. Res. Methods 2004, 7, 206–223. [Google Scholar] [CrossRef]
- Bates, D.; Mächler, M.; Bolker, B.; Walker, S. Fitting linear mixed-effects model using lme4. J. Stat. Softw. 2015, 67, 1–48. [Google Scholar] [CrossRef]
- Kissler, J.; Assadollahi, R.; Herbert, C. Emotional and semantic networks in visual word processing: Insights from ERP studies. Prog. Brain Res. 2006, 156, 147–183. [Google Scholar] [CrossRef] [PubMed]
- Maekawa, T.; Goto, Y.; Kinukawa, N.; Taniwaki, T.; Kanba, S.; Tobimatsu, S. Functional characterization of mismatch negativity to a visual stimulus. Clin. Neurophysiol. 2005, 116, 2392–2402. [Google Scholar] [CrossRef] [PubMed]
- Hu, A.; Gu, F.; Wong, L.L.N.; Tong, X.; Zhang, X. Visual mismatch negativity elicited by semantic violations in visual words. Brain Res. 2020, 1746, 147010. [Google Scholar] [CrossRef] [PubMed]
- Payne, B.K.; Gawronski, B. A history of implicit social cognition: Where is it coming from? Where is it now? Where is it going? In Handbook of Implicit Social Cognition; Gawronski, B., Payne, B.K., Eds.; Guilford Publication, Inc.: New York, NY, USA, 2010. [Google Scholar]
- Greenwald, A.G.; Nosek, B.A.; Banaji, M.R. Understanding and using the Implicit Association Test: I. An improved scoring algorithm. J. Pers. Soc. Psychol. 2003, 85, 197–216. [Google Scholar] [CrossRef]
- Sherman, J.W.; Gawronski, B.; Gonsalkorale, K.; Hugenberg, K.; Allen, T.J.; Groom, C.J. The self-regulation of automatic associations and behavioral impulses. Psychol. Rev. 2008, 115, 314–335. [Google Scholar] [CrossRef]
- Yun, X.; Li, W.; Qiu, J.; Jou, J.; Wei, D.; Tu, S.; Zhang, Q. Neural mechanisms of subliminal priming for traumatic episodic memory: An ERP study. Neurosci. Lett. 2011, 498, 10–14. [Google Scholar] [CrossRef]
- Metzger, L.J.; Pitman, R.K.; Miller, G.A.; Paige, S.R.; Orr, S.P. Intensity dependence of auditory P2 in monozygotic twins discordant for Vietnam combat: Associations with posttraumatic stress disorder. J. Rehabil. Res. Dev. 2008, 45, 437–449. [Google Scholar] [CrossRef]
- Wessa, M.; Karl, A.; Flor, H. Central and peripheral psychophysiological responses to trauma-related cues in subclinical posttraumatic stress disorder: A pilot study. Exp. Brain Res. 2005, 167, 56–65. [Google Scholar] [CrossRef]
- Javanbakht, A.; Liberzon, I.; Amirsadri, A.; Gjini, K.; Boutros, N.N. Event-related potential studies of post-traumatic stress disorder: A critical review and synthesis. Biol. Mood Anxiety Disord. 2011, 1, 5. [Google Scholar] [CrossRef]
- Oh, C.S.; Bailenson, J.N.; Welch, G.F. A systematic review of social presence: Definition, antecedents, and implications. Front. Robot. AI 2018, 5, 1–35. [Google Scholar] [CrossRef]
- Foucault, M. Power/Knowledge: Selected Interviews and other Writings 1972–1977; Pantheon Books: New York, NY, USA, 1980. [Google Scholar]
