The Influence of Short-Term Heavy Rainfall on Hydraulic Characteristics and Rill Formation in the Yuanmou Dry-Hot Valley
Abstract
1. Introduction
2. Materials and Methods
2.1. Study Area
2.2. Experimental Design
2.3. Data Calculation
2.4. Measurements of Runoff, Sediment, Flow Velocity, and Rill Development
2.5. Data Analysis
3. Results and Analysis
3.1. Runoff Development
3.2. Rill Development
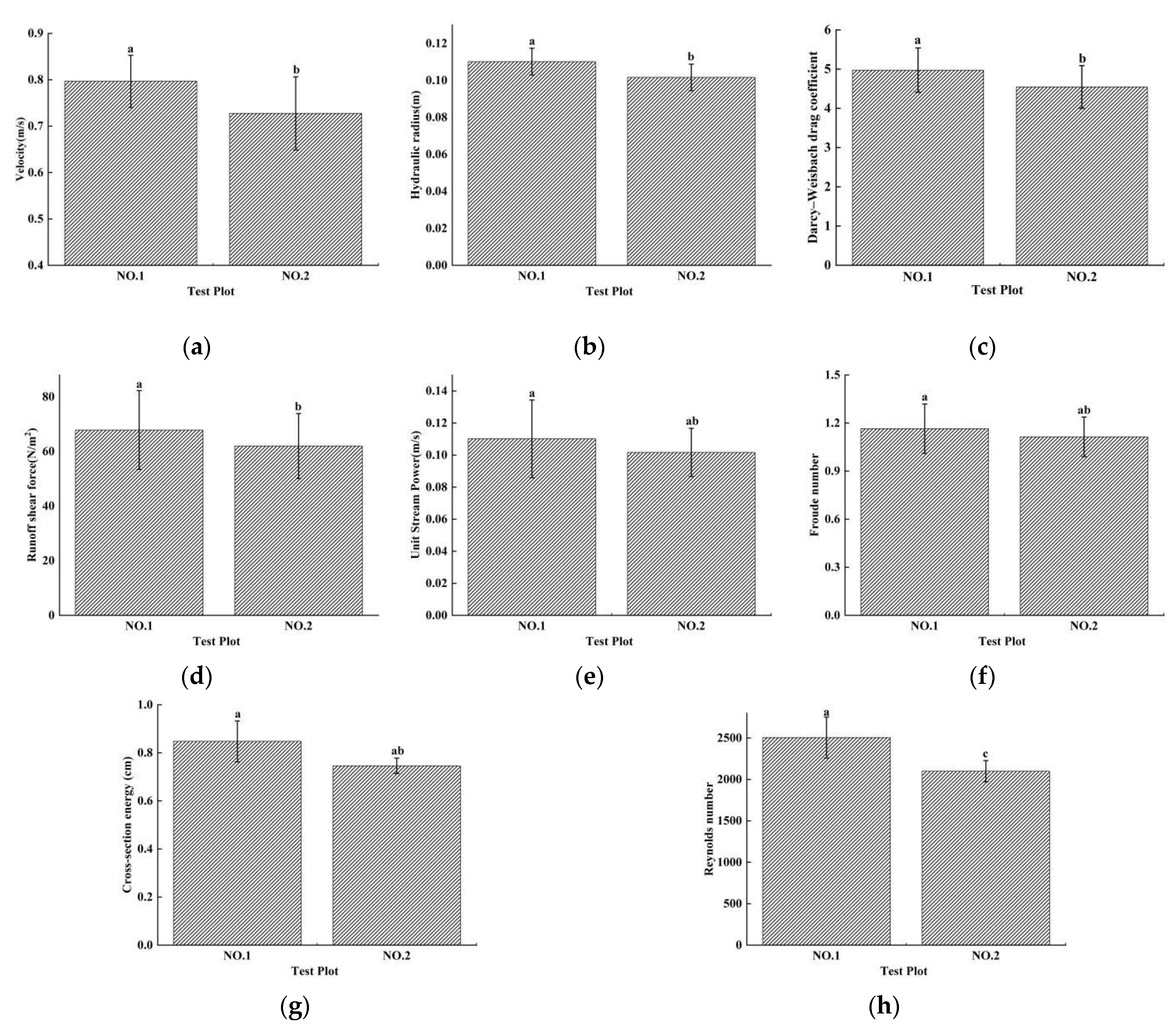
3.3. Flow Hydrodynamic Characteristics
3.4. Sediment Content
3.5. Correlations between Soil Erosion and Flow Hydrodynamics
4. Discussion
4.1. The Impact of Short-Term Heavy Rainfall on Rill Morphological Characteristics and Flow Hydrodynamics
4.1.1. Runoff and Rill Morphological Characteristics
4.1.2. Flow Hydrodynamics
4.2. Flow Hydrodynamics and Sediment Content
5. Conclusions
Author Contributions
Funding
Institutional Review Board Statement
Informed Consent Statement
Acknowledgments
Conflicts of Interest
References
- El-Ramady, H.R. Integrated Nutrient Management and Postharvest of Crops. In Sustainable Agriculture Reviews; Lichtfouse, E., Ed.; Springer International Publishing: Cham, Switzerland, 2014; Volume 13, pp. 163–274. [Google Scholar]
- El-Ramady, H.R.; Alshaal, T.A.; Amer, M.; Domokos-Szabolcsy, É.; Elhawat, N.; Prokisch, J.; Fári, M. Soil Quality and Plant Nutrition. In Sustainable Agriculture Reviews 14: Agroecology and Global Change; Ozier-Lafontaine, H., Lesueur-Jannoyer, M., Eds.; Springer International Publishing: Cham, Switzerland, 2014; pp. 345–447. [Google Scholar]
- García-Tejero, I.F.; Durán-Zuazo, V.H.; Muriel-Fernández, J.L.; Rodríguez-Pleguezuelo, C.R. (Eds.) Water and Sustainable Agriculture; Springer: Dordrecht, The Netherlands, 2011; pp. 1–94. [Google Scholar]
- Xiao, P.; Yao, W.; Shen, Z.; Yang, C.; Lyu, X.; Jiao, P. Effects of shrub on runoff and soil loss at loess slopes under simulated rainfall. Chin. Geogr. Sci. 2017, 27, 589–599. [Google Scholar] [CrossRef]
- Fang, G.; Yuan, T.; Zhang, Y.; Wen, X.; Lin, R. Integrated study on soil erosion using RUSLE and GIS in Yangtze River Basin of Jiangsu Province (China). Arab. J. Geosci. 2019, 12, 173. [Google Scholar] [CrossRef]
- Sun, L.; Fang, H.; Cai, Q.; Yang, X.; He, J.; Zhou, J.L.; Wang, X. Sediment load change with erosion processes under simulated rainfall events. J. Geogr. Sci. 2019, 29, 1001–1020. [Google Scholar] [CrossRef]
- Akbari, A.; Sedaei, L.; Naderi, M.; Samah, A.A.; Sedaei, N. The application of the Water Erosion Prediction Project (WEPP) model for the estimation of runoff and sediment on a monthly time resolution. Environ. Earth Sci. 2015, 74, 5827–5837. [Google Scholar] [CrossRef]
