Ecological Risk Assessment Related to the Presence and Toxicity of Potentially Toxic Elements in Ashes from Household Furnaces
Abstract
:1. Introduction
- (i)
- the total content of PTEs in ashes,
- (ii)
- the amount of PTEs that were bioaccessible to producers,
- (iii)
- PTE fractions present in the material analysed,
- (iv)
- environmental risk (Risk Assessment Code—RAC—and modified Risk Assessment Code—mRAC) and Ecological Risk index (ERI) related to the PTEs’ susceptibility of being easily leached from ashes.
2. Materials and Methods
- −
- group I (AF, n = 7) was comprised of alternative fuels from biomass. This group included such materials as: wood of acacia (Acacia Mill.), wood of ash (Fraxinus), wood of black elderberry (Sambucus nigra L.), wood of willows (Salix L.), wood of acacia + elderberry + ash + willows, straw, and nuts.
- −
- group II (C, n = 5) was comprised of conventional fuels, whose chemical composition was dominated by carbon. This group included 3 types of hard coal: hard coal no. 1, hard coal no. 2, hard coal no. 3, and coal pellets. The three types of hard coal were obtained from different coal storage sites located in various regions of Poland. Coal no. 1 was sourced from Małopolskie Province, coal no. 2 was purchased from a coal storage site in Mazowieckie Province, and coal no. 3 was obtained from Podkarpackie Province. This group also included peat due to the high content of C > 50 wt.%.
