Acute Physiological Response to Different Sprint Training Protocols in Normobaric Hypoxia
Abstract
:1. Introduction
2. Materials and Methods
2.1. Experimental Procedure
2.2. Training Protocol
2.3. Blood Sampling
2.4. Performance Measures
2.5. Statistical Analysis
3. Results
4. Discussion
4.1. Peak Power Output during Sprint Training in Hypoxia and Normoxia
4.2. Physiological Responses to Sprint Training in Hypoxia and Normoxia
4.3. Blood Gas Responses to Sprint Training in Hypoxia and Normoxia
4.4. Perceptual Response to Sprint Training in Hypoxia and Normoxia
4.5. Limitations
4.6. Future Directions and Practical Application
5. Conclusions
Supplementary Materials
Author Contributions
Funding
Institutional Review Board Statement
Informed Consent Statement
Data Availability Statement
Acknowledgments
Conflicts of Interest
References
- Böning, D. Altitude and Hypoxia Training—A Short Review. Int. J. Sports Med. 1997, 18, 565–570. [Google Scholar] [CrossRef] [PubMed]
- Wehrlin, J.P.; Zuest, P.; Hallén, J.; Marti, B. Live high-train low for 24 days increases hemoglobin mass and red cell volume in elite endurance athletes. J. Appl. Physiol. 2006, 100, 1938–1945. [Google Scholar] [CrossRef] [PubMed]
- Levine, B.D.; Stray-Gundersen, J. “Living high-training low”: Effect of moderate-altitude acclimatization with low-altitude training on performance. J. Appl. Physiol. 1997, 83, 102–112. [Google Scholar] [CrossRef] [PubMed]
- Kraemer, W.J.; Rogol, A.D. The Endocrine System in Sports and Exercise; John Wiley & Sons: Hoboken, NJ, USA, 2008; Volume 11. [Google Scholar]
- McLean, B.D.; Gore, C.J.; Kemp, J. Application of “live low-train high” for enhancing normoxic exercise performance in team sport athletes. Sports Med. 2014, 44, 1275–1287. [Google Scholar] [CrossRef]
- Roberts, A.; Clark, S.; Townsend, N.; Anderson, M.; Gore, C.; Hahn, A. Changes in performance, maximal oxygen uptake and maximal accumulated oxygen deficit after 5, 10 and 15 days of live high:train low altitude exposure. Eur. J. Appl. Physiol. 2003, 88, 390–395. [Google Scholar] [CrossRef]
- Faiss, R.; Girard, O.; Millet, G.P. Advancing hypoxic training in team sports: From intermittent hypoxic training to repeated sprint training in hypoxia. Br. J. Sports Med. 2013, 47 (Suppl. S1), i45–i50. [Google Scholar] [CrossRef] [Green Version]
- Brocherie, F.; Girard, O.; Faiss, R.; Millet, G.P. Effects of Repeated-Sprint Training in Hypoxia on Sea-Level Performance: A Meta-Analysis. Sport Med. 2017, 47, 1651–1660. [Google Scholar] [CrossRef]
- Nummela, A.; Rusko, H. Acclimatization to altitude and normoxic training improve 400-m running performance at sea level. J. Sports Sci. 2010, 18, 411–419. [Google Scholar] [CrossRef]
- Czuba, M.; Wilk, R.; Karpiński, J.; Chalimoniuk, M.; Zajac, A.; Zef Langfort, J. Intermittent hypoxic training improves anaerobic performance in competitive swimmers when implemented into a direct competition mesocycle. PLoS ONE 2017, 12, 1–17. [Google Scholar] [CrossRef] [Green Version]
- Bonetti, D.L.; Hopkins, W.G.; Kilding, A.E. High-intensity kayak performance after adaptation to intermittent hypoxia. Int. J. Sports Physiol. Perform. 2006, 1, 246–260. [Google Scholar] [CrossRef] [Green Version]
- Galvin, H.M.; Cooke, K.; Sumners, D.P.; Mileva, K.N.; Bowtell, J.L. Repeated sprint training in normobaric hypoxia. Br. J. Sports Med. 2013, 47 (Suppl. S1), i74–i79. [Google Scholar] [CrossRef] [PubMed]
- Faiss, R.; Léger, B.; Vesin, J.M.; Fournier, P.E.; Eggel, Y.; Dériaz, O.; Millet, G.P. Significant Molecular and Systemic Adaptations after Repeated Sprint Training in Hypoxia. PLoS ONE 2013, 8, e56522. [Google Scholar] [CrossRef] [PubMed] [Green Version]
- Bowtell, J.L.; Cooke, K.; Turner, R.; Mileva, K.N.; Sumners, D.P. Acute physiological and performance responses to repeated sprints in varying degrees of hypoxia. J. Sci. Med. Sport 2014, 17, 399–403. [Google Scholar] [CrossRef] [PubMed]
- Iaia, F.M.; Bangsbo, J. Speed endurance training is a powerful stimulus for physiological adaptations and performance improvements of athletes. Scand. J. Med. Sci. Sport 2010, 20 (Suppl. S2), 11–23. [Google Scholar] [CrossRef]
