Evolutionary Game Research on Green Construction Considering Consumers’ Preference under Government Supervision
Abstract
1. Introduction
2. Literature Review
2.1. Green Construction
2.2. Research on the Impact of Consumers’ Green Preference on the Implementation of the Green Supply Chain
2.3. The Application of Evolutionary Game Theory in Government Supervision
3. Model
3.1. Hypotheses and Descriptions
3.2. Construction of the Model
4. Evolutionary Game Model Analysis
4.1. Calculation of Stable Points
Stability Analysis of Developer
4.2. Evolutionary Equilibrium Stability Analysis
- (1)
- Stability analysis of A4 = (0, 0, 1)
- (2)
- Stability analysis of A5 = (1, 0, 1)
- (3)
- Stability analysis of A6 = (0, 1, 1)
5. Simulation Analysis and System Optimization
5.1. Stability Analysis of the Equilibrium Point
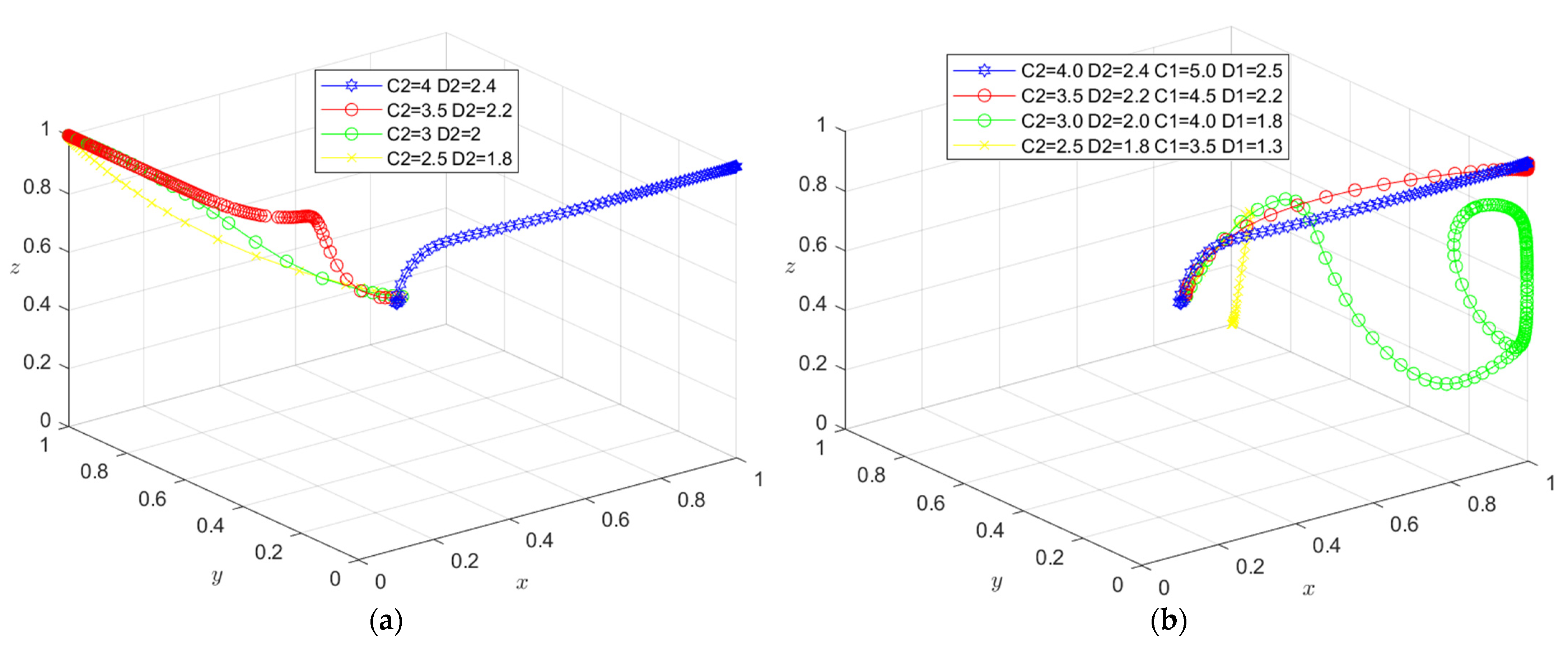
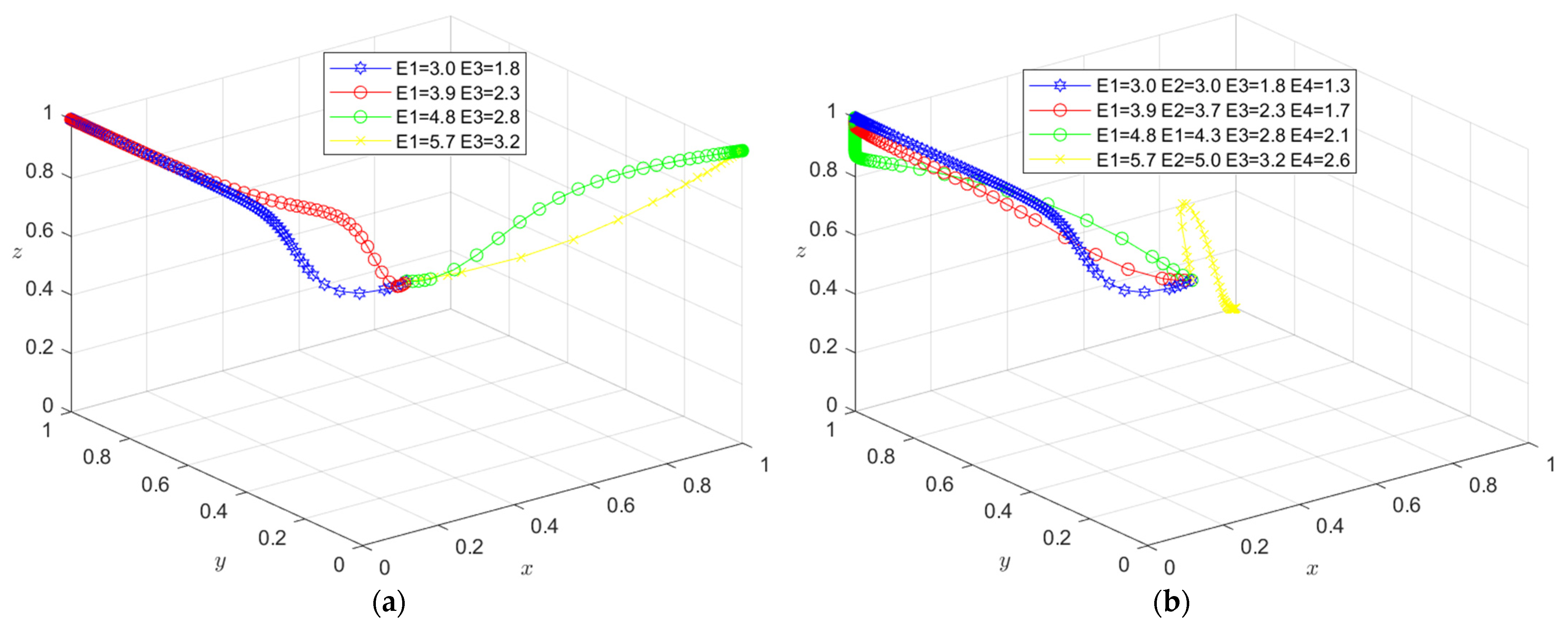
5.1.1. Numerical Simulation Analysis of A4 (0, 0, 1)
5.1.2. Numerical Simulation Analysis of A5 (1, 0, 1)
5.1.3. Numerical Simulation Analysis of A6 (0, 1, 1)
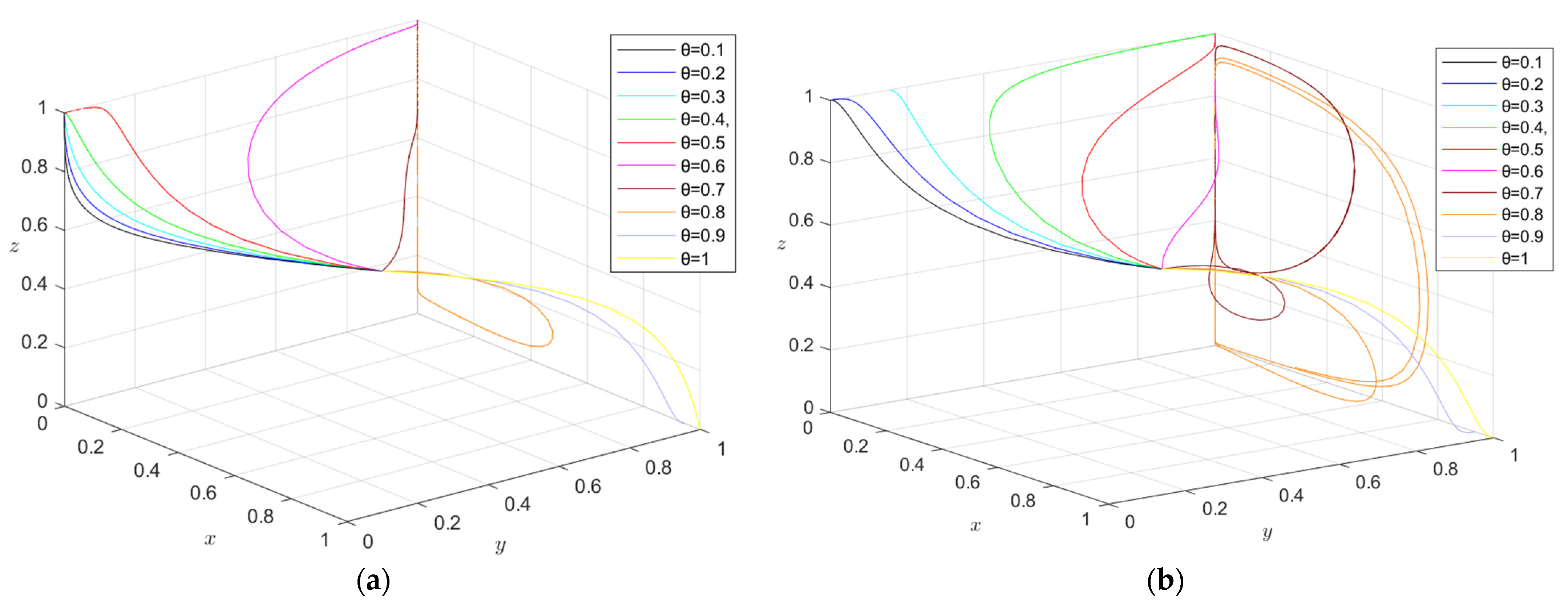
5.2. The Impact of Government Regulation on Equilibrium Point Considering Consumers’ Green Preference
6. Conclusions and Suggestions
Author Contributions
Funding
Institutional Review Board Statement
Informed Consent Statement
Data Availability Statement
Acknowledgments
Conflicts of Interest
References
- Su, P. Construction Status and Technology Application Based on Green and Low Carbon Concept. Value Eng. 2019, 38, 212–214. [Google Scholar]
- General Office of the Ministry of Housing and Urban-Rural Development. Green Construction Guidelines. [2021] No.9. Available online: https://www.mohurd.gov.cn/?medium=01 (accessed on 1 September 2022).
- The General Office of the State Council. Opinions on Promoting Sustainable and Healthy Development of Construction Industry. [2017] No.19. Available online: http://www.gov.cn/index.htm (accessed on 1 September 2022).