- −
- group III (AF + C, n = 3) was comprised of alternative fuels mixed with conventional fuels. This group included samples of hard coal no. 1 mixed with wood: ash, willow, and acacia.
- −
- group IV (MW, n = 5) was comprised of 5 types of municipal waste fractions. This group included such types of waste as: paper and cardboard, plywood, sawdust, plastic-coated paper cartons, and used disposable diapers.
- −
- group V (C + MW, n = 3) was comprised of material obtained after incinerating hard coal mixed with municipal waste. This group included ashes generated from combusting hard coal no. 1 combined with textiles, mixed municipal waste, and plastic.
- −
- a portion of the primary material was placed in the furnace chamber;
- −
- the material underwent incomplete combustion, initiated with a gas burner;
- −
- the furnace and ash were cooled down;
- −
- the ash was collected into a container;
- −
- the coarse fraction was separated using a sieve;
- −
- a sample of the ash was collected and placed in a tightly sealed plastic bag;
- −
- the chamber and bottom hopper were cleaned mechanically and with compressed air before the incineration of the next portion of fuel.
2.1. Physicochemical Analyses
2.1.1. pH
2.1.2. Pseudo Total Content of PTEs
2.1.3. Ion-Exchange and Carbonate-Bound Fraction—Extraction with CH3COOH
2.1.4. Bioaccessible Fraction—Extraction with CaCl2