- Zhang, L.T.; Gao, Z.L.; Li, Z.B.; Tian, H.W. Downslope runoff and erosion response of typical engineered landform to variable inflow rate patterns from upslope. Nat. Hazards 2016, 80, 775–796. [Google Scholar] [CrossRef]
- Govers, G.; Giménez, R.; Van Oost, K. Rill erosion: Exploring the relationship between experiments, modelling and field observations. Earth-Sci. Rev. 2007, 84, 87–102. [Google Scholar] [CrossRef]
- Qin, C.; Zheng, F.; Xu, X.; Wu, H.; Shen, H. A laboratory study on rill network development and morphological characteristics on loessial hillslope. J. Soils Sediments 2018, 18, 1679–1690. [Google Scholar] [CrossRef]
- Zhang, P.; Yao, W.; Liu, G.; Xiao, P. Experimental study on soil erosion prediction model of loess slope based on rill morphology. Catena 2019, 173, 424–432. [Google Scholar] [CrossRef]
- Shen, H.-O.; Wen, L.-L.; He, Y.-F.; Hu, W.; Li, H.-L.; Che, X.-C.; Li, X. Rainfall and inflow effects on soil erosion for hillslopes dominated by sheet erosion or rill erosion in the Chinese Mollisol region. J. Mt. Sci. 2018, 15, 2182–2191. [Google Scholar] [CrossRef]
- Sun, L.; Fang, H.; Qi, D.; Li, J.; Cai, Q. A review on rill erosion process and its influencing factors. Chin. Geogr. Sci. 2013, 23, 389–402. [Google Scholar] [CrossRef]
- Gessesse, G.D.; Mansberger, R.; Klik, A. Assessment of rill erosion development during erosive storms at Angereb watershed, Lake Tana sub-basin in Ethiopia. J. Mt. Sci. 2015, 12, 49–59. [Google Scholar] [CrossRef]
- Wang, H.; Zhang, C.; Yao, X.; Yun, W.; Ma, J.; Gao, L.; Li, P. Scenario simulation of the tradeoff between ecological land and farmland in black soil region of Northeast China. Land Use Policy 2022, 114, 105991. [Google Scholar] [CrossRef]
- Reubens, B.; Poesen, J.; Danjon, F.; Geudens, G.; Muys, B. The role of fine and coarse roots in shallow slope stability and soil erosion control with a focus on root system architecture: A review. Trees 2007, 21, 385–402. [Google Scholar] [CrossRef]
- Wang, H.; Yang, S.; Wang, Y.; Gu, Z.; Xiong, S.; Huang, X.; Sun, M.; Zhang, S.; Guo, L.; Cui, J.; et al. Rates and causes of black soil erosion in Northeast China. Catena 2022, 214, 106250. [Google Scholar] [CrossRef]
- Burg, D.; Malkinson, D.; Katriel, G.; Wittenberg, L. Modeling the dynamics of soil erosion and vegetative control—Catastrophe and hysteresis. Theor. Ecol. 2015, 8, 67–79. [Google Scholar] [CrossRef]
- Grigor’Ev, V.Y. Semi-empirical model of the rill erosion of soils. Eurasian Soil Sci. 2007, 40, 1217–1226. [Google Scholar] [CrossRef]
- Fu, B.; Wang, Y.; Xu, P.; Yan, K. Assessment of the performance of WEPP in purple soil area with simulated rainfall experiments. J. Mt. Sci. 2012, 9, 570–579. [Google Scholar] [CrossRef]
