Spatial Transformation Characteristics and Conflict Measurement of Production-Living-Ecology: Evidence from Urban Agglomeration of China
Abstract
:1. Introduction
2. Literature Review
2.1. Identification and Classification of the PLES
2.2. The Spatial and Temporal Evolution of the PLES
2.3. Study on the Conflict of the PLES
3. Methods and Data
3.1. Research Area
3.2. Research Methods
3.2.1. Construction of the PLES Classification System
3.2.2. Land Use Transfer Matrix
3.2.3. Spatial Conflict Index
3.3. Data
4. Results and Discussion
4.1. Analysis of Evolution Characteristics of PLES
4.1.1. Spatiotemporal Evolution Characteristics of PLES
4.1.2. The Structural Transformation Characteristics of PLES
4.2. Analysis of Conflict and Change of PLES
4.2.1. Time Evolution Characteristics
4.2.2. Conflict Differentiation Characteristics of PLES
5. Conclusions and Suggestions
5.1. Conclusions
- (1)
- From 1990 to 2020, PS and LS expanded by 0.87% and 6.75%, respectively, while ES decreased by 0.37%. In terms of spatial distribution, the APS of PS is concentrated in the traditional agricultural production area downstream, while the APS of the midstream and upstream is scattered. The distribution of LS corresponds to the agricultural and industrial production space. The density of LS in the downstream is significantly higher than that in the midstream and upstream, while the distribution of ecology space is more in the west and less in the east.
- (2)
- APS, GES and OES decreased, and the rest of the space types showed a trend of expansion. IPS and ULS expanded rapidly. In terms of transition and transition structure, each space type has different transformation directions, but the transformation between ES and PS is the main transformation direction. In the downstream area, the transformation between PS and LS is mainly reflected in the mutual transformation of PS and LS, and the transformation distribution of ES and LS is scattered.
- (3)
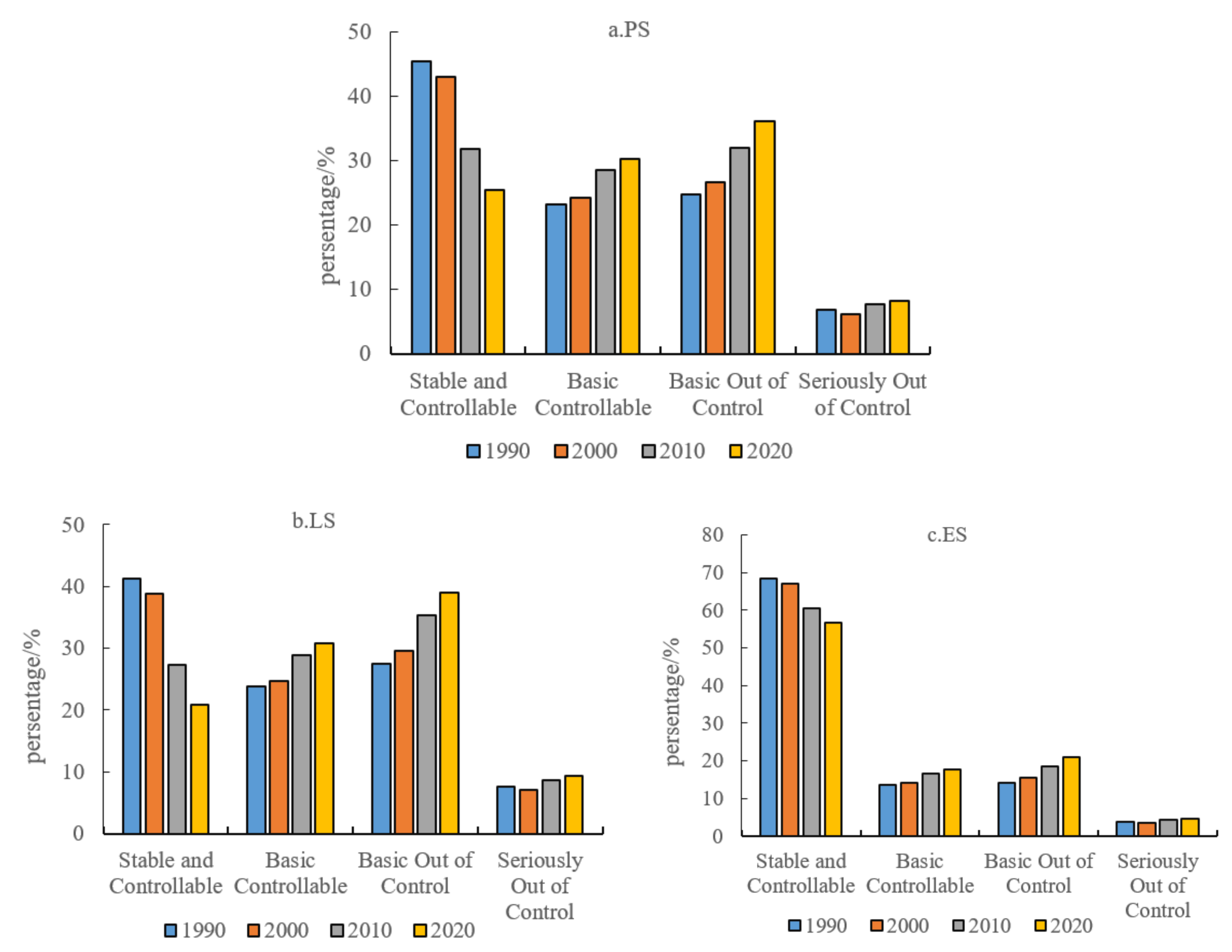
