Effectiveness Evaluation of a Primary School-Based Intervention against Heatwaves in China
Abstract
:1. Background
2. Methods
2.1. Study Area
2.2. Study Design
2.3. Questionnaire Survey and Data Collection
2.4. Data Analysis
3. Results
3.1. General Information of Subjects
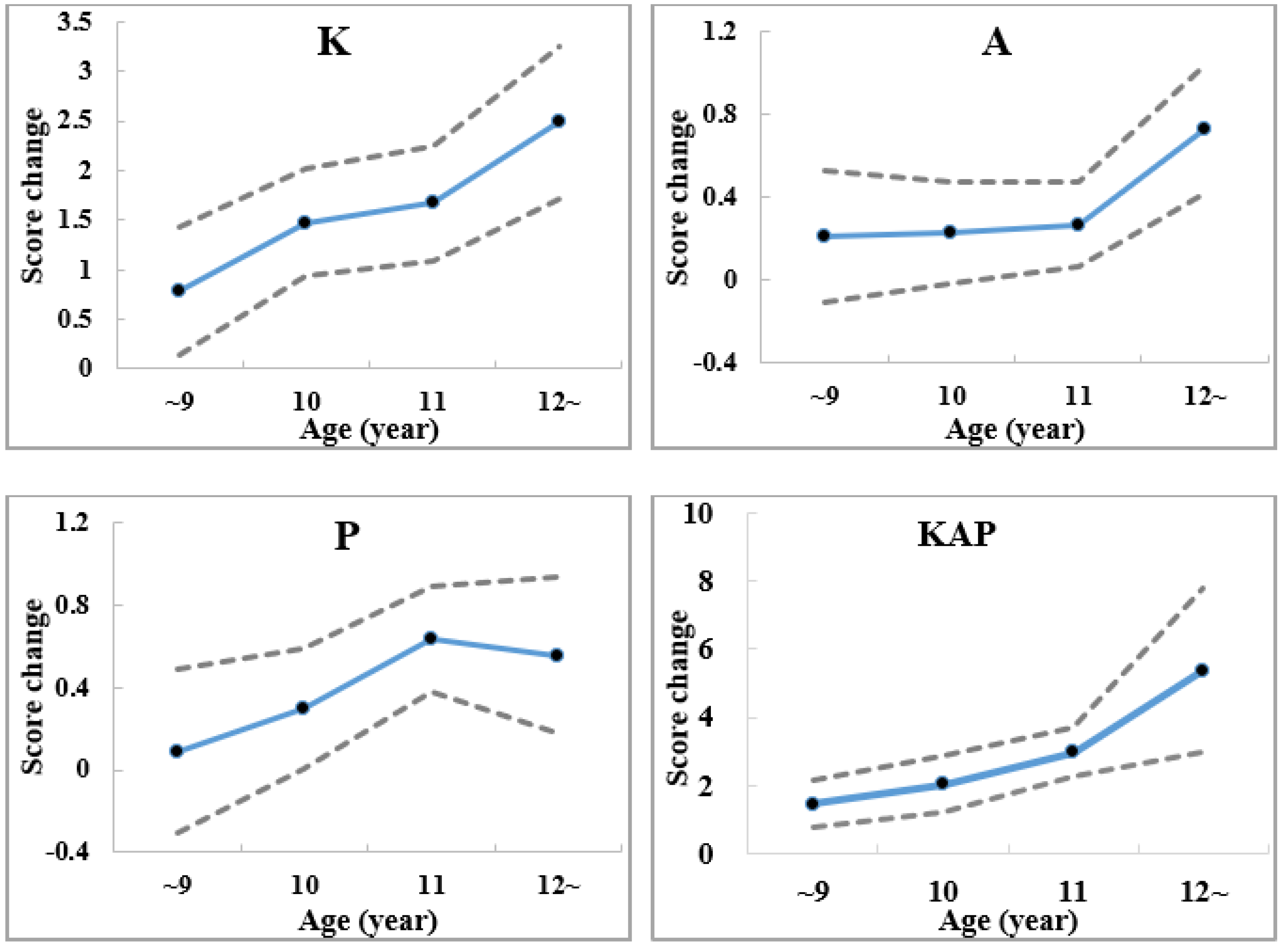
3.2. Difference-in-Difference (DID) Analysis on KAP Score Changes of Primary School Students after Intervention
3.3. Relationship between Health Education Activities and KAP Improvement of Primary School Students
3.4. Intervention Effects on Parents
4. Discussion
5. Conclusions
Supplementary Materials
Author Contributions
Funding
Institutional Review Board Statement
Informed Consent Statement
Data Availability Statement
Conflicts of Interest
Abbreviations
| KAP | knowledge, attitude, and practice |
| DID | Difference−in−difference |
| ED | emergency department |
| K | knowledge |
| A | attitude |
| P | practice |
References
- IPCC. Managing the Risks of Extreme Events and Disasters to Advance Climate Change Adaptation. In A Special Report of Working Groups I and II of the Intergovernmental Panel on Climate Change; IPCC: Geneva, Switzerland, 2012. [Google Scholar]
- Zhang, Y.; Bi, P.; Hiller, J.E. Climate change and disability-adjusted life years. J. Environ. Health 2007, 70, 32–36. [Google Scholar] [PubMed]
- American Academy of Pediatrics. Committee on Sports Medicine and Fitness. Climatic heat stress and the exercising child and adolescent. Pediatrics 2000, 106, 158–159. [Google Scholar] [CrossRef] [Green Version]
- Patz, J.A.; Reisen, W.K. Immunology, climate change and vector-borne diseases. Trends Immunol. 2001, 22, 171–172. [Google Scholar] [CrossRef]
- Ahdoot, S.; Pacheco, S.E. Global Climate Change and Children’s Health. Pediatrics 2015, 136, e1468–e1484. [Google Scholar] [CrossRef] [PubMed] [Green Version]
- Perera, F.P. Children are likely to suffer most from our fossil fuel addiction. Environ. Health Perspect. 2008, 116, 987–990. [Google Scholar] [CrossRef] [Green Version]
- Voorhees, A.S.; Fann, N.; Fulcher, C.; Dolwick, P.; Hubbell, B.; Bierwagen, B.; Morefield, P. Climate change-related temperature impacts on warm season heat mortality: A proof-of-concept methodology using BenMAP. Environ. Sci. Technol. 2011, 45, 1450–1457. [Google Scholar] [CrossRef]
- Watts, N.; Amann, M.; Arnell, N.; Ayeb-Karlsson, S.; Belesova, K.; Berry, H.; Bouley, T.; Boykoff, M.; Byass, P.; Cai, W.; et al. The 2018 report of the Lancet Countdown on health and climate change: Shaping the health of nations for centuries to come. Lancet 2018, 392, 2479–2514. [Google Scholar] [CrossRef]
