The Incidence of Falls and Related Factors among Chinese Elderly Community Residents in Six Provinces
Abstract
1. Introduction
2. Materials and Methods
2.1. Participants
2.2. Instrument
2.3. Research Content and Variable Definitions
2.3.1. Falls
2.3.2. Sociodemographic Characteristics
2.3.3. Physical Health
2.3.4. Self-health Management Awareness
2.3.5. Family Support
2.4. Data Analysis
3. Results
3.1. Descriptive Analysis
3.2. Univariate Analysis of Falls and Injuries in the Elderly
3.3. Multivariate Analysis of Falls in the Elderly
3.4. Behavioral Characteristics of Falls in the Elderly
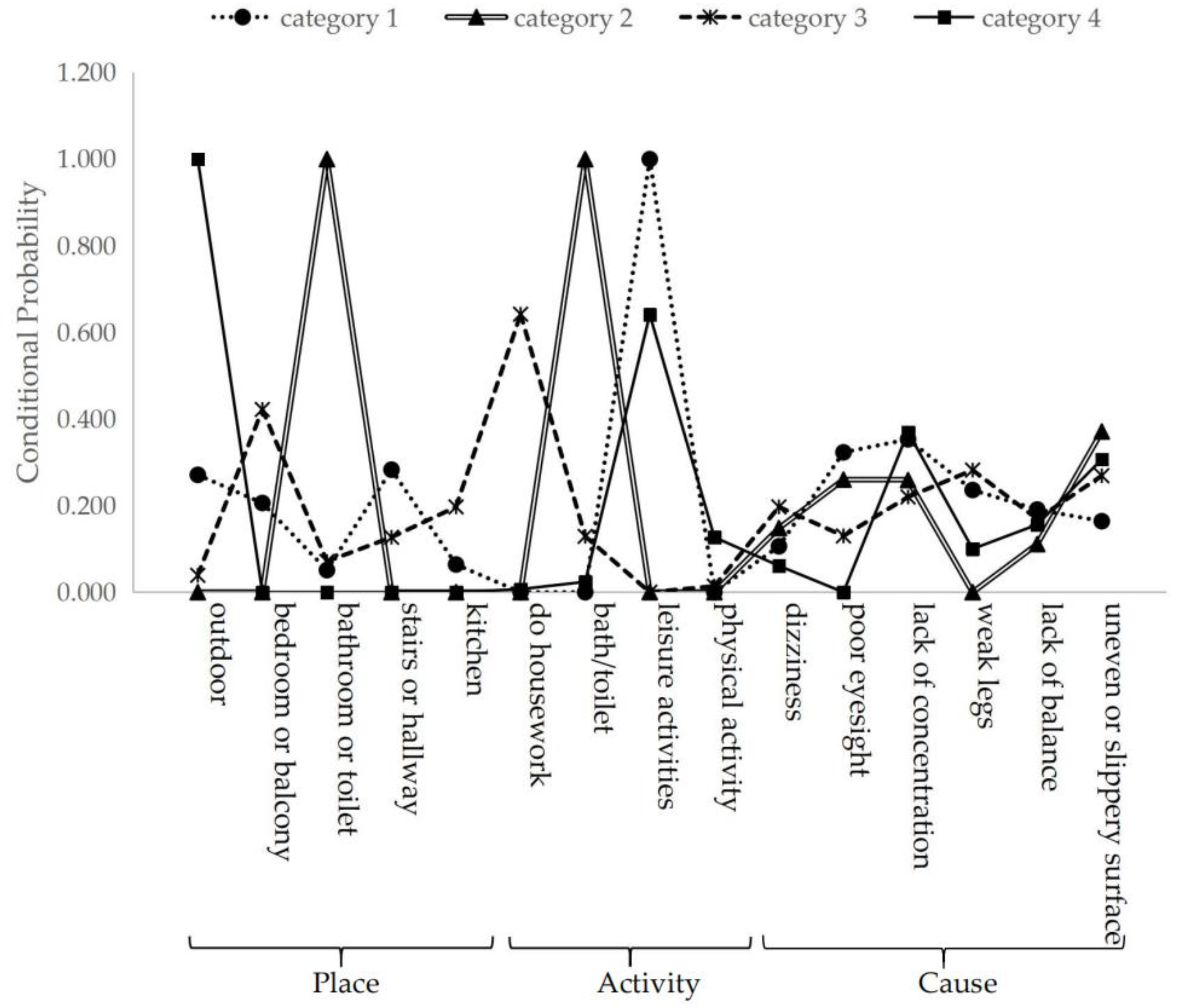
3.5. Analysis of Potential Categories of Falls in the Elderly
4. Discussion
5. Conclusions
Author Contributions
Funding
Institutional Review Board Statement
Informed Consent Statement
Data Availability Statement
Conflicts of Interest
References
- WHO Falls. Available online: https://www.who.int/news-room/fact-sheets/detail/falls (accessed on 18 August 2022).