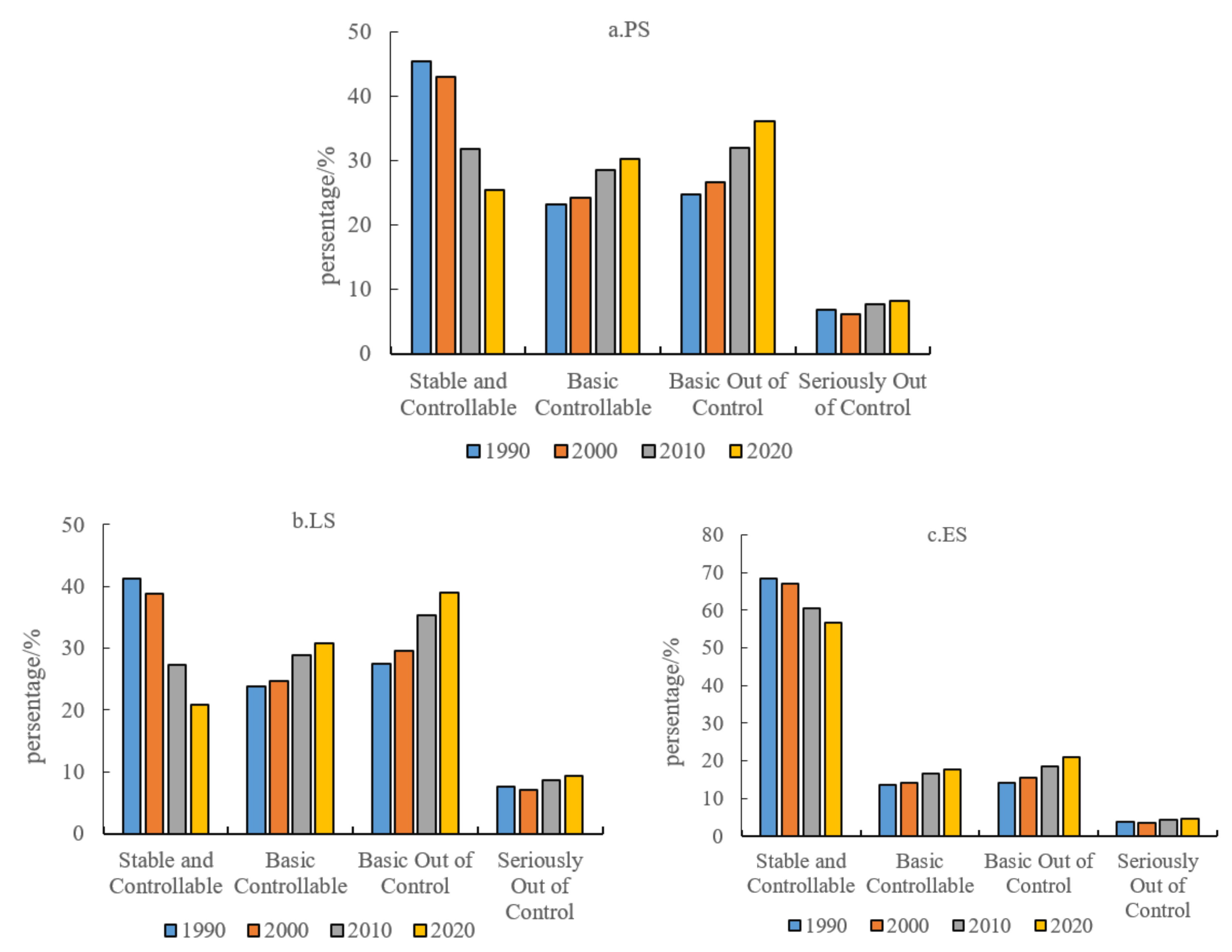
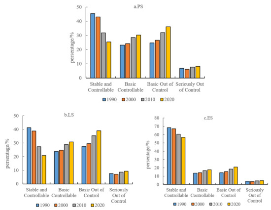
- From 1990 to 2020, the intensity of conflicts in PLES gradually increased, but it was still controllable. Stable and basic controllable space units accounted for more than 70%, and basic and seriously out of control space units gradually increased. In terms of space, the basic controllable space units are mainly distributed in the upstream region and relatively concentrated, while in the downstream region, they are mainly basic out of control and seriously out of control, and their distribution is relatively fragmented. Specifically, the variation range of conflict units in PS and LS is the same, while the variation range of conflict units in ES is smaller.
5.2. Suggestions
- (1)
- Although most of the upstream areas are in a stable and controllable state, as China’s Water Tower and ecological spatial agglomeration area, ecological protection should be considered in the first place; the relationship between the production, living and ecological environment should be correctly handled, promote the construction of water conservation capacity, strengthen regional desertification control and strictly implement the principle of ecological access. The construction of nature reserves should promote ecological restoration, adhere to local conditions, comprehensively utilize engineering measures and biological measures to manage the ecosystem, control the ecology space at different levels and scales, delimit the rigid core elements and elastic space of ecological protection, reduce the frequency of human social and economic activities and alleviate the contradiction between human activities in the ecology space and the ecological environment.
- (2)
