Spatiotemporal Evolution and Driving Forces of Vegetation Cover in the Urumqi River Basin
Abstract
1. Introduction
2. Materials and Methods
2.1. Study Area
2.2. Data
2.2.1. Landsat Series Satellite Images
2.2.2. Soil Sharacteristics
2.2.3. Terrain Data
2.2.4. Meteorological Data
2.2.5. Land Use Data
2.3. Methods
2.3.1. Fractional Vegetation Coverage
2.3.2. Theil–Sen Median Trend Analysis and the Mann–Kendall Test
2.3.3. OPGD Model
- Factor detection calculates the degree of influence Q of each factor on the FVC. The larger the value of Q, the greater the influence on the FVC. The formula is as follows:where Q is the spatial differentiation index, h = 1,…, L is the stratification of the attribute FVC or natural and human factors—that is, classification or partition; Nh and N are the number of units in a particular layer and the whole area, respectively; and are the variances of the FVC values for layer h and the whole region, respectively; and SSW and SST are the sum of the intra-layer variances and the total variance of the whole area. The larger the value of Q, the greater the spatial difference in the FVC. If the hierarchy consists of factor X, the more explanatory the dependent variable X is for the attribute FVC.
- Interaction detection represents the interaction between different influencing factors. It compares the sum of single-factor Q values, double-factor Q values and double-factor interactions and evaluates whether the factors X1 and X2 increase or decrease the predictive power of the dependent variable FVC—that is, the main comparison factors Q (X1), Q (X1) + Q (X2) and Q (X1 ∩ X2).