- Zhong, Y. Present situation and suggestions of green construction in architectural engineering. Sichuan Build. Mater. 2019, 45, 236–239. [Google Scholar]
- Huang, M.; Ma, H.; Yu, Q.; Wang, S. Construction of cooperative environment and system construction of green building supply chain. Constr. Technol. 2019, 48, 142–147. [Google Scholar]
- Cao, X.; Liu, R. Research on the operation mechanism of green building supply chain management system. Sci. Technol. Manag. Res. 2009, 29, 352–354. [Google Scholar]
- Zhang, Y.; Li, L.; Wang, C. Research on Multi-subject Relationship of Green Supply Chain in Construction Industry. Renew. Resour. Circ. Econ. 2020, 13, 9–13. [Google Scholar]
- Xu, F.; Ding, Y.; Zhang, Z. Evolutionary Game Study of Green Supply Chain Considering Consumers’ Green Preference under Government Regulation. Environ. Sci. Manag. 2021, 46, 5–10. [Google Scholar]
- Shao, B.; Hu, L. Game analysis of green supply chain participation behavior evolution-based on the perspective of system dynamics. Sci. Res. Manag. 2021, 42, 171–181. [Google Scholar]
- Qin, Z.; Wei, W.; Liu, Y. Evolutionary Game and Simulation Research of Green Construction Supervision. Eng. Res. Eng. Interdiscip. Vis. 2018, 10, 387–394. [Google Scholar] [CrossRef]
- Wang, B. Game Study on Key Subjects of Green Building Development under Government Subsidy. Tech. Econ. Manag. Res. 2018, 4, 17–21. [Google Scholar]
- Liang, X.; Fu, Y. Research on the supply-side evolution game of green buildings under the government’s dynamic reward and punishment mechanism. China Manag. Sci. 2021, 29, 184–194. [Google Scholar]
- Kim, W.T.; Choi, S.I.; Chang, C.K. Improvement Scheme on Green Construction Cost and Benefit through Analyzing Trends and Case Studies. J. Korean Soc. Water Wastewater 2013, 14, 44–54. [Google Scholar]
- Qiao, Q. Research on Cost Analysis and Optimization of Green Construction Process of Architectural Engineering. Master’s Thesis, Nanjing Forestry University, Nanjing, China, 2012. [Google Scholar]
- Xu, L.; Dong, L.; Yin, J. Research on countermeasures to speed up the implementation of green construction-based on the perspective of economic benefit analysis. Constr. Econ. 2016, 37, 106–109. [Google Scholar]
- Li, P. Research on Incremental Cost Calculation of Green Construction. Master’s Thesis, Tianjin University of Technology, Tianjin, China, 2016. [Google Scholar]
- Sang, P.; Liu, J.; Zhang, L.; Zheng, L.; Yao, H.; Wang, Y. Effects of Project Manager Competency on Green Construction Performance: The Chinese Context. Sustainability 2018, 10, 3406. [Google Scholar] [CrossRef]
- Wang, Y.; Chong, D.; Liu, X. Evaluating the Critical Barriers to Green Construction Technologies Adoption in China. Sustainability 2021, 13, 6510. [Google Scholar] [CrossRef]
- Jong, S.C.; Ong, D.E.L.; Oh, E. A novel Bayesian inference method for predicting optimum strength gain in sustainable geomaterials for greener construction. Constr. Build. Mater. 2022, 344, 128255. [Google Scholar] [CrossRef]
- Hwang, B.-G.; Ng, W.J. Project management knowledge and skills for green construction: Overcoming challenges. Int. J. Proj. Manag. 2013, 31, 272–284. [Google Scholar] [CrossRef]