- Phelan, E.A.; Ritchey, K. Fall prevention in community-dwelling older adults. Ann. Intern. Med. 2018, 169, ITC81–ITC96. [Google Scholar] [CrossRef] [PubMed]
- WHO. WHO Global Report on Falls Prevention in Older Age. Available online: https://www.who.int/publications/i/item/9789241563536 (accessed on 18 August 2022).
- Zhang, K.; Qi, J.; Zuo, P.; Yin, P.; Liu, Y.; Liu, J.; Wang, L.; Li, L. The mortality trends of falls among the elderly adults in the mainland of China, 2013—2020: A population-based study through the National Disease Surveillance Points system. Lancet Reg. Health-West. Pac. 2022, 19, 100336. [Google Scholar] [CrossRef] [PubMed]
- Meyer, M.; Constancias, F.; Vogel, T.; Kaltenbach, G.; Schmitt, E. Gait Disorder among Elderly People, Psychomotor Disadaptation Syndrome: Post-Fall Syndrome, Risk Factors and Follow-Up–A Cohort Study of 70 Patients. Gerontology 2021, 67, 17–24. [Google Scholar] [CrossRef] [PubMed]
- Petersen, N.; König, H.-H.; Hajek, A. The link between falls, social isolation and loneliness: A systematic review. Arch. Gerontol. Geriatr. 2020, 88, 104020. [Google Scholar] [CrossRef]
- Peng, K.; Tian, M.; Andersen, M.; Zhang, J.; Liu, Y.; Wang, Q.; Lindley, R.; Ivers, R. Incidence, risk factors and economic burden of fall-related injuries in older Chinese people: A systematic review. Inj. Prev. 2019, 25, 4–12. [Google Scholar] [CrossRef]
- Kaneda, T.; Bietsch, K. World Population Data Sheet; Population Reference Bureau: Washington, DC, USA, 2015. [Google Scholar]
- Heslop, A.; Gorman, M. Chronic Poverty and Older People in the Developing World; Chronic Poverty Research Center Working Paper No.10; Chronic Poverty Research Center: Manchester, UK, 2002. [Google Scholar] [CrossRef]
- Khow, K.S.; Visvanathan, R. Falls in the aging population. Clin. Geriatr. Med. 2017, 33, 357–368. [Google Scholar] [CrossRef]
- Kalula, S.Z.; Scott, V.; Dowd, A.; Brodrick, K. Falls and fall prevention programmes in developing countries: Environmental scan for the adaptation of the Canadian Falls prevention curriculum for developing countries. J. Saf. Res. 2011, 42, 461–472. [Google Scholar] [CrossRef]
- Qian, X.X.; Chen, Z.; Fong, D.Y.; Ho, M.; Chau, P.H. Post-hospital falls incidence and risk factors among older adults: A systematic review and meta-analysis. Age Ageing 2022, 51, afab209. [Google Scholar] [CrossRef]
- Joseph, A.; Kumar, D.; Bagavandas, M. A review of epidemiology of fall among elderly in India. Indian J. Community Med. 2019, 44, 166. [Google Scholar] [CrossRef]
- Zhang, L.; Zeng, Y.; Weng, C.; Yan, J.; Fang, Y. Epidemiological characteristics and factors influencing falls among elderly adults in long-term care facilities in Xiamen, China. Medicine 2019, 98, e14375. [Google Scholar] [CrossRef]
- Ouyang, P.; Sun, W. The association between depressive symptoms and fall accidents among middle-aged and elderly people in China. Environ. Health Prev. Med. 2018, 23, 42. [Google Scholar] [CrossRef] [PubMed]
- Lee, S.; Oh, E.; Hong, G.-R.S. Comparison of factors associated with fear of falling between older adults with and without a fall history. Int. J. Environ. Res. Public Health 2018, 15, 982. [Google Scholar] [CrossRef] [PubMed]
