Oxytocin Reactivity during a Wilderness Program without Parents in Adolescents
Abstract
1. Introduction
2. Materials and Methods
2.1. Study Participants
2.2. Program Contents
2.3. Measurements
2.3.1. Oxytocin Level
2.3.2. Covariates
2.4. Analysis
3. Results
4. Discussion
5. Summary and Conclusions
Author Contributions
Funding
Institutional Review Board Statement
Informed Consent Statement
Data Availability Statement
Acknowledgments
Conflicts of Interest
References
- Sawyer, S.M.; Azzopardi, P.S.; Wickremarathne, D.; Patton, G.C. The age of adolescence. Lancet Child Adolesc. Health 2018, 2, 223–228. [Google Scholar] [CrossRef]
- Solmi, M.; Radua, J.; Olivola, M.; Croce, E.; Soardo, L.; Salazar de Pablo, G.; Il Shin, J.; Kirkbride, J.B.; Jones, P.; Kim, J.H.; et al. Age at onset of mental disorders worldwide: Large-scale meta-analysis of 192 epidemiological studies. Mol. Psychiatry 2022, 27, 281–295. [Google Scholar] [CrossRef] [PubMed]
- Havinghurst, R. Developmental Tasks and Education; David McKay: New York, NY, USA, 1972. [Google Scholar]
- Hochberg, Z.; Belsky, J. Evo-devo of human adolescence: Beyond disease models of early puberty. BMC Med. 2013, 11, 113. [Google Scholar] [CrossRef] [PubMed]
- Pettit, G.S.; Laird, R.; Dodge, K.A.; Bates, J.E.; Criss, M.M. Antecedents and behavior-problem outcomes of parental monitoring and psychological control in early adolescence. Child Dev. 2001, 72, 583–598. [Google Scholar] [CrossRef] [PubMed]
- Boudreault-Bouchard, A.; Dion, J.; Hains, J.; Vandermeerschen, J.; Laberge, L.; Perron, M. Impact of parental emotional support and coercive control on adolescents’ self-esteem and psychological distress: Results of a four-year longitudinal study. J. Adolesc. 2013, 36, 695–704. [Google Scholar] [CrossRef]
- Loeb, E.L.; Kansky, J.; Tan, J.S.; Costello, M.A.; Allen, J.P. Perceived Psychological Control in Early Adolescence Predicts Lower Levels of Adaptation into Mid-Adulthood. Child Dev. 2021, 92, e158–e172. [Google Scholar] [CrossRef]
- Sanders, R.A. Adolescent Psychosocial, Social, and Cognitive Development. Pediatr. Rev. 2013, 34, 354–358; quiz 358-9. [Google Scholar] [CrossRef]
- Hattie, J.; Marsh, H.W.; Neill, J.T.; Richards, G.E. Adventure education and outward bound: Out-of-class experiences that make a lasting difference. Rev. Educ. Res. 1997, 67, 43–87. [Google Scholar] [CrossRef]
- Jong, M.; Lown, E.A.; Schats, W.; Mills, M.L.; Otto, H.R.; Gabrielsen, L.E.; Jong, M.C. A scoping review to map the concept, content, and outcome of wilderness programs for childhood cancer survivors. PLoS ONE 2021, 16, e0243908. [Google Scholar] [CrossRef]
- Naor, L.; Mayseless, O. The Wilderness Solo Experience: A Unique Practice of Silence and Solitude for Personal Growth. Front. Psychol. 2020, 11, 547067. [Google Scholar] [CrossRef]
- Hans, T.A. A Meta-Analysis of the Effects of Adventure Programming on Locus of Control. J. Contemp. Psychother. 2000, 30, 33–60. [Google Scholar] [CrossRef]
- Margalit, D.; Ben-Ari, A. The Effect of Wilderness Therapy on Adolescents’ Cognitive Autonomy and Self-efficacy: Results of a Non-randomized Trial. Child Yuth Care Forum 2014, 43, 181–194. [Google Scholar] [CrossRef]
- McKenzie, M. How are adventure education program outcomes achieved? A review of the literature. Aust. J. Outdoor Educ. 2000, 5, 19–28. [Google Scholar] [CrossRef]