2.2. Environmental and Ecological Risk (RAC, mRAC, ERI)
3. Results and Discussion
3.1. Physicochemical Characteristics of Ashes
3.1.1. pH
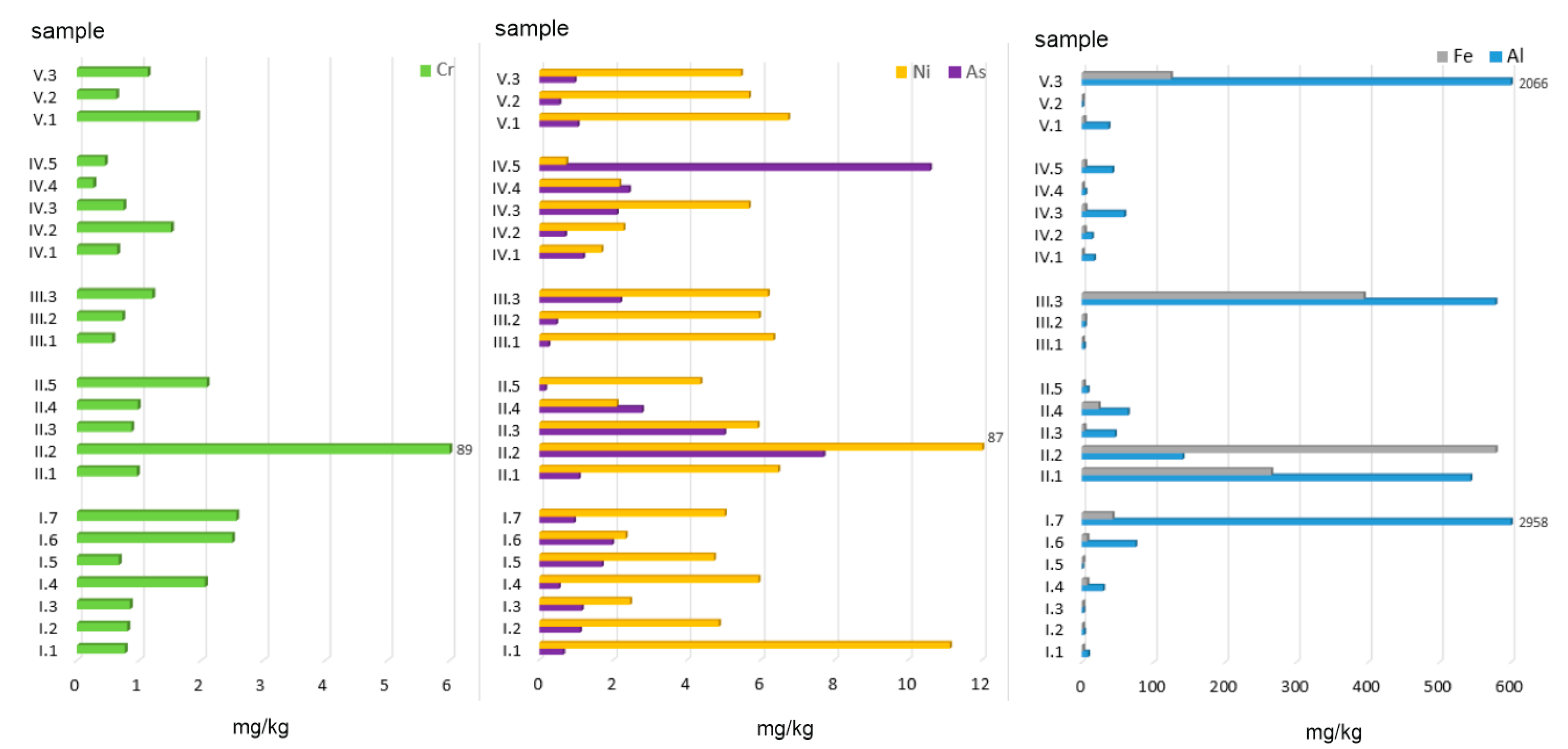
3.1.2. Pseudo Total Content of PTEs in Ashes
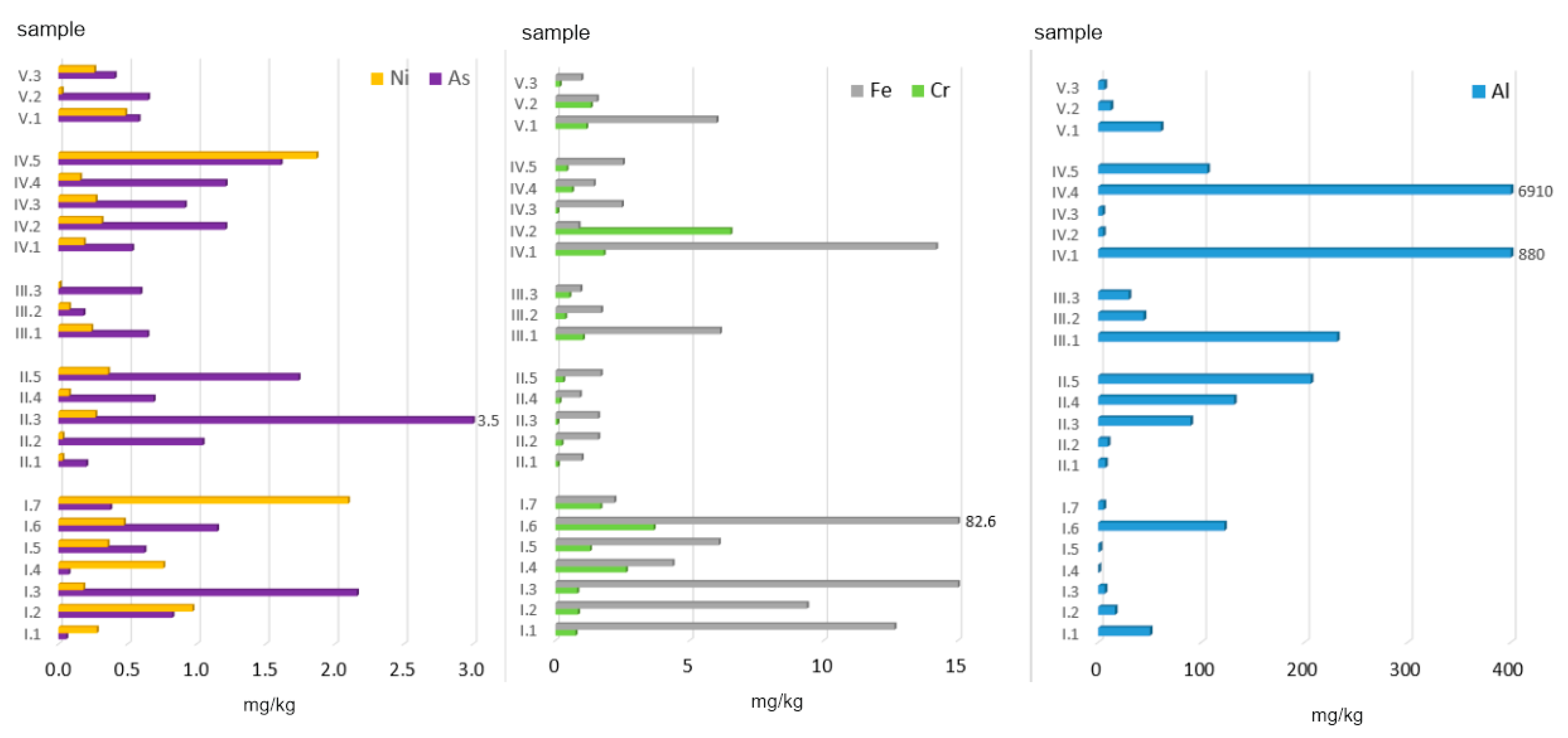
3.1.3. Ion-Exchange and Carbonate Fraction
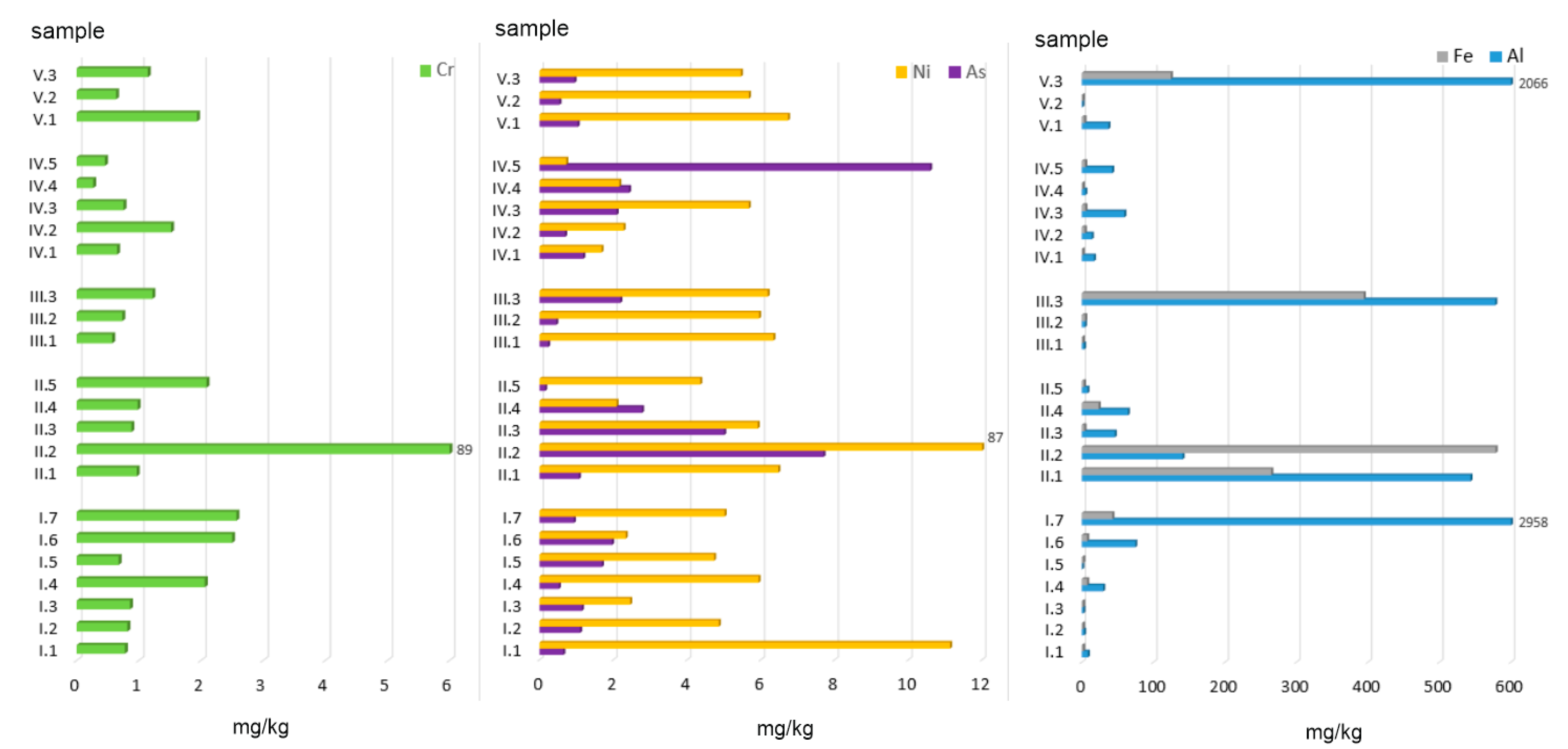
3.1.4. Bioaccessibility of PTEs
3.2. Environmental and Ecological Risk Assessment
3.2.1. Risk Assessment Code (RAC)
3.2.2. Modified RAC (mRAC)
3.2.3. Ecological Risk Index (ERI)
- −
- very high ecological risk (ERI ≥ 600) in the case of ashes from: diapers (5568), hard coal no. 1 (3675), hard coal no. 1 mixed with acacia wood (2720), hard coal no. 2 (1278), hard coal no. 1 mixed with plastic packaging (1133), willow wood (817), and straw (784);
- −
- considerable ecological risk (300 ≤ ERI < 600) in the case of ashes from: multi-species wood mix (599), hard coal no. 1 and textiles (505), acacia wood (490), sawdust (463), paper and cardboard (413), black elder wood (397), peat (395), and plastic-coated paper cartons (335);
- −
- moderate ecological risk (150 ≤ ERI < 300) in the case of ashes from: plywood (277), hard coal no. 1 and municipal waste mix (258), hard coal no. 3 (257), coal pellets (207), and hard coal no. 1 and willow wood (204);
- −
- low ecological risk (ERI < 150) in the case of ashes from: ash wood (142) and hard coal no. 1 and acacia wood (106).