- The midstream region should be committed to the spatial governance of soil erosion. On the one hand, it is important to protect forestland, grassland and unused land, enhance the soil and water conservation capacity, prevent the fragmentation of ecology space caused by urbanization and industrialization and take into account the economic and ecological benefits of land use. On the other hand, ecological restoration should be actively promoted to improve the management efficiency in the middle reaches. For irrigated agricultural areas, excessive consumption of water resources in agriculture and industry should be prevented; the proportion of ecological water should be increased; the intensity of land development should be strictly controlled; industries related to ecological environment protection should be developed; and the coupling and coordination level of PLES should be improved.
- (3)
- The downstream region, as the region with the most serious conflict, is densely populated and has high industrial and agricultural production intensity. First, it is necessary to improve the quality of the population while reasonably controlling the size of the population, with land efficient and intensive use as the development goal, optimize the industrial layout, focus on cultivating new industrial systems, strictly control the disorderly expansion of urban and rural construction land, improve the utilization efficiency of existing construction land and alleviate the contradiction between industrial and agricultural production and ecological protection to create a green ecological corridor in the lower reaches of the Yellow River. Second, for the vast agricultural production space, the level of agricultural mechanization should be improved, protect high-quality cultivated land resources, improve land output income and reduce dependence on land resources. Finally, the concept of green development was combined with technical means, using the theory and technology of sponge cities, green buildings and ecological materials to promote the construction of urban ecological civilizations and strengthen the positive impact of land invisible forms on the ecological environment.