- Bennett, S.J.; Gordon, L.M.; Neroni, V.; Wells, R.R. Emergence, persistence, and organization of rill networks on a soil-mantled experimental landscape. Nat. Hazards 2015, 79, 7–24. [Google Scholar] [CrossRef]
- Zhang, Q.; Fan, J.; Zhang, X. Effects of simulated wind followed by rain on runoff and sediment yield from a sandy loessial soil with rills. J. Soils Sediments 2016, 16, 2306–2315. [Google Scholar] [CrossRef]
- Jiang, Y.; Zheng, F.; Wen, L.; Shen, H.-O. Effects of sheet and rill erosion on soil aggregates and organic carbon losses for a Mollisol hillslope under rainfall simulation. J. Soils Sediments 2019, 19, 467–477. [Google Scholar] [CrossRef]
- Dubey, P.K.; Singh, G.S.; Abhilash, P.C. (Eds.) Resource Conserving and Innovative Practices for Agricultural Sustainability. In Adaptive Agricultural Practices: Building Resilience in a Changing Climate; Springer International Publishing: Cham, Switzerland, 2020; pp. 63–92. [Google Scholar]
- Shrestha, S.; Imbulana, N.; Piman, T.; Chonwattana, S.; Ninsawat, S.; Babur, M. Multimodelling approach to the assessment of climate change impacts on hydrology and river morphology in the Chindwin River Basin, Myanmar. Catena 2020, 188, 104464. [Google Scholar] [CrossRef]
- McDowell, F.P.; James, L.A. 9.15—Fluvial System Responses to Climate Change: History, Research and Theory. In Treatise on Geomorphology, 2nd ed.; Shroder, J.J.F., Ed.; Academic Press: Oxford, UK, 2022; pp. 340–371. [Google Scholar]
- Sun, L.; Zhang, B.; Yin, Z.; Guo, H.; Siddique, K.H.; Wu, S.; Yang, J. Assessing the performance of conservation measures for controlling slope runoff and erosion using field scouring experiments. Agric. Water Manag. 2022, 259, 107212. [Google Scholar] [CrossRef]
- Chen, T.; Shu, J.; Han, L.; Tian, G.; Yang, G.; Lv, J. Modeling the effects of topography and slope gradient of an artificially formed slope on runoff, sediment yield, water and soil loss of sandy soil. Catena 2022, 212, 106060. [Google Scholar] [CrossRef]
- Marcinkowski, P.; Szporak-Wasilewska, S.; Kardel, I. Assessment of soil erosion under long-term projections of climate change in Poland. J. Hydrol. 2022, 607, 127468. [Google Scholar] [CrossRef]
- Carating, R.B.; Galanta, R.G.; Bacatio, C.D. (Eds.) Soils and the Philippine Economy. In The Soils of the Philippines; Springer: Dordrecht, The Netherlands, 2014; pp. 187–271. [Google Scholar]
- Guo, Z.; Ma, M.; Cai, C.; Wu, Y. Combined effects of simulated rainfall and overland flow on sediment and solute transport in hillslope erosion. J. Soils Sediments 2018, 18, 1120–1132. [Google Scholar] [CrossRef]
- Shen, H.-O.; Zheng, F.-L.; Wang, L.; Wen, L.-L. Effects of rainfall intensity and topography on rill development and rill characteristics on loessial hillslopes in China. J. Mt. Sci. 2019, 16, 2299–2307. [Google Scholar] [CrossRef]