4. Conclusions
- 1)
- All the ash samples analysed have alkaline pH and may be more susceptible to reduction processes, which will undoubtedly increase the mobility of trace elements, including the toxic ones;
- 2)
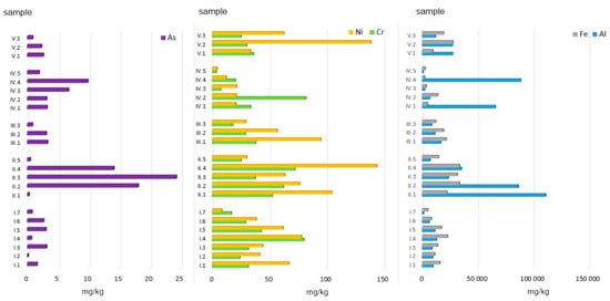
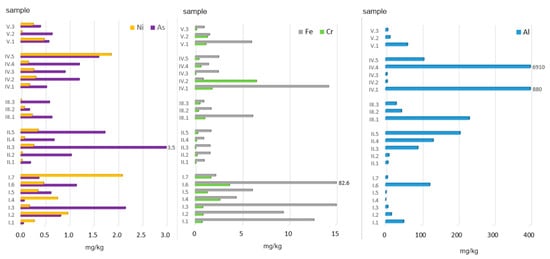
- The predominant elements in the composition of ashes were Al (Av for n = 23, 26,680 mg/kg) and Fe (16,408 mg/kg). Considerably lower concentrations were observed for Ni, Cr, and As: 55, 36, and 4.7 mg/kg, respectively. The highest concentrations of Al, As, Fe, and Ni were found in ashes obtained from hard coal combustion. The highest Cr concentration, on the other hand, was displayed by the ash sample obtained from plywood;
- 3)
- The percentage share of the ion-exchange and carbonate-bound fraction (F1 BCR) of the cations analysed ranged from 49% of the total concentration for As, through 14% (Ni), 10% (Cr), and 2% (Al), to 0.35% in the case of Fe, which is an unfavourable outcome from the environmental and toxicological perspective. The highest amounts of Cr, Fe, and Ni easily soluble in an acidic environment were found in ashes generated from coal combustion. Ashes obtained from a municipal waste mix combined with hard coal presented the highest share of easily extracted Al, and ashes from municipal waste and hard coals had the highest amount of As extracted in F1 BCR;
- 4)
- The amounts of bioaccessible PTEs corresponded with their total concentrations. For all the samples analysed, their mean values were as follows (data in mg/kg): Al (365.40) >> Fe (6.07) > Cr (1.05) > As (0.86) > Ni (0.36). The highest amount of bioaccessible Fe and Ni was found in ashes from alternative fuels, Al and Cr in ashes from municipal waste, and As in ashes from various types of hard coal;
- 5)
- The highest environmental risk (high risk) was related to the presence of As in the ashes studied. This mainly pertains to ashes obtained from alternative fuels, municipal waste, coals, and mixes of these materials. Medium risk to low risk was related to the presence of Ni and Cr in all the material groups analysed. Low risk to no risk related to the presence of Fe and Al was found for all the ash groups studied;
- 6)
- Very high ecological risk stems from the deposition of ashes obtained from the combustion of selected fractions of municipal waste (i.e., diapers, textiles, paper, and cardboard) and low-quality hard coals, combusted individually or in combination with different types of wood. This is related to high concentrations and toxicity of As.
Author Contributions
Funding
Institutional Review Board Statement
Informed Consent Statement
Data Availability Statement
Conflicts of Interest
References
- Available online: www.ec.europa.eu/environment/basics/green-economy/managing-waste/ (accessed on 1 December 2021).
- Central Statistical Office. Environment Energy. Central Statistical Office: Warsaw, Poland, 2019. [Google Scholar]
- Monroy Sarmiento, L.E.; Clavier, K.A.; Townsend, T.G. Trace element release from combustion ash co-disposed with municipal solid waste. Chemosphere 2020, 252, 126436. [Google Scholar] [CrossRef]
- Pak, A.Y.; Mamontov, G.Y.; Slyusarskiy, K.V.; Larionov, K.B.; Yankovsky, S.A.; Gvozdyakov, D.V.; Gubin, V.E.; Martynov, R.S. Ash Waste Utilization via Direct Current Arc Plasma with Production of SiC and AlN. Waste Biomass Valor. 2021, 12, 5689–5700. [Google Scholar] [CrossRef]
- Rosik-Dulewska, C. Fundamentals of Waste Management; PWN: Warsaw, Poland, 2011. [Google Scholar]
- Kicińska, A. Chemical and mineral composition of fly ashes from home furnaces, and health and environmental risk related to their presence in the environment. Chemosphere 2019, 215, 574–585. [Google Scholar] [CrossRef] [PubMed]
- Data on Poland. Available online: www.oecd.org/poland (accessed on 12 December 2021).
- Available online: www.powietrze.gios.gov.pl (accessed on 22 December 2021).
- Pohlandt, K.; Strecker, M.; Marutzky, R. Ash from the combustion of wood treated with inorganic wood preservatives: Element composition and leaching. Chemosphere 1993, 26, 2121–2128. [Google Scholar] [CrossRef]
- Kicińska, A. Environmental risk related to presence and mobility of As, Cd and Tl in soils in the vicinity of a metallurgical plant–Long-term observations. Chemosphere 2019, 236, 124308. [Google Scholar] [CrossRef]
- Pędziwiatr, A.; Potysz, A.; Uzarowicz, Ł. Combustion wastes from thermal power stations and household stoves: A comparison of properties, mineralogical and chemical composition, and element mobilization by water and fertilizers. Waste Manag. 2021, 131, 136–146. [Google Scholar] [CrossRef]