- Moore, R.; Mallonee, S.; Sabogal, R.I.; Zanardi, L.; Redd, J.; Malone, J. From the Centers for Disease Control and Prevention. Heat-related deaths—Four states, July–August 2001, and United States, 1979–1999. JAMA 2002, 288, 950–951. [Google Scholar]
- Xu, Z.; Etzel, R.A.; Su, H.; Huang, C.; Guo, Y.; Tong, S. Impact of ambient temperature on children’s health: A systematic review. Environ. Res. 2012, 117, 120–131. [Google Scholar] [CrossRef] [Green Version]
- Center for Disease Control and Prevention (CDC). Nonfatal sports and recreation heat illness treated in hospital emergency departments—United States, 2001–2009. MMWR Morb. Mortal. Wkly. Rep. 2011, 60, 977–980. [Google Scholar]
- Wang, Y.; Liu, Y.; Ye, D.; Li, N.; Bi, P.; Tong, S.; Wang, Y.; Cheng, Y.; Li, Y.; Yao, X. High temperatures and emergency department visits in 18 sites with different climatic characteristics in China: Risk assessment and attributable fraction identification. Environ. Int. 2020, 136, 105486. [Google Scholar] [CrossRef] [PubMed]
- Hajat, S.; O’Connor, M.; Kosatsky, T. Health effects of hot weather: From awareness of risk factors to effective health protection. Lancet. 2010, 375, 856–863. [Google Scholar] [CrossRef]
- Casanueva, A.; Burgstall, A.; Kotlarski, S.; Messeri, A.; Morabito, M.; Flouris, A.D.; Nybo, L.; Spirig, C.; Schwierz, C. Overview of Existing Heat-Health Warning Systems in Europe. Int. J. Environ. Res. Public Health 2019, 16, 2657. [Google Scholar] [CrossRef] [PubMed] [Green Version]
- Abrahamson, V.; Raine, R. Health and social care responses to the Department of Health Heatwave Plan. J. Public Health 2009, 31, 478–489. [Google Scholar] [CrossRef] [PubMed]
- Xu, X.; Li, J.; Gao, J.; Liu, K.; Liu, Q. Effective analysis of a community-based intervention during heat waves to improve knowledge, attitude and practice in a population in Licheng District, Jinan City, China. J. Public Health 2018, 40, 573–581. [Google Scholar] [CrossRef] [Green Version]
- Van Loenhout, J.A.F.; Rodriguez-Llanes, J.M.; Guha-Sapir, D. Stakeholders’ Perception on National Heatwave Plans and Their Local Implementation in Belgium and The Netherlands. Int. J. Environ. Res. Public Health 2016, 13, 1120. [Google Scholar] [CrossRef] [Green Version]