- Hogrel, J.-Y.; Decostre, V.; Alberti, C.; Canal, A.; Ollivier, G.; Josserand, E.; Taouil, I.; Simon, D. Stature is an essential predictor of muscle strength in children. BMC Musculoskelet. Disord. 2012, 13, 176. [Google Scholar] [CrossRef]
- Purc-Stephenson, R.J.; Rawleigh, M.; Kemp, H.; Asfeldt, M. We Are Wilderness Explorers: A Review of Outdoor Education in Canada. J. Exp. Educ. 2019, 42, 364–381. [Google Scholar] [CrossRef]
- Quintana, D.S.; Lischke, A.; Grace, S.; Scheele, D.; Ma, Y.; Becker, B. Advances in the field of intranasal oxytocin research: Lessons learned and future directions for clinical research. Mol. Psychiatry 2021, 26, 80–91. [Google Scholar] [CrossRef]
- Ebert, A.; Brüne, M. Oxytocin and Social Cognition. Curr. Top. Behav. Neurosci. 2018, 35, 375–388. [Google Scholar]
- Takayanagi, Y.; Onaka, T. Roles of Oxytocin in Stress Responses, Allostasis and Resilience. Int. J. Mol. Sci. 2021, 23, 150. [Google Scholar] [CrossRef]
- Filippa, M.; Monaci, M.G.; Spagnuolo, C.; Serravalle, P.; Daniele, R.; Grandjean, D. Maternal speech decreases pain scores and increases oxytocin levels in preterm infants during painful procedures. Sci. Rep. 2021, 11, 17301. [Google Scholar] [CrossRef]
- Uvnäsmoberg, K.; Ekström-Bergström, A.; Buckley, S.; Massarotti, C.; Pajalic, Z.; Luegmair, K.; Kotlowska, A.; Lengler, L.; Olza, I.; Grylka-Baeschlin, S.; et al. Maternal plasma levels of oxytocin during breastfeeding—A systematic review. PLoS ONE 2020, 15, e0235806. [Google Scholar] [CrossRef]
- Yuhi, T.; Kyuta, H.; Mori, H.A.; Murakami, C.; Furuhara, K.; Okuno, M.; Takahashi, M.; Fuji, D.; Higashida, H. Salivary Oxytocin Concentration Changes during a Group Drumming Intervention for Maltreated School Children. Brain Sci. 2017, 7, 152. [Google Scholar] [CrossRef] [PubMed]
- Rassovsky, Y.; Harwood, A.; Zagoory-Sharon, O.; Feldman, R. Martial arts increase oxytocin production. Sci. Rep. 2019, 9, 12980. [Google Scholar] [CrossRef] [PubMed]
- Fujiwara, T.; Kubzansky, L.D.; Matsumoto, K.; Kawachi, I. The Association between Oxytocin and Social Capital. PLoS ONE 2012, 7, e52018. [Google Scholar] [CrossRef] [PubMed]
- Bernhard, A.; van der Merwe, C.; Ackermann, K.; Martinelli, A.; Neumann, I.D.; Freitag, C.M. Adolescent oxytocin response to stress and its behavioral and endocrine correlates. Horm. Behav. 2018, 105, 157–165. [Google Scholar] [CrossRef] [PubMed]
- Boccia, M.L.; Cook, C.; Marson, L.; Pedersen, C. Parental divorce in childhood is related to lower urinary oxytocin concentrations in adulthood. J. Comp. Psychol. 2021, 135, 74–81. [Google Scholar] [CrossRef] [PubMed]
- Lukas, M.; Bredewold, R.; Neumann, I.; Veenema, A. Maternal separation interferes with developmental changes in brain vasopressin and oxytocin receptor binding in male rats. Neuropharmacology 2010, 58, 78–87. [Google Scholar] [CrossRef]
- Nawa, N.; Nakamura, K.; Fujiwara, T. Oxytocin Response Following Playful Mother–Child Interaction in Survivors of the Great East Japan Earthquake. Front. Psychiatry 2020, 11, 477. [Google Scholar] [CrossRef]