- Province, M.A.; Hadley, E.C.; Hornbrook, M.C.; Lipsitz, L.A.; Miller, J.P.; Mulrow, C.D.; Ory, M.G.; Sattin, R.W.; Tinetti, M.E.; Wolf, S.L. The effects of exercise on falls in elderly patients: A preplanned meta-analysis of the FICSIT trials. JAMA 1995, 273, 1341–1347. [Google Scholar] [CrossRef] [PubMed]
- Smee, D.J.; Pumpa, K.; Falchi, M.; Lithander, F. The relationship between diet quality and falls risk, physical function and body composition in older adults. J. Nutr. Health Aging 2015, 19, 1037–1042. [Google Scholar] [CrossRef] [PubMed]
- Dolan, H.; Taylor-Piliae, R. Embarrassment experienced by older adults in relation to accidental falls: A concept analysis. Geriatr. Nurs. 2020, 41, 769–775. [Google Scholar] [CrossRef]
- Vincenzo, J.L.; Patton, S.K.; Lefler, L.L.; McElfish, P.A.; Wei, J.; Curran, G.M. A qualitative study of older adults’ facilitators, barriers, and cues to action to engage in falls prevention using health belief model constructs. Arch. Gerontol. Geriatr. 2022, 99, 104610. [Google Scholar] [CrossRef]
- Gambaro, E.; Gramaglia, C.; Azzolina, D.; Campani, D.; Dal Molin, A.; Zeppegno, P. The complex associations between late life depression, fear of falling and risk of falls. a systematic review and meta-analysis. Ageing Res. Rev. 2022, 73, 101532. [Google Scholar] [CrossRef]
- Opsahl, A.G.; Ebright, P.; Cangany, M.; Lowder, M.; Scott, D.; Shaner, T. Outcomes of adding patient and family engagement education to fall prevention bundled interventions. J. Nurs. Care Qual. 2017, 32, 252–258. [Google Scholar] [CrossRef]
- Rondón García, L.M.; Ramírez Navarrro, J.M. The impact of quality of life on the health of older people from a multidimensional perspective. J. Aging Res. 2018, 2018, 4086294. [Google Scholar] [CrossRef]
- Da Silva, I.R.G.; Dias, C.M.D.; da Silva, T.P.; de Nazaré Carvalho, D.; de Lima, F.C.; de Aguiar, V.F.F. Assessment of mobility and risk factors for falls among elderly individuals. Cienc. Cuid. Saude 2020, 19, e48469. [Google Scholar] [CrossRef]
- Iamtrakul, P.; Chayphong, S. Healthy Aging in Home Environment Exposures. GMSARN Int. J. 2021, 15, 175–184. [Google Scholar]
- Worapanwisit, T.; Prabpai, S.; Rosenberg, E. Correlates of falls among community-dwelling elderly in Thailand. J. Aging Res. 2018, 2018, 8546085. [Google Scholar] [CrossRef] [PubMed]
- Bergland, A. Fall risk factors in community-dwelling elderly people. Nor. Epidemiol. 2012, 22, 1–14. [Google Scholar] [CrossRef]
- Zhou, M.; Wang, H.; Zeng, X.; Yin, P.; Zhu, J.; Chen, W.; Li, X.; Wang, L.; Wang, L.; Liu, Y. Mortality, morbidity, and risk factors in China and its provinces, 1990–2017: A systematic analysis for the Global Burden of Disease Study 2017. Lancet 2019, 394, 1145–1158. [Google Scholar] [CrossRef]
- Fu, F.; Liang, Y.; An, Y.; Zhao, F. Self-efficacy and psychological well-being of nursing home residents in China: The mediating role of social engagement. Asia Pac. J. Soc. Work Dev. 2018, 28, 128–140. [Google Scholar] [CrossRef]
