Correlation of Lower Limb Muscle Activity with Knee Joint Kinematics and Kinetics during Badminton Landing Tasks
Abstract
1. Introduction
2. Materials and Methods
2.1. Subjects
2.2. Prepare for Testing
2.3. Test Procedure
2.4. Data Processing and Analysis
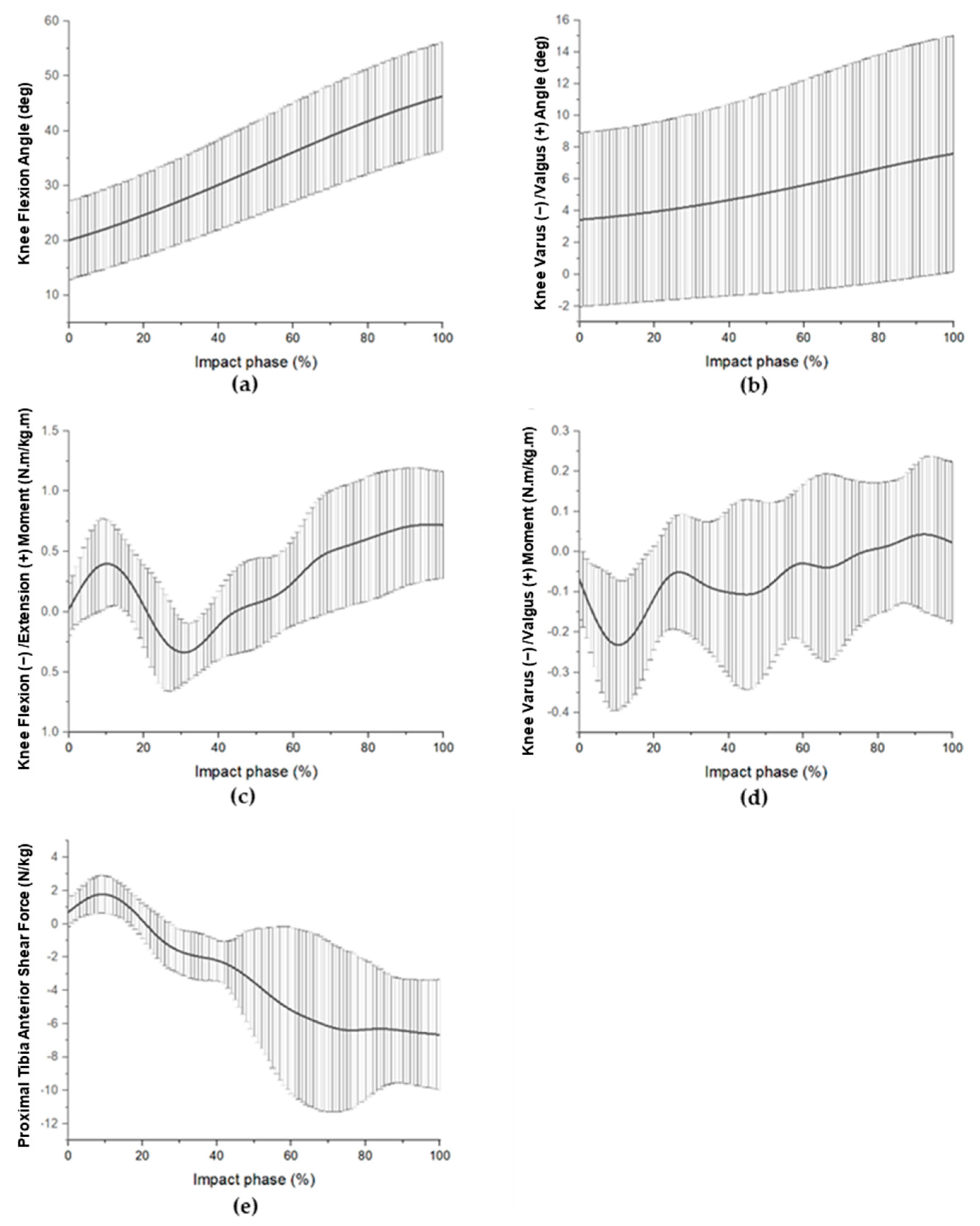
3. Results
4. Discussion
5. Conclusions
Author Contributions
Funding
Institutional Review Board Statement
Informed Consent Statement
Data Availability Statement
Conflicts of Interest
References
- Pardiwala, D.N.; Subbiah, K.; Rao, N.; Modi, R. Badminton Injuries in Elite Athletes: A Review of Epidemiology and Biomechanics. Indian J. Orthop. 2020, 54, 237–245. [Google Scholar] [CrossRef] [PubMed]
- Marchena-Rodriguez, A.; Gijon-Nogueron, G.; Cabello-Manrique, D.; Ortega-Avila, A.B. Incidence of injuries among amateur badminton players: A cross-sectional study. Medicine 2020, 99, e19785. [Google Scholar] [CrossRef]
- Grassi, A.; Pizza, N.; Al-Zu’Bi, B.B.H.; Fabbro, G.D.; Lucidi, G.A.; Zaffagnini, S. Clinical Outcomes and Osteoarthritis at Very Long-term Follow-up After ACL Reconstruction: A Systematic Review and Meta-analysis. Orthop. J. Sports Med. 2022, 10, 23259671211062238. [Google Scholar] [CrossRef]
- Kimura, Y.; Ishibashi, Y.; Tsuda, E.; Yamamoto, Y.; Tsukada, H.; Toh, S. Mechanisms for anterior cruciate ligament injuries in badminton. Br. J. Sports Med. 2010, 44, 1124–1127. [Google Scholar] [CrossRef] [PubMed]
- Kimura, Y.; Ishibashi, Y.; Tsuda, E.; Yamamoto, Y.; Hayashi, Y.; Sato, S. Increased knee valgus alignment and moment during single-leg landing after overhead stroke as a potential risk factor of anterior cruciate ligament injury in badminton. Br. J. Sports Med. 2012, 46, 207–213. [Google Scholar] [CrossRef] [PubMed]
- Tseng, H.-J.; Lo, H.-L.; Lin, Y.-C.; Liu, W.-C.; Lin, S.-Y.; Chou, P.-H.; Lu, C.-C. Analyze the Differential Rates of Anterior Cruciate Ligament Injuries between Men and Women by Biomechanical Study of Single-Leg Landing in Badminton. Indian J. Orthop. 2021, 55, 409–417. [Google Scholar] [CrossRef]
- Zhao, X.; Gu, Y. Single leg landing movement differences between male and female badminton players after overhead stroke in the backhand-side court. Hum. Mov. Sci. 2019, 66, 142–148. [Google Scholar] [CrossRef]
- Norcross, M.F.; Almog, R.; Huang, Y.-L.; Chang, E.; Hannigan, K.S.; Johnson, S.T. Greater explosive quadriceps strength is associated with greater knee flexion at initial contact during landing in females. Sports Biomech. 2021, 1–15. [Google Scholar] [CrossRef]