- Wang, P.; Hu, Y.; Cheng, H. Municipal solid waste (MSW) incineration fly ash as an important source of heavy metal pollution in China. Environ. Pollut. 2019, 252, 461–475. [Google Scholar] [CrossRef]
- Tomsej, T.; Horak, J.; Tomsejova, S.; Krpec, K.; Klanova, J.; Dej, M.; Hopan, F. The Impact of co-combustion of polyethylene plastics and wood in a small residential boiler on emissions of gaseous pollutants, particulate matter, PAHs and 1,3,5- Triphenylbenzene. Chemosphere 2018, 196, 18–24. [Google Scholar] [CrossRef]
- Poluszyńska, J. The content of heavy metal ions in ash from waste incinerated in domestic furnaces. Arch. Environ. Prot. 2020, 46, 68–73. [Google Scholar] [CrossRef]
- Huber, F.; Blasenbauer, D.; Aschenbrenner, P.; Fellner, J. Chemical composition and leachability of differently sized material fractions of municipal solid waste incineration bottom ash. Waste Manag. 2019, 95, 593–603. [Google Scholar] [CrossRef]
- Rabaçal, M.; Fernandes, U.; Costa, M. Combustion and emission characteristics of a domestic boiler fired with pellets of pine, industrial wood wastes and peach stones. Renew. Energy 2013, 51, 220–226. [Google Scholar] [CrossRef]
- Zhang, F.S.; Yamasaki, S.; Nanzyo, M. Waste ashes for use in agricultural production: I. Liming effect, contents of plant nutrients and chemical characteristics of some metals. Sci. Total Environ. 2002, 284, 215–225. [Google Scholar] [CrossRef] [PubMed]
- Chowdhury, S.; Maniar, A.; Suganya, O.M. Strength development in concrete with wood ash blended cement and use of soft computing models to predict strength parameters. J. Adv. Res. 2015, 6, 907–913. [Google Scholar] [CrossRef] [PubMed] [Green Version]
- Yang, Z.F.; Huddleston, J.; Brown, H. Effects of Wood Ash on Properties of Concrete and Flowable Fill. J. Mater. Sci. Chem. Eng. 2016, 4, 101–114. [Google Scholar] [CrossRef] [Green Version]
- Buonanno, G.; Ficco, G.; Stabile, L. Size distribution and number concentration of particles at the stack of a municipal waste incinerator. Waste Manag. 2009, 29, 749–755. [Google Scholar] [CrossRef]
- Chai, L.; Li, H.; Yang, Z.; Min, X.; Liao, Q.; Liu, Y.; Men, S.; Yan, Y.; Xu, J. Heavy metals and metalloids in the surface sediments of the Xiangjiang River, Hunan, China: Distribution, contamination, and ecological risk assessment. Environ. Sci. Pollut. Res. 2017, 24, 874–885. [Google Scholar] [CrossRef]
- Kicińska, A. Arsenic, Cadmium, and Thallium Content in the Plants Growing in Close Proximity to a Zinc Works–Long-Term Observations. J. Ecol. Eng. 2019, 20, 61–69. [Google Scholar] [CrossRef]
- Błachowicz, K. Forgotten ashes. Communal Rev. 2017, 4, 48–51. (In Polish) [Google Scholar]
- Act of 14 December 2012 on waste. Available online: https://www.global-regulation.com/translation/poland/8302260/act-of-14-december-2012-on-waste.html (accessed on 1 December 2021).
- Huber, F.; Blasenbauer, D.; Aschenbrenner, P.; Fellner, J. Complete determination of the material composition of municipal solid waste incineration bottom ash. Waste Manag. 2020, 102, 677–685. [Google Scholar] [CrossRef]
- Zhang, F.S.; Yamasaki, S.; Kimura, K. Rare earth element content in various waste ashes and the potential risk to Japanese soils. Environ. Int. 2001, 27, 393–398. [Google Scholar] [CrossRef]
- Lin, K.L.; Huang, W.J.; Chen, K.C.; Chow, J.D.; Chen, H.J. Behaviour of heavy metals immobilized by co-melting treatment of sewage sludge ash and municipal solid waste incinerator fly ash. Waste Manag. Resour. 2009, 27, 660–667. [Google Scholar] [CrossRef] [PubMed]
- Czop, M.; Kraus, E. Impact on the soil of a selected landfill for the wastes other than hazardous and neutral. Arch. Waste Manag. Environ. Prot. 2017, 19, 31–38. [Google Scholar]
- Kicińska, A. Health risk assessment related to an effect of sample size fractions: Methodological remarks. Stoch. Environ. Res. Risk Assess. 2018, 32, 1867–1887. [Google Scholar] [CrossRef] [Green Version]
- Horák, J.; Kuboňová, L.; Bajer, S.; Dej, M.; Hopan, F.; Krpec, K.; Ochodek, T. Composition of ashes from the combustion of solid fuels and municipal waste in households. J. Environ. Manag. 2019, 248, 109269. [Google Scholar] [CrossRef] [PubMed]
- Kicińska, A.; Caba, G. Leaching of chlorides, sulphates, and phosphates from ashes formed as a result of burning conventional fuels, alternative fuels, and municipal waste in household furnaces. Energies 2021, 14, 3936. [Google Scholar] [CrossRef]
- PN-EN 12176:2004. Determination of pH value. Available online: https://www.sciencedirect.com/science/article/abs/pii/S0048969702005016?via%3Dihub (accessed on 1 December 2021).
