Evaluation of the Effect of a Live Interview in Journalism Students on Salivary Stress Biomarkers and Conventional Stress Scales
Abstract
1. Introduction
2. Materials and Methods
2.1. Participants
2.2. Development of the Activity
2.3. Saliva Sample Collection and Analysis
2.4. Statistical Analysis
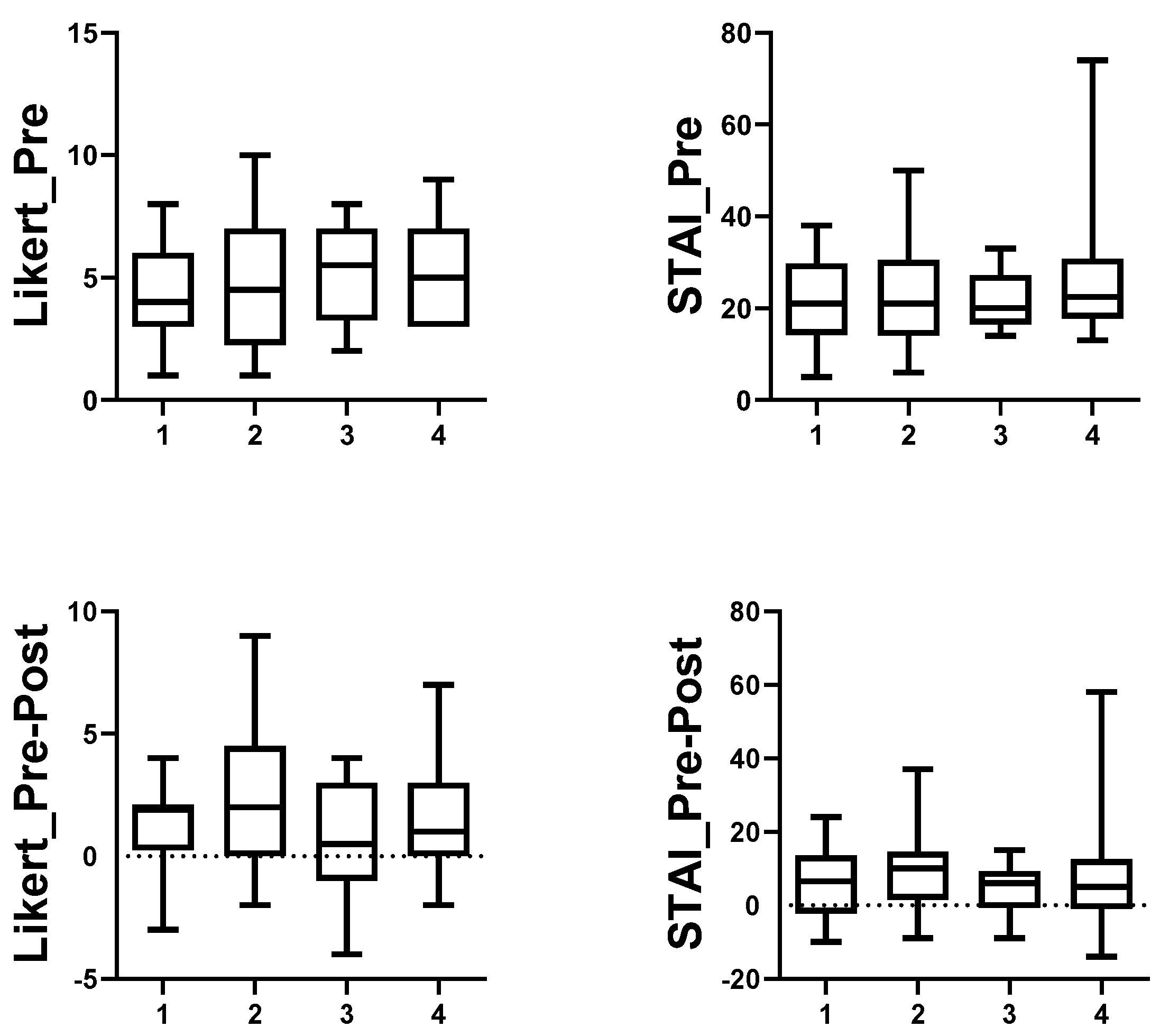
3. Results
4. Discussion
5. Conclusions
Author Contributions
Funding
Institutional Review Board Statement
Informed Consent Statement
Data Availability Statement
Acknowledgments
Conflicts of Interest
References
- Riyad, M.A.; Ramadan, M.E.; Alkhadrawy, R.A.-A. Measurement of Psychological Stress in A Group of Journalists Working in One of The Private Journalism Institutes in Egypt. Egypt. J. Hosp. Med. 2019, 76, 3853–3858. [Google Scholar] [CrossRef]
- Wenger, D.H.; Owens, L.C.; Cain, J. Help Wanted: Realigning Journalism Education to Meet the Needs of Top U.S. News Companies. J. Mass Commun. Educ. 2018, 73, 18–36. [Google Scholar] [CrossRef]
- Cervi, L.; Simelio, N.; Tejedor Calvo, S. Analysis of Journalism and Communication Studies in Europe’s Top Ranked Universities: Competencies, Aims and Courses. J. Pract. 2021, 15, 1033–1053. [Google Scholar] [CrossRef]
- Goldstein, T. Así se enseña periodismo en Norteamérica. Palabra Clave 1999, 3, 63–74. [Google Scholar]
- Tabares Higuita, L.X. Discusiones sobre la enseñanza del periodismo. Comunicación 2014, 31, 67–74. [Google Scholar]
- Rosique Cedillo, G. El grado en periodismo: Hacia una formación adaptada a los nuevos tiempos. Opción 2016, 32, 589–602. [Google Scholar]
- Lamuedra Gravan, M. Estudiantes de Periodismo y prácticas profesionales: El reto del aprendizaje. Comunicar 2007, 15, 203–211. [Google Scholar] [CrossRef]
- Burgos Chele, P.G.; Camba Pérez, C.M. Desenvolvimiento Escénico en los Estudiantes de 8vo Semestre de la Carrera de Comunicación Social Jornada Nocturna de la Universidad de Guayaquil; Facultad de Comunicación Social, Universidad de Guayaquil: Guayaquil, Ecuador, 2019. [Google Scholar]
- Palencia, I.; Fernández, S.; Villalobos, F. Dos escenarios que modelan la competencia comunicativa oral de los estudiantes de Periodismo: Los docentes y el diseño curricular. Opción 2008, 24, 28–46. [Google Scholar]
- María Inés Solar, R.; Claudio Díaz, L. Los procesos de enseñanza-aprendizajeen el aula universitaria: Una mirada desde las creencias de academicos de trabajo social y periodismo. Estud. Pedagog. 2009, 35, 181–197. [Google Scholar]
- Rosa Marín, A. El Miedo Escénicocomo Barrera Comunicativa en el aula; Universidad Complutense de Madrid: Madrid, Spain, 2017. [Google Scholar]
- García-Ureta, I.; Toral-Madariaga, G.; Murelaga-Ibarra, J. Comunicadores resonantes, comunicadores eficaces. Flujo y credibilidad del comunicador. Rev. Lat. Comun. Soc. 2012, 67, 99–124. [Google Scholar] [CrossRef]
- Van Ginkel, S.; Laurentzen, R.; Mulder, M.; Mononen, A.; Kyttä, J.; Kortelainen, M.J. Assessing oral presentation performance: Designing a rubric and testing its validity with an expert group. J. Appl. Res. High. Educ. 2017, 9, 474–486. [Google Scholar] [CrossRef]