- Bernhard, A.; Kirchner, M.; Martinelli, A.; Ackermann, K.; Kohls, G.; Gonzalez-Madruga, K.; Wells, A.; Fernández-Rivas, A.; De Artaza-Lavesa, M.G.; Raschle, N.M.; et al. Sex-specific associations of basal steroid hormones and neuropeptides with Conduct Disorder and neuroendocrine mediation of environmental risk. Eur. Neuropsychopharmacol. 2021, 49, 40–53. [Google Scholar] [CrossRef]
- Weingarten, M.F.J.; Scholz, M.; Wohland, T.; Horn, K.; Stumvoll, M.; Kovacs, P.; Tönjes, A. Circulating Oxytocin Is Genetically Determined and Associated with Obesity and Impaired Glucose Tolerance. J. Clin. Endocrinol. Metab. 2019, 104, 5621–5632. [Google Scholar] [CrossRef]
- Tabak, B.A.; Leng, G.; Szeto, A.; Parker, K.J.; Verbalis, J.G.; Ziegler, T.E.; Lee, M.R.; Neumann, I.D.; Mendez, A.J. Advances in human oxytocin measurement: Challenges and proposed solutions. Mol. Psychiatry 2022. [Google Scholar] [CrossRef]
- van IJzendoorn, M.H.; Bakermans-Kranenburg, M.J. The Role of Oxytocin in Parenting and as Augmentative Pharmacotherapy: Critical Issues and Bold Conjectures. J. Neuroendocrinol. 2016, 28. [Google Scholar] [CrossRef] [PubMed]
- Brockington, G.; Moreira, A.P.G.; Buso, M.S.; da Silva, S.G.; Altszyler, E.; Fischer, R.; Moll, J. Storytelling increases oxytocin and positive emotions and decreases cortisol and pain in hospitalized children. Proc. Natl. Acad. Sci. USA 2021, 118, e2018409118. [Google Scholar] [CrossRef] [PubMed]
- Huang, Y.; Huang, X.; Ebstein, R.P.; Yu, R. Intranasal oxytocin in the treatment of autism spectrum disorders: A multilevel meta-analysis. Neurosci. Biobehav. Rev. 2021, 122, 18–27. [Google Scholar] [CrossRef] [PubMed]
- Goh, K.K.; Lu, M.-L.; Jou, S. Childhood Trauma and Aggression in Persons Convicted for Homicide: An Exploratory Study Examines the Role of Plasma Oxytocin. Front. Psychiatry 2021, 12, 719282. [Google Scholar] [CrossRef] [PubMed]
- Cardoso, C.; Ellenbogen, M.A.; Linnen, A.-M. The effect of intranasal oxytocin on perceiving and understanding emotion on the Mayer-Salovey-Caruso Emotional Intelligence Test (MSCEIT). Emotion 2014, 14, 43–50. [Google Scholar] [CrossRef]
- Bartz, J.A.; Nitschke, J.; Krol, S.A.; Tellier, P.-P. Oxytocin Selectively Improves Empathic Accuracy: A Replication in Men and Novel Insights in Women. Biol. Psychiatry Cogn. Neurosci. Neuroimaging 2019, 4, 1042–1048. [Google Scholar] [CrossRef]
- Human, L.; Thorson, K.; Mendes, W. Interactive effects between extraversion and oxytocin administration: Implications for positive social processes. Soc. Psychol. Pers. Sci. 2016, 7, 735–744. [Google Scholar] [CrossRef]
- Miura, A.; Fujiwara, T.; Osawa, M.; Anme, T. Inverse Correlation of Parental Oxytocin Levels with Autonomy Support in Toddlers. J. Child Fam. Stud. 2014, 24, 2620–2625. [Google Scholar] [CrossRef]
- Rokicki, J.; Kaufmann, T.; de Lange, A.-M.G.; van der Meer, D.; Bahrami, S.; Sartorius, A.M.; Haukvik, U.K.; Steen, N.E.; Schwarz, E.; Stein, D.J.; et al. Oxytocin receptor expression patterns in the human brain across development. Neuropsychopharmacology 2022, 47, 1550–1560. [Google Scholar] [CrossRef]
- Audunsdottir, K.; Quintana, D. Oxytocin’s dynamic role across the lifespan. Aging Brain 2022, 2, 100028. [Google Scholar] [CrossRef]
- The Japanese Ministry of Health Labour and Welfare, Summary Report on Basic Survey on Wage Structure (Nationwide). 2020. Available online: www.mhlw.go.jp/toukei/itiran/roudou/chingin/kouzou/z2020/dl/13.pdf (accessed on 21 September 2022).