- Gore, C.J.; Hahn, A.G.; Aughey, R.J.; Martin, D.T.; Ashenden, M.J.; Clark, S.A.; Garnham, A.P.; Roberts, A.D.; Slater, G.J.; McKenna, M.J. Live high:train low increases muscle buffer capacity and submaximal cycling efficiency. Acta Physiol. Scand. 2001, 173, 275–286. [Google Scholar] [CrossRef] [Green Version]
- Kasai, N.; Mizuno, S.; Ishimoto, S.; Sakamoto, E.; Maruta, M.; Goto, K. Effect of trianing in hypoxia on repeated sprint performance in female athletes. Springerplus 2015, 4, 310–317. [Google Scholar] [CrossRef] [Green Version]
- Ross, A.; Leveritt, M. Long-Term Metabolic and Skeletal Muscle Adaptations to Short-Sprint Training. Sport Med. 2001, 31, 1063–1082. [Google Scholar] [CrossRef]
- Hazell, T.J.; MacPherson, R.E.K.; Gravelle, B.M.R.; Lemon, P.W.R. 10 or 30-S Sprint Interval Training Bouts Enhance both Aerobic and Anaerobic Performance. Eur. J. Appl. Physiol. 2010, 110, 153–160. [Google Scholar] [CrossRef]
- Micheal, J.S.; Rooney, K.B.; Smith, R.M. The metabolic demands of kayaking: A review. J. Sports Sci. Med. 2008, 7, 1–7. [Google Scholar]
- Borg, G.A. Psychophysical bases of perceived exertion. Med. Sci. Sports Exerc. 1982, 14, 377–381. [Google Scholar] [CrossRef]
- Batterham, A.; Hopkins, W.G. Making meaningful inferences about magnitudes. Int. J. Sports Physiol. Perform. 2006, 1, 50–57. [Google Scholar] [CrossRef] [PubMed]
- Heck, H.; Mader, A.; Hess, G.; Mücke, S.; Müller, R.; Hollmann, W. Justification of the 4-mmol/L Lactate Threshold. Int. J. Sports Med. 1985, 6, 117–130. [Google Scholar] [CrossRef] [PubMed]
- Bogdanis, G.C.; Nevill, M.E.; Lakomy, H.K.A.; Boobis, L.H. Power output and muscle metabolism during and following recovery from 10 and 20 s of maximal sprint exercise in humans. Acta Physiol. Scand. 1998, 163, 261–272. [Google Scholar] [CrossRef] [PubMed]
- Puype, J.; Van Proeyen, K.; Raymackers, J.M.; Deldicque, L.; Hespel, P. Sprint interval training in hypoxia stimulates glycolytic enzyme activity. Med. Sci. Sports Exerc. 2013, 45, 2166–2174. [Google Scholar] [CrossRef] [PubMed] [Green Version]
- Geiser, J.; Vogt, M.; Billeter, R.; Zuleger, C.; Belforti, F.; Hoppeler, H. Training High—Living Low: Changes of Aerobic Performance and Muscle Structure with Training at Simulated Altitude. Int. J. Sports Med. 2001, 22, 579–585. [Google Scholar] [CrossRef] [Green Version]
- Fulco, C.S.; Rock, P.B.; Cymerman, A. Maximal and submaximal exercise performance at altitude. Aviat. Space Environ. Med. 1998, 69, 793–801. Available online: http://www.ncbi.nlm.nih.gov/pubmed/9715971 (accessed on 25 April 2018). [PubMed]
- Ventura, N.; Hoppeler, H.; Seiler, R.; Binggeli, A.; Mullis, P.; Vogt, M. The Response of Trained Athletes to Six Weeks of Endurance Training in Hypoxia or Normoxia. Int. J. Sports Med. 2003, 24, 166–172. [Google Scholar] [CrossRef]
- Spencer, M.; Bishop, D.; Dawson, B.; Goodman, C. Physiological and Metabolic Responses of Repeated-Sprint Activities. Sport Med. 2005, 35, 1025–1044. [Google Scholar] [CrossRef]
- Keskinen, O.P.; Keskinen, K.L.; Mero, A.A. Effect of pool length on blood lactate, heart rate, and velocity in swimming. Int. J. Sports Med. 2007, 28, 407–413. [Google Scholar] [CrossRef]
- Girard, O.; Billaut, F.; Christian, R.J.; Bradley, P.S.; Bishop, D.J. Exercise-related sensations contribute to decrease power during repeated cycle sprints with limited influence on neural drive. Eur. J. Appl. Physiol. 2017, 117, 2171–2179. [Google Scholar] [CrossRef]
- Hamlin, M.J.; Lizamore, C.A.; Hopkins, W.G. The Effect of Natural or Simulated Altitude Training on High-Intensity Intermittent Running Performance in Team-Sport Athletes: A Meta-Analysis. Sport Med. 2017, 46, 431–446. [Google Scholar] [CrossRef]
- Stringer, W.; Wasserman, K.; Casaburi, R.; Porszasa, J.; Maehara, K.; French, W. Lactic acidosis as a facilitator of oxyhemoglobin dissociation during exercise. J. Appl. Physiol. 1994, 76. Available online: https://www.physiology.org/doi/pdf/10.1152/jappl.1994.76.4.1462 (accessed on 30 April 2018).