- Wu, S.; Wu, P.; Feng, H.; Merkley, G.P. Effects of alfalfa coverage on runoff, erosion and hydraulic characteristics of overland flow on loess slope plots. Front. Environ. Sci. Eng. China 2011, 5, 76–83. [Google Scholar] [CrossRef]
- Kim, Y.; Lee, G.; An, H.; Yang, J.E. Uncertainty assessment of soil erosion model using particle filtering. J. Mt. Sci. 2015, 12, 828–840. [Google Scholar] [CrossRef]
- Zhang, S.; Huffman, T.; Zhang, X.; Liu, W.; Liu, Z. Spatial distribution of soil nutrient at depth in black soil of Northeast China: A case study of soil available phosphorus and total phosphorus. J. Soils Sediments 2014, 14, 1775–1789. [Google Scholar] [CrossRef]
- Zhou, Y.; Guo, B.; Wang, S.; Tao, H. An estimation method of soil wind erosion in Inner Mongolia of China based on geographic information system and remote sensing. J. Arid. Land 2015, 7, 304–317. [Google Scholar] [CrossRef]
- Imamoglu, A.; Dengiz, O. Determination of soil erosion risk using RUSLE model and soil organic carbon loss in Alaca catchment (Central Black Sea region, Turkey). Rend. Lince 2017, 28, 11–23. [Google Scholar] [CrossRef]
- Wang, D.; Fan, H.; Fan, X. Distributions of recent gullies on hillslopes with different slopes and aspects in the Black Soil Region of Northeast China. Environ. Monit. Assess. 2017, 189, 508. [Google Scholar] [CrossRef] [PubMed]
- Onet, A.; Dincă, L.C.; Grenni, P.; Laslo, V.; Teusdea, A.C.; Vasile, D.L.; Enescu, R.E.; Crisan, V.E. Biological indicators for evaluating soil quality improvement in a soil degraded by erosion processes. J. Soils Sediments 2019, 19, 2393–2404. [Google Scholar] [CrossRef]
- Chen, T.; Cui, P.; Chen, X. Prediction of soil erosion on different underlaying surface in construction period of Xichang to Panzhihua expressway. Wuhan Univ. J. Nat. Sci. 2007, 12, 699–704. [Google Scholar] [CrossRef]
- Samani, A.N.; Wasson, R.J.; Rahdari, M.R.; Moeini, A. Quantifying eroding head cut detachment through flume experiments and hydraulic thresholds analysis. Environ. Earth Sci. 2016, 75, 1424. [Google Scholar] [CrossRef]
- Zheng, H.; Liu, Z.; Zuo, J.; Wang, L.; Nie, X. Characteristics of Nitrogen Loss through Surface-Subsurface Flow on Red Soil Slopes of Southeast China. Eurasian Soil Sci. 2017, 50, 1506–1514. [Google Scholar] [CrossRef]
- Du, J.; Luo, Y.; Zhang, W.; Xu, C.; Wei, C. Major element geochemistry of purple soils/rocks in the red Sichuan Basin, China: Implications of their diagenesis and pedogenesis. Environ. Earth Sci. 2013, 69, 1831–1844. [Google Scholar] [CrossRef]