- Llurda-Almuzara, L.; Perez-Bellmunt, A.; Labata-Lezaun, N.; López-De-Celis, C.; Canet-Vintró, M.; Cadellans-Arroniz, A.; Moure-Romero, L.; Aiguadé-Aiguadé, R. Relationship between lower limb EMG activity and knee frontal plane projection angle during a single-legged drop jump. Phys. Ther. Sport 2021, 52, 13–20. [Google Scholar] [CrossRef]
- Brown, T.; McLean, S.; Palmieri-Smith, R. Associations between lower limb muscle activation strategies and resultant multi-planar knee kinetics during single leg landings. J. Sci. Med. Sport 2014, 17, 408–413. [Google Scholar] [CrossRef]
- Navacchia, A.; Ueno, R.; Ford, K.R.; DiCesare, C.A.; Myer, G.D.; Hewett, T.E. EMG-Informed Musculoskeletal Modeling to Estimate Realistic Knee Anterior Shear Force during Drop Vertical Jump in Female Athletes. Ann. Biomed. Eng. 2019, 47, 2416–2430. [Google Scholar] [CrossRef]
- Nasseri, A.; Lloyd, D.G.; Bryant, A.L.; Headrick, J.; Sayer, T.A.; Saxby, D.J. Mechanism of Anterior Cruciate Ligament Loading during Dynamic Motor Tasks. Med. Sci. Sports Exerc. 2021, 53, 1235–1244. [Google Scholar] [CrossRef] [PubMed]
- Nordin, A.D.; Dufek, J. Neuromechanical synergies in single-leg landing reveal changes in movement control. Hum. Mov. Sci. 2016, 49, 66–78. [Google Scholar] [CrossRef]
- Arampatzis, A.; Karamanidis, K.; Stafylidis, S.; Morey-Klapsing, G.; DeMonte, G.; Brüggemann, G.-P. Effect of different ankle- and knee-joint positions on gastrocnemius medialis fascicle length and EMG activity during isometric plantar flexion. J. Biomech. 2006, 39, 1891–1902. [Google Scholar] [CrossRef] [PubMed]
- Latash, M.L. Muscle coactivation: Definitions, mechanisms, and functions. J. Neurophysiol. 2018, 120, 88–104. [Google Scholar] [CrossRef]
- Nagano, Y.; Ida, H.; Akai, M.; Fukubayashi, T. Gender differences in knee kinematics and muscle activity during single limb drop landing. Knee 2007, 14, 218–223. [Google Scholar] [CrossRef] [PubMed]
- Shalhoub, S.; Fitzwater, F.G.; Cyr, A.J.; Maletsky, L.P. Variations in medial-lateral hamstring force and force ratio influence tibiofemoral kinematics. J. Orthop. Res. 2016, 34, 1707–1715. [Google Scholar] [CrossRef]
- Serpell, B.G.; Scarvell, J.M.; Pickering, M.R.; Ball, N.B.; Newman, P.; Perriman, D.; Warmenhoven, J.; Smith, P.N. Medial and lateral hamstrings and quadriceps co-activation affects knee joint kinematics and ACL elongation: A pilot study. BMC Musculoskelet. Disord. 2015, 16, 348. [Google Scholar] [CrossRef] [PubMed]
- Palmieri-Smith, R.M.; McLean, S.G.; Ashton-Miller, J.A.; Wojtys, E.M. Association of Quadriceps and Hamstrings Cocontraction Patterns With Knee Joint Loading. J. Athl. Train. 2009, 44, 256–263. [Google Scholar] [CrossRef] [PubMed]