- Risk detection is conducted by calculating the average FVC value of the subregion of the influencing factors for the statistical significance test. In each area, the larger the average value of FVC, the more suitable the sub-area of the influencing factor is for vegetation growth, which can be used to judge the appropriate range or type of each influencing factor. The expression formula is:where is the average value of the FVC attribute in the H zone; is the number of samples in the H partition and is the variance.
3. Results
3.1. Long-Term Changes in the FVC
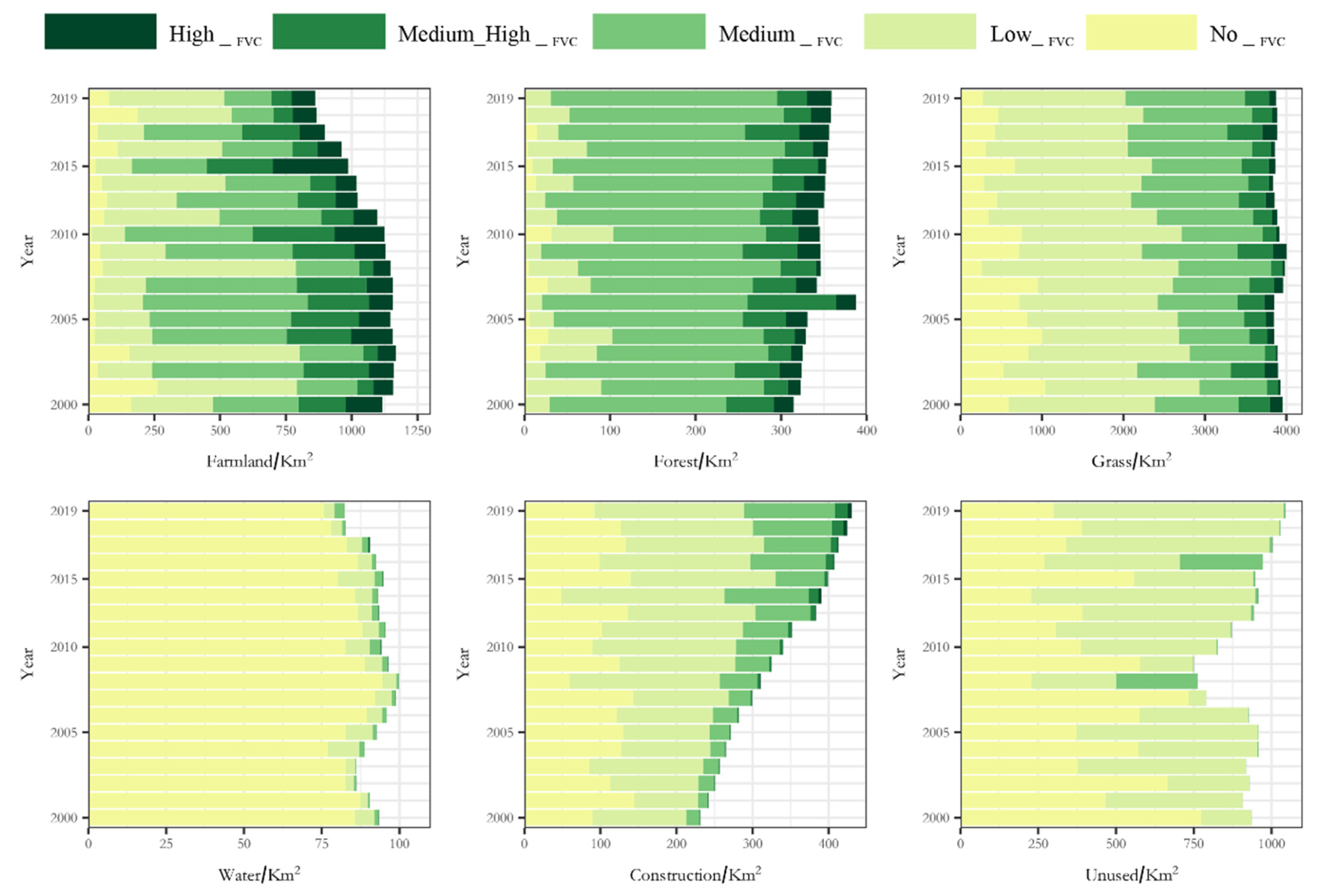
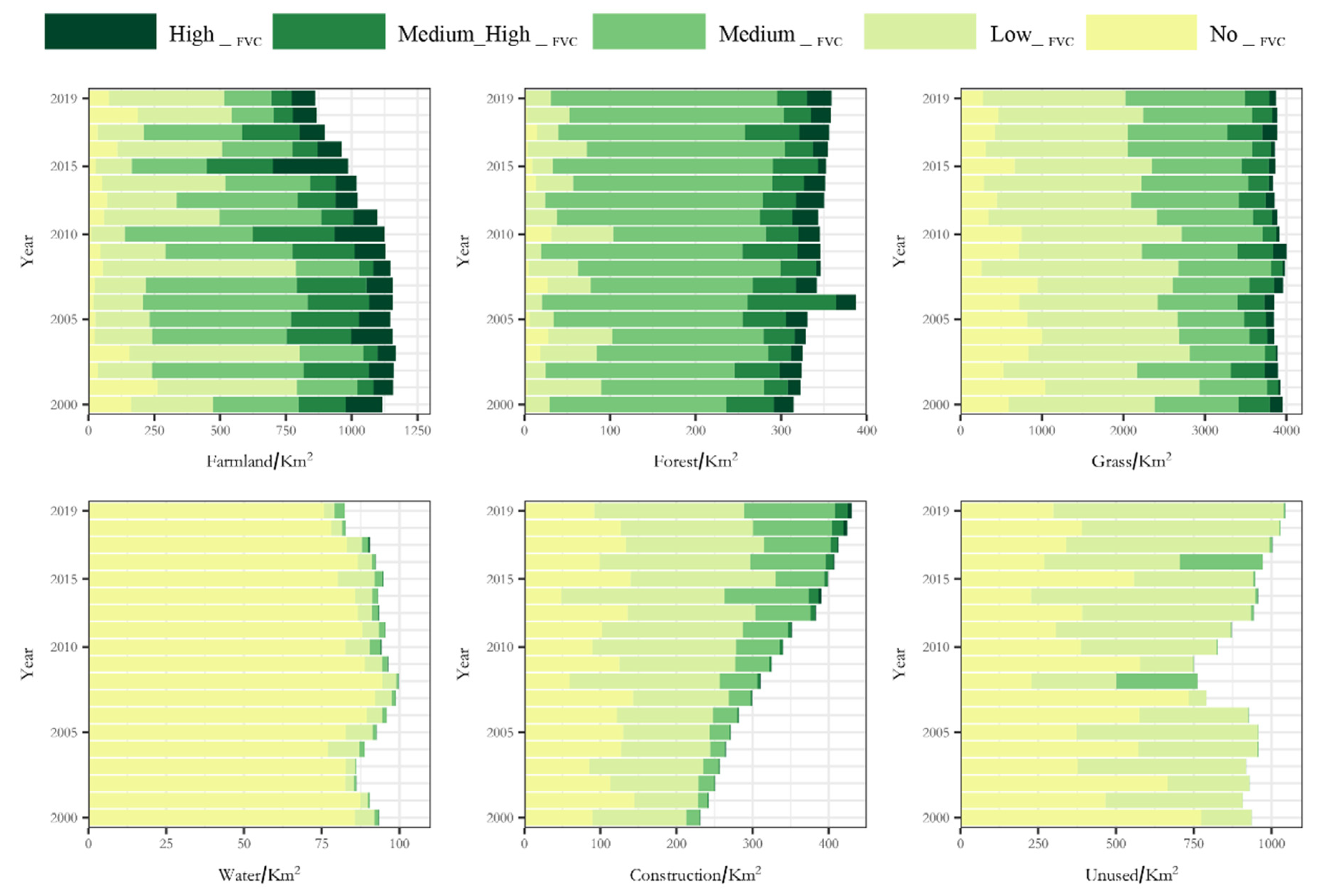
3.2. Effects of Different Land Use Types on the FVC
3.3. Long-Term Trends in the FVC
3.4. OPGD Model in FVC
3.4.1. Factor and Interaction Detectors
3.4.2. Risk Detector
4. Discussion
4.1. Significant Spatiotemporal Variation in Vegetation Cover of the Urumqi River Basin
4.2. Each Factor Had a Significant Effect on the Vegetation Cover of the Urumqi River Basin
4.3. Shortcomings and Research Significance
5. Conclusions
- From 2000 to 2020, the FVCmean of the Urumqi River basin was 0.25–0.30, the decrease in the mean value varied regularly with time and the overall growth was stable. The vegetation coverage was mainly low and medium, and the areas without vegetation coverage decreased steadily year-by-year, whereas the areas with medium and high vegetation coverage maintained an area of 600–1000 km2.