- Xie, L. Age-friendly communities and life satisfaction among the elderly in urban China. Res. Aging 2018, 40, 883–905. [Google Scholar] [CrossRef]
- Lu, Z.; Er, Y.; Zhan, Y.; Deng, X.; Jin, Y.; Ye, P.; Duan, L. Association of frailty status with risk of fall among middle-aged and older adults in China: A nationally representative cohort study. J. Nutr. Health Aging 2021, 25, 985–992. [Google Scholar] [CrossRef]
- Zhang, L.; Ding, Z.; Qiu, L.; Li, A. Falls and risk factors of falls for urban and rural community-dwelling older adults in China. BMC Geriatr. 2019, 19, 379. [Google Scholar] [CrossRef]
- Chen, X.; Lin, Z.; Gao, R.; Yang, Y.; Li, L. Prevalence and associated factors of falls among older adults between urban and rural areas of Shantou City, China. Int. J. Environ. Res. Public Health 2021, 18, 7050. [Google Scholar] [CrossRef]
- Zhao, D.; Li, J.; Fu, P.; Hao, W.; Yuan, Y.; Yu, C.; Jing, Z.; Wang, Y.; Zhou, C. What role does activity engagement play in the association between cognitive frailty and falls among older adults? Evidence from rural Shandong, China. Gerontology 2020, 66, 593–602. [Google Scholar] [CrossRef]
- State Council of China. National Disability Prevention Action Plan (2021–2025). Available online: http://www.gov.cn/zhengce/content/2022-01/05/content_5666521.htm (accessed on 18 August 2022).
- Chinese Center for Disease Control and Prevention. Healthy China Action (2019–2030). Available online: https://www.chinacdc.cn/oafg/kpgjoa/202203/t20220325_257978.html (accessed on 18 August 2022).
- Ministry of Health of the People’s Republic of China. Opinions of the National Population and Family Planning Commission on Promoting the Gradual Equalization of Basic Public Health Services. Available online: http://www.gov.cn/ztzl/ygzt/content_1661065.htm (accessed on 18 August 2022).
- Wang, X.L.; Cheng, J.; Guo, C.Y.; Xu, X.R. The implications of childcare on grandparents’ health self-management in a Chinese elderly population. Int. J. Health Plan. Manag. 2020, 35, 280–289. [Google Scholar] [CrossRef] [PubMed]
- Stokes, J.P. Predicting satisfaction with social support from social network structure. Am. J. Community Psychol. 1983, 11, 141. [Google Scholar] [CrossRef]
- Xiao, S.Y. The theoretical basis and research application of “Social Support Rating Scale”. J. Clin. Psychiatry 1994, 4, 98–100. [Google Scholar]
- Zhou, H.; Peng, K.; Tiedemann, A.; Peng, J.; Sherrington, C. Risk factors for falls among older community dwellers in Shenzhen, China. Inj. Prev. 2019, 25, 31–35. [Google Scholar] [CrossRef] [PubMed]
- Franse, C.B.; Rietjens, J.A.; Burdorf, A.; van Grieken, A.; Korfage, I.J.; van der Heide, A.; Raso, F.M.; van Beeck, E.; Raat, H. A prospective study on the variation in falling and fall risk among community-dwelling older citizens in 12 European countries. BMJ Open 2017, 7, e015827. [Google Scholar] [CrossRef]
- Horton, K.; Dickinson, A. The role of culture and diversity in the prevention of falls among older Chinese people. Can. J. Aging/Rev. Can. Vieil. 2011, 30, 57–66. [Google Scholar] [CrossRef]