- Sutton, J.R.; Reeves, J.T.; Wagner, P.D.; Groves, B.M.; Cymerman, A.L.L.E.N.; Malconian, M.K.; Rock, P.B.; Young, P.M.; Walter, S.D.; Houston, C.S. Operation Everest II: Oxygen transport during exercise at extreme simulated altitude. J. Appl. Physiol. 1988, 64, 1309–1321. [Google Scholar] [CrossRef] [PubMed]
- Meert, K.L.; Clark, J.; Sarnaik, A.P. Metabolic acidosis as an underlying mechanism of respiratory distress in children with severe acute asthma. Pediatr. Crit. Care Med. 2007, 8, 519–523. [Google Scholar] [CrossRef] [PubMed]
- Meyer, T.; Faude, O.; Scharhag, J.; Urhausen, A.; Kindermann, W. Is lactic acidosis a cause of exercise induced hyperventilation at the respiratory compensation point? Br. J. Sports Med. 2004, 38, 622–625. [Google Scholar] [CrossRef] [PubMed] [Green Version]
- Creer, A.R.; Ricard, M.D.; Conlee, R.K.; Hoyt, G.L.; Parcell, A.C. Neural, Metabolic, and Performance Adaptations to Four Weeks of High Intensity Sprint-Interval Training in Trained Cyclists. Int. J. Sports Med. 2004, 25, 92–98. [Google Scholar] [CrossRef] [PubMed]
- Strass, D. Effects of Maximal Strength Training on Sprint Performance of Competitive Swimmers. Int. Ser. Sport Sci. 1988, 18, 149–156. [Google Scholar]
- Myer, G.D.; Ford, K.R.; Palumbo, J.P.; Hewett, T.E. Neuromuscular training improves performance and lower-extremity biomechanics in female athletes. J. Strength Cond. Res. 2005, 19, 51–60. [Google Scholar] [CrossRef] [PubMed] [Green Version]
- Ross, A.; Leveritt, M.; Riek, S. Neural Influences on Sprint Running. Sport Med. 2001, 31, 409–425. [Google Scholar] [CrossRef]
- Mendez-Villanueva, A.; Hamer, P.; Bishop, D. Fatigue in repeated-sprint exercise is related to muscle power factors and reduced neuromuscular activity. Eur. J. Appl. Physiol. 2008, 103, 411–419. [Google Scholar] [CrossRef] [Green Version]
- Dietz, V.; Schmidtbleicher, D.; Noth, J. Neuronal Mechanisms of Human Locomotion. J. Neurophysiol. 1979, 42, 1212–1222. Available online: https://www.physiology.org/doi/pdf/10.1152/jn.1979.42.5.1212 (accessed on 24 April 2018). [CrossRef]
