Dietary Intakes of Elite Male Professional Rugby Union Players in Catered and Non-Catered Environments
Abstract
1. Introduction
2. Materials and Methods
2.1. Study Design
2.2. Participants
2.3. Anthropometrics and Body Composition
2.4. Training and Game Load
2.5. Dietary Intake Assessment and Analysis
2.6. Statistical Analyses
3. Results
3.1. Demographics
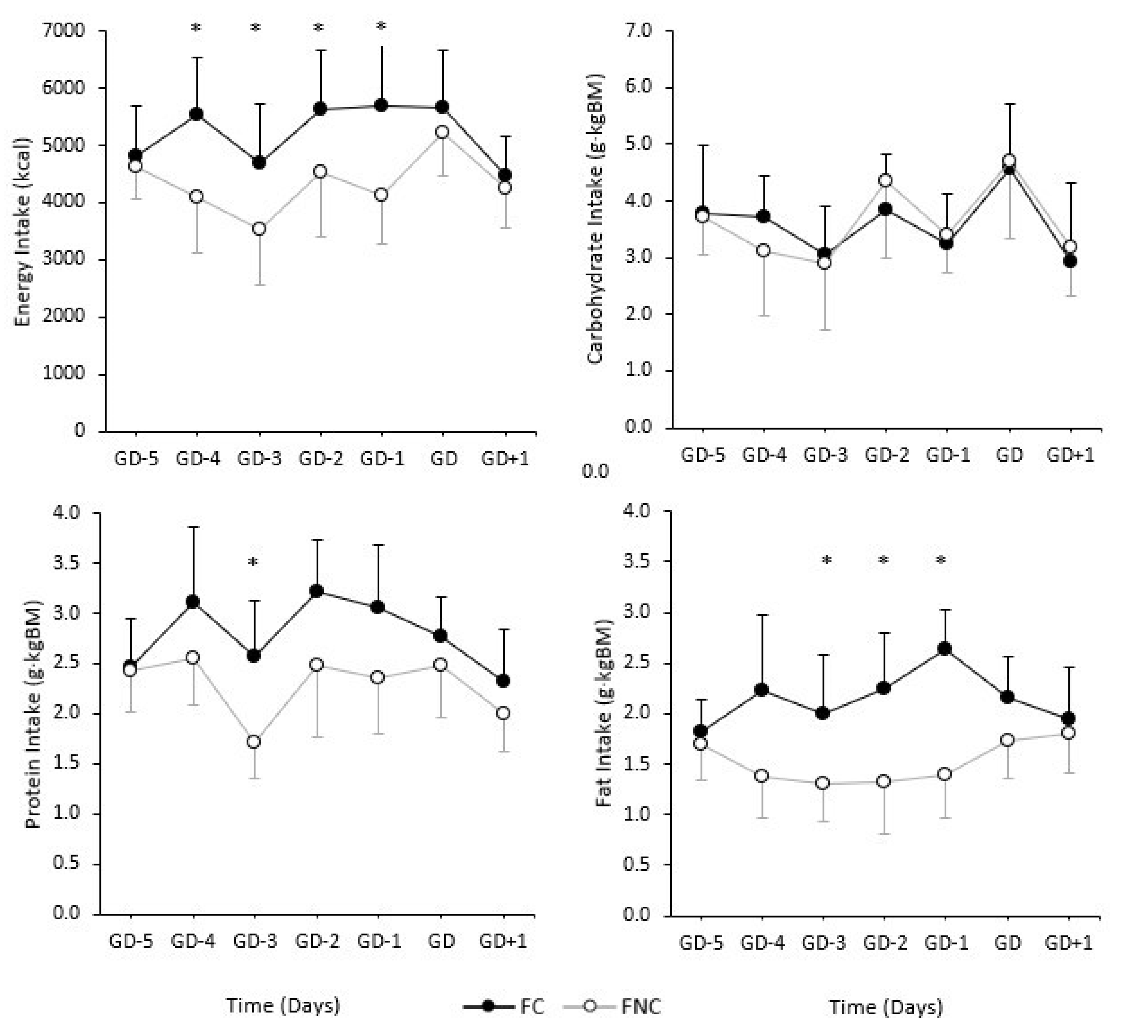
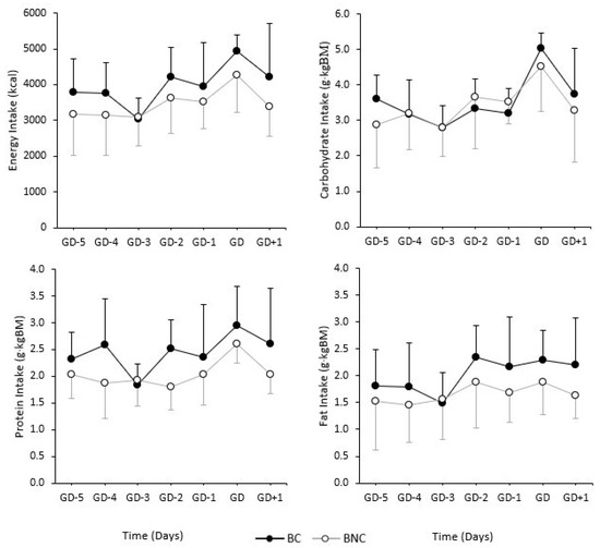
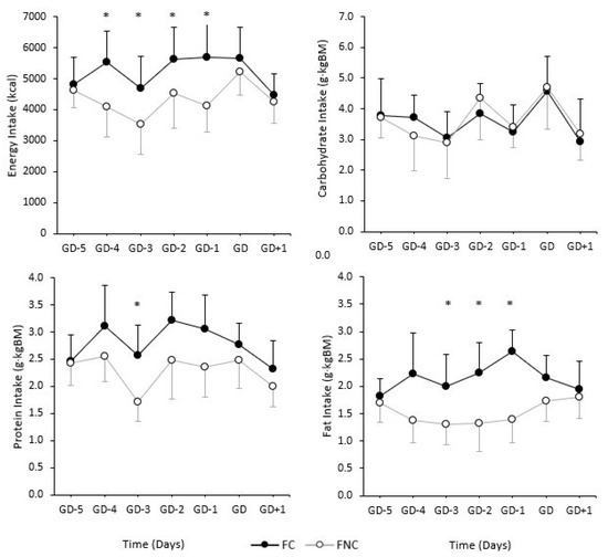
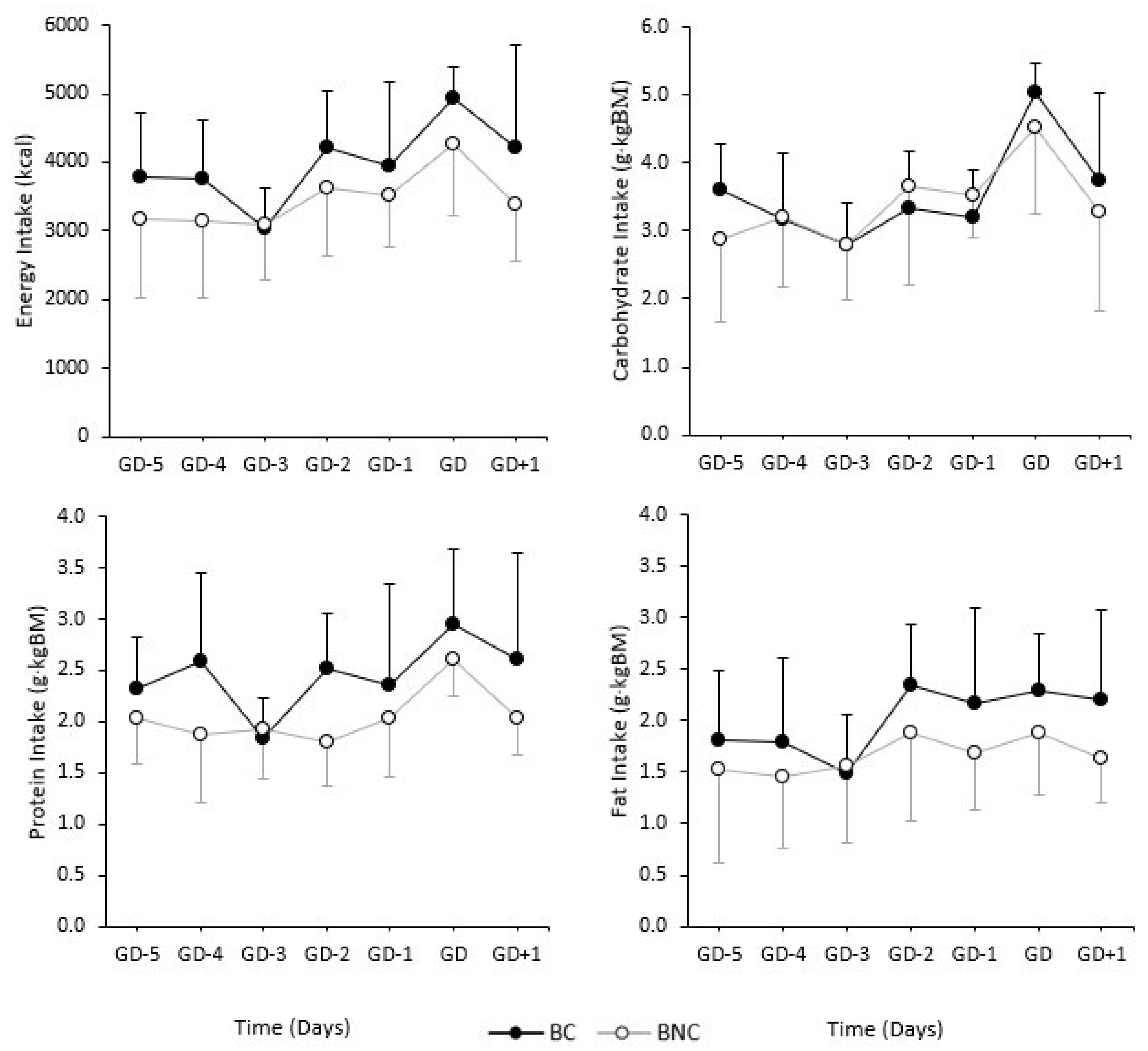
3.2. Seven-Day Dietary Intakes
3.3. Daily Absolute Energy and Relative Macornutrient Intakes
4. Discussion
5. Conclusions
Author Contributions
Funding
Institutional Review Board Statement
Informed Consent Statement
Data Availability Statement
Acknowledgments
Conflicts of Interest
References
- Posthumus, L.; Fairbairn, K.; Darry, K.; Driller, M.; Winwood, P.; Gill, N. Competition Nutrition Practices of Elite Male Professional Rugby Union Players. Int. J. Environ. Res. Public Health 2021, 18, 5398. [Google Scholar] [CrossRef]