- Hawker, G.A. Osteoarthritis is a serious disease. Clin. Exp. Rheumatol. 2019, 37 (Suppl. S120), 3–6. [Google Scholar]
- Almada, M.; Brochado, P.; Portela, D.; Midão, L.; Costa, E. Prevalence of Fall and Associated Factors Among Community-Dwelling European Older Adults: A Cross-Sectional Study. J. Frailty Aging 2021, 10, 10–16. [Google Scholar] [CrossRef]
- Deng, Z.H.; Xu, J.; Long, L.J.; Chen, F.; Chen, K.; Lu, W.; Wang, D.P.; Peng, L.Q. Association between hip and knee osteoarthritis with falls: A systematic review and meta-analysis. Int. J. Clin. Pract. 2021, 75, e14537. [Google Scholar] [CrossRef]
- Chantanachai, T.; Taylor, M.E.; Lord, S.R.; Menant, J.; Delbaere, K.; Sachdev, P.S.; Kochan, N.A.; Brodaty, H.; Sturnieks, D.L. Risk factors for falls in community-dwelling older people with mild cognitive impairment: A prospective one-year study. PeerJ 2022, 10, e13484. [Google Scholar] [CrossRef]
- Kang, L.; Chen, X.; Han, P.; Ma, Y.; Jia, L.; Fu, L.; Yu, H.; Wang, L.; Hou, L.; Yu, X. A screening tool using five risk factors was developed for fall-risk prediction in Chinese community-dwelling elderly individuals. Rejuvenation Res. 2018, 21, 416–422. [Google Scholar] [CrossRef] [PubMed]
- Luo, Y.; Miyawaki, C.; Valimaki, M.; Tang, S.; Sun, H.; Liu, M. Symptoms of Anxiety and Depression Predicting Fall-Related Outcomes Among Older Americans: A Longitudinal Study. BMC Geriatr. 2022, 22, 749. [Google Scholar] [CrossRef] [PubMed]
- Pena, S.B.; Guimarães, H.C.Q.C.P.; Lopes, J.L.; Guandalini, L.S.; Taminato, M.; Barbosa, D.A.; Barros, A.L.B.L.d. Fear of falling and risk of falling: A systematic review and meta-analysis. Acta Paul. Enferm. 2019, 32, 456–463. [Google Scholar] [CrossRef]
- Lohman, M.C.; Fairchild, A.J.; Merchant, A.T. Antidepressant use partially mediates the association between depression and risk of falls and fall injuries among older adults. J. Gerontol. Ser. A 2021, 76, e171–e178. [Google Scholar] [CrossRef] [PubMed]
- Cui, N. Research on Self-Health Management of the Elderly from the Perspective of Active Aging. Master’s Thesis, Shanghai University of Engineering and Technology, Shanghai, China, 2019. [Google Scholar] [CrossRef]
- Kuhirunyaratn, P.; Prasomrak, P.; Jindawong, B. Effects of a health education program on fall risk prevention among the urban elderly: A quasi-experimental study. Iran. J. Public Health 2019, 48, 103. [Google Scholar] [CrossRef] [PubMed]
- Pettersson, B.; Wiklund, M.; Janols, R.; Lindgren, H.; Lundin-Olsson, L.; Skelton, D.A.; Sandlund, M. ‘Managing pieces of a personal puzzle’—Older people’s experiences of self-management falls prevention exercise guided by a digital program or a booklet. BMC Geriatr. 2019, 19, 43. [Google Scholar] [CrossRef]
- Mazuz, K.; Biswas, S.; Lindner, U. Developing self-management application of fall prevention among older adults: A content and usability evaluation. Front. Digit. Health 2020, 2, 11. [Google Scholar] [CrossRef]
- National Health Commission of the People’s Republic of China. Elderly Health Core Information. Available online: https://new.qq.com/rain/a/20220105A01BMK00 (accessed on 18 August 2022).