- O’Neill, S.; Kreif, N.; Sutton, M.; Grieve, R. A comparison of methods for health policy evaluation with controlled pre-post designs. Health Serv. Res. 2020, 55, 328–338. [Google Scholar] [CrossRef] [Green Version]
- van de Vijver, S.; Oti, S.O.; Gomez, G.B.; Agyemang, C.; Egondi, T.; van Charante, E.M.; Brewster, L.M.; Hankins, C.; Tanovic, Z.; Ezeh, A.; et al. Impact evaluation of a community-based intervention for prevention of cardiovascular diseases in the slums of Nairobi: The SCALE-UP study. Glob. Health Action 2016, 9, 30922. [Google Scholar] [CrossRef]
- Li, J.; Xu, X.; Wang, J.; Zhao, Y.; Song, X.P.; Liu, Z.D.; Cao, L.N.; Jiang, B.F.; Liu, Q.Y. Analysis of a Community-based Intervention to Reduce Heat-related Illness during Heat Waves in Licheng, China: A Quasi-experimental Study. Biomed. Environ. Sci. 2016, 29, 802–813. [Google Scholar]
- Edmond, K.M.; Yousufi, K.; Anwari, Z.; Sadat, S.M.; Staniczai, S.M.; Higgins-Steele, A.; Bellows, A.L.; Smith, E.R. Can community health worker home visiting improve care-seeking and maternal and newborn care practices in fragile states such as Afghanistan? A population-based intervention study. BMC Med. 2018, 16, 106. [Google Scholar] [CrossRef] [Green Version]
- Daw, J.R.; Hatfield, L.A. Matching and Regression to the Mean in Difference-in-Differences Analysis. Health Serv. Res. 2018, 53, 4138–4156. [Google Scholar] [CrossRef] [PubMed]
- Sheffield, P.E.; Landrigan, P.J. Global climate change and children’s health: Threats and strategies for prevention. Environ. Health Perspect. 2011, 119, 291–298. [Google Scholar] [CrossRef] [PubMed]
- Ahern, M.; Kovats, R.S.; Wilkinson, P.; Few, R.; Matthies, F. Global health impacts of floods: Epidemiologic evidence. Epidemiol. Rev. 2005, 27, 36–46. [Google Scholar] [CrossRef] [PubMed] [Green Version]
- Peralta, L.R.; Dudley, D.A.; Cotton, W.G. Teaching Healthy Eating to Elementary School Students: A Scoping Review of Nutrition Education Resources. J. Sch. Health 2016, 86, 334–345. [Google Scholar] [CrossRef] [PubMed]


| Intervention School | Control School | 1p-Value | 2p-Value | |||||
|---|---|---|---|---|---|---|---|---|
| Before | After | p-Value | Before | After | p-Value | |||
| Primary students | ||||||||
| N (Person) | 427 | 405 | 499 | 539 | ||||
| Age (Year) | 10.5 ± 1.03 | 10.5 ± 1.00 | 0.3882 | 10.4 ± 1.03 | 10.4 ± 0.95 | 0.3515 | 0.1814 | 0.2484 |
| Sex (Male, %) | 52.9 | 53.1 | 0.9447 | 59 | 58.4 | 0.8678 | 0.0430 * | 0.1123 |
| Parents | ||||||||
| N (Person) | 346 | 331 | 286 | 301 | ||||