- Black, K.E.; Black, A.D.; Baker, D.F. Macronutrient Intakes of Male Rugby Union Players: A Review. Int. J. Sport Nutr. Exerc. Metab. 2018, 28, 664–673. [Google Scholar] [CrossRef]
- Paul, L.; Naughton, M.; Jones, B.; Davidow, D.; Patel, A.; Lambert, M.; Hendricks, S. Quantifying Collision Frequency and Intensity in Rugby Union and Rugby Sevens: A Systematic Review. Sports Med. Open 2022, 8, 12. [Google Scholar] [CrossRef]
- Naughton, M.; Miller, J.; Slater, G.J. Impact-Induced Muscle Damage and Contact Sports: Etiology, Effects on Neuromuscular Function and Recovery, and the Modulating Effects of Adaptation and Recovery Strategies. Int. J. Sports Physiol. Perform. 2018, 13, 962–969. [Google Scholar] [CrossRef] [PubMed]
- Naughton, M.; Miller, J.; Slater, G.J. Impact-Induced Muscle Damage: Performance implications in response to a novel collision simulator and associated timeline of recovery. J. Sports Sci. Med. 2018, 17, 417. [Google Scholar] [PubMed]
- Bradley, W.J.; Cavanagh, B.; Douglas, W.; Donovan, T.F.; Twist, C.; Morton, J.P.; Close, G.L. Energy intake and expenditure assessed ‘in-season’ in an elite european rugby union squad. Eur. J. Sport Sci. 2015, 15, 469–479. [Google Scholar] [CrossRef]
- Smith, D.R.; King, R.; Duckworth, L.; Sutton, L.; Preston, T.; O’Hara, J.; Jones, B. Energy expenditure of rugby players during a 14-day in-season period, measured using doubly labelled water. Eur. J. Appl. Physiol. 2018, 118, 647–656. [Google Scholar] [CrossRef] [PubMed]
- Morehen, J.C.; Bradley, W.J.; Clarke, J.; Twist, C.; Hambly, C.; Speakman, J.R.; Morton, J.P.; Close, G.L. The assessment of total energy expenditure during a 14-day in-season period of professional rugby league players using the doubly labelled water method. Int. J. Sport Nutr. Exerc. Metab. 2016, 26, 464–472. [Google Scholar] [CrossRef] [PubMed]