- Xiao, Y.; Tang, J.-L.; Wang, M.-K.; Zhai, L.-B.; Zhang, X.-F. Impacts of soil properties on phosphorus adsorption and fractions in purple soils. J. Mt. Sci. 2017, 14, 2420–2431. [Google Scholar] [CrossRef]
- Bai, L.; Shi, P.; Li, Z.; Li, P.; Zhao, Z.; Dong, J.; Cui, L. Grass coverage and the runoff path length decreased by sedimentation have synergistic effects on runoff and sediment yields in a slope-gully system, revealed by rainfall simulation experiments. Catena 2022, 218, 106577. [Google Scholar] [CrossRef]
- Wang, L.; Zhang, G.; Zhu, P.; Xing, S.; Wang, C. Soil C, N and P contents and their stoichiometry as affected by typical plant communities on steep gully slopes of the Loess Plateau, China. Catena 2022, 208, 105740. [Google Scholar] [CrossRef]
- Zhang, Q.-W.; Wang, H.; Wang, J. Biocrusts and subshrub development and soil water through a slope-gully system in a vegetation-restored site on the Loess Plateau of China. Catena 2022, 216, 106344. [Google Scholar] [CrossRef]
- Wu, Y.; Cheng, H. Monitoring of gully erosion on the Loess Plateau of China using a global positioning system. Catena 2005, 63, 154–166. [Google Scholar] [CrossRef]
- Guo, M.; Wang, W.; Li, J.; Bai, Y.; Kang, H.; Yang, B. Runoff characteristics and soil erosion dynamic processes on four typical engineered landforms of coalfields: An in-situ simulated rainfall experimental study. Geomorphology 2020, 349, 106896. [Google Scholar] [CrossRef]
- Anderson, R.L.; Rowntree, K.M.; Le Roux, J.J. An interrogation of research on the influence of rainfall on gully erosion. Catena 2021, 206, 105482. [Google Scholar] [CrossRef]
- Huang, D.; Su, L.; Zhou, L.; Fan, H. Gully is the dominant sediment source of snowmelt erosion in the black soil region—A case study. Soil Tillage Res. 2022, 215, 105232. [Google Scholar] [CrossRef]
- Wang, Z.; Liu, B.; Wang, X.; Gao, X.; Liu, G. Erosion effect on the productivity of black soil in Northeast China. Sci. China Ser. D Earth Sci. 2009, 52, 1005–1021. [Google Scholar] [CrossRef]
- Zhang, M.; Hou, R.; Li, T.; Fu, Q.; Zhang, S.; Su, A.; Xue, P.; Yang, X. Study of soil nitrogen cycling processes based on the 15N isotope tracking technique in the black soil areas. J. Clean. Prod. 2022, 375, 134173. [Google Scholar] [CrossRef]
- Chen, S.; Zhang, G.; Zhu, P.; Wang, C.; Wan, Y. Impact of slope position on soil erodibility indicators in rolling hill regions of northeast China. Catena 2022, 217, 106475. [Google Scholar] [CrossRef]
- Wang, G.-Y.; Liu, Y.-H.; Wang, X.-H. Experimental Investigation of Hydrodynamic Characteristics of Overland Flow with Geocell. J. Hydrodyn. 2012, 24, 737–743. [Google Scholar] [CrossRef]
- Xu, G.; Chen, C.; Shen, C.; Zhou, H.; Wang, X.; Cheng, T.; Shang, J. Hydrogen peroxide and high-temperature heating differently alter the stability and aggregation of black soil colloids. Chemosphere 2022, 287, 132018. [Google Scholar] [CrossRef]