- Wu, X.; Zhao, W.; Ma, T. Improving the Impact of Green Construction Management on the Quality of Highway Engineering Projects. Sustainability 2019, 11, 1895. [Google Scholar] [CrossRef]
- Pan, J. Research on Green Construction Management of Engineering Projects. Master’s Thesis, Chongqing University, Chongqing, China, 2014. [Google Scholar]
- Zhang, T. Innovative measures of green construction management in safe construction of construction projects-comment on “Safety Technology and Green Construction of Construction Projects”. China Grease 2022, 47, 154. [Google Scholar]
- Duk, K.Y.; Sung, C.H.; Ra, K.K.; Woo, S.D. Evaluation Method of Green Construction Technologies Using Integrated LCC and LCA Analysis. Korean J. Constr. Eng. Manag. 2011, 12, 91–100. [Google Scholar]
- Li, Y.; Gao, X.; Liu, X.; Zhang, R.; Wu, Y. Green Construction Evaluation System Based on BIM Distributed Cloud Service. IOP Conf. Ser. Earth Environ. Sci. 2021, 760, 012055. [Google Scholar] [CrossRef]
- Setiawan, H.; Ervianto, W.I.; Han, A.L. Green Construction Capability Model (GCCM) for Contracting Companies. IOP Conf. Ser. Earth Environ. Sci. 2019, 290, 012159. [Google Scholar] [CrossRef]
- Li, H.; Li, J.; Zhong, Q. Green Construction Evaluation Based on Grey Clustering Method. J. Eng. Manag. 2012, 26, 18–22. [Google Scholar]
- Xiahou, X.; Yuan, J.; Liu, Y.; Tang, Y.; Li, Q. Exploring the Driving Factors of Construction Industrialization Development in China. Int. J. Environ. Res. Public Health 2018, 15, 442. [Google Scholar] [CrossRef] [PubMed]
- Li, Y.; Liu, Z. Research on Limiting Factors of Green Construction Based on ISM-MICMAC. Proj. Manag. Technol. 2021, 19, 50–55. [Google Scholar]
- Wang, H. Research on the Driving Mechanism of Green Building Development in Xinjiang Based on SEM. Master’s Thesis, Xinjiang University, Urumqi, China, 2021. [Google Scholar]
- Kamranfar, S.; Azimi, Y.; Gheibi, M.; Fathollahi Fard Amir, M.; Hajiaghaei Keshteli, M. Analyzing Green Construction Development Barriers by a Hybrid Decision-Making Method Based on DEMATEL and the ANP. Buildings 2022, 12, 1641. [Google Scholar] [CrossRef]
- Asyikin Mahat, N.A.; Adnan, H.; Yusuwan Mysarah Maisham, N.M.; Adilah Ismail, N.A. The Influential Factors Effects Schedule and Cost Performance toward Productivity Attainment in Green Construction Projects. IOP Conf. Ser. Earth Environ. Sci. 2022, 1067, 012029. [Google Scholar] [CrossRef]
- Doonan, J.; Lanoie, P.; Laplante, B. Determinants of environmental performance in the Canadian pulp and paper industry: An assessment from inside the industry. Ecol. Econ. 2004, 55, 73–84. [Google Scholar] [CrossRef]
- Anton WR, Q.; Deltas, G.; Khanna, M. Incentives for environmental self—Regulation and implications for environmental performance. J. Environ. Econ. Manag. 2004, 48, 632–654. [Google Scholar] [CrossRef]
- He, B.; Liu, Q. Evolutionary Game of Vertical Cooperation in Supply Chain Based on Consumers’ Green Preference. Stat. Decis. 2018, 34, 39–43. [Google Scholar]
- Liu, M.; Liu, Y.; Fu, Q. Research on Green Supply Chain Decision under Tariff, Power Structure and Consumer Preference. China Manag. Sci. 2022, 30, 131–141. [Google Scholar] [CrossRef]
- Chen, K.; Kong, Y.; Lei, D. Pricing and green input decision of alternative product supply chain considering consumer preference and channel power. China Manag. Sci. 2022, 1–12. [Google Scholar] [CrossRef]