- The FVC of the basin had unique spatial characteristics. The areas without vegetation were distributed at high altitudes, on the urban fringes and in areas with an extreme environment. The areas without vegetation all improved, except the high-altitude areas. Areas with low vegetation coverage formed around each type of coverage area and became a critical ecological barrier, making vital contributions to the basin. The areas with medium vegetation coverage were mainly distributed in the mountains and plains and were stable overall.
- The vegetation coverage of the basin was affected by both natural and human factors. The explanatory power of land use type, precipitation, altitude and temperature was the highest and the explanatory power of interaction with other factors was increased and had the greatest impact. The explanatory power of other factors was small and the interaction results were not significantly improved. As the only anthropogenic factor, the explanatory power of the land use type was maintained at a high level and indicated that human habitation and activities significantly affected the trends of the changes in vegetation cover. The explanatory power of each factor interval differed. The altitude, slope and clay content of surface soils had adjacent values for their effect on vegetation and stopped vegetation from growing when out of its natural range. Precipitation and temperature did not show a positive correlation, but had a promoting effect locally. The growth of vegetation under drought conditions in cold, high-altitude regions actively adapted to the local environment, which may be related to the unique climate characteristics of the study area and vegetation types.
- As the open-source multispectral remote sensing data archive enriches (i.e., Landsat 9 and Sentinel 2), we will be able to extend the temporal coverage of the FVC. In addition, UAV technology enables exploration FVC of small-scale areas, and vegetation health can be evaluated by the red-edge bands of, for example, a Sentinel 2 image. Thus, future attempts would backdate the FVC monitoring to monthly, while analyzing the relationship between human habitat, water pollution, air pollution and FVC.
Supplementary Materials
Author Contributions
Funding
Institutional Review Board Statement
Data Availability Statement
Acknowledgments
Conflicts of Interest
References
- Zhang, Z.; Chang, J.; Xu, C.-Y.; Zhou, Y.; Wu, Y.; Chen, X.; Jiang, S.; Duan, Z. The response of lake area and vegetation cover variations to climate change over the Qinghai-Tibetan Plateau during the past 30 years. Sci. Total Environ. 2018, 635, 443–451. [Google Scholar] [CrossRef] [PubMed]
- Yang, Y.; Wang, F.; Jin, J.; Hu, S.; Gao, Y. Carbon storage potential and seasonal dynamics of phytolith from different vegetation types in a subtropical region, China. Environ. Sci. Pollut. Res. 2019, 26, 29834–29844. [Google Scholar] [CrossRef] [PubMed]
- Wu, G.-L.; Liu, Y.-F.; Cui, Z.; Liu, Y.; Shi, Z.-H.; Yin, R.; Kardol, P. Trade-off between vegetation type, soil erosion control and surface water in global semi-arid regions: A meta-analysis. J. Appl. Ecol. 2020, 57, 875–885. [Google Scholar] [CrossRef]
- Fu, L.; Bo, T.; Du, G.; Zheng, X. Modeling the responses of grassland vegetation coverage to grazing disturbance in an alpine meadow. Ecol. Model. 2012, 247, 221–232. [Google Scholar] [CrossRef]
- Mu, S.; Yang, H.; Li, J.; Chen, Y.; Gang, C.; Zhou, W.; Ju, W. Spatio-temporal dynamics of vegetation coverage and its relationship with climate factors in Inner Mongolia, China. J. Geogr. Sci. 2013, 23, 231–246. [Google Scholar] [CrossRef]