- Hung, M.-H.; Chang, C.-Y.; Lin, K.-C.; Hung, C.-L.; Ho, C.-S. The Applications of Landing Strategies in Badminton Footwork Training on a Backhand Side Lateral Jump Smash. J. Hum. Kinet. 2020, 73, 19–31. [Google Scholar] [CrossRef]
- Leardini, A.; Sawacha, Z.; Paolini, G.; Ingrosso, S.; Nativo, R.; Benedetti, M.G. A new anatomically based protocol for gait analysis in children. Gait Posture 2007, 26, 560–571. [Google Scholar] [CrossRef] [PubMed]
- Portinaro, N.; Leardini, A.; Panou, A.; Monzani, V.; Caravaggi, P. Modifying the Rizzoli foot model to improve the diagnosis of pes-planus: Application to kinematics of feet in teenagers. J. Foot Ankle Res. 2014, 7, 57. [Google Scholar] [CrossRef] [PubMed]
- Barbero, M.; Merletti, R.; Rainoldi, A. Atlas of Muscle Innervation Zones: Understanding Surface Electromyography and Its Applications; Springer: Milan, Italy; New York, NY, USA, 2012; 142p. [Google Scholar]
- De Britto, M.A.; Carpes, F.P.; Koutras, G.; Pappas, E. Quadriceps and hamstrings prelanding myoelectric activity during landing from different heights among male and female athletes. J. Electromyogr. Kinesiol. 2014, 24, 508–512. [Google Scholar] [CrossRef]
- Beierle, R.; Burton, P.; Smith, H.; Smith, M.; Ives, S.J. The Effect of Barefoot Running on EMG Activity in the Gastrocnemius and Tibialis Anterior in Active College-Aged Females. Int. J. Exerc. Sci. 2019, 12, 1110–1120. [Google Scholar] [PubMed]
- Larwa, J.; Stoy, C.; Chafetz, R.; Boniello, M.; Franklin, C. Stiff Landings, Core Stability, and Dynamic Knee Valgus: A Systematic Review on Documented Anterior Cruciate Ligament Ruptures in Male and Female Athletes. Int. J. Environ. Res. Public Health 2021, 18, 3826. [Google Scholar] [CrossRef] [PubMed]
- Yu, B.; Garrett, W.E. Hamstring co-contraction does not necessarily reduce ACL loading. In Proceedings of the XXth Congress of the International Society of Biomechanics and 29th Annual Meeting of the American Society of Biomechanics, Cleveland, OH, USA, 31 July–5 August 2005. [Google Scholar]
- Podraza, J.T.; White, S.C. Effect of knee flexion angle on ground reaction forces, knee moments and muscle co-contraction during an impact-like deceleration landing: Implications for the non-contact mechanism of ACL injury. Knee 2010, 17, 291–295. [Google Scholar] [CrossRef]
- Englander, Z.A.; Lau, B.C.; Wittstein, J.R.; Goode, A.P.; DeFrate, L.E. Patellar Tendon Orientation and Strain Are Predictors of ACL Strain In Vivo during a Single-Leg Jump. Orthop. J. Sports Med. 2021, 9, 2325967121991054. [Google Scholar] [CrossRef]