- Hudson, J.F.; Cole, M.; Morton, J.P.; Stewart, C.E.; Close, G.L. Daily Changes of Resting Metabolic Rate in Elite Rugby Union Players. Med. Sci. Sports Exerc. 2020, 52, 637–644. [Google Scholar] [CrossRef]
- Hudson, J.F.; Phelan, M.M.; Owens, D.J.; Morton, J.P.; Close, G.L.; Stewart, C.E. “Fuel for the Damage Induced”: Untargeted Metabolomics in Elite Rugby Union Match Play. Metabolites 2021, 11, 544. [Google Scholar] [CrossRef]
- Costello, N.; Deighton, K.; Preston, T.; Matu, J.; Rowe, J.; Sawczuk, T.; Halkier, M.; Read, D.B.; Weaving, D.; Jones, B. Collision activity during training increases total energy expenditure measured via doubly labelled water. Eur. J. Appl. Physiol. 2018, 118, 1169–1177. [Google Scholar] [CrossRef]
- Costello, N.; Deighton, K.; Dalton-Barron, N.; Whitehead, S.; McLaren, S.; Jones, B. Three-day changes in resting metabolism after a professional young rugby league match. Sport Perform. Sci. Rep. 2019. Available online: https://sportperfsci.com/three-day-changes-in-resting-metabolism-after-a-professional-young-rugby-league-match (accessed on 27 September 2022).