- Barreca, A.; Schaller, J. The impact of high ambient temperatures on delivery timing and gestational lengths. Nat. Clim. Chang. 2020, 10, 77–82. [Google Scholar] [CrossRef]
- Gao, M.; Havitz, M.E.; Potwarka, L.R. Exploring the Influence of Family Holiday Travel on the Subjective Well-being of Chinese Adolescents. J. China Tour. Res. 2018, 1, 45–61. [Google Scholar]
- Takasaka, Y.; Toda, H. Psychological Jiritsu in Adolescence (II): Construction of Psychological Jiritsu Scale. J. Hokkaido Univ. Educ. 2006, 56, 17–30. [Google Scholar]
- Quintana, D.S.; Westlye, L.T.; Smerud, K.T.; Mahmoud, R.A.; Andreassen, O.A.; Djupesland, P.G. Saliva oxytocin measures do not reflect peripheral plasma concentrations after intranasal oxytocin administration in men. Horm. Behav. 2018, 102, 85–92. [Google Scholar] [CrossRef] [PubMed]
- Martins, D.; Gabay, A.S.; Mehta, M.; Paloyelis, Y. Salivary and plasmatic oxytocin are not reliable trait markers of the physiology of the oxytocin system in humans. eLife 2020, 9, e62456. [Google Scholar] [CrossRef] [PubMed]
- Abraham, E.; Gilam, G.; Kanat-Maymon, Y.; Jacob, Y.; Zagoory-Sharon, O.; Hendler, T.; Feldman, R. The Human Coparental Bond Implicates Distinct Corticostriatal Pathways: Longitudinal Impact on Family Formation and Child Well-Being. Neuropsychopharmacology 2017, 42, 2301–2313. [Google Scholar] [CrossRef]


| 1st term: Understanding self | ||
| Day | Main activity | OT sample |
| 1 | opening ceremony/Building a basecamp | |
| 2 | field walk | #1 |
| 3 | knife skill building (cutting a fish with a knife) | |
| 4 | using a rope to set up a tent and building a fire | |
| 5 | overnight solo bushcraft camping (A) | #2 |
| 6 | overnight solo bushcraft camping (A) | |
| 7 | overnight solo bushcraft camping (A) | |
| 8 | designing a team flag | |
| 9 | skill and team building | #3 |
| 10 | skill and team building | |
| 2nd term: Understanding others | ||
| Day | Main activity | OT sample |
| 11 | canoeing practice and playing in the river | |
| 12 | canoeing touring | |
| 13 | making a team flag and building a fire | #4 |
| 14 | motorbiking experience or handicraft making | |
| 15 | motorbiking experience or handicraft making | |
| 16 | motorbiking experience or handicraft making | |
| 17 | motorbiking experience or handicraft making | |
| 18 | making a team flag | #5 |
| 19 | preparing for overnight team-based bushcraft camping | |
| 20 | overnight team-based bushcraft camping (B) | #6 |
| 21 | overnight team-based bushcraft camping (B) | #7 |
| 22 | overnight team-based bushcraft camping (B) | #8 |
| 23 | cleaning up after (B) | |
| 24 | preparing for walking expedition | |
| 25 | 60 km expedition (C) | |
| 26 | 60 km expedition (C) | |
| 27 | 60 km expedition (C) | |
| 28 | cleaning up after walking expedition | |
| 29 | knife maintenance | |
| 30 | farewell party | #9 |
| 31 | closing ceremony | |
| Variable | n (%) | Mean ± SD | Range | ||
|---|---|---|---|---|---|