Author Contributions
Funding
Institutional Review Board Statement
Informed Consent Statement
Data Availability Statement
Conflicts of Interest
Appendix A
| Full Name | Abbreviation | Full Name | Abbreviation |
|---|---|---|---|
| Production-living-ecology space | PLES | Rural living space | RLS |
| Yellow River Basin | YRB | Forestland ecology space | FES |
| production space | PS | Grassland ecology space | GES |
| living space | LS | Water ecology space | WES |
| ecology space | ES | Other ecology spaces | OES |
| Agricultural production space | APS | Spatial conflict index | SCI |
| Industrial production space | IPS | area-weighted mean patch fractal dimension | AWMPFD |
| Urban living space | ULS | patch density | PD |
References
- Tian, F.; Li, M.; Han, X.; Liu, H.; Mo, B. A Production–Living–Ecological Space Model for Land-Use Optimisation: A Case Study of the Core Tumen River Region in China. Ecol. Model. 2020, 437, 109310. [Google Scholar] [CrossRef]
- Zhou, D.; Xu, J.; Lin, Z. Conflict or Coordination? Assessing Land Use Multi-Functionalization Using Production-Living-Ecology Analysis. Sci. Total Environ. 2017, 577, 136–147. [Google Scholar] [CrossRef]
- Zou, L.; Liu, Y.; Wang, J.; Yang, Y. An Analysis of Land Use Conflict Potentials Based on Ecological-Production-Living Function in the Southeast Coastal Area of China. Ecol. Indic. 2021, 122, 107297. [Google Scholar] [CrossRef]
- Liu, K.; Qiao, Y.; Zhou, Q. Spatiotemporal Heterogeneity and Driving Force Analysis of Innovation Output in the Yangtze River Economic Zone: The Perspective of Innovation Ecosystem. Complexity 2021, 2021, 8884058. [Google Scholar] [CrossRef]
- Schluessel, V.; Bennett, M.B.; Bleckmann, H.; Blomberg, S.; Collin, S.P. Morphometric and Ultrastructural Comparison of the Olfactory System in Elasmobranchs: The Significance of Structure–Function Relationships Based on Phylogeny and Ecology. J. Morphol. 2008, 269, 1365–1386. [Google Scholar] [CrossRef] [PubMed]
- Liu, Y. Introduction to Land Use and Rural Sustainability in China. Land Use Policy 2018, 74, 1–4. [Google Scholar] [CrossRef]
- Zhang, W.; Zhang, M.; Wu, S.; Liu, F. A Complex Path Model for Low-Carbon Sustainable Development of Enterprise Based on System Dynamics. J. Clean. Prod. 2021, 321, 128934. [Google Scholar] [CrossRef]
- Zhou, Q.; Zhu, M.; Qiao, Y.; Zhang, X.; Chen, J. Achieving Resilience through Smart Cities? Evidence from China. Habitat Int. 2021, 111, 102348. [Google Scholar] [CrossRef]
- Lin, G.; Fu, J.; Jiang, D. Production–Living–Ecological Conflict Identification Using a Multiscale Integration Model Based on Spatial Suitability Analysis and Sustainable Development Evaluation: A Case Study of Ningbo, China. Land 2021, 10, 383. [Google Scholar] [CrossRef]
- Yang, G.; Chen, Z. Rs-Based Fuzzy Multiattribute Assessment of Eco-Environmental Vulnerability in the Source Area of the Lishui River of Northwest Hunan Province, China. Nat. Hazards 2015, 78, 1145–1161. [Google Scholar] [CrossRef]
- Gao, C.; Zhou, P.; Jia, P.; Liu, Z.; Wei, L.; Tian, H. Spatial Driving Forces of Dominant Land Use/Land Cover Transformations in the Dongjiang River Watershed, Southern China. Environ. Monit. Assess. 2016, 188, 84. [Google Scholar] [CrossRef] [PubMed]
- Yang, Y.; Bao, W.; Liu, Y. Coupling Coordination Analysis of Rural Production-Living-Ecological Space in the Beijing-Tianjin-Hebei Region. Ecol. Indic. 2020, 117, 106512. [Google Scholar] [CrossRef]