- Bradley, W.J.; Cavanagh, B.P.; Douglas, W.; Donovan, T.F.; Morton, J.P.; Close, G.L. Quantification of training load, energy intake, and physiological adaptations during a rugby preseason: A case study from an elite European rugby union squad. J. Strength Cond. Res. 2015, 29, 534–544. [Google Scholar] [CrossRef]
- Black, K.E.; Hindle, C.; McLay-Cooke, R.; Brown, R.C.; Gibson, C.; Baker, D.F.; Smith, B. Dietary Intakes Differ by Body Composition Goals: An Observational Study of Professional Rugby Union Players in New Zealand. Am. J. Men’s Health 2019, 13, 1557988319891350. [Google Scholar] [CrossRef] [PubMed]
- Jenner, S.L.; Buckley, G.L.; Belski, R.; Devlin, B.L.; Forsyth, A.K. Dietary intakes of professional and semi-professional team sport athletes do not meet sport nutrition recommendations—A systematic literature review. Nutrients 2019, 11, 1160. [Google Scholar] [CrossRef] [PubMed]
- Kerksick, C.M.; Wilborn, C.D.; Roberts, M.D.; Smith-Ryan, A.; Kleiner, S.M.; Jäger, R.; Collins, R.; Cooke, M.; Davis, J.N.; Galvan, E. ISSN exercise & sports nutrition review update: Research & recommendations. J. Int. Soc. Sports Nutr. 2018, 15, 38. [Google Scholar] [PubMed]
- Heaton, L.E.; Davis, J.K.; Rawson, E.S.; Nuccio, R.P.; Witard, O.C.; Stein, K.W.; Baar, K.; Carter, J.M.; Baker, L.B. Selected in-season nutritional strategies to enhance recovery for team sport athletes: A practical overview. Sports Med. 2017, 47, 2201–2218. [Google Scholar] [CrossRef]
- Lo, M.; Aughey, R.J.; Stewart, A.M.; Gill, N.; McDonald, B. The road goes ever on and on-a socio-physiological analysis of travel-related issues in Super Rugby. J. Sports Sci. 2021, 39, 289–295. [Google Scholar] [CrossRef]
- Halson, S.L.; Burke, L.M.; Pearce, J. Nutrition for travel: From jet lag to catering. Int. J. Sport Nutr. Exerc. Metab. 2019, 29, 228–235. [Google Scholar] [CrossRef]
- Heaney, S.; O’Connor, H.; Naughton, G.; Gifford, J. Towards an understanding of the barriers to good nutrition for elite athletes. Int. J. Sports Sci. Coach. 2008, 3, 391–401. [Google Scholar] [CrossRef]
- Birkenhead, K.L.; Slater, G. A review of factors influencing athletes’ food choices. Sports Med. 2015, 45, 1511–1522. [Google Scholar] [CrossRef] [PubMed]
- Kongsbak, I.; Skov, L.R.; Nielsen, B.K.; Ahlmann, F.K.; Schaldemose, H.; Atkinson, L.; Wichmann, M.; Pérez-Cueto, F.J. Increasing fruit and vegetable intake among male university students in an ad libitum buffet setting: A choice architectural nudge intervention. Food Qual. Prefer. 2016, 49, 183–188. [Google Scholar] [CrossRef]
- Friis, R.; Skov, L.R.; Olsen, A.; Appleton, K.M.; Saulais, L.; Dinnella, C.; Hartwell, H.; Depezay, L.; Monteleone, E.; Giboreau, A. Comparison of three nudge interventions (priming, default option, and perceived variety) to promote vegetable consumption in a self-service buffet setting. PLoS ONE 2017, 12, e0176028. [Google Scholar] [CrossRef] [PubMed]