- Quevauviller, P. Book Review. Methodologies for soil and sediment fractionation studies. Sci. Total Environ. 2003, 303, 263–264. [Google Scholar]
- Houba, V.J.G.; Novozamski, I.; Lexmond, T.H.M.; Van der Lee, J.J. Applicability of 0.01 M CaCl2 as a single extraction solution for the assessment of the nutrient status of soils and other diagnostic purposes. Comm. Soil Sci. Plant Anal. 1990, 21, 2281–2290. [Google Scholar] [CrossRef]
- Kicińska, A.; Kosa-Burda, B.; Kozub, P. Utilization of a sewage sludge for rehabilitating the soils degraded by the metallurgical industry and a possible environmental risk involved. Hum. Ecol. Risk Assess. Int. J. 2018, 24, 7. [Google Scholar] [CrossRef]
- Pan, Y.; Wu, Z.M.; Zhou, J.Z.; Zhao, J.; Ruan, X.X.; Liu, J.Y.; Qian, G.R. Chemical characteristics and risk assessment of typical municipal solid waste incineration (MSWI) fly ash in China. J. Hazard. Mater. 2013, 261, 269–276. [Google Scholar] [CrossRef]
- Håkanson, L. An ecological riWsk index for aquatic pollution control. A sedimentological approach. Water Res. 1980, 14, 975–1001. [Google Scholar] [CrossRef]
- Kicińska, A.; Pomykała, R.; Izquierdo-Diaz, M. Changes in soil pH and mobility of heavy metals in contaminated soils. Eur. J. Soil Sci. 2022, 73, e13203. [Google Scholar] [CrossRef]
- Kalembasa, S.; Godlewska, A.; Wysokiński, A. The chemical composition of ash from lignite and coal in terms of their agricultural cultivation. Ann. Soil Sci. 2008, 59, 93–97. (In Polish) [Google Scholar]
- Lane, D.J.; Hartikainen, A.; Sippula, O.; Lahde, A.; Mesceriakovas, A.; Peraniemi, S.; Jokiniemi, J. Thermal separation of zinc and other valuable elements from municipal solid waste incineration fly ash. J. Clean. Prod. 2020, 253, 120014. [Google Scholar] [CrossRef]
- Kuboňova, L.; Langova, Š.; Nowak, B.; Winter, F. Thermal and hydrometallurgical recovery methods of heavy metals from municipal solid waste fly ash. Waste Manag. 2013, 33, 2322–2327. [Google Scholar] [CrossRef] [PubMed]
- Karwowska, B.; Dąbrowska, L. Bioavailability of heavy metals in the municipal sewage sludge. Ecol. Chem. Eng. A 2017, 24, 75–86. [Google Scholar]
- Kabata-Pendias, A.; Pendias, H. Biogechemistry of Trace Elements; PWN: Warsaw, Poland, 1999. [Google Scholar]
- Carvalho, P.C.S.; Neiva, A.M.R.; Silva, M.M.V.; Antunes, I.M.H.R. Metal and metalloid leaching from tailings into stream waterland sediments in the old Ag–Pb–Zn Terramonte mine, northern Portugal. Environ. Earth Sci. 2014, 71, 2029–2041. [Google Scholar] [CrossRef]
- Gong, Q.; Deng, J. Calculating pollution indices by heavy metals in ecological geochemistry assessment and as case study in parks of Beijing. J. China Univ. Geosci. 2008, 19, 230–241. [Google Scholar]
- Tsiridis, V.; Petala, M.; Samaras, P.; Kungolos, A.; Sakellaropoulos, G.P. Environmental hazard assessment of coal fly ashes using leaching and ecotoxicity test. Ecotoxicol. Environ. Saf. 2012, 84, 212–220. [Google Scholar] [CrossRef]




| Group of Ashes | No. of Sample | Primary Burned Material | n |
|---|---|---|---|
| I–AF | I.1. | wood of acacia (Acacia Mill.) | 7 |
| I.2. | wood of ash (Fraxinus) | ||
| I.3. | wood of black elderberry (Sambucus nigra L.) | ||
| I.4. | wood of willows (Salix L.) | ||
| I.5. | wood of: acacia + elderberry + ash + willows | ||
| I.6. | straw | ||
| I.7. | nuts | ||
| II–C | II.1. | coal 1 | 5 |
| II.2. | coal 2 | ||
| II.3. | coal 3 | ||
| II.4. | coal pellets (ekogroszek) | ||
| II.5. | peat | ||
| III–AF + C | III.1. | coal 1 + wood of ash | 3 |
| III.2. | coal 1 + wood of willows | ||
| III.3. | coal 1 + wood of acacia | ||
| IV–MW | IV.1. | paper and cardboard | 5 |
| IV.2. | plywood | ||
| IV.3. | sawdust | ||
| IV.4. | plastic-coated paper cartons | ||
| IV.5. | diapers | ||
| V–MW + C | V.1. | coal 1 + textiles | 3 |
| V.2. | coal 1 + mix of municipal waste | ||
| V.3. | coal 1 + PET drink bottle |
| Group of Primary Materials | Parameters | pH *H2O | Al | As | Cr | Fe | Ni |
|---|---|---|---|---|---|---|---|
| (mg/kg d.m.) | |||||||