- Mengarelli, A.; Gentili, A.; Strazza, A.; Burattini, L.; Fioretti, S.; Di Nardo, F. Co-activation patterns of gastrocnemius and quadriceps femoris in controlling the knee joint during walking. J. Electromyogr. Kinesiol. 2018, 42, 117–122. [Google Scholar] [CrossRef]
- Sharifi, M.; Shirazi-Adl, A. Changes in gastrocnemii activation at mid-to-late stance markedly affects the intact and anterior cruciate ligament deficient knee biomechanics and stability in gait. Knee 2021, 29, 530–540. [Google Scholar] [CrossRef]
- Adouni, M.; Shirazi-Adl, A.; Marouane, H. Role of gastrocnemius activation in knee joint biomechanics: Gastrocnemius acts as an ACL antagonist. Comput. Methods Biomech. Biomed. Eng. 2016, 19, 376–385. [Google Scholar] [CrossRef]
- Maniar, N.; Schache, A.G.; Pizzolato, C.; Opar, D.A. Muscle contributions to tibiofemoral shear forces and valgus and rotational joint moments during single leg drop landing. Scand. J. Med. Sci. Sports 2020, 30, 1664–1674. [Google Scholar] [CrossRef] [PubMed]
- Duthon, V.L.A.; Barea, C.; Abrassart, S.; Fasel, J.H.; Fritschy, D.; Menetrey, J. Anatomy of the anterior cruciate ligament. Knee Surg. Sports Traumatol. Arthrosc. 2006, 14, 204–213. [Google Scholar] [CrossRef] [PubMed]
- Withrow, T.J.; Huston, L.; Wojtys, E.M.; Ashton-Miller, J.A. The Relationship between Quadriceps Muscle Force, Knee Flexion, and Anterior Cruciate Ligament Strain in an In Vitro Simulated Jump Landing. Am. J. Sports Med. 2006, 34, 269–274. [Google Scholar] [CrossRef] [PubMed]
- Maniar, N.; Cole, M.H.; Bryant, A.L.; Opar, D.A. Muscle Force Contributions to Anterior Cruciate Ligament Loading. Sports Med. 2022, 52, 1737–1750. [Google Scholar] [CrossRef]
- Nunley, R.M.; Wright, D.; Renner, J.B.; Yu, B.; Garrett, W.E. Gender Comparison of Patellar Tendon Tibial Shaft Angle with Weight Bearing. Res. Sports Med. 2006, 11, 173–185. [Google Scholar] [CrossRef]
- Li, G.; DeFrate, L.E.; Rubash, H.E.; Gill, T.J. In vivo kinematics of the ACL during weight-bearing knee flexion. J. Orthop. Res. 2005, 23, 340–344. [Google Scholar] [CrossRef] [PubMed]
- Morgan, K.D.; Donnelly, C.J.; Reinbolt, J.A. Elevated gastrocnemius forces compensate for decreased hamstrings forces during the weight-acceptance phase of single-leg jump landing: Implications for anterior cruciate ligament injury risk. J. Biomech. 2014, 47, 3295–3302. [Google Scholar] [CrossRef]
- Chappell, J.D.; Creighton, R.A.; Giuliani, C.; Yu, B.; Garrett, W.E. Kinematics and electromyography of landing preparation in vertical stop-jump: Risks for noncontact anterior cruciate ligament injury. Am. J. Sports Med. 2007, 35, 235–341. [Google Scholar] [CrossRef]