- Posthumus, L.; Macgregor, C.; Winwood, P.; Darry, K.; Driller, M.; Gill, N. Physical and Fitness Characteristics of Elite Professional Rugby Union Players. Sports 2020, 8, 85. [Google Scholar] [CrossRef]
- Busbridge, A.R.; Hamlin, M.J.; Jowsey, J.A.; Vanner, M.H.; Olsen, P.D. Running Demands of Provincial Women’s Rugby Union Matches in New Zealand. J. Strength Cond. Res. 2020, 36, 1059–1063. [Google Scholar] [CrossRef] [PubMed]
- Costello, N.; Deighton, K.; Dyson, J.; Mckenna, J.; Jones, B. Snap-N-Send: A valid and reliable method for assessing the energy intake of elite adolescent athletes. Eur. J. Sport Sci. 2017, 17, 1044–1055. [Google Scholar] [CrossRef]
- Costello, N.; McKenna, J.; Deighton, K.; Jones, B. Commentary: Snap-N-send: A valid and reliable method for assessing the energy intake of elite adolescent athletes. Front. Nutr. 2017, 4, 47. [Google Scholar] [CrossRef]
- Cohen, J. Statistical Power Analysis for the Behavioural Sciences, 2nd ed.; Lawrence Earlbaum Associates: Hillside, NJ, USA, 1988. [Google Scholar]
- Impey, S.G.; Hearris, M.A.; Hammond, K.M.; Bartlett, J.D.; Louis, J.; Close, G.L.; Morton, J.P. Fuel for the work required: A theoretical framework for carbohydrate periodization and the glycogen threshold hypothesis. Sports Med. 2018, 48, 1031–1048. [Google Scholar] [CrossRef]
- Routledge, H.E.; Graham, S.; Di Michele, R.; Burgess, D.; Erskine, R.M.; Close, G.L.; Morton, J.P. Training Load and Carbohydrate Periodization Practices of Elite Male Australian Football Players: Evidence of Fueling for the Work Required. Int. J. Sport Nutr. Exerc. Metab. 2020, 30, 280–286. [Google Scholar] [CrossRef]
- Jenner, S.L.; Trakman, G.; Coutts, A.; Kempton, T.; Ryan, S.; Forsyth, A.; Belski, R. Dietary intake of professional Australian football athletes surrounding body composition assessment. J. Int. Soc. Sports Nutr. 2018, 15, 43. [Google Scholar] [CrossRef]
- McCrink, C.M.; McSorley, E.M.; Grant, K.; McNeilly, A.M.; Magee, P.J. An investigation of dietary intake, nutrition knowledge and hydration status of Gaelic Football players. Eur. J. Nutr. 2021, 60, 1465–1473. [Google Scholar] [CrossRef]
- Reynolds, A.; Mann, J.; Cummings, J.; Winter, N.; Mete, E.; Te Morenga, L. Carbohydrate quality and human health: A series of systematic reviews and meta-analyses. Lancet 2019, 393, 434–445. [Google Scholar] [CrossRef] [PubMed]
- Roberts, C.; Gill, N.; Darry, K.; Posthumus, L.; Sims, S. Daily protein distribution patterns in professional and semi-professional male Rugby Union players. J. Sport Exerc. Sci. 2022, 6, 31–41. [Google Scholar]
- Stokes, T.; Hector, A.J.; Morton, R.W.; McGlory, C.; Phillips, S.M. Recent perspectives regarding the role of dietary protein for the promotion of muscle hypertrophy with resistance exercise training. Nutrients 2018, 10, 180. [Google Scholar] [CrossRef] [PubMed]
- Costello, N.; Deighton, K.; Preston, T.; Matu, J.; Rowe, J.; Jones, B. Are professional young rugby league players eating enough? Energy intake, expenditure and balance during a pre-season. Eur. J. Sport Sci. 2019, 19, 123–132. [Google Scholar] [CrossRef] [PubMed]