- Burgess, A.; van Diggele, C.; Mellis, C. Mentorship in the health professions: A review. Clin. Teach. 2018, 15, 197–202. [Google Scholar] [CrossRef] [PubMed]
- Chan, S. Learning through apprenticeship: Belonging to a workplace, becoming and being. Vocat. Learn. 2013, 6, 367–383. [Google Scholar] [CrossRef]
- Tenbrunsel, A.E.; Rees, M.R.; Diekmann, K.A. Sexual harassment in academia: Ethical climates and bounded ethicality. Annu. Rev. Psychol. 2019, 70, 245–270. [Google Scholar] [CrossRef] [PubMed]
- Van Kleef, G.A.; De Dreu, C.K.W.; Pietroni, D.; Manstead, A.S.R. Power and emotion in negotiation: Power moderates the interpersonal effects of anger and happiness on concession making. Eur. J. Soc. Psychol. 2006, 36, 557–581. [Google Scholar] [CrossRef]





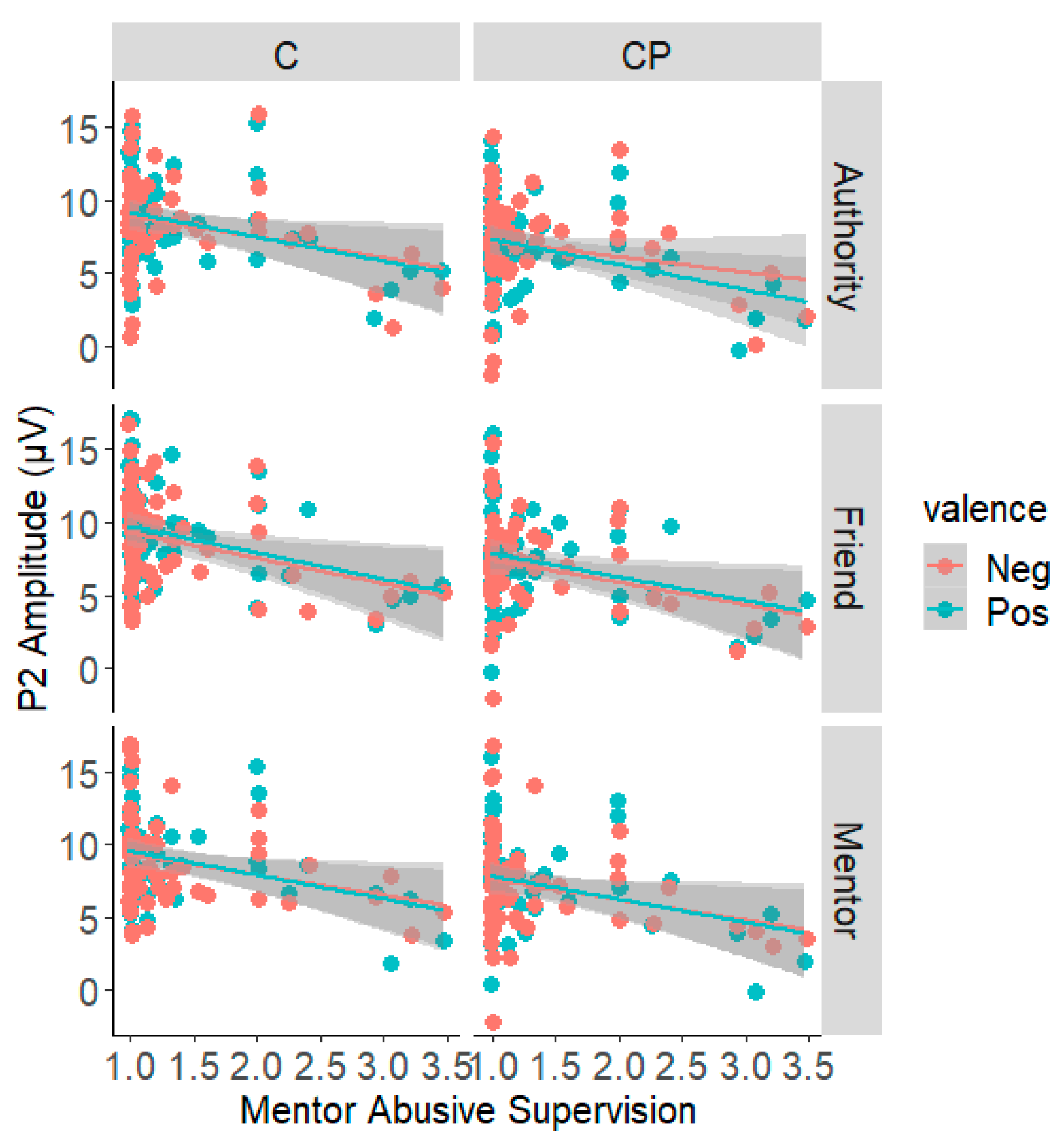
| Brain Region | Prime | Valence of Target Word | Abusive Supervision | Mentor Satisfaction |
|---|---|---|---|---|
| C | Mentor | Positive | −0.333 * | 0.125 |
| C | Mentor | Negative | −0.280 * | 0.105 |
| CP | Mentor | Positive | −0.299 * | 0.141 |
| CP | Mentor | Negative | −0.251 † | 0.095 |
| C | Authority | Positive | −0.327 * | 0.107 |
| C | Authority | Negative | −0.270 * | 0.014 |
| CP | Authority | Positive | −0.324 * | 0.169 |
| CP | Authority | Negative | −0.205 | 0.059 |
| C | Friend | Positive | −0.334 * | 0.110 |
| C | Friend | Negative | −0.321 * | 0.167 |
| CP | Friend | Positive | −0.292 * | 0.166 |
| CP | Friend | Negative | −0.289 * | 0.170 |
Publisher’s Note: MDPI stays neutral with regard to jurisdictional claims in published maps and institutional affiliations. |
© 2022 by the authors. Licensee MDPI, Basel, Switzerland. This article is an open access article distributed under the terms and conditions of the Creative Commons Attribution (CC BY) license (https://creativecommons.org/licenses/by/4.0/).
Share and Cite
Wu, Y.; Luo, N.; Zhang, Y. Neural Mechanisms of Subliminal Mentor-Student Relationship Stimuli Processing: An ERP Study. Int. J. Environ. Res. Public Health 2022, 19, 2760. https://doi.org/10.3390/ijerph19052760
Wu Y, Luo N, Zhang Y. Neural Mechanisms of Subliminal Mentor-Student Relationship Stimuli Processing: An ERP Study. International Journal of Environmental Research and Public Health. 2022; 19(5):2760. https://doi.org/10.3390/ijerph19052760
Chicago/Turabian StyleWu, Yang, Na Luo, and Yan Zhang. 2022. "Neural Mechanisms of Subliminal Mentor-Student Relationship Stimuli Processing: An ERP Study" International Journal of Environmental Research and Public Health 19, no. 5: 2760. https://doi.org/10.3390/ijerph19052760
APA StyleWu, Y., Luo, N., & Zhang, Y. (2022). Neural Mechanisms of Subliminal Mentor-Student Relationship Stimuli Processing: An ERP Study. International Journal of Environmental Research and Public Health, 19(5), 2760. https://doi.org/10.3390/ijerph19052760