| Age (Year) | 35.6 ± 6.82 | 36.6 ± 4.85 | 0.0259 * | 37.6 ± 5.37 | 37.2 ± 5.90 | 0.4094 | <0.0001 ** | 0.1804 |
| Sex (Male, %) | 42 | 48.6 | 0.0894 | 52.3 | 57.1 | 0.246 | 0.0128 * | 0.0380 * |
| Nationality (Han Chinese, %) | 99.4 | 99.7 | 1 | 99 | 99.7 | 0.3614 | 0.6627 | 1 |
| Marriage | ||||||||
| Single | 4 | 0 | 0.2242 | 1 | 3 | 0.6686 | 0.5955 | 0.1876 |
| Married | 329 | 320 | 273 | 284 | ||||
| Devoiced | 11 | 9 | 10 | 13 | ||||
| Widowed | 1 | 2 | 2 | 1 | ||||
| Missing | 1 | - | - | - | ||||
| Education | ||||||||
| Primary schools and below | 22 | 20 | 0.5468 | 35 | 25 | 0.0030 * | <0.0001 ** | 0.1059 |
| Middle school | 153 | 158 | 166 | 153 | ||||
| Junior College and above | 168 | 153 | 83 | 121 | ||||
| Missing | 3 | - | - | 2 | ||||
| KAP (Score) | Intervention School | Control School | Score change # (95%CI) | Standardized Percentage of Increased Scores $ (95%CI, %) | ||
|---|---|---|---|---|---|---|
| Before | After | Before | After | |||
| KAP & (Full score: 15) | 8.50 ± 2.02 | 10.8 ± 2.41 | 8.26 ± 2.64 | 8.54 ± 2.45 | 2.25 (1.82, 2.68) ** | 15.0 (12.1, 17.8) |
| Knowledge (K, Full score: 8) | 3.30 ± 1.39 | 5.20 ± 1.52 | 3.10 ± 1.80 | 3.48 ± 1.61 | 1.59 (1.30, 1.89) ** | 19.9 (16.3, 23.6) |
| Climate change | 0.84 ± 0.37 | 0.97 ± 0.18 | 0.65 ± 0.48 | 0.79 ± 0.40 | 0.03 (−0.04, 0.10) | 2.71 (−4.44, 9.85) |
| Threshold of hot weather | 0.04 ± 0.19 | 0.28 ± 0.45 | 0.13 ± 0.34 | 0.04 ± 0.18 | 0.33 (0.27, 0.39) ** | 33.4 (27.4, 39.4) |
| Heatwave | 0.24 ± 0.43 | 0.70 ± 0.46 | 0.30 ± 0.46 | 0.31 ± 0.46 | 0.45 (0.36, 0.54) ** | 44.7 (35.8, 53.6) |
| The grading of heat warning | 0.46 ± 0.50 | 0.73 ± 0.44 | 0.48 ± 0.50 | 0.44 ± 0.50 | 0.34 (0.25, 0.44) ** | 34.2 (24.7, 43.7) |
| Impacts of climate change | 3.17 ± 2.35 | 4.58 ± 2.42 | 2.83 ± 2.47 | 3.60 ± 2.75 | 0.66 (0.17, 1.14) * | 8.23 (2.17, 14.3) |
| Climate change mitigation measures | 2.83 ± 1.80 | 4.25 ± 1.72 | 2.59 ± 1.83 | 3.14 ± 2.07 | 0.90 (0.54, 1.25) ** | 14.9 (8.94, 20.9) |
| Heatstroke symptom | 3.82 ± 2.62 | 5.84 ± 2.47 | 3.43 ± 2.70 | 4.64 ± 3.04 | 0.81 (0.29, 1.33) * | 8.99 (3.22, 14.8) |
| Heatstroke treatment | 2.66 ± 1.56 | 3.67 ± 1.56 | 2.38 ± 1.69 | 2.54 ± 1.58 | 0.83 (0.53, 1.13) ** | 13.8 (8.78, 18.9) |
| Attitude (A, Full score: 3) | 2.45 ± 0.61 | 2.62 ± 0.59 | 2.52 ± 0.60 | 2.43 ± 0.78 | 0.29 (0.16, 0.42) ** | 9.60 (5.35, 13.9) |
| Willing to learn relevant knowledge | 7.77 ± 2.74 | 8.59 ± 2.28 | 8.04 ± 2.62 | 7.77 ± 2.81 | 1.19 (0.68, 1.69) ** | 11.9 (6.79, 16.9) |