- Madariaga, G.T.; Murélaga, J.; López Vidales, N. Comunicación emocional y miedo escénicoen radio y televisión. Signo Y Pensam. 2008, 27, 134–144. [Google Scholar]
- Smith, C.M.; Sodano, T.M. Integrating lecture capture as a teaching strategy to improve student presentation skills through self-assessment. Act. Learn. High. Educ. 2011, 12, 151–162. [Google Scholar] [CrossRef]
- Casero-Ripolles, A.; Ortells-Badenes, S.; Doménech-Fabregat, H. Las competencias profesionales en periodismo: Una evaluación comparativa. Innicio. 2014, 18, 53–64. [Google Scholar] [CrossRef]
- Tabassum, M.; Hossain, M.S. Oral Communication Apprehension (OCA) among Undergraduate Accounting and Journalism Students in Bangladesh. SSRN Electron. J. 2020, 3, 176–186. [Google Scholar]
- Tecles, F.; Fuentes-Rubio, M.; Tvarijonaviciute, A.; Martinez-Subiela, S.; Fatjó, J.; Ceron, J. Assessment of Stress Associated with an Oral Public Speech in Veterinary Students by Salivary Biomarkers. J. Veter. Med. Educ. 2014, 41, 37–43. [Google Scholar] [CrossRef]
- Tvarijonaviciute, A.; Roca, D.; Escribano, D.; Franco-Martínez, L.; Bernal, L.J.; Ceron, J.J.; Martínez-Subiela, S.; Rojo-Villada, P.A. Interdisciplinary Collaboration Between Veterinary and Communication Students to Promote Communication Skills: A Qualitative Pilot Study. Front. Veter. Sci. 2020, 7, 1–6. [Google Scholar] [CrossRef]
- Tvarijonaviciute, A.; Zamora, C.; Martinez-Subiela, S.; Tecles, F.; Pina, F.; Lopez-Jornet, P. Salivary adiponectin, but not adenosine deaminase, correlates with clinical signs in women with Sjögren’s syndrome: A pilot study. Clin. Oral Investig. 2018, 23, 1–8. [Google Scholar] [CrossRef]
- International Federation of Clinical Chemistry IFCC methods for measurement of catalytic concentration of enzymes. Part 9. IFCC method for alpha-amylase [1,4-alpha-D-glucan 4-glucanohydrolase, EC 3.2.1.1]. Int. Fed. Clin. Chem. PubMed. Clin. Chim Acta 1999, 281, S5–S39. [Google Scholar]
- Schoofs, D.; Hartmann, R.; Wolf, O.T. Neuroendocrine stress responses to an oral academic examination: No strong influence of sex, repeated participation and personality traits. Stress 2008, 11, 52–61. [Google Scholar] [CrossRef]
- Preuß, D.; Schoofs, D.; Schlotz, W.; Wolf, O.T. The stressed student: Influence of written examinations and oral presentations on salivary cortisol concentrations in university students. Stress 2009, 13, 221–229. [Google Scholar] [CrossRef] [PubMed]
- Herman, J.; Cullinan, W. Neurocircuitry of stress: Central control of the hypothalamo–pituitary–adrenocortical axis. Trends Neurosci. 1997, 20, 78–84. [Google Scholar] [CrossRef]
- Tasker, J.G.; Herman, J.P. Mechanisms of rapid glucocorticoid feedback inhibition of the hypothalamic–pituitary–adrenal axis. Stress 2011, 14, 398–406. [Google Scholar] [CrossRef]
- Cortez, V.; Santana, M.; Marques, A.P.; Mota, A.; Rosmaninho-Salgado, J.; Cavadas, C. Regulation of catecholamine release in human adrenal chromaffin cells by β-adrenoceptors. Neurochem. Int. 2012, 60, 387–393. [Google Scholar] [CrossRef] [PubMed]