- Li, J.; Sun, W.; Li, M.; Meng, L. Coupling Coordination Degree of Production, Living and Ecological Spaces and Its Influencing Factors in the Yellow River Basin. J. Clean. Prod. 2021, 298, 126803. [Google Scholar] [CrossRef]
- Zhou, H.; Chen, Y.; Tian, R. Land-Use Conflict Identification from the Perspective of Construction Space Expansion: An Evaluation Method Based on ‘Likelihood-Exposure-Consequence’. ISPRS Int. J. Geo-Inf. 2021, 10, 433. [Google Scholar] [CrossRef]
- Zhang, W.; Zhang, M.; Zhang, W.; Zhou, Q.; Zhang, X. What Influences the Effectiveness of Green Logistics Policies? A Grounded Theory Analysis. Sci. Total Environ. 2020, 714, 136731. [Google Scholar] [CrossRef]
- Chen, Y.; Su, X.; Zhou, Q. Study on the Spatiotemporal Evolution, and Influencing Factors of Urban Resilience in the Yellow River Basin. Int. J. Environ. Res. Public Health 2021, 18, 10231. [Google Scholar] [CrossRef]
- Chen, Y.; Zhu, M.; Lu, J.; Zhou, Q.; Ma, W. Evaluation of Ecological City and Analysis of Obstacle Factors under the Background of High-Quality Development: Taking Cities in the Yellow River Basin as Examples. Ecol. Indic. 2020, 118, 106771. [Google Scholar] [CrossRef]
- Liu, K.; Qiao, Y.; Shi, T.; Zhou, Q. Study on Coupling Coordination and Spatiotemporal Heterogeneity between Economic Development and Ecological Environment of Cities Along the Yellow River Basin. Environ. Sci. Pollut. Res. 2021, 28, 6898–6912. [Google Scholar] [CrossRef]
- Liu, H.; Fan, J.; Wang, C. Progress in the Study of European Spatial Planning, and the Inspiration to China. Geogr. Anal. 2008, 6, 1381–1389. [Google Scholar]
- Bach, P.M.; Staalesen, S.; McCarthy, D.T.; Deletic, A. Revisiting Land Use Classification and Spatial Aggregation for Modelling Integrated Urban Water Systems. Landsc. Urban Plan. 2015, 143, 43–55. [Google Scholar] [CrossRef]
- Verstegen, J.A.; Karssenberg, D.; van der Hilst, F.; Faaij, A.P. Detecting Systemic Change in a Land Use System by Bayesian Data Assimilation. Environ. Model. Softw. 2016, 75, 424–438. [Google Scholar] [CrossRef] [Green Version]
- Chen, Y.; Zhu, M.; Zhou, Q.; Qiao, Y. Research on Spatiotemporal Differentiation and Influence Mechanism of Urban Resilience in China Based on Mgwr Model. Int. J. Environ. Res. Public Health 2021, 18, 1056. [Google Scholar] [CrossRef] [PubMed]
- Wu, Y.J.; Yang, Y.Z.; Yang, L.; Zhang, C.; You, Z. Land Spatial Development and Suitability for City Construction Based on Ecological-Living-Industrial Space: Take Ningbo City as an Example. Resour. Sci. 2016, 38, 2072–2081. [Google Scholar]
- Liu, J.L.; Liu, Y.S.; Li, Y.R. Classification Evaluation and Spatial-Temporal Analysis of Production-Living-Ecological Spaces in China. Acta Geogr. Sin. 2017, 72, 1290–1304. [Google Scholar]
- Yang, Y.; Bao, W.; Li, Y.; Wang, Y.; Chen, Z. Land Use Transition and Its Eco-Environmental Effects in the Beijing–Tianjin–Hebei Urban Agglomeration: A Production–Living–Ecological Perspective. Land 2020, 9, 285. [Google Scholar] [CrossRef]
- Lin, G.; Jiang, D.; Fu, J.; Cao, C.; Zhang, D. Spatial Conflict of Production–Living–Ecological Space and Sustainable-Development Scenario Simulation in Yangtze River Delta Agglomerations. Sustainability 2020, 12, 2175. [Google Scholar] [CrossRef] [Green Version]