- Heinert, B.L.; Collins, T.; Tehan, C.; Ragan, R.; Kernozek, T.W. Effect of Hamstring-to-quadriceps Ratio on Knee Forces in Females during Landing. Int. J. Sports Med. 2021, 42, 264–269. [Google Scholar] [CrossRef]
- Dedinsky, R.; Baker, L.; Imbus, S.; Bowman, M.; Murray, L. Exercises that facilitate optimal hamstring and quadriceps co-activation to help decrease acl injury risk in healthy females: A systematic review of the literature. Int. J. Sports Phys. Ther. 2017, 12, 3–15. [Google Scholar]
- Toor, A.S.; Limpisvasti, O.; Ihn, H.E.; McGarry, M.H.; Banffy, M.; Lee, T.Q. The significant effect of the medial hamstrings on dynamic knee stability. Knee Surg. Sports Traumatol. Arthrosc. 2019, 27, 2608–2616. [Google Scholar] [CrossRef] [PubMed]
- Lopes, T.J.A.; Simic, M.; Myer, G.D.; Ford, K.; Hewett, T.E.; Pappas, E. The Effects of Injury Prevention Programs on the Biomechanics of Landing Tasks: A Systematic Review With Meta-analysis. Am. J. Sports Med. 2018, 46, 1492–1499. [Google Scholar] [CrossRef] [PubMed]
- Smeets, A.; Malfait, B.; Dingenen, B.; Robinson, M.A.; Vanrenterghem, J.; Peers, K.; Nijs, S.; Vereecken, S.; Staes, F.; Verschueren, S. Is knee neuromuscular activity related to anterior cruciate ligament injury risk? A pilot study. Knee 2019, 26, 40–51. [Google Scholar] [CrossRef]
- Fonseca, M.; Gasparutto, X.; Leboeuf, F.; Dumas, R.; Armand, S. Impact of knee marker misplacement on gait kinematics of children with cerebral palsy using the Conventional Gait Model—A sensitivity study. PLoS ONE 2020, 15, e0232064. [Google Scholar] [CrossRef]
- Rota, S.; Rogowski, I.; Champely, S.; Hautier, C. Reliability of EMG normalisation methods for upper-limb muscles. J. Sports Sci. 2013, 31, 1696–1704. [Google Scholar] [CrossRef] [PubMed]
- Kollmitzer, J.; Ebenbichler, G.R.; Kopf, A. Reliability of surface electromyographic measurements. Clin. Neurophysiol. 1999, 110, 725–734. [Google Scholar] [CrossRef] [PubMed]
- Sahabuddin, F.N.A.; Jamaludin, N.I.; Amir, N.H.; Shaharudin, S. The effects of hip- and ankle-focused exercise intervention on dynamic knee valgus: A systematic review. PeerJ 2021, 9, e11731. [Google Scholar] [CrossRef] [PubMed]
- Boden, B.P.; Sheehan, F.T. Mechanism of non-contact ACL injury. J. Orthop. Res. 2022, 40, 531–540. [Google Scholar] [CrossRef]
- Xu, D.; Lu, J.; Baker, J.S.; Fekete, G.; Gu, Y. Temporal kinematic and kinetics differences throughout different landing ways following volleyball spike shots. Proc. Inst. Mech. Eng. Part P J. Sports Eng. Technol. 2021, 236, 200–208. [Google Scholar] [CrossRef]