- Yang, Y.; Wu, X.; He, T.; Wang, Y.; Wendroth, O.; Chen, X.; Liu, B.; Zhang, G. Factors controlling saturated hydraulic conductivity along a typical black soil slope. Soil Tillage Res. 2022, 220, 105391. [Google Scholar] [CrossRef]
- Zhang, J.; Shi, D.; Jin, H.; Li, H.; Jiang, N.; Ye, Q. Characteristics of cultivated layer soil shear strength for sloping farmland in response to soil erosion in the Three Gorges Reservoir Area, China. Catena 2022, 215, 106304. [Google Scholar] [CrossRef]
- Ludwig, B.; Boiffin, J.; Chaduf, J.; Auzet, A.-V. Hydrological structure and erosion damage caused by concentrated flow in cultivated catchments. Catena 1995, 25, 227–252. [Google Scholar] [CrossRef]
- Wang, B.; Zheng, F.; Römkens, M.J.; Darboux, F. Soil erodibility for water erosion: A perspective and Chinese experiences. Geomorphology 2013, 187, 1–10. [Google Scholar] [CrossRef]
- Lin, C.; Pastor, M.; Li, T.; Liu, X.; Qi, H.; Lin, C. A SPH two-layer depth-integrated model for landslide-generated waves in reservoirs: Application to Halaowo in Jinsha River (China). Landslides 2019, 16, 2167–2185. [Google Scholar] [CrossRef]
- Sun, X.; Chen, J.; Han, X.; Bao, Y.; Zhan, J.; Peng, W. Application of a GIS-based slope unit method for landslide susceptibility mapping along the rapidly uplifting section of the upper Jinsha River, South-Western China. Bull. Eng. Geol. Environ. 2019, 79, 533–549. [Google Scholar] [CrossRef]
- Jiang, L.; Yao, Z.; Liu, Z.; Wu, S.; Wang, R.; Wang, L. Estimation of soil erosion in some sections of Lower Jinsha River based on RUSLE. Nat. Hazards 2015, 76, 1831–1847. [Google Scholar] [CrossRef]
- Huang, X.-R.; Gao, L.-Y.; Yang, P.-P.; Xi, Y.-Y. Cumulative impact of dam constructions on streamflow and sediment regime in lower reaches of the Jinsha River, China. J. Mt. Sci. 2018, 15, 2752–2765. [Google Scholar] [CrossRef]
- Lu, C.-H.; Dong, X.-Y.; Tang, J.-L.; Liu, G.-C. Spatio-temporal trends and causes of variations in runoff and sediment load of the Jinsha River in China. J. Mt. Sci. 2019, 16, 2361–2378. [Google Scholar] [CrossRef]
- Chen, X.; Liu, X.; Peng, W.; Dong, F.; Chen, Q.; Sun, Y.; Wang, R. Hydroclimatic influence on the salinity and water volume of a plateau lake in southwest China. Sci. Total Environ. 2019, 659, 746–755. [Google Scholar] [CrossRef]
- Ran, H.; Deng, Q.; Zhang, B.; Liu, H.; Wang, L.; Luo, M.; Qin, F. Morphology and influencing factors of rills in the steep slope in Yuanmou Dry-Hot Valley (SW China). Catena 2018, 165, 54–62. [Google Scholar] [CrossRef]