- Zhang, Q.; Yang, J.; Wang, W.; Ma, P.; Lu, G.; Liu, X.; Yu, H.; Fang, F. Climatic Warming and Humidification in the Arid Region of Northwest China: Multi-Scale Characteristics and Impacts on Ecological Vegetation. J. Meteorol. Res. 2021, 35, 113–127. [Google Scholar] [CrossRef]
- Hassan, D.F.; Abdalkadhum, A.J.; Mohammed, R.J.; Shaban, A. Integration Remote Sensing and Meteorological Data to Monitoring Plant Phenology and Estimation Crop Coefficient and Evapotranspiration. J. Ecol. Eng. 2022, 23, 325–335. [Google Scholar] [CrossRef]
- Boelman, N.T.; Stieglitz, M.; Rueth, H.M.; Sommerkorn, M.; Griffin, K.L.; Shaver, G.R.; Gamon, J.A. Response of NDVI, biomass, and ecosystem gas exchange to long-term warming and fertilization in wet sedge tundra. Oecologia 2003, 135, 414–421. [Google Scholar] [CrossRef] [PubMed]
- Boelman, N.T.; Stieglitz, M.; Griffin, K.L.; Shaver, G.R. Interannual variability of NDVI in response to long-term warming and fertilization in wet sedge and tussock tundra. Oecologia 2005, 143, 588–597. [Google Scholar] [CrossRef]
- Baldi, G.; Nosetto, M.; Aragón, R.; Aversa, F.; Paruelo, J.M.; Jobbãƒâ¡gy, E.G. Long-term Satellite NDVI Data Sets: Evaluating Their Ability to Detect Ecosystem Functional Changes in South America. Sensors 2008, 8, 5397–5425. [Google Scholar] [CrossRef]
- Liu, H.; Li, X.; Mao, F.; Zhang, M.; Zhu, D.; He, S.; Huang, Z.; Du, H. Spatiotemporal Evolution of Fractional Vegetation Cover and Its Response to Climate Change Based on MODIS Data in the Subtropical Region of China. Remote Sens. 2021, 13, 913. [Google Scholar] [CrossRef]
- Kasoro, F.; Yan, L.; Zhang, W.; Asante-Badu, B. Spatial and Temporal Changes of Vegetation Cover in China Based on Modis Ndvi. Appl. Ecol. Environ. Res. 2021, 19, 1371–1390. [Google Scholar] [CrossRef]
- Tao, G.; Jia, K.; Zhao, X.; Wei, X.; Xie, X.; Zhang, X.; Wang, B.; Yao, Y. Generating High Spatio-Temporal Resolution Fractional Vegetation Cover by Fusing GF-1 WFV and MODIS Data. Remote Sens. 2019, 11, 2324. [Google Scholar] [CrossRef]
- Kim, J.; Kang, S.; Seo, B.; Narantsetseg, A.; Han, Y. Estimating fractional green vegetation cover of Mongolian grasslands using digital camera images and MODIS satellite vegetation indices. GIScience Remote Sens. 2019, 57, 49–59. [Google Scholar] [CrossRef]
- Wu, J.; Kurosaki, Y.; Gantsetseg, B.; Ishizuka, M.; Sekiyama, T.T.; Buyantogtokh, B.; Liu, J. Estimation of dry vegetation cover and mass from MODIS data: Verification by roughness length and sand saltation threshold. Int. J. Appl. Earth Obs. Geoinf. ITC J. 2021, 102, 102417. [Google Scholar] [CrossRef]
- Areffian, A.; Eslamian, S.; Sadr, M.K.; Khoshfetrat, A. Monitoring the Effects of Drought on Vegetation Cover and Ground Water Using MODIS Satellite Images and ANN. KSCE J. Civ. Eng. 2021, 25, 1095–1105. [Google Scholar] [CrossRef]
- Yang, L.; Jia, K.; Liang, S.; Wei, X.; Yao, Y.; Zhang, X. A Robust Algorithm for Estimating Surface Fractional Vegetation Cover from Landsat Data. Remote Sens. 2017, 9, 857. [Google Scholar] [CrossRef]
- Wang, J.-F.; Li, X.-H.; Christakos, G.; Liao, Y.-L.; Zhang, T.; Gu, X.; Zheng, X.-Y. Geographical detectors-based health risk assessment and its application in the neural tube defects study of the Heshun region, China. Int. J. Geogr. Inf. Sci. 2010, 24, 107–127. [Google Scholar] [CrossRef]
- Zhang, Y.; Zhang, K.-C.; An, Z.-S.; Yu, Y.-P. Quantification of driving factors on NDVI in oasis-desert ecotone using geographical detector method. J. Mt. Sci. 2019, 16, 2615–2624. [Google Scholar] [CrossRef]
- Peng, W.; Kuang, T.; Tao, S. Quantifying influences of natural factors on vegetation NDVI changes based on geographical detector in Sichuan, western China. J. Clean. Prod. 2019, 233, 353–367. [Google Scholar] [CrossRef]