- Zhu, Y.Y.; Yu, B.; Zeng, J.X.; Han, Y. Spatial Optimization from Three Spaces of Production, Living and Ecology in National Restricted Zones: A Case Study of Wufeng County in Hubei Province. Econ. Geogr. 2015, 35, 26–32. [Google Scholar]
- Chan, R.C.; Shimou, Y. Urbanization and Sustainable Metropolitan Development in China: Patterns, Problems and Prospects. GeoJournal 1999, 49, 269–277. [Google Scholar] [CrossRef]
- Wang, J.P.; Yu, D.; Lu, Y.; Zhang, T.; Zheng, Y.P. Recognition and Analysis of Land Use Conflicts at County Level Based on Production-Living-Ecological Suitability. J. Nat. Resour. 2021, 36, 1238–1251. [Google Scholar] [CrossRef]
- Xiong, J.; Chen, D.; Peng, B.; Deng, S.; Xie, X. Spatio-Temporal Difference of Coupling Coordinative Degree of Ecological Carrying Capacity in the Dongting Lake Region. Sci. Geogr. Sin. 2014, 34, 1108–1116. [Google Scholar]
- Yu, L.; Song, A.; Zheng, Y.; Jian, Q.; Zhang, P. The Ecological-Livingindustrial Land Classification System and the Analysis of Its Spatial Distribution: Case of Changli County. Chin. J. Agric. Resour. Reg. Plan. 2017, 38, 89–96. [Google Scholar]
- Jin, X.; Lu, Y.Q. Research on the Evolution of Spatiotemporal Patterns of Production-Livingecological Space in an Urban Agglomeration in the Fujian Delta Region, China. Acta Ecol. Sin. 2018, 38, 4286–4295. [Google Scholar]
- Mingwei, L.; Yuhan, Y.; Weiqiang, C. Classification and Spatial-Temporal Analysis of Productionliving-Ecological Spaces in Henan Province. Chin. J. Agric. Resour. Reg. Plan. 2018, 39, 13–20. [Google Scholar]
- Tan, S. An Outline of Research on Land Conflicts and Their Administration in Foreign Academe. China Land Sci. 2007, 4, 74–80. [Google Scholar]
- Yang, Y.F.; Qian, A.N.; Zhu, L.Q. Diagnosis Based on the Psr Model of Rural Land-Use Conflicts Intensity. Prog. Geogr. 2012, 31, 1552–1560. [Google Scholar]
- Zhou, D.; Xu, J.; Wang, L. Process of Land Use Conflict Research in China During the Past Fifteen Years. China Land Sci. 2015, 29, 21–29. [Google Scholar]
- Zhou, G.H.; Peng, J.J. The Evolution Characteristics and Influence Effect of Spatial Conflict: A Case Study of Changsha-Zhuzhou-Xiangtan Urban Agglomeration. Prog. Geogr. 2012, 31, 717–723. [Google Scholar]
- Liu, K.; Xie, X.; Zhou, Q. Research on the Influencing Factors of Urban Ecological Carrying Capacity Based on a Multiscale Geographic Weighted Regression Model: Evidence from China. Land 2021, 10, 1313. [Google Scholar] [CrossRef]
- Henderson, S.R. Managing Land-Use Conflict around Urban Centres: Australian Poultry Farmer Attitudes Towards Relocation. Appl. Geogr. 2005, 25, 97–119. [Google Scholar] [CrossRef]
- Iojă, C.I.; Niţă, M.R.; Vânău, G.O.; Onose, D.A.; Gavrilidis, A.A. Using Multi-Criteria Analysis for the Identification of Spatial Land-Use Conflicts in the Bucharest Metropolitan Area. Ecol. Indic. 2014, 42, 112–121. [Google Scholar] [CrossRef]
- Karimi, A.; Hockings, M. A Social-Ecological Approach to Land-Use Conflict to Inform Regional and Conservation Planning and Management. Landsc. Ecol. 2018, 33, 691–710. [Google Scholar] [CrossRef]
- Peerzado, M.B.; Magsi, H.; Sheikh, M.J. Land Use Conflicts and Urban Sprawl: Conversion of Agriculture Lands into Urbanization in Hyderabad, Pakistan. J. Saudi Soc. Agric. Sci. 2019, 18, 423–428. [Google Scholar] [CrossRef]
- Zou, L.; Liu, Y.; Wang, J.; Yang, Y.; Wang, Y. Land Use Conflict Identification and Sustainable Development Scenario Simulation on China’s Southeast Coast. J. Clean. Prod. 2019, 238, 117899. [Google Scholar] [CrossRef]