- Amann, M.; Eldridge, M.W.; Lovering, A.T.; Stickland, M.K.; Pegelow, D.F.; Dempsey, J.A. Arterial oxygenation influences central motor output and exercise performance via effects on peripheral locomotor muscle fatigue in humans. J. Physiol. 2006, 575, 937–952. [Google Scholar] [CrossRef] [PubMed]
- Truijens, M.J.; Toussaint, H.M.; Dow, J.; Levine, B.D. Effect of high-intensity hypoxic training on sea-level swimming performances. J. Appl. Physiol. 2003, 94, 733–743. [Google Scholar] [CrossRef] [PubMed] [Green Version]
- Cometti, G.; Maffiuletti, N.; Pousson, M.; Chatard, J.; Maffulli, N. Isokinetic strength and anaerobic power of elite, subelite, and amateur french soccer players. Int. J. Sports Med. 2001, 22, 45–51. [Google Scholar] [CrossRef] [PubMed]
- Gabbett, T.; Kelly, J.; Ralph, S.; Driscoll, D. Physiological and anthropometric characteristics of junior elite and sub-elite rugby league players, with special reference to starters and non-starters. J. Sci. Med. Sport 2009, 12, 215–222. [Google Scholar] [CrossRef]
- Andreacci, J.L.; Lemura, L.M.; Cohen, S.L.; Urbansky, E.A.; Chelland, S.A.; von Duvillard, S.P. The effects of frequency of encouragement on performance during maximal exercise testing. J. Sports Sci. 2002, 20, 345–352. [Google Scholar] [CrossRef]

| 12 × 5 Protocol | 3 × 20 Protocol | ||||
|---|---|---|---|---|---|
| NOR | HYP | NOR | HYP | ||
| PPO (W/kg) | 3.87 ± 1.04 | 3.84 ± 0.89 | 3.56 ± 0.32 | 4.14 ± 1.4 | |
| RPE | 15 ± 1.21 | 17 ± 0.89 * | 16 ± 0.73 | 16 ± 1.35 | |
| Peak HR (bpm) | 159 ± 11 ^ | 167 ± 10 * | 164 ± 8 | 170 ± 11 * | |
| [BLa+] (mmol/L) | Pre | 1.18 ± 0.2 | 1.9 ± 0.57 | 1.64 ± 0.6 | 1.44 ± 0.48 |
| Post | 4.23 ± 1.74 | 8.52 ± 2.5 * | 9.02 ± 3.8 ^ | 10.28 ± 3.0 * | |
| Blood Gas/Metabolites | |||||
| pH | Pre | 7.41 ± 0.042 | 7.41 ± 0.013 | 7.43 ± 0.031 | 7.42 ± 0.035 |
| Post | 7.39 ± 0.051 | 7.36 ± 0.037 | 7.31 ± 0.010 | 7.34 ± 0.072 | |
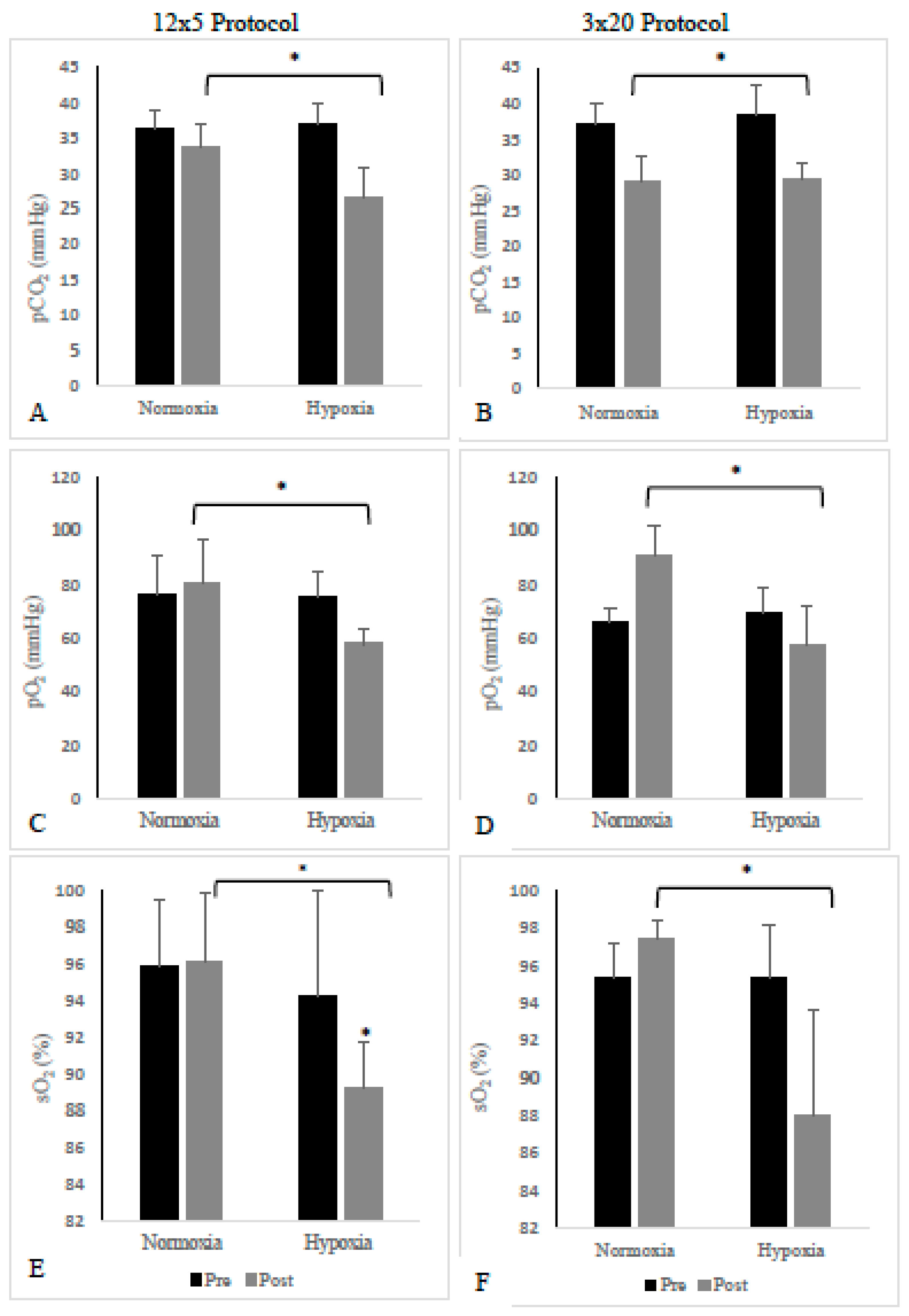
| pCO2 (mmHg) | Pre | 36.33 ± 2.66 | 37.00 ± 2.92 | 37.00 ± 3.10 | 38.33 ± 4.32 |