- Gao, S.; Dong, G.; Jiang, X.; Nie, T.; Yin, H.; Guo, X. Quantification of Natural and Anthropogenic Driving Forces of Vegetation Changes in the Three-River Headwater Region during 1982–2015 Based on Geographical Detector Model. Remote Sens. 2021, 13, 4175. [Google Scholar] [CrossRef]
- Dong, Y.; Yin, D.; Li, X.; Huang, J.; Su, W.; Li, X.; Wang, H. Spatial–Temporal Evolution of Vegetation NDVI in Association with Climatic, Environmental and Anthropogenic Factors in the Loess Plateau, China during 2000–2015: Quantitative Analysis Based on Geographical Detector Model. Remote Sens. 2021, 13, 4380. [Google Scholar] [CrossRef]
- Wang, G.; Peng, W. Quantifying spatiotemporal dynamics of vegetation and its differentiation mechanism based on geographical detector. Environ. Sci. Pollut. Res. 2022, 29, 32016–32031. [Google Scholar] [CrossRef] [PubMed]
- Chang, J.; Gong, L.; Zeng, F.; Xue, J.; Mao, D.; Cao, Y.; Mu, G.; Wang, S. Using hydro-climate elasticity estimator and geographical detector method to quantify the individual and interactive impacts on NDVI in oasis-desert ecotone. Stoch. Hydrol. Hydraul. 2022, 36, 3131–3148. [Google Scholar] [CrossRef]
- Song, Y.; Wang, J.; Ge, Y.; Xu, C. An optimal parameters-based geographical detector model enhances geographic characteristics of explanatory variables for spatial heterogeneity analysis: Cases with different types of spatial data. GISci. Remote Sens. 2020, 57, 593–610. [Google Scholar] [CrossRef]
- Lenney, M.P.; Woodcock, C.E.; Collins, J.B.; Hamdi, H. The status of agricultural lands in Egypt: The use of multitemporal NDVI features derived from landsat TM. Remote Sens. Environ. 1996, 56, 8–20. [Google Scholar] [CrossRef]
- Eklundh, L.; Harrie, L.; Kuusk, A. Investigating relationships between Landsat ETM+ sensor data and leaf area index in a boreal conifer forest. Remote Sens. Environ. 2001, 78, 239–251. [Google Scholar] [CrossRef]
- Maselli, F. Monitoring forest conditions in a protected Mediterranean coastal area by the analysis of multiyear NDVI data. Remote Sens. Environ. 2004, 89, 423–433. [Google Scholar] [CrossRef]
- Irons, J.R.; Dwyer, J.L.; Barsi, J.A. The next Landsat satellite: The Landsat Data Continuity Mission. Remote Sens. Environ. 2012, 122, 11–21. [Google Scholar] [CrossRef]
- Shangguan, W.; Dai, Y.; Liu, B.; Ye, A.; Yuan, H. A soil particle-size distribution dataset for regional land and climate modelling in China. Geoderma 2011, 171-172, 85–91. [Google Scholar] [CrossRef]
- Van Zyl, J.J. The Shuttle Radar Topography Mission (SRTM): A breakthrough in remote sensing of topography. Acta Astronaut. 2001, 48, 559–565. [Google Scholar] [CrossRef]
- Werner, M. Shuttle Radar Topography Mission (SRTM) Mission Overview. Frequenz 2001, 55, 75–79. [Google Scholar] [CrossRef]
- Peng, S.; Ding, Y.; Wen, Z.; Chen, Y.; Cao, Y.; Ren, J. Spatiotemporal change and trend analysis of potential evapotranspiration over the Loess Plateau of China during 2011–2100. Agric. For. Meteorol. 2017, 233, 183–194. [Google Scholar] [CrossRef]
- Peng, S.; Gang, C.; Cao, Y.; Chen, Y. Assessment of climate change trends over the Loess Plateau in China from 1901 to 2100. Int. J. Clim. 2017, 38, 2250–2264. [Google Scholar] [CrossRef]
- Peng, S.; Ding, Y.; Liu, W.; Li, Z. 1 km monthly temperature and precipitation dataset for China from 1901 to 2017. Earth Syst. Sci. Data 2019, 11, 1931–1946. [Google Scholar] [CrossRef]
- Ding, Y.; Peng, S. Spatiotemporal Trends and Attribution of Drought across China from 1901–2100. Sustainability 2020, 12, 477. [Google Scholar] [CrossRef]