- Qiu, C.H.; Li, Y.B.; Feng, Y.S. Ecological Suitability Assessment and Optimization of Urban Land Expansion Space in Guiyang City. Yingyong Shengtai Xuebao 2015, 26, 9. [Google Scholar]
- Liao, G.; He, P.; Gao, X.; Deng, L.; Zhang, H.; Feng, N.; Zhou, W.; Deng, O. The Production–Living–Ecological Land Classification System and Its Characteristics in the Hilly Area of Sichuan Province, Southwest China Based on Identification of the Main Functions. Sustainability 2019, 11, 1600. [Google Scholar] [CrossRef] [Green Version]
- Liu, W.; Zhan, J.; Zhao, F.; Yan, H.; Zhang, F.; Wei, X. Impacts of Urbanization-Induced Land-Use Changes on Ecosystem Services: A Case Study of the Pearl River Delta Metropolitan Region, China. Ecol. Indic. 2019, 98, 228–238. [Google Scholar] [CrossRef]
- Zhou, Y.; Li, X.; Liu, Y. Land Use Change and Driving Factors in Rural China During the Period 1995-2015. Land Use Policy 2020, 99, 105048. [Google Scholar] [CrossRef]
- Wang, S.Y.; Liu, J.S.; Ma, T.B. Dynamics and Changes in Spatial Patterns of Land Use in Yellow River Basin, China. Land Use Policy 2010, 27, 313–323. [Google Scholar] [CrossRef]
- Kong, D.Y.; Chen, H.G.; Wu, K.S. The Evolution of Production-Living-Ecological Space, Eco-Environmental Effects and Its Influencing Factors in China. J. Nat. Resour. 2021, 36, 1116–1135. [Google Scholar] [CrossRef]
- Yin, D.; Li, X.; Li, G.; Zhang, J.; Yu, H. Spatio-Temporal Evolution of Land Use Transition and Its Eco-Environmental Effects: A Case Study of the Yellow River Basin, China. Land 2020, 9, 514. [Google Scholar] [CrossRef]







| First-Level Classification | Second-Level Classification | Third-Level Classification |
|---|---|---|
| Production space | Agricultural production space | Paddy field, Dry land |
| Industrial production space | Industrial, mining and transportation construction land | |
| Living space | Urban living space | Urban land |
| Rural living space | Rural residential area | |
| Ecology space | Forestland ecology space | Forestland, shrubbery forest, Sparse woodland, Other woodlands |
| Grassland ecology space | High, Medium and Low coverage grassland | |
| Water ecology space | Canal, Lakes, Reservoir pit, Permanent glacier snow, tidal flat | |
| Other ecology spaces | Sand land, Gobi, Saline-alkali land, Everglade, Bare land, Bare rock texture, Other |
| Year | PS | LS | ES | |||||
|---|---|---|---|---|---|---|---|---|
| APS | IPS | ULS | RLS | FES | GES | WES | OES | |
| 1990 | 475,388 | 3926 | 7356 | 43,377 | 209,919 | 1,043,018 | 56,220 | 710,624 |
| 2000 | 479,304 | 4166 | 9544 | 44,613 | 209,381 | 1,035,888 | 57,123 | 709,888 |
| 2010 | 469,323 | 5440 | 16,226 | 46,734 | 211,935 | 1,039,876 | 58,748 | 701,656 |
| 2020 | 461,927 | 12,768 | 19,826 | 49,835 | 212,412 | 1,035,644 | 62,179 | 695,437 |
| Change between 1990 and 2000 | 3916 | 240 | 2188 | 1236 | −538 | −7130 | 903 | −736 |
| Change between 2000 and 2010 | −9981 | 1274 | 6682 | 2121 | 2554 | 3988 | 1625 | −8232 |
| Change between 2010 and 2020 | −7396 | 7328 | 3600 | 3101 | 477 | −4232 | 3431 | −6219 |
| Change between 1990 and 2020 | −13,461 | 8842 | 12,470 | 6458 | 2493 | −7374 | 5959 | −15,187 |
| 1990 | 2020 | Roll-Out | |||||||
|---|---|---|---|---|---|---|---|---|---|
| APS | IPS | ULS | RLS | FES | GES | WES | OES | ||