| Post | 33.67 ± 3.33 | 25.8 ± 4.44 * | 29.00 ± 3.39 | 29.33 ± 2.34 * | |
| pO2 (mmHg) | Pre | 76.33 ± 14.26 | 75.4 ± 9.26 | 65.8 ± 5.17 | 69.17 ± 9.79 |
| Post | 80.33 ± 16.75 | 57.8 ± 5.45 * | 90.80 ± 11.26 | 57.17 ± 14.74 * | |
| HCO3− (mEq/L) | Pre | 22.6 ± 2.90 | 23.20 ± 1.63 | 24.38 ± 1.95 | 24.25 ± 1.71 |
| Post | 19.98 ± 2.69 | 14.18 ± 2.30 | 14.6 ± 4.81 | 15.7 ± 3.14 | |
| sO2 (%) | Pre | 95.8 ± 3.6 | 94.25 ± 5.75 | 95.28 ± 1.9 | 95.28 ± 2.84 |
| Post | 96.07 ± 3.7 | 89.2 ± 2.52 * | 97.43 ± 1.0 | 87.97 ± 5.6 * | |
Publisher’s Note: MDPI stays neutral with regard to jurisdictional claims in published maps and institutional affiliations. |
© 2022 by the authors. Licensee MDPI, Basel, Switzerland. This article is an open access article distributed under the terms and conditions of the Creative Commons Attribution (CC BY) license (https://creativecommons.org/licenses/by/4.0/).
Share and Cite
Maldonado-Rodriguez, N.; Bentley, D.J.; Logan-Sprenger, H.M. Acute Physiological Response to Different Sprint Training Protocols in Normobaric Hypoxia. Int. J. Environ. Res. Public Health 2022, 19, 2607. https://doi.org/10.3390/ijerph19052607
Maldonado-Rodriguez N, Bentley DJ, Logan-Sprenger HM. Acute Physiological Response to Different Sprint Training Protocols in Normobaric Hypoxia. International Journal of Environmental Research and Public Health. 2022; 19(5):2607. https://doi.org/10.3390/ijerph19052607
Chicago/Turabian StyleMaldonado-Rodriguez, Naomi, David J. Bentley, and Heather M. Logan-Sprenger. 2022. "Acute Physiological Response to Different Sprint Training Protocols in Normobaric Hypoxia" International Journal of Environmental Research and Public Health 19, no. 5: 2607. https://doi.org/10.3390/ijerph19052607
APA StyleMaldonado-Rodriguez, N., Bentley, D. J., & Logan-Sprenger, H. M. (2022). Acute Physiological Response to Different Sprint Training Protocols in Normobaric Hypoxia. International Journal of Environmental Research and Public Health, 19(5), 2607. https://doi.org/10.3390/ijerph19052607