- Yang, J.; Huang, X. The 30 m annual land cover dataset and its dynamics in China from 1990 to 2019. Earth Syst. Sci. Data 2021, 13, 3907–3925. [Google Scholar] [CrossRef]
- Gutman, G.; Tarpley, D.; Ignatov, A.; Olson, S. The Enhanced Noaa Global Land Dataset from the Advanced Very High-Resolution Radiometer. Bull. Am. Meteorol. Soc. 1995, 76, 1141–1156. [Google Scholar] [CrossRef]
- Chen, W.; Sakai, T.; Moriya, K.; Koyama, L.; Cao, C. Estimation of Vegetation Coverage in Semi-arid Sandy Land Based on Multivariate Statistical Modeling Using Remote Sensing Data. Environ. Model. Assess. 2013, 18, 547–558. [Google Scholar] [CrossRef]
- Tucker, C.J.; Newcomb, W.W.; Los, S.; Prince, S.D. Mean and inter-year variation of growing-season normalized difference vegetation index for the Sahel 1981-1989. Int. J. Remote Sens. 1991, 12, 1133–1135. [Google Scholar] [CrossRef]
- Milich, L.; Weiss, E. GAC NDVI interannual coefficient of variation (CoV) images: Ground truth sampling of the Sahel along north-south transects. Int. J. Remote Sens. 2000, 21, 235–260. [Google Scholar] [CrossRef]
- Cai, B.F. Advance and evaluation in the long time series vegetation trends research based on remote sensing. J. Remote Sens. 2009, 13, 1170–1186. [Google Scholar] [CrossRef]
- Lunetta, R.S.; Knight, J.F.; Ediriwickrema, J. Land-cover characterization and change detection using multitemporal MODIS NDVI data. Remote Sens. Environ. 2005, 2005, 191–194. [Google Scholar] [CrossRef]
- Peng, H.; Wang, S.; Wang, X. Consistency and asymptotic distribution of the Theil–Sen estimator. J. Stat. Plan. Inference 2008, 138, 1836–1850. [Google Scholar] [CrossRef]
- Kulkarni, A.; Von Storch, H. Monte Carlo Experiments on the Effect of Serial Correlation on the Mann-Kendall Test of Trend. Meteorol. Z. 1995, 4, 82–85. [Google Scholar] [CrossRef]
- Hamed, K.H.; Rao, A.R. A modified Mann-Kendall trend test for autocorrelated data. J. Hydrol. 1998, 204, 182–196. [Google Scholar] [CrossRef]
- Zhang, L.; Yang, L.; Zohner, C.M.; Crowther, T.W.; Li, M.; Shen, F.; Guo, M.; Qin, J.; Yao, L.; Zhou, C. Direct and indirect impacts of urbanization on vegetation growth across the world’s cities. Sci. Adv. 2022, 8, eabo0095. [Google Scholar] [CrossRef] [PubMed]
- Yaxiao, Q.; Zhang, F.; Rui, C.; Yishan, W. Vegetation coverage dynamics in northern slope of Tianshan Mountains from 2001 to 2015. Acta Ecol. Sin. 2020, 40, 3677–3687. [Google Scholar] [CrossRef]
- Cao, X.; Chen, X.; Bao, A.; Wang, Q. Response of vegetation to temperature and precipitation in Xinjiang during the period of 1998–2009. J. Arid Land 2011, 3, 94–103. [Google Scholar] [CrossRef]
- Liu, Y.; Li, L.; Chen, X.; Zhang, R.; Yang, J. Temporal-spatial variations and influencing factors of vegetation cover in Xinjiang from 1982 to 2013 based on GIMMS-NDVI3g. Glob. Planet. Chang. 2018, 169, 145–155. [Google Scholar] [CrossRef]
- Yao, J.; Chen, Y.; Zhao, Y.; Mao, W.; Xu, X.; Liu, Y.; Yang, Q. Response of vegetation NDVI to climatic extremes in the arid region of Central Asia: A case study in Xinjiang, China. Arch. Meteorol. Geophys. Bioclimatol. Ser. B 2017, 131, 1503–1515. [Google Scholar] [CrossRef]
- Yao, J.; Hu, W.; Chen, Y.; Huo, W.; Zhao, Y.; Mao, W.; Yang, Q. Hydro-climatic changes and their impacts on vegetation in Xinjiang, Central Asia. Sci. Total Environ. 2019, 660, 724–732. [Google Scholar] [CrossRef] [PubMed]
- He, Y.; Yang, J.; Guo, X. Green Vegetation Cover Dynamics in a Heterogeneous Grassland: Spectral Unmixing of Landsat Time Series from 1999 to 2014. Remote Sens. 2020, 12, 3826. [Google Scholar] [CrossRef]