- Alcantarilla-Pedrosa, M.; Álvarez-Santana, D.; Hernández-Sánchez, S.; Yañez-Álvarez, A.; Albornoz-Cabello, M. Assessment of External Load during Matches in Two Consecutive Seasons Using the Mediacoach((R)) Video Analysis System in a Spanish Professional Soccer Team: Implications for Injury Prevention. Int. J. Env. Res. Public Health 2021, 18, 1128. [Google Scholar] [CrossRef]
- Demeco, A.; de Sire, A.; Marotta, N.; Spanò, R.; Lippi, L.; Palumbo, A.; Iona, T.; Gramigna, V.; Palermi, S.; Leigheb, M.; et al. Match Analysis, Physical Training, Risk of Injury and Rehabilitation in Padel: Overview of the Literature. Int. J. Environ. Res. Public Health 2022, 19, 4153. [Google Scholar] [CrossRef] [PubMed]




| Variable | Activity (% of MVIC or Ratio) |
|---|---|
| Medial hamstrings (MHAM) | 40.18 ± 17.66 |
| Lateral hamstrings (LHAM) | 17.89 ± 9.38 |
| Medial gastrocnemius (MGAS) | 86.65 ± 41.10 |
| Lateral gastrocnemius (LGAS) | 81.52 ± 36.54 |
| Rectus Femoris (RF) | 40.95 ± 25.80 |
| MH/Q | 1.70 ± 0.80 |
| LH/Q | 1.62 ± 0.78 |
Publisher’s Note: MDPI stays neutral with regard to jurisdictional claims in published maps and institutional affiliations. |
© 2022 by the authors. Licensee MDPI, Basel, Switzerland. This article is an open access article distributed under the terms and conditions of the Creative Commons Attribution (CC BY) license (https://creativecommons.org/licenses/by/4.0/).
Share and Cite
Hu, Z.; Kim, Y.; Zhang, Y.; Zhang, Y.; Li, J.; Tang, X.; Sohn, J.; Kim, S. Correlation of Lower Limb Muscle Activity with Knee Joint Kinematics and Kinetics during Badminton Landing Tasks. Int. J. Environ. Res. Public Health 2022, 19, 16587. https://doi.org/10.3390/ijerph192416587
Hu Z, Kim Y, Zhang Y, Zhang Y, Li J, Tang X, Sohn J, Kim S. Correlation of Lower Limb Muscle Activity with Knee Joint Kinematics and Kinetics during Badminton Landing Tasks. International Journal of Environmental Research and Public Health. 2022; 19(24):16587. https://doi.org/10.3390/ijerph192416587
Chicago/Turabian StyleHu, Zhe, Youngsuk Kim, Yanan Zhang, Yuxi Zhang, Jiaying Li, Xuan Tang, Jeehoon Sohn, and Sukwon Kim. 2022. "Correlation of Lower Limb Muscle Activity with Knee Joint Kinematics and Kinetics during Badminton Landing Tasks" International Journal of Environmental Research and Public Health 19, no. 24: 16587. https://doi.org/10.3390/ijerph192416587
APA StyleHu, Z., Kim, Y., Zhang, Y., Zhang, Y., Li, J., Tang, X., Sohn, J., & Kim, S. (2022). Correlation of Lower Limb Muscle Activity with Knee Joint Kinematics and Kinetics during Badminton Landing Tasks. International Journal of Environmental Research and Public Health, 19(24), 16587. https://doi.org/10.3390/ijerph192416587