- Nater, U.M.; Rohleder, N. Salivary alpha-amylase as a non-invasive biomarker for the sympathetic nervous system: Current state of research. Psychoneuroendocrinology 2009, 34, 486–496. [Google Scholar] [CrossRef] [PubMed]
- Granger, D.A.; Kivlighan, K.T.; El-Sheikh, M.; Gordis, E.B.; Stroud, L.R. Salivary α-amylase in biobehavioral research: Recent developments and applications. Proc. Ann. N. Y. Acad. Sci. 2007, 1098, 122–144. [Google Scholar] [CrossRef] [PubMed]
- Engert, V.; Efanov, S.I.; Duchesne, A.; Vogel, S.; Corbo, V.; Pruessner, J. Differentiating anticipatory from reactive cortisol responses to psychosocial stress. Psychoneuroendocrinology 2013, 38, 1328–1337. [Google Scholar] [CrossRef] [PubMed]
- Naumova, E.A.; Sandulescu, T.; Al Khatib, P.; Thie, M.; Lee, W.-K.; Zimmer, S.; Arnold, W.H. Acute Short-Term Mental Stress Does Not Influence Salivary Flow Rate Dynamics. PLoS ONE 2012, 7, e51323. [Google Scholar] [CrossRef][Green Version]




Publisher’s Note: MDPI stays neutral with regard to jurisdictional claims in published maps and institutional affiliations. |
© 2022 by the authors. Licensee MDPI, Basel, Switzerland. This article is an open access article distributed under the terms and conditions of the Creative Commons Attribution (CC BY) license (https://creativecommons.org/licenses/by/4.0/).
Share and Cite
Roca, D.; Escribano, D.; Franco-Martínez, L.; Contreras-Aguilar, M.D.; Bernal, L.J.; Ceron, J.J.; Rojo-Villada, P.A.; Martínez-Subiela, S.; Tvarijonaviciute, A. Evaluation of the Effect of a Live Interview in Journalism Students on Salivary Stress Biomarkers and Conventional Stress Scales. Int. J. Environ. Res. Public Health 2022, 19, 1920. https://doi.org/10.3390/ijerph19041920
Roca D, Escribano D, Franco-Martínez L, Contreras-Aguilar MD, Bernal LJ, Ceron JJ, Rojo-Villada PA, Martínez-Subiela S, Tvarijonaviciute A. Evaluation of the Effect of a Live Interview in Journalism Students on Salivary Stress Biomarkers and Conventional Stress Scales. International Journal of Environmental Research and Public Health. 2022; 19(4):1920. https://doi.org/10.3390/ijerph19041920
Chicago/Turabian StyleRoca, Delfina, Damián Escribano, Lorena Franco-Martínez, Maria D. Contreras-Aguilar, Luis J. Bernal, Jose J. Ceron, Pedro A. Rojo-Villada, Silvia Martínez-Subiela, and Asta Tvarijonaviciute. 2022. "Evaluation of the Effect of a Live Interview in Journalism Students on Salivary Stress Biomarkers and Conventional Stress Scales" International Journal of Environmental Research and Public Health 19, no. 4: 1920. https://doi.org/10.3390/ijerph19041920
APA StyleRoca, D., Escribano, D., Franco-Martínez, L., Contreras-Aguilar, M. D., Bernal, L. J., Ceron, J. J., Rojo-Villada, P. A., Martínez-Subiela, S., & Tvarijonaviciute, A. (2022). Evaluation of the Effect of a Live Interview in Journalism Students on Salivary Stress Biomarkers and Conventional Stress Scales. International Journal of Environmental Research and Public Health, 19(4), 1920. https://doi.org/10.3390/ijerph19041920