| APS | - | 4104 | 9509 | 10,647 | 3826 | 10,929 | 2432 | 1363 | 42,810 |
| IPS | 157 | - | 188 | 103 | 39 | 330 | 268 | 402 | 1487 |
| ULS | 238 | 14 | - | 214 | 22 | 70 | 6 | 5 | 569 |
| RLS | 4118 | 171 | 1944 | - | 57 | 208 | 69 | 40 | 6607 |
| FES | 2476 | 496 | 245 | 292 | - | 3286 | 205 | 305 | 7305 |
| GES | 16,653 | 3473 | 665 | 1400 | 5031 | - | 2821 | 17,407 | 47,450 |
| WES | 1998 | 434 | 300 | 139 | 116 | 832 | - | 1537 | 5356 |
| OES | 3704 | 1623 | 157 | 270 | 705 | 24,420 | 5367 | - | 36,246 |
| Roll-in | 29,344 | 10,315 | 13,008 | 13,065 | 9796 | 40,075 | 11,168 | 21,059 | - |
| Type | Area/km2 | |||||
|---|---|---|---|---|---|---|
| Roll-In Rate | Roll-Out Rate | The Total Variation | Exchange Variation | Net Increase | Rate of Increase and Decrease | |
| APS | 6.35% | 9.01% | 72,154 | 58,688 | −13,466 | −2.83% |
| IPS | 80.88% | 37.88% | 11,802 | 2974 | 8828 | 225.22% |
| ULS | 65.71% | 7.74% | 13,577 | 1138 | 12,439 | 169.52% |
| RLS | 26.22% | 15.23% | 19,672 | 13,214 | 6458 | 14.89% |
| FES | 4.61% | 3.48% | 17,101 | 14,610 | 2491 | 1.19% |
| GES | 3.87% | 4.55% | 87,525 | 80,150 | −7375 | −0.71% |
| WES | 18.01% | 9.53% | 16,524 | 10,712 | 5812 | 10.60% |
| OES | 3.03% | 5.10% | 57,305 | 42,118 | −15,187 | −2.14% |
| Level of Conflict | Number of Space Units | Percentage (%) | ||||||
|---|---|---|---|---|---|---|---|---|
| 1990 | 2000 | 2010 | 2020 | 1990 | 2000 | 2010 | 2020 | |
| Stable and Controllable | 2112 | 2069 | 1866 | 1748 | 68.2 | 66.81 | 60.25 | 56.44 |
| Basic Controllable | 418 | 436 | 516 | 549 | 13.5 | 14.08 | 16.66 | 17.73 |
| Basic Out of Control | 445 | 480 | 577 | 651 | 14.37 | 15.5 | 18.63 | 21.02 |
| Seriously Out of Control | 122 | 112 | 138 | 149 | 3.94 | 3.62 | 4.46 | 4.81 |
| Average | 0.41 | 0.43 | 0.53 | 0.57 | - | - | - | - |
| Total | 3097 | 3097 | 3097 | 3097 | 100 | 100 | 100 | 100 |
Publisher’s Note: MDPI stays neutral with regard to jurisdictional claims in published maps and institutional affiliations. |
© 2022 by the authors. Licensee MDPI, Basel, Switzerland. This article is an open access article distributed under the terms and conditions of the Creative Commons Attribution (CC BY) license (https://creativecommons.org/licenses/by/4.0/).
Share and Cite
Chen, Y.; Su, X.; Wang, X. Spatial Transformation Characteristics and Conflict Measurement of Production-Living-Ecology: Evidence from Urban Agglomeration of China. Int. J. Environ. Res. Public Health 2022, 19, 1458. https://doi.org/10.3390/ijerph19031458
Chen Y, Su X, Wang X. Spatial Transformation Characteristics and Conflict Measurement of Production-Living-Ecology: Evidence from Urban Agglomeration of China. International Journal of Environmental Research and Public Health. 2022; 19(3):1458. https://doi.org/10.3390/ijerph19031458
Chicago/Turabian StyleChen, Yu, Xuyang Su, and Xuekai Wang. 2022. "Spatial Transformation Characteristics and Conflict Measurement of Production-Living-Ecology: Evidence from Urban Agglomeration of China" International Journal of Environmental Research and Public Health 19, no. 3: 1458. https://doi.org/10.3390/ijerph19031458
APA StyleChen, Y., Su, X., & Wang, X. (2022). Spatial Transformation Characteristics and Conflict Measurement of Production-Living-Ecology: Evidence from Urban Agglomeration of China. International Journal of Environmental Research and Public Health, 19(3), 1458. https://doi.org/10.3390/ijerph19031458