- Lin, L.Y.; He, J. Consumers’ Green Preference, Reference Price Effect and Green Innovation in Supply Chain. Ind. Eng. 2021, 24, 20–26. [Google Scholar]
- Ling, Y.; Xu, J.; Zhang, H. The vertically differentiated design and pricing strategy of green products based on heterogeneous consumer preferences. J. Ind. Eng. Eng. Manag. 2021, 35, 208–217. [Google Scholar]
- Wang, D.; Zheng, K. Multi-party behavior game and simulation of e-commerce product quality supervision-based on consumer feedback mechanism. Manag. Mod. 2022, 42, 140–147. [Google Scholar]
- Xu, A.; Hu, X.; Gao, S. Tripartite Game Analysis of Government, Enterprises and Consumers in Green Supply Chain of Home Appliances. Sci. Technol. Manag. Res. 2012, 32, 236–240. [Google Scholar]
- Xu, J.; Sun, Y. Research on the evolutionary game of cooperative innovation of new energy automobile industry under market mechanism and government supervision. Oper. Res. Manag. 2020, 29, 143–151. [Google Scholar]
- Tang, H. Research on government-enterprise game in green supply chain under the background of low-carbon economy-based on the goal of independent emission reduction of enterprises. Contemp. Econ. Sci. 2019, 41, 108–119. [Google Scholar]
- Rao, W.; Duan, Z.; Zhang, Z. Study on the Evolution Stability of Government Regulation and Enterprise Collaboration Distribution Strategy under Environmental Regulation. Comput. Integr. Manuf. Syst. 2022, 1–23. Available online: https://kns.cnki.net/kcms/detail/11.5946.tp.20220314.1310.032.html (accessed on 1 September 2022).
- Shi, T.; Xiao, H.; Han, F.; Chen, L.; Shi, J. A Regulatory Game Analysis of Smart Aging Platforms Considering Privacy Protection. Int. J. Environ. Res. Public Health 2022, 19, 5778. [Google Scholar] [CrossRef]
- Long, H.; Liu, H.; Li, X.; Chen, L. An Evolutionary Game Theory Study for Construction and Demolition Waste Recycling Considering Green Development Performance under the Chinese Government’s Reward–Penalty Mechanism. Int. J. Environ. Res. Public Health 2020, 17, 6303. [Google Scholar] [CrossRef]
- Wang, Y.; Feng, J.; Zhang, K. Evolutionary Game Study on Risk Transmission of Construction Quality Behavior under Government Supervision. Soft Sci. 2021, 35, 119–128. [Google Scholar]
- Lu, W.; Du, L.; Tam Vivian, W.Y.; Yang, Z.; Lin, C.; Peng, C. Evolutionary game strategy of stakeholders under the sustainable and innovative business model: A case study of green building. J. Clean. Prod. 2022, 333, 130136. [Google Scholar] [CrossRef]
- Shi, Q.; Wang, Z.; Li, B.; Hertogh, M.; Wang, S. Evolutionary Analysis of Prefabrication Implementation in Construction Projects under Low-Carbon Policies. Int. J. Environ. Res. Public Health 2022, 19, 12511. [Google Scholar] [CrossRef] [PubMed]
- Smith, J.M. Game Theory and the Evolution of Fighting. In On Evolution; Edinburgh University Press: Edinburgh, UK, 1972. [Google Scholar]
- Maynard-Smith, J.; Price, G.R. The logic of animal conflict. Nature 1973, 246, 15–18. [Google Scholar] [CrossRef]
- Friedman, D. Evolutionary game in economics. Econometrica 1991, 59, 637–666. [Google Scholar] [CrossRef]














| Main Body | Parameters | Explanatory Notes |
|---|---|---|
| Developer | I1 | Revenue from normal construction |