| Willing to start from self | 8.35 ± 2.34 | 8.78 ± 2.25 | 8.39 ± 2.44 | 7.99 ± 2.77 | 0.94 (0.45, 1.42) * | 9.36 (4.54, 14.2) |
| Willing to change habits | 8.40 ± 2.51 | 8.87 ± 2.25 | 8.74 ± 2.31 | 8.35 ± 2.67 | 0.99 (0.52, 1.47) ** | 9.94 (5.22, 14.7) |
| Practice (P, Full score: 4) | 2.76 ± 0.73 | 3.06 ± 0.72 | 2.69 ± 0.89 | 2.63 ± 0.84 | 0.40 (0.25, 0.55) ** | 9.94 (8.26, 18.3) |
| Pay attention to weather forecast | 0.59 ± 0.31 | 0.71 ± 0.30 | 0.59 ± 0.34 | 0.57 ± 0.34 | 0.15 (0.08, 0.21) ** | 14.8 (8.48, 21.1) |
| Appropriate behavior in hot weather | 1.45 ± 0.82 | 1.72 ± 0.71 | 1.45 ± 0.91 | 1.45 ± 0.79 | 0.23 (0.07, 0.38) * | 7.51 (2.42, 12.6) |
| Use air conditioning | 0.89 ± 0.31 | 0.93 ± 0.26 | 0.86 ± 0.35 | 0.83 ± 0.38 | 0.09 (0.02, 0.15) * | 8.87 (2.50, 15.2) |
| Wash hands before meals | 0.80 ± 0.40 | 0.85 ± 0.35 | 0.77 ± 0.42 | 0.75 ± 0.43 | 0.09 (0.01, 0.17) * | 8.83 (1.10, 16.6) |
| Health Education Activities | KAP & | Knowledge | Attitude | Practice | ||||
|---|---|---|---|---|---|---|---|---|
| r | p-Value | r | p-Value | r | p-Value | r | p-Value | |
| Listen to lectures or watch cartoons | 0.307 | <0.0001 | 0.245 | <0.0001 | 0.183 | 0.0004 | 0.112 | 0.0313 |
| Recess radio | 0.263 | <0.0001 | 0.195 | 0.0002 | 0.176 | 0.0007 | 0.151 | 0.0035 |
| Speech contest | 0.258 | <0.0001 | 0.203 | <0.0001 | 0.124 | 0.0170 | 0.147 | 0.0047 |
| Hand-copying newspapers | 0.245 | <0.0001 | 0.202 | 0.0001 | 0.068 | 0.1958 | 0.173 | 0.0009 |
| Make blackboard newspapers | 0.233 | <0.0001 | 0.164 | 0.0016 | 0.089 | 0.0888 | 0.180 | 0.0005 |
| Theme essay contest | 0.226 | <0.0001 | 0.154 | 0.0031 | 0.146 | 0.0049 | 0.128 | 0.0136 |
| Drawing contest | 0.209 | <0.0001 | 0.107 | 0.0399 | 0.132 | 0.0113 | 0.149 | 0.004 |
| Social activities during summer vacation | 0.209 | <0.0001 | 0.138 | 0.0083 | 0.166 | 0.0014 | 0.100 | 0.0535 |
| Perform a skit | 0.161 | 0.0021 | 0.100 | 0.0569 | 0.085 | 0.1024 | 0.141 | 0.0067 |
| Attended none of the above | −0.211 | <0.0001 | −0.144 | 0.0059 | −0.113 | 0.0297 | −0.108 | 0.0385 |
| KAP | Intervention School | Control School | Score Change # (95%CI) | Standardized Percentage of Increased Scores $ (95%CI, %) | ||||
|---|---|---|---|---|---|---|---|---|
| Before | After | Before | After | |||||
| KAP & (Full score: 15) | 9.18 ± 2.64 | 11.5 ± 2.74 | 9.47 ± 2.61 | 9.61 ± 2.85 | 2.22 | (1.62, 2.82) ** | 14.8 | (10.8, 18.3) |
| Knowledge (Full score: 8) | 4.19 ± 1.61 | 5.88 ± 1.76 | 4.49 ± 1.59 | 4.43 ± 1.72 | 1.80 | (1.43, 2.17) ** | 22.5 | (17.8, 27.1) |