| AF | Min.–Max. | 11.82–14.50 | 1286–13,045 | 0.68–3.14 | 16.99–80.42 | 5077–22,894 | 8.51–78.22 |
| Av. ± SD | 12.55 ** | 8616 ± 3548 | 1.72 ± 1.14 | 36.79 ± 19.26 | 13,612 ± 5499 | 48.65 ± 21.33 | |
| C | Min.–Max. | 8.89–13.39 | 7167–111,388 | 0.29–24.28 | 25.30–72.57 | 14,752–33,725 | 30.36–144.17 |
| Av. ± SD | 9.58 | 52,879 ± 39,560 | 11.44 ± 9.59 | 50.21 ± 16.91 | 27,249 ± 7491 | 83.88 ± 38.45 | |
| AF + C | Min.–Max. | 13.23–14.74 | 8496–16,800 | 0.84–3.30 | 18.00–38.25 | 12,291–21,652 | 29.60–95.14 |
| Av. ± SD | 13.58 | 12,287 ± 3428 | 2.41 ± 1.11 | 28.48 ± 8.28 | 17,757 ± 3979 | 60.59 ± 26.87 | |
| MW | Min.–Max. | 10.49–13.79 | 1039–88,879 | 1.94–9.86 | 3.71–82.10 | 2300–14,052 | 4.57–21.44 |
| Av. ± SD | 11.19 | 32,994 ± 37,060 | 4.98 ± 2.92 | 29.51 ± 28.31 | 5557 ± 4333 | 16.09 ± 6.68 | |
| MW + C | Min.–Max. | 12.52–15.07 | 11,988–27,453 | 0.87–2.63 | 25.44–36.23 | 9534–27,846 | 33.55–138.85 |
| Av. ± SD | 12.99 | 22,280 ± 7278 | 1.94 ± 0.76 | 30.68 ± 4.41 | 18,903 ± 7482 | 78.41 ± 44.38 | |
| for n = 23 | Min.–Max. | 8.89–15.07 | 1039–111,388 | 0.29–24.28 | 3.71–82.10 | 2300–33,725 | 4.57–144.17 |
| Av. ± SD | 11.98 | 26,680 ± 31,012 | 4.75 ± 6.19 | 36.57 ± 21.03 | 16,408 ± 9514 | 55.41 ± 38.35 | |
| Group of Ashes | Parameters | Al | As | Cr | Fe | Ni |
|---|---|---|---|---|---|---|
| (mg/kg d.m.) | ||||||
| AF | Min.–Max. | 0.76–958.25 | 0.52–1.96 | 0.68–2.57 | 1.67–42.88 | 2.33–11.13 |
| Av. ± SD | 439.69 ± 1028.49 | 1.14 ± 0.49 | 1.47 ± 0.81 | 9.30 ± 13.91 | 5.21 ± 2.72 | |
| (% of TC) | (5.10) | (66.55) | (3.99) | (0.07) | (10.71) | |
| C | Min.–Max. | 7.95–543.42 | 0.15–7.70 | 0.88–88.89 | 3.09–578.76 | 2.09–86.90 |
| Av. ± SD | 160.65 ± 196.24 | 3.34 ± 2.74 | 18.76 ± 35.07 | 174.88 ± 224.88 | 21.15 ± 32.91 | |
| (% of TC) | (0.30) | (29.18) | (37.37) | (0.64) | (25.21) | |
| AF + C | Min.–Max. | 3.41–578.17 | 0.23–2.19 | 0.57–1.22 | 1.51–394.35 | 5.95–6.34 |
| Av. ± SD | 195.32 ± 270.72 | 0.96 ± 0.88 | 0.84 ± 0.28 | 133.58 ± 184.40 | 6.16 ± 0.16 | |
| (% of TC) | (1.59) | (39.73) | (2.96) | (0.75) | (10.16) | |
| MW | Min.–Max. | 4.95–59.58 | 0.69–10.59 | 0.27–1.52 | 1.22–5.06 | 0.72–5.67 |
| Av. ± SD | 27.63 ± 20.27 | 3.40 ± 3.65 | 0.73 ± 0.43 | 3.37 ± 1.69 | 2.50 ± 1.68 | |
| (% of TC) | (0.08) | (68.25) | (2.48) | (0.06) | (15.54) | |
| MW + C | Min.–Max. | 0.91–2065.63 | 0.54–1.04 | 0.64–1.94 | 1.47–124.43 | 5.46–6.73 |
| Av. ± SD | 701.25 ± 964.88 | 0.84 ± 0.22 | 1.24 ± 0.54 | 43.25 ± 57.41 | 5.96 ± 0.56 | |
| (% of TC) | (3.15) | (43.33) | (4.04) | (0.23) | (7.60) | |
| for all samples n = 23 | Min.–Max. | 0.76–958.25 | 0.15–10.59 | 0.27–88.89 | 1.22–578.76 | 0.72–86.90 |
| Av. ± SD | 304.91 | 1.93 | 4.61 | 72.88 | 8.19 | |
| (% of TC) | (2.05) | (49.41) | (10.17) | (0.35) | (13.84) | |
| Group of Ashes | Parameters | Al | As | Cr | Fe | Ni |
|---|---|---|---|---|---|---|
| (mg/kg d.m.) | ||||||
| AF | min.–max. | 0.46–122.27 | 0.06–2.16 | 0.75–3.66 | 2.20–82.65 | 0.18–2.10 |
| av. ± SD | 28.94 ± 41.31 | 0.75 ± 0.68 | 1.67 ± 1.02 | 18.93 ± 26.36 | 0.73 ± 0.61 | |
| (% of TC) | (0.34) | (43.82) | (4.53) | (0.14) | (1.50) | |
| C | min.–max. | 6.97–206.20 | 0.20–3.53 | 0.07–0.29 | 0.91–1.69 | 0.03–0.36 |
| av. ± SD | 88.79 ± 75.65 | 1.44 ± 1.16 | 0.17 ± 0.08 | 1.35 ± 0.33 | 0.15 ± 0.14 | |
| (% of TC) | (0.17) | (12.59) | (0.33) | (0.00) | (0.18) | |
| AF + C | min.–max. | 29.56–231.64 | 0.18–0.64 | 0.36–1.03 | 0.93–6.13 | 0.01–0.24 |
| av. ± SD | 101.78 ± 92.02 | 0.47 ± 0.21 | 0.64 ± 0.28 | 2.92 ± 2.29 | 0.11 ± 0.10 | |
| (% of TC) | (0.83) | (19.65) | (2.24) | (0.02) | (0.18) | |
| MW | min.–max. | 4.25–6910.45 | 0.53–1.61 | 0.08–6.52 | 0.86–14.18 | 0.16–1.87 |
| av. ± SD | 1581.10 ± 2684.80 | 1.10 ± 0.36 | 1.89 ± 2.39 | 4.29 ± 4.99 | 0.56 ± 0.66 | |
| (% of TC) | (4.79) | (22.02) | (6.40) | (0.08) | (3.47) | |
| MW + C | min.–max. | 6.24–60.81 | 0.41–0.65 | 0.16–1.32 | 0.97–6.01 | 0.02–0.48 |
| av. ± SD | 26.42 ± 24.44 | 0.55 ± 0.10 | 0.88 ± 0.51 | 2.84 ± 2.25 | 0.26 ± 0.19 | |
| (% of TC) | (0.12) | (28.15) | (2.86) | (0.02) | (0.33) | |