- Shen, T.; Wang, Y.; Huang, Z.; Li, J.; Zhang, X.; Cao, W.; Gu, J. Formation mechanism and movement processes of the Aizigou paleolandslide, Jinsha River, China. Landslides 2019, 16, 409–424. [Google Scholar] [CrossRef]
- Wang, N.; Ding, L.; Liu, G.; Deng, Q.; Liu, H.; Wang, J.; Lv, W.; Luo, J.; Du, Z.; Zhang, B. Variation of rill cross-sections with gravel and aggregating soil in the Dry-Hot Valley (SW China). Model. Earth Syst. Environ. 2019, 5, 1239–1252. [Google Scholar] [CrossRef]
- Tian, P.; Xu, X.; Pan, C.; Hsu, K.; Yang, T. Impacts of rainfall and inflow on rill formation and erosion processes on steep hillslopes. J. Hydrol. 2017, 548, 24–39. [Google Scholar] [CrossRef]
- Aksoy, H.; Gedikli, A.; Unal, N.E.; Yilmaz, M.; Eris, E.; Yoon, J.; Tayfur, G. Rainfall-Runoff Model Considering Microtopography Simulated in a Laboratory Erosion Flume. Water Resour. Manag. 2016, 30, 5609–5624. [Google Scholar] [CrossRef]
- Mai, V.T.; van Keulen, H.; Hessel, R.; Ritsema, C.; Roetter, R.; Phien, T. Influence of paddy rice terraces on soil erosion of a small watershed in a hilly area of Northern Vietnam. Paddy Water Environ. 2013, 11, 285–298. [Google Scholar] [CrossRef]
- Wen, L.; Zheng, F.; Shen, H.; Bian, F.; Jiang, Y. Rainfall intensity and inflow rate effects on hillslope soil erosion in the Mollisol region of Northeast China. Nat. Hazards 2015, 79, 381–395. [Google Scholar] [CrossRef]
- Wang, L.; Wang, R. Determination of soil pH from Vis-NIR spectroscopy by extreme learning machine and variable selection: A case study in lime concretion black soil. Spectrochim. Acta Part A Mol. Biomol. Spectrosc. 2022, 283, 121707. [Google Scholar] [CrossRef]
- Ozan, A.Y. Flow structure at the downstream of a one-line riparian emergent tree along the floodplain edge in a compound open-channel flow. J. Hydrodyn. 2018, 30, 470–480. [Google Scholar] [CrossRef]
- Zeng, Y.-H.; Wang, Y.-H.; Huai, W.-X. Hydraulic calculation of steady uniform flows in trapezoidal compound open channels. Appl. Math. Mech. 2010, 31, 947–954. [Google Scholar] [CrossRef]
- Singh, R.K.; Panda, R.K.; Satapathy, K.K.; Ngachan, S.V. Runoff and Sediment Yield Modelling for a Treated Hilly Watershed in Eastern Himalaya Using the Water Erosion Prediction Project Model. Water Resour. Manag. 2012, 26, 643–665. [Google Scholar] [CrossRef]
- Luo, H.; Rong, Y.; Lv, J.; Xie, Y. Runoff erosion processes on artificially constructed conically-shaped overburdened stockpiles with different gravel contents: Laboratory experiments with simulated rainfall. Catena 2019, 175, 93–100. [Google Scholar] [CrossRef]












| Parameters | CS (g/cm3) | V (m/s) | Re | R (m) | Fr | τ (N/m2) | P (m/s) | ε (cm) |
|---|---|---|---|---|---|---|---|---|
| No. 1 plot (16.67 mm/min) | ||||||||
| V | 0.069 | |||||||