| Climate change | 0.90 ± 0.30 | 0.94 ± 0.23 | 0.91 ± 0.28 | 0.87 ± 0.33 | 0.09 | (0.03, 0.16) * | 9.22 | (2.79, 15.6) |
| Heat warning | 0.62 ± 0.48 | 0.84 ± 0.36 | 0.68 ± 0.47 | 0.62 ± 0.48 | 0.28 | (0.18, 0.38) ** | 27.9 | (17.8, 37.9) |
| Threshold of hot weather | 0.24 ± 0.43 | 0.51 ± 0.50 | 0.31 ± 0.46 | 0.20 ± 0.39 | 0.40 | (0.29, 0.50) ** | 39.5 | (29.4, 49.6) |
| Heatwave | 0.36 ± 0.48 | 0.71 ± 0.45 | 0.39 ± 0.49 | 0.47 ± 0.49 | 0.28 | (0.17, 0.38) ** | 27.6 | (16.9, 38.2) |
| Impacts of climate change | 3.59 ± 2.40 | 5.41 ± 2.62 | 3.78 ± 2.68 | 4.00 ± 2.64 | 1.66 | (1.09, 2.24) ** | 20.8 | (13.6, 28.0) |
| Climate change mitigation measures | 3.14 ± 1.83 | 4.15 ± 1.92 | 3.50 ± 1.91 | 3.32 ± 2.01 | 1.25 | (0.82, 1.67) ** | 20.8 | (13.8, 27.9) |
| Heatstroke symptom | 4.38 ± 2.42 | 6.54 ± 2.65 | 4.65 ± 2.70 | 5.06 ± 2.67 | 1.81 | (1.23, 2.39) ** | 20.1 | (13.7, 26.6) |
| Heatstroke treatment | 3.07 ± 1.47 | 3.89 ± 1.43 | 3.13 ± 1.55 | 3.27 ± 1.55 | 0.68 | (0.34, 1.01) ** | 13.5 | (6.88, 20.2) |
| Attitude (Full score: 3) | 2.38 ± 0.87 | 2.57 ± 0.78 | 2.46 ± 0.87 | 2.45 ± 0.86 | 0.22 | (0.03, 0.40) * | 7.22 | (0.96, 13.5) |
| Willing to pay attention to climate change | 0.87 ± 0.34 | 0.93 ± 0.26 | 0.88 ± 0.32 | 0.90 ± 0.30 | 0.05 | (−0.02, 0.12) | 4.87 | (−2.00, 11.7) |
| Be interested in relevant knowledge | 0.81 ± 0.39 | 0.85 ± 0.36 | 0.80 ± 0.40 | 0.81 ± 0.39 | 0.03 | (−0.05, 0.12) | 3.16 | (−5.42, 11.7) |
| Willing to attend relevant activities | 0.70 ± 0.46 | 0.79 ± 0.41 | 0.78 ± 0.42 | 0.74 ± 0.44 | 0.14 | (0.04, 0.23) * | 13.6 | (4.09, 23.2) |
| Practice (Full score: 4) | 2.61 ± 0.81 | 3.03 ± 0.80 | 2.51 ± 0.78 | 2.72 ± 0.85 | 0.21 | (0.03, 0.39) * | 5.22 | (073, 9.71) |
| Pay attention to weather forecast | 0.91 ± 0.29 | 0.94 ± 0.24 | 0.90 ± 0.30 | 0.93 ± 0.26 | 0.00 | (−0.06, 0.06) | −0.40 | (−6.44, 5.64) |
| Use air conditioning | 0.86 ± 0.35 | 0.95 ± 0.21 | 0.83 ± 0.38 | 0.87 ± 0.34 | 0.06 | (−0.01, 0.13) | 6.02 | (−1.16, 13.2) |
| Actively consult impacts of weather | 0.41 ± 0.49 | 0.52 ± 0.50 | 0.42 ± 0.49 | 0.48 ± 0.50 | 0.05 | (−0.06, 0.16) | 5.05 | (−6.03, 16.1) |
| Appropriate activities in hot weather | 3.05 ± 2.42 | 4.32 ± 2.44 | 2.56 ± 2.54 | 3.14 ± 2.34 | 0.69 | (0.15, 1.23) * | 9.90 | (2.20, 17.6) |
| Outcomes | Variables | Estimates | SD $ | t Value | p Value |
|---|---|---|---|---|---|
| KAP & | |||||
| Sex | 0.32 | 0.16 | 2.05 | 0.0405 | |
| Age | 0.00 | 0.01 | −0.15 | 0.8808 | |