- Wang, Y.; Zhang, Z.; Chen, X. Quantifying Influences of Natural and Anthropogenic Factors on Vegetation Changes Based on Geodetector: A Case Study in the Poyang Lake Basin, China. Remote Sens. 2021, 13, 5081. [Google Scholar] [CrossRef]
- Guan, J.; Yao, J.; Li, M.; Zheng, J. Assessing the Spatiotemporal Evolution of Anthropogenic Impacts on Remotely Sensed Vegetation Dynamics in Xinjiang, China. Remote Sens. 2021, 13, 4651. [Google Scholar] [CrossRef]
- Cui, C.; Guo, Y.; Shen, Y.J. Spatio-temporal variation in and the driving factors of desert vegetation in Xinjiang. Chin. J. Eco-Agric. 2021, 29, 1668–1678. [Google Scholar] [CrossRef]
- Ghabour, T.; Ali, R.; Wahba, M.; El-Naka, E.; Selim, S. Spatial decision support system for land use management of newly reclaimed areas in arid regions. Egypt. J. Remote Sens. Space Sci. 2019, 22, 219–225. [Google Scholar] [CrossRef]
- Li, T.; Li, Y.; Shi, Z.; Wang, S.; Wang, Z.; Liu, Y.; Wen, X.; Mo, F.; Han, J.; Liao, Y. Crop development has more influence on shaping rhizobacteria of wheat than tillage practice and crop rotation pattern in an arid agroecosystem. Appl. Soil Ecol. 2021, 165, 104016. [Google Scholar] [CrossRef]
- Zhang, F.; Wang, J.; Wang, X. Recognizing the Relationship between Spatial Patterns in Water Quality and Land-Use/Cover Types: A Case Study of the Jinghe Oasis in Xinjiang, China. Water 2018, 10, 646. [Google Scholar] [CrossRef]
- Ge, W.; Deng, L.; Wang, F.; Han, J. Quantifying the contributions of human activities and climate change to vegetation net primary productivity dynamics in China from 2001 to 2016. Sci. Total. Environ. 2021, 773, 145648. [Google Scholar] [CrossRef]
- Zhang, X.; Wang, J.; Gao, Y.; Wang, L. Variations and controlling factors of vegetation dynamics on the Qingzang Plateau of China over the recent 20 years. Geogr. Sustain. 2021, 2, 74–85. [Google Scholar] [CrossRef]
- Jiang, W.; Niu, Z.; Wang, L.; Yao, R.; Gui, X.; Xiang, F.; Ji, Y. Impacts of Drought and Climatic Factors on Vegetation Dynamics in the Yellow River Basin and Yangtze River Basin, China. Remote Sens. 2022, 14, 930. [Google Scholar] [CrossRef]
- Weijidan, M.; Rusuli, Y.; Zhongli, Q. Temporal and spatial changes of the snow cover cessation day from 2000 to 2019 in Xinjiang, China. Arid. Land Geogr. 2022, 45, 1061–1070. [Google Scholar] [CrossRef]
- Zou, X.K.; Zhai, P.M. Relationship between vegetation coverage and spring dust storms over northern China. J. Geophys. Res. Atmos. 2004, 109, D03104. [Google Scholar] [CrossRef]
- Khosravi, H.; Haydari, E.; Shekoohizadegan, S.; Zareie, S. Assessment the Effect of Drought on Vegetation in Desert Area using Landsat Data. Egypt. J. Remote Sens. Space Sci. 2017, 20, S3–S12. [Google Scholar] [CrossRef]
- Tang, L.; He, M.; Li, X. Verification of Fractional Vegetation Coverage and NDVI of Desert Vegetation via UAVRS Technology. Remote Sens. 2020, 12, 1742. [Google Scholar] [CrossRef]
- Kang, E.; Cheng, G.; Lan, Y.; Jin, H. A model for simulating the response of runoff from the mountainous watersheds of inland river basins in the arid area of northwest China to climatic changes. Sci. China Ser. D Earth Sci. 1999, 42, 52–63. [Google Scholar] [CrossRef]
- Chen, Y.; Li, Z.; Fan, Y.; Wang, H.; Deng, H. Progress and prospects of climate change impacts on hydrology in the arid region of northwest China. Environ. Res. 2015, 139, 11–19. [Google Scholar] [CrossRef]
- Kar, R.; Bajpai, R.; Singh, A. Modern pollen assemblages from Hamtah and Chhatru glaciers, Lahaul-Spiti, India: Implications for pollen–vegetation relationship in an alpine arid region of western Himalaya. Quat. Int. 2015, 371, 102–110. [Google Scholar] [CrossRef]