- Ekbrand, H.; Ekman, R.; Thodelius, C.; Möller, M. Fall-related injuries for three ages groups—Analysis of Swedish registry data 1999–2013. J. Saf. Res. 2020, 73, 143–152. [Google Scholar] [CrossRef]
- Li, C.; Jiang, S.; Zhang, X. Intergenerational relationship, family social support, and depression among Chinese elderly: A structural equation modeling analysis. J. Affect. Disord. 2019, 248, 73–80. [Google Scholar] [CrossRef]
- Liang, J. Components of a meaningful retirement life—A phenomenological study of the 1950s birth cohort in urban China. J. Cross-Cult. Gerontol. 2011, 26, 279–298. [Google Scholar] [CrossRef]
- Ha, V.-A.T.; Nguyen, T.N.; Nguyen, T.X.; Nguyen, H.T.T.; Nguyen, T.T.H.; Nguyen, A.T.; Pham, T.; Vu, H.T.T. Prevalence and factors associated with falls among older outpatients. Int. J. Environ. Res. Public Health 2021, 18, 4041. [Google Scholar] [CrossRef] [PubMed]
- Lee, S.; Hong, G.-R.S. The predictive relationship between factors related to fear of falling and mortality among community-dwelling older adults in Korea: Analysis of the Korean longitudinal study of aging from 2006 to 2014. Aging Ment. Health 2020, 24, 1999–2005. [Google Scholar] [CrossRef]
- Zhang, T.T.; Feng, Z.Q.; Wang, W.C.; Li, Q.S.; Yuan, M.; Meng, C.X.; Sun, Y.; Zhang, Y.J.; Yan, Y.; Li, C.Y.; et al. Research on the status and influencing factors of falls in the elderly in China. Chin. J. Dis. Control 2022, 26, 502–507. [Google Scholar] [CrossRef]
- Nadobnik, F. The Role of Fall Prophylaxis in the Quality of Life of the Geriatric Patients. Cent. Eur. J. Sport Sci. Med. 2021, 33, 43–52. [Google Scholar] [CrossRef]
- Okoye, E.C.; Akosile, C.O.; Maruf, F.A.; Onwuakagba, I.U.; Mgbeojedo, U.G. Falls and fear of falling among older adults in an assisted-living facility: A qualitative and foundational study for intervention development in a developing country. Arch. Gerontol. Geriatr. 2021, 94, 104375. [Google Scholar] [CrossRef]
- Li, W.; Keegan, T.H.; Sternfeld, B.; Sidney, S.; Quesenberry, C.P., Jr.; Kelsey, J.L. Outdoor falls among middle-aged and older adults: A neglected public health problem. Am. J. Public Health 2006, 96, 1192–1200. [Google Scholar] [CrossRef]
- Chippendale, T.; Boltz, M. Outdoor fall experiences: An exploratory study of urban and suburban dwelling older adults. Phys. Occup. Ther. Geriatr. 2018, 36, 234–244. [Google Scholar] [CrossRef]
- Mahmoodabad, S.S.M.; Zareipour, M.; Askarishahi, M.; Beigomi, A. Effect of the Living Environment on falls among the Elderly in Urmia. Open Access Maced. J. Med. Sci. 2018, 6, 2233. [Google Scholar] [CrossRef]
- Lytras, D.; Sykaras, E.; Iakovidis, P.; Kasimis, K.; Myrogiannis, I.; Kottaras, A. Recording of Falls in Elderly Fallers in Northern Greece and Evaluation of Aging Health-Related Factors and Environmental Safety Associated with Falls: A Cross-Sectional Study. Occup. Ther. Int. 2022, 2022, 9292673. [Google Scholar] [CrossRef]