- Koehler, K.; Hoerner, N.R.; Gibbs, J.C.; Zinner, C.; Braun, H.; De Souza, M.J.; Schaenzer, W. Low energy availability in exercising men is associated with reduced leptin and insulin but not with changes in other metabolic hormones. J. Sports Sci. 2016, 34, 1921–1929. [Google Scholar] [CrossRef] [PubMed]
- Wasserfurth, P.; Palmowski, J.; Hahn, A.; Krüger, K. Reasons for and consequences of low energy availability in female and male athletes: Social environment, adaptations, and prevention. Sports Med. Open 2020, 6, 44. [Google Scholar] [CrossRef] [PubMed]
- Capling, L.; Beck, K.; Gifford, J.; Slater, G.; Flood, V.; O’Connor, H. Validity of dietary assessment in athletes: A systematic review. Nutrients 2017, 9, 1313. [Google Scholar] [CrossRef] [PubMed]
- Stables, R.G.; Kasper, A.M.; Sparks, S.A.; Morton, J.P.; Close, G.L. An Assessment of the Validity of the Remote Food Photography Method (Termed Snap-N-Send) in Experienced and Inexperienced Sport Nutritionists. Int. J. Sport Nutr. Exerc. Metab. 2021, 31, 125–134. [Google Scholar] [CrossRef]
- Costello, N.; Deighton, K.; Dalton-Barron, N.; Whitehead, S.; Preston, T.; Jones, B. Can a contemporary dietary assessment tool or wearable technology accurately assess the energy intake of professional young rugby league players? A doubly labelled water validation study. Eur. J. Sport Sci. 2020, 20, 1151–1159. [Google Scholar] [CrossRef]


| GD-5 | GD-4 | GD-3 | GD-2 | GD-1 | GD | GD + 1 | Total | |
|---|---|---|---|---|---|---|---|---|
| All Players | Rest and Recovery | Rest and Recovery | ||||||
| Intensity | Low | High | High | Low | High | |||
| Field Sessions | 1 | 1 | 2 | 1 | 0 | 5 | ||
| Gym Sessions | 1 | 1 | 1 | 0 | 0 | 3 | ||
| Distance (km) | ||||||||
| FC | 2.7 ± 1.2 | 5.7 ± 0.9 | 4.2 ± 1.0 | 3.0 ± 1.1 | 5.1 ± 0.7 | 20.6 ± 3.9 | ||
| FNC | 2.6 ± 0.9 | 5.7 ± 0.7 | 4.4 ± 0.5 | 2.5 ± 0.7 | 5.3 ± 0.6 | 20.4 ± 2.5 | ||
| BC | 3.7 ± 1.0 | 7.7 ± 1.6 | 5.4 ± 1.0 | 3.8 ± 0.7 | 6.4 ± 0.6 | 26.9 ± 4.3 | ||
| BNC | 3.8 ± 0.8 | 7.6 ± 1.3 | 5.3 ± 0.9 | 3.7 ± 0.8 | 6.3 ± 1.1 | 26.7 ± 4.1 | ||
| sRPE (AU) | ||||||||
| FC | 719 ± 87 | 1258 ± 72 | 1368 ± 94 | 243 ± 45 | 688 ± 95 | 4276 ± 132 | ||
| FNC | 840 ± 138 | 1281 ± 163 | 1365 ± 131 | 229 ± 43 | 655 ± 55 | 4369 ± 293 | ||
| BC | 767 ± 106 | 1270 ± 100 | 1375 ± 91 | 239 ± 39 | 777 ± 57 | 4427 ± 205 | ||
| BNC | 781 ± 138 | 1349 ± 129 | 1347 ± 74 | 242 ± 46 | 743 ± 89 | 4463 ± 206 |
| Demographics | All Players (n = 12) | Forwards (n = 6) | Backs (n = 6) |
|---|---|---|---|
| Age (y) | 28.3 ± 2.9 | 28.2 ± 2.9 | 28.5 ± 3.2 |
| Professional Experience (y) | 9.1 ± 2.6 | 9.0 ± 2.8 | 9.2 ± 2.7 |
| Stature (cm) | 188.9 ± 9.5 | 195.8 ± 7.3 * | 182.0 ± 5.6 |
| Body Mass (kg) | 104.1 ± 13.3 | 115.0 ± 6.8 * | 93.2 ± 7.6 |
| Fat-Free Mass (kg) | 88.2 ± 10.3 | 96.5 ± 5.4 * | 79.8 ± 6.2 |
| Fat % (%) | 15.2 ± 1.3 | 16.1 ± 1.4 * | 14.4 ± 0.6 |