- Xin, J.; Sun, X.; Liu, L.; Li, H.; Liu, X.; Li, X.; Cheng, L.; Xu, Z. Quantifying the contribution of climate and underlying surface changes to alpine runoff alterations associated with glacier melting. Hydrol. Process. 2021, 35, e14069. [Google Scholar] [CrossRef]
- Amantai, N.; Ding, J. Analysis on the Spatio-Temporal Changes of LST and Its Influencing Factors Based on VIC Model in the Arid Region from 1960 to 2017: An Example of the Ebinur Lake Watershed, Xinjiang, China. Remote Sens. 2021, 13, 4867. [Google Scholar] [CrossRef]
- Xu, L.-J.; Fan, X.-C.; Wang, W.-Q.; Xu, L.; Duan, Y.-L.; Shi, R.-J. Renewable and sustainable energy of Xinjiang and development strategy of node areas in the “Silk Road Economic Belt”. Renew. Sustain. Energy Rev. 2017, 79, 274–285. [Google Scholar] [CrossRef]
- Zhang, L.; Peng, X. Environmental Efficiency of Node Cities in Chinese Section of Silk Road Economic Zone and Its Influencing Factors. Discret. Dyn. Nat. Soc. 2021, 2021, 1–9. [Google Scholar] [CrossRef]
- Liu, S.; Wang, F.; Xie, Y.; Xu, C.; Xue, Y.; Yue, X.; Wang, L. Quantifying the Artificial Reduction of Glacial Ice Melt in a Mountain Glacier (Urumqi Glacier No. 1, Tien Shan, China). Remote Sens. 2022, 14, 2802. [Google Scholar] [CrossRef]
- Zheng, Z.; Hong, S.; Deng, H.; Li, Z.; Jin, S.; Chen, X.; Gao, L.; Chen, Y.; Liu, M.; Luo, P. Impact of Elevation-Dependent Warming on Runoff Changes in the Headwater Region of Urumqi River Basin. Remote Sens. 2022, 14, 1780. [Google Scholar] [CrossRef]
- Zhu, L.; Meng, J.; Zhu, L. Applying Geodetector to disentangle the contributions of natural and anthropogenic factors to NDVI variations in the middle reaches of the Heihe River Basin. Ecol. Indic. 2020, 117, 106545. [Google Scholar] [CrossRef]













| Significance Level | Z Value | Trend of FVC | Area (km2) | Percentage (%) |
|---|---|---|---|---|
| ≥0.0005 | ≥1.96 | Significant increase | 1738.59 | 26.15 |
| ≥0.0005 | −1.96 to 1.96 | Slight increase | 2419.39 | 36.39 |
| −0.0005 to 0.0005 | −1.96 to 1.96 | Stable | 376.31 | 5.66 |
| Less than −0.0005 | −1.96 to 1.96 | Slight decrease | 1790.44 | 26.93 |
| Less than −0.0005 | Less than −1.96 | Decrease | 323.78 | 4.87 |
Publisher’s Note: MDPI stays neutral with regard to jurisdictional claims in published maps and institutional affiliations. |
© 2022 by the authors. Licensee MDPI, Basel, Switzerland. This article is an open access article distributed under the terms and conditions of the Creative Commons Attribution (CC BY) license (https://creativecommons.org/licenses/by/4.0/).
Share and Cite
Mamattursun, A.; Yang, H.; Ablikim, K.; Obulhasan, N. Spatiotemporal Evolution and Driving Forces of Vegetation Cover in the Urumqi River Basin. Int. J. Environ. Res. Public Health 2022, 19, 15323. https://doi.org/10.3390/ijerph192215323
Mamattursun A, Yang H, Ablikim K, Obulhasan N. Spatiotemporal Evolution and Driving Forces of Vegetation Cover in the Urumqi River Basin. International Journal of Environmental Research and Public Health. 2022; 19(22):15323. https://doi.org/10.3390/ijerph192215323
Chicago/Turabian StyleMamattursun, Azimatjan, Han Yang, Kamila Ablikim, and Nurbiya Obulhasan. 2022. "Spatiotemporal Evolution and Driving Forces of Vegetation Cover in the Urumqi River Basin" International Journal of Environmental Research and Public Health 19, no. 22: 15323. https://doi.org/10.3390/ijerph192215323
APA StyleMamattursun, A., Yang, H., Ablikim, K., & Obulhasan, N. (2022). Spatiotemporal Evolution and Driving Forces of Vegetation Cover in the Urumqi River Basin. International Journal of Environmental Research and Public Health, 19(22), 15323. https://doi.org/10.3390/ijerph192215323