| for all samples n = 23 | min.–max. | 0.46–6910.45 | 0.06–3.53 | 0.07–6.52 | 0.86–82.65 | 0.01–2.10 |
| av. | 365.40 | 0.86 | 1.05 | 6.07 | 0.36 | |
| (% of TC) | 1.25 | 25.24 | 3.27 | 0.05 | 1.13 | |
| Group of Ashes | RAC | |||||
|---|---|---|---|---|---|---|
| Al | As | Cr | Fe | Ni | ||
| AF | Av. | 5.10 | 66.55 | 3.99 | 0.07 | 10.71 |
| Me | 0.09 | 53.67 | 2.70 | 0.01 | 7.62 | |
| C | Av. | 0.30 | 29.18 | 37.37 | 0.64 | 25.21 |
| Me | 0.16 | 18.69 | 2.33 | 0.07 | 9.28 | |
| AF + C | Av. | 1.59 | 39.73 | 2.96 | 0.75 | 10.16 |
| Me | 0.04 | 14.67 | 2.52 | 0.03 | 10.43 | |
| MW | Av. | 0.08 | 68.25 | 2.48 | 0.06 | 15.54 |
| Me | 0.01 | 31.12 | 1.94 | 0.02 | 15.09 | |
| MW + C | Av. | 3.15 | 43.33 | 4.04 | 0.23 | 7.60 |
| Me | 0.14 | 39.40 | 4.50 | 0.04 | 8.69 | |
| For all samples (n = 23) | Av. | 1.07 | 40.46 | 6.48 | 0.19 | 12.03 |
| Me | 0.15 | 39.57 | 2.83 | 0.07 | 10.30 | |

| Group of Ahses | No. | mRAC * | ERI ** | |||
|---|---|---|---|---|---|---|
| Primary Burned Material | As | Cr | Ni | |||
| Tri (10) | Tri (2) | Tri (5) | ||||
| AF | I.1 | wood of acacia (Ac) | 402.4 | 4.9 | 82.7 | 490.0 |
| I.2 | wood of ash (A) | 77.0 | 6.7 | 58.4 | 142.1 | |
| I.3 | wood of black elderberry (Be) | 364.3 | 5.4 | 27.6 | 397.3 | |
| I.4 | wood of willows (W) | 773.7 | 5.1 | 38.0 | 816.8 | |
| I.5 | wood of: Ac + Be + A + W | 557.4 | 3.2 | 38.1 | 598.6 | |
| I.6 | straw | 736.7 | 17.2 | 30.4 | 784.3 | |
| I.7 | nuts | 1234.1 | 30.3 | 294.7 | 1559.0 | |
| C | II.1 | coal 1 | 3640.8 | 3.7 | 30.9 | 3675.4 |
| II.2 | coal 2 | 426.1 | 284.4 | 567.7 | 1278.2 | |
| II.3 | coal 3 | 206.2 | 4.7 | 46.4 | 257.3 | |
| II.4 | coal pellets (ekogroszek) | 196.9 | 2.7 | 7.2 | 206.8 | |
| II.5 | peat | 306.9 | 16.5 | 71.7 | 395.2 | |
| AF + C | III.1 | coal 1 + wood of ash | 69.9 | 3.0 | 33.3 | 106.2 |
| III.2 | coal 1 + wood of willows | 146.7 | 5.0 | 52.2 | 203.9 | |
| III.3 | coal 1 + wood of acacia | 2602.2 | 13.6 | 104.4 | 2720.2 | |
| MW | IV.1 | paper and cardboard | 368.8 | 3.9 | 40.1 | 412.8 |
| IV.2 | plywood | 219.6 | 3.7 | 53.9 | 277.2 | |
| IV.3 | sawdust | 311.2 | 19.7 | 132.2 | 463.2 | |
| IV.4 | plastic-coated paper cartons | 246.0 | 2.6 | 86.8 | 335.4 | |
| IV.5 | diapers | 5464.9 | 24.7 | 79.0 | 5568.5 | |
| MW + C | V.1 | coal 1 + textiles | 394.0 | 10.7 | 100.3 | 505.0 |
| V.2 | coal 1 + mix of MW | 233.3 | 4.2 | 20.4 | 257.9 | |
| V.3 | coal 1 + PET drink bottle | 1080.2 | 9.0 | 43.4 | 1132.6 | |
Publisher’s Note: MDPI stays neutral with regard to jurisdictional claims in published maps and institutional affiliations. |
© 2022 by the authors. Licensee MDPI, Basel, Switzerland. This article is an open access article distributed under the terms and conditions of the Creative Commons Attribution (CC BY) license (https://creativecommons.org/licenses/by/4.0/).
Share and Cite
Kicińska, A.; Caba, G.; Serwatka, H. Ecological Risk Assessment Related to the Presence and Toxicity of Potentially Toxic Elements in Ashes from Household Furnaces. Int. J. Environ. Res. Public Health 2022, 19, 1770. https://doi.org/10.3390/ijerph19031770
Kicińska A, Caba G, Serwatka H. Ecological Risk Assessment Related to the Presence and Toxicity of Potentially Toxic Elements in Ashes from Household Furnaces. International Journal of Environmental Research and Public Health. 2022; 19(3):1770. https://doi.org/10.3390/ijerph19031770
Chicago/Turabian StyleKicińska, Alicja, Grzegorz Caba, and Hubert Serwatka. 2022. "Ecological Risk Assessment Related to the Presence and Toxicity of Potentially Toxic Elements in Ashes from Household Furnaces" International Journal of Environmental Research and Public Health 19, no. 3: 1770. https://doi.org/10.3390/ijerph19031770
APA StyleKicińska, A., Caba, G., & Serwatka, H. (2022). Ecological Risk Assessment Related to the Presence and Toxicity of Potentially Toxic Elements in Ashes from Household Furnaces. International Journal of Environmental Research and Public Health, 19(3), 1770. https://doi.org/10.3390/ijerph19031770