| C1 | Incremental cost of green construction | |
| E1 | Excess revenue from green construction by both parties | |
| E3 | Excess revenue from green construction only by oneself | |
| D1 | Spillover income | |
| S1 | government subsidy | |
| F1 | Government punishment | |
| x | Contribution to green construction | |
| General contractor | I2 | Revenue from normal construction |
| C2 | Incremental cost of green construction | |
| E2 | Excess revenue from green construction by both parties | |
| E4 | Excess revenue from green construction only by oneself | |
| D2 | Spillover income | |
| S2 | government subsidy | |
| F2 | Government punishment | |
| 1 − x | Contribution to green construction | |
| Government | C3 | Regulatory costs |
| C4 | Environmental treatment costs incurred by developers due to non-green construction | |
| C5 | Environmental governance costs incurred by general contractors for non-green construction | |
| Consumer | θ | Consumer preference for green building products |
| Green construction () | ||||
| 0 | ||||
| Non-green construction () | − | |||
| − | ||||
| (0, 0, 0) | |||
| (1, 0, 0) | |||
| (0, 1, 0) | |||
| (0, 0, 1) | |||
| (1, 0, 1) | |||
| (0, 1, 1) | |||
| (1, 1, 0) |
| Parametric Variation | SM Change | Evolutionary Direction |
|---|---|---|
| x ↓ | SM ↑ | (0, 1, 1) |
| I1 ↓ | SM ↑ | (0, 1, 1) |
| I2 ↑ | SM ↑ | (0, 1, 1) |
| C1 ↑ | SM ↑ | (0, 1, 1) |
| C2 ↓ | SM ↑ | (0, 1, 1) |
| E1 ↓ | SM ↑ | (0, 1, 1) |
| E2 ↑ | SM ↑ | (0, 1, 1) |
| E3 ↓ | SM ↑ | (0, 1, 1) |
| E4 ↑ | SM ↑ | (0, 1, 1) |
| D1 ↑ | SM ↑ | (0, 1, 1) |
| D2 ↓ | SM ↑ | (0, 1, 1) |
| S1 ↓ | SM ↑ | (0, 1, 1) |
| S2 ↑ | SM ↑ | (0, 1, 1) |
| F1 ↓ | SM ↑ | (0, 1, 1) |
| F2 ↑ | SM ↑ | (0, 1, 1) |
Publisher’s Note: MDPI stays neutral with regard to jurisdictional claims in published maps and institutional affiliations. |
© 2022 by the authors. Licensee MDPI, Basel, Switzerland. This article is an open access article distributed under the terms and conditions of the Creative Commons Attribution (CC BY) license (https://creativecommons.org/licenses/by/4.0/).
Share and Cite
Geng, X.; Lv, L.; Wang, Y.; Sun, R.; Wang, X. Evolutionary Game Research on Green Construction Considering Consumers’ Preference under Government Supervision. Int. J. Environ. Res. Public Health 2022, 19, 16743. https://doi.org/10.3390/ijerph192416743
Geng X, Lv L, Wang Y, Sun R, Wang X. Evolutionary Game Research on Green Construction Considering Consumers’ Preference under Government Supervision. International Journal of Environmental Research and Public Health. 2022; 19(24):16743. https://doi.org/10.3390/ijerph192416743
Chicago/Turabian StyleGeng, Xiaoxiao, Ling Lv, Yingchen Wang, Ran Sun, and Xiangmei Wang. 2022. "Evolutionary Game Research on Green Construction Considering Consumers’ Preference under Government Supervision" International Journal of Environmental Research and Public Health 19, no. 24: 16743. https://doi.org/10.3390/ijerph192416743
APA StyleGeng, X., Lv, L., Wang, Y., Sun, R., & Wang, X. (2022). Evolutionary Game Research on Green Construction Considering Consumers’ Preference under Government Supervision. International Journal of Environmental Research and Public Health, 19(24), 16743. https://doi.org/10.3390/ijerph192416743