| Re | −0.735 * | 0.525 | ||||||
| R | 0.071 | 1.000 ** | 0.525 | |||||
| Fr | 0.183 | −0.091 | −0.328 | −0.091 | ||||
| τ | −0.863 ** | 0.248 | 0.921 ** | 0.249 | −0.432 | |||
| P | 0.071 | 1.000 ** | 0.525 | 1.000 ** | −0.091 | 0.249 | ||
| ε | 0.599 | 0.747 * | 0.912 ** | 0.747 * | −0.254 | 0.801 * | 0.747 * | |
| DW-f | −0.863 ** | 0.248 | 0.921 ** | 0.249 | −0.432 | 1.000 ** | 0.249 | 0.801 * |
| No. 2 plot (10 mm/min) | ||||||||
| V | 0.814 * | |||||||
| Re | 0.335 | 0.404 | ||||||
| R | 0.811 * | 1.000 ** | 0.410 | |||||
| Fr | 0.309 | 0.052 | 0.042 | 0.052 | ||||
| τ | −0.571 | −0.269 | 0.040 | −0.268 | −0.507 | |||
| P | 0.811 * | 0.410 | 0.410 | 1.000 ** | 0.052 | −0.268 | ||
| ε | 0.164 | 0.200 | 0.756 * | 0.204 | −0.294 | 0.390 | 0.204 | |
| DW-f | −0.571 | −0.269 | 0.040 | −0.268 | −0.507 | 1.000 ** | 0.390 | −0.573 |
| Parameters | V | R | Re | Fr | DW-f | τ | P | ε |
|---|---|---|---|---|---|---|---|---|
| r | 0.264 ** | 0.155 * | 0.230 ** | 0.039 | 0.155 * | 0.155 * | 0.152 * | 0.210 ** |
| p | 0.001 | 0.017 | 0.001 | 0.548 | 0.017 | 0.017 | 0.02 | 0.001 |
Publisher’s Note: MDPI stays neutral with regard to jurisdictional claims in published maps and institutional affiliations. |
© 2022 by the authors. Licensee MDPI, Basel, Switzerland. This article is an open access article distributed under the terms and conditions of the Creative Commons Attribution (CC BY) license (https://creativecommons.org/licenses/by/4.0/).
Share and Cite
Luo, J.; Ma, X.; Wang, L.; Zhang, B.; Yang, X.; Yue, T. The Influence of Short-Term Heavy Rainfall on Hydraulic Characteristics and Rill Formation in the Yuanmou Dry-Hot Valley. Int. J. Environ. Res. Public Health 2022, 19, 15232. https://doi.org/10.3390/ijerph192215232
Luo J, Ma X, Wang L, Zhang B, Yang X, Yue T. The Influence of Short-Term Heavy Rainfall on Hydraulic Characteristics and Rill Formation in the Yuanmou Dry-Hot Valley. International Journal of Environmental Research and Public Health. 2022; 19(22):15232. https://doi.org/10.3390/ijerph192215232
Chicago/Turabian StyleLuo, Jun, Xueyang Ma, Lei Wang, Bin Zhang, Xiao Yang, and Tianxiang Yue. 2022. "The Influence of Short-Term Heavy Rainfall on Hydraulic Characteristics and Rill Formation in the Yuanmou Dry-Hot Valley" International Journal of Environmental Research and Public Health 19, no. 22: 15232. https://doi.org/10.3390/ijerph192215232
APA StyleLuo, J., Ma, X., Wang, L., Zhang, B., Yang, X., & Yue, T. (2022). The Influence of Short-Term Heavy Rainfall on Hydraulic Characteristics and Rill Formation in the Yuanmou Dry-Hot Valley. International Journal of Environmental Research and Public Health, 19(22), 15232. https://doi.org/10.3390/ijerph192215232