| Marriage | −0.05 | 0.32 | −0.17 | 0.8642 | |
| Education | 0.40 | 0.09 | 4.26 | <0.0001 | |
| DID # | 2.22 | 0.31 | 7.26 | <0.0001 | |
| Knowledge | |||||
| Sex | 0.07 | 0.10 | 0.75 | 0.4521 | |
| Age | 0.00 | 0.01 | −0.46 | 0.6474 | |
| Marriage | −0.11 | 0.20 | −0.55 | 0.5858 | |
| Education | 0.25 | 0.06 | 4.3 | <0.0001 | |
| DID # | 1.80 | 0.19 | 9.49 | <0.0001 | |
| Attitude | |||||
| Sex | 0.12 | 0.05 | 2.51 | 0.0121 | |
| Age | 0.00 | 0.00 | 0.56 | 0.5774 | |
| Marriage | 0.06 | 0.10 | 0.65 | 0.5142 | |
| Education | 0.07 | 0.03 | 2.4 | 0.0167 | |
| DID # | 0.22 | 0.10 | 2.26 | 0.0240 | |
| Practice | |||||
| Sex | 0.12 | 0.05 | 2.67 | 0.0076 | |
| Age | 0.00 | 0.00 | −0.14 | 0.8891 | |
| Marriage | −0.01 | 0.09 | −0.13 | 0.8979 | |
| Education | 0.08 | 0.03 | 2.85 | 0.0045 | |
| DID # | 0.21 | 0.09 | 2.28 | 0.0229 |
Publisher’s Note: MDPI stays neutral with regard to jurisdictional claims in published maps and institutional affiliations. |
© 2022 by the authors. Licensee MDPI, Basel, Switzerland. This article is an open access article distributed under the terms and conditions of the Creative Commons Attribution (CC BY) license (https://creativecommons.org/licenses/by/4.0/).
Share and Cite
Li, Y.; Sun, B.; Yang, C.; Zhuang, X.; Huang, L.; Wang, Q.; Bi, P.; Wang, Y.; Yao, X.; Cheng, Y. Effectiveness Evaluation of a Primary School-Based Intervention against Heatwaves in China. Int. J. Environ. Res. Public Health 2022, 19, 2532. https://doi.org/10.3390/ijerph19052532
Li Y, Sun B, Yang C, Zhuang X, Huang L, Wang Q, Bi P, Wang Y, Yao X, Cheng Y. Effectiveness Evaluation of a Primary School-Based Intervention against Heatwaves in China. International Journal of Environmental Research and Public Health. 2022; 19(5):2532. https://doi.org/10.3390/ijerph19052532
Chicago/Turabian StyleLi, Yonghong, Bo Sun, Changlin Yang, Xianghua Zhuang, Liancheng Huang, Qingqing Wang, Peng Bi, Yan Wang, Xiaoyuan Yao, and Yibin Cheng. 2022. "Effectiveness Evaluation of a Primary School-Based Intervention against Heatwaves in China" International Journal of Environmental Research and Public Health 19, no. 5: 2532. https://doi.org/10.3390/ijerph19052532
APA StyleLi, Y., Sun, B., Yang, C., Zhuang, X., Huang, L., Wang, Q., Bi, P., Wang, Y., Yao, X., & Cheng, Y. (2022). Effectiveness Evaluation of a Primary School-Based Intervention against Heatwaves in China. International Journal of Environmental Research and Public Health, 19(5), 2532. https://doi.org/10.3390/ijerph19052532