| Skinfolds 8-site (mm) | 64.2 ± 11.9 | 69.9 ± 14.8 | 58.4 ± 3.5 |
| Dietary Intake | Forwards (n = 6) | Backs (n = 6) | |||
|---|---|---|---|---|---|
| Catered (n = 6) | Non-Catered (n = 6) | Catered (n = 6) | Non-Catered (n = 6) | ||
| Energy | kcal·day−1 | 5210 ± 674 * | 4341 ± 654 | 3952 ± 765 | 3445 ± 610 |
| kcal·kgBM·d−1 | 45.8 ± 7.2 * | 38.2 ± 6.6 | 42.8 ± 8.4 | 37.6 ± 5.9 | |
| Kcal·kgFFM·d−1 | 54.2 ± 8.2 * | 45.1 ± 7.6 | 49.6 ± 9.5 | 43.1 ± 7.1 | |
| CHO | g·d−1 | 408 ± 85 | 411 ± 89 | 328 ± 65 | 317 ± 75 |
| g·kgBM·d−1 | 3.6 ± 0.9 | 3.6 ± 0.8 | 3.5 ± 0.6 | 3.4 ± 0.7 | |
| g·kgFFM·d−1 | 4.2 ± 1.0 | 4.3 ± 1.0 | 4.1 ± 0.7 | 3.9 ± 0.8 | |
| % TEI | 34 ± 4 | 40 ± 4 | 37 ± 5 | 40 ± 8 | |
| Protein | g·d−1 | 318 ± 33 * | 260 ± 29 | 223 ± 46 | 188 ± 11 |
| g·kgBM·d−1 | 2.8 ± 0.3 * | 2.3 ± 0.3 | 2.4 ± 0.5 | 2.0 ± 0.1 | |
| g·kgFFM·d−1 | 3.3 ± 0.4 * | 2.7 ± 0.3 | 2.8 ± 0.6 | 2.4 ± 0.2 | |
| % TEI | 25 ± 2 | 25 ± 2 | 23 ± 4 | 23 ± 3 | |
| Fat | g·d−1 | 244 ± 34 * | 183 ± 47 | 183 ± 47 | 149 ± 50 |
| g·kgBM·d−1 | 2.1 ± 0.3 * | 1.5 ± 0.3 | 2.0 ± 0.5 | 1.6 ± 0.6 | |
| g·kgFFM·d−1 | 2.5 ± 0.4 * | 1.8 ± 0.3 | 2.3 ± 0.6 | 1.9 ± 0.6 | |
| % TEI | 41 ± 3 | 35 ± 2 | 40 ± 5 | 37 ± 8 | |
| Fibre | g·d−1 | 52.2 ± 9.9 | 48.4 ± 11.7 | 44.9 ± 11.6 | 41.3 ± 11.4 |
| Meal # | meals·d−1 | 5.2 ± 0.6 | 5.1 ± 0.8 | 4.9 ± 0.3 | 4.6 ± 0.7 |
Publisher’s Note: MDPI stays neutral with regard to jurisdictional claims in published maps and institutional affiliations. |
© 2022 by the authors. Licensee MDPI, Basel, Switzerland. This article is an open access article distributed under the terms and conditions of the Creative Commons Attribution (CC BY) license (https://creativecommons.org/licenses/by/4.0/).
Share and Cite
Posthumus, L.; Driller, M.; Darry, K.; Winwood, P.; Rollo, I.; Gill, N. Dietary Intakes of Elite Male Professional Rugby Union Players in Catered and Non-Catered Environments. Int. J. Environ. Res. Public Health 2022, 19, 16242. https://doi.org/10.3390/ijerph192316242
Posthumus L, Driller M, Darry K, Winwood P, Rollo I, Gill N. Dietary Intakes of Elite Male Professional Rugby Union Players in Catered and Non-Catered Environments. International Journal of Environmental Research and Public Health. 2022; 19(23):16242. https://doi.org/10.3390/ijerph192316242
Chicago/Turabian StylePosthumus, Logan, Matthew Driller, Katrina Darry, Paul Winwood, Ian Rollo, and Nicholas Gill. 2022. "Dietary Intakes of Elite Male Professional Rugby Union Players in Catered and Non-Catered Environments" International Journal of Environmental Research and Public Health 19, no. 23: 16242. https://doi.org/10.3390/ijerph192316242
APA StylePosthumus, L., Driller, M., Darry, K., Winwood, P., Rollo, I., & Gill, N. (2022). Dietary Intakes of Elite Male Professional Rugby Union Players in Catered and Non-Catered Environments. International Journal of Environmental Research and Public Health, 19(23), 16242. https://doi.org/10.3390/ijerph192316242