| Age (years) | 10.6 ± 1.2 | 9 | 13 | ||
| 9 years | 4 (20.0) | ||||
| 10 years | 6 (20.0) | ||||
| 11 years | 6 (30.0) | ||||
| 12 years | 2 (30.0) | ||||
| 13 years | 2 (10.0) | ||||
| Height (cm) | 134.0 ± 8.4 | 125 | 163 | ||
| BMI | 16.9 ± 2.1 | 13.4 | 21.1 | ||
| Presence of self-motivation for the camp | |||||
| No | 10 (50.0) | ||||
| Yes | 10 (50.0) | ||||
| History of the wilderness program participation | |||||
| No | 15 (75.0) | ||||
| Yes | 5 (25.0) | ||||
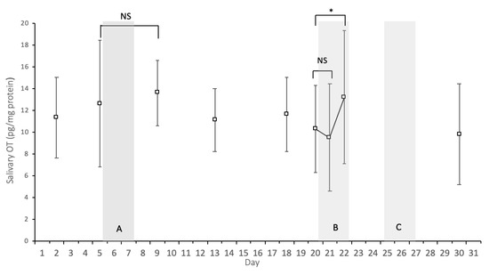
| The early morning salivary OT (pg/mg) | |||||
| #1 (day 2) | 11.3 ± 3.7 | 6.2 | 20.7 | ||
| #2 (day 5) * | 12.6 ± 5.8 | 7.0 | 26.2 | ||
| #3 (day 9) | 13.6 ± 3.0 | 6.7 | 19.4 | ||
| #4 (day 13) | 11.1 ± 2.9 | 7.2 | 18.6 | ||
| #5 (day 18) | 11.6 ± 3.4 | 6.6 | 16.3 | ||
| #6 (day 20) ** | 10.3 ± 4.0 | 6.6 | 21.7 | ||
| #7 (day 21) ** | 9.5 ± 4.9 | 4.7 | 21.3 | ||
| #8 (day 22) ** | 13.2 ± 6.1 | 4.9 | 28.7 | ||
| #9 (day 30) | 9.8 ± 4.6 | 4.3 | 19.0 | ||
| Variables | Crude Model | Adjusted Model | ||
|---|---|---|---|---|
| Coefficient (SE) | p | Coefficient (SE) | p | |
| Time-level | ||||
| Day | −0.084 (0.035) | 0.015 | −0.083 (0.034) | 0.016 |
| Individual-level | ||||
| Age (year) | −0.49 (0.41) | 0.23 | −0.16 (0.57) | 0.78 |
| Height (cm) | −0.14 (0.057) | 0.015 | −0.19 (0.09) | 0.007 |
| BMI | −0.081 (0.24) | 0.73 | 0.065 (0.24) | 0.78 |
| Self-motivation (ref = no) | −2.09 (0.92) | 0.022 | −2.81 (0.093) | 0.003 |
| History (ref = no) | −1.05 (1.13) | 0.35 | 0.84 (1.15) | 0.46 |
Publisher’s Note: MDPI stays neutral with regard to jurisdictional claims in published maps and institutional affiliations. |
© 2022 by the authors. Licensee MDPI, Basel, Switzerland. This article is an open access article distributed under the terms and conditions of the Creative Commons Attribution (CC BY) license (https://creativecommons.org/licenses/by/4.0/).
Share and Cite
Morita, A.; Shikano, A.; Nakamura, K.; Noi, S.; Fujiwara, T. Oxytocin Reactivity during a Wilderness Program without Parents in Adolescents. Int. J. Environ. Res. Public Health 2022, 19, 15437. https://doi.org/10.3390/ijerph192315437
Morita A, Shikano A, Nakamura K, Noi S, Fujiwara T. Oxytocin Reactivity during a Wilderness Program without Parents in Adolescents. International Journal of Environmental Research and Public Health. 2022; 19(23):15437. https://doi.org/10.3390/ijerph192315437
Chicago/Turabian StyleMorita, Ayako, Akiko Shikano, Kazuaki Nakamura, Shingo Noi, and Takeo Fujiwara. 2022. "Oxytocin Reactivity during a Wilderness Program without Parents in Adolescents" International Journal of Environmental Research and Public Health 19, no. 23: 15437. https://doi.org/10.3390/ijerph192315437
APA StyleMorita, A., Shikano, A., Nakamura, K., Noi, S., & Fujiwara, T. (2022). Oxytocin Reactivity during a Wilderness Program without Parents in Adolescents. International Journal of Environmental Research and Public Health, 19(23), 15437. https://doi.org/10.3390/ijerph192315437