- Mortazavi, H.; Tabatabaeichehr, M.; Taherpour, M.; Masoumi, M. Relationship between home safety and prevalence of falls and fear of falling among elderly people: A cross-sectional study. Mater. Socio-Med. 2018, 30, 103. [Google Scholar] [CrossRef]
- Lee, S.H.; Yu, S. Effectiveness of multifactorial interventions in preventing falls among older adults in the community: A systematic review and meta-analysis. Int. J. Nurs. Stud. 2020, 106, 103564. [Google Scholar] [CrossRef] [PubMed]
- Wu, S.; Fu, Y.; Yang, Z. Housing condition, health status, and age-friendly housing modification in Europe: The last resort? Build. Environ. 2022, 215, 108956. [Google Scholar] [CrossRef]
- Plaut, P.; Shach-Pinsly, D.; Schreuer, N.; Kizony, R. The reflection of the fear of falls and risk of falling in walking activity spaces of older adults in various urban environments. J. Transp. Geogr. 2021, 95, 103152. [Google Scholar] [CrossRef]
- Ottoni, C.A.; Sims-Gould, J.; Winters, M. Safety perceptions of older adults on an urban greenway: Interplay of the social and built environment. Health Place 2021, 70, 102605. [Google Scholar] [CrossRef] [PubMed]
- Bhuyan, M.R.; Lane, A.P.; Moogoor, A.; Močnik, Š.; Yuen, B. Meaning of age-friendly neighbourhood: An exploratory study with older adults and key informants in Singapore. Cities 2020, 107, 102940. [Google Scholar] [CrossRef]


| Variables | Have Not Fallen (%) | Have Fallen (%) | Statistics (χ2/T) | Total N | |
|---|---|---|---|---|---|
| Gender | Male | 1210 (92.1) | 104 (7.9) | 1.694 | 1314 |
| Female | 1518 (90.7) | 155 (9.3) | 1673 | ||
| Age | <70 age | 1623 (91.5) | 151 (8.5) | 0.130 | 1774 |
| ≥70 age | 1107 (91.1) | 108 (8.9) | 1215 | ||
| Household registration | Urban | 1345 (91.2) | 130 (8.8) | 0.088 | 1475 |
| Rural | 1387 (91.5) | 129 (8.5) | 1516 | ||
| Educational level | Illiterate | 441 (89.9) | 50 (10.2) | 5.302 | 491 |
| Primary school | 897 (92.5) | 73 (7.5) | 970 | ||
| Junior middle school | 820 (92.0) | 71 (8.0) | 891 | ||
| Senior high school and above | 577 (89.9) | 65 (10.1) | 642 | ||
| Monthly income | 0–500 CNY | 724 (91.1) | 71 (8.9) | 0.379 | 795 |
| 500–2000 CNY | 1277 (91.2) | 123 (8.8) | 1400 | ||
| 2000 CNY | 723 (91.9) | 64 (8.1) | 787 | ||
| Types of chronic diseases (except osteoarthritis) | None | 1234 (92.4) | 101 (7.6) | 4.256 | 1335 |
| 1 | 919 (90.8) | 93 (9.2) | 1012 | ||
| 2 or more | 573 (89.8) | 65 (10.2) | 638 | ||
| Osteoarthritis | No | 2435 (92.1) | 210 (7.9) | 15.927 *** | 2645 |
| Yes | 291 (85.6) | 49 (14.4) | 340 | ||
| Anxiety/depression | No anxiety/depression | 2453 (92.5) | 199 (7.5) | 34.161 *** | 2652 |
| Anxiety/depression | 272 (82.9) | 56 (17.1) | 328 | ||
| Self-assessed health status | Better | 1368 (89.1) | 167 (10.9) | 19.701 *** | 1535 |
| Poorer | 1365 (93.7) | 92 (6.3) | 1457 | ||
| Participation in community health service programs | None | 132 (88.0) | 18 (12.0) | 12.385 ** | 150 |
| 1 program | 590 (91.9) | 52 (8.1) | 642 | ||
| 2 programs | 903 (89.7) | 104 (10.3) | 1007 | ||
| 3 programs | 1068 (93.4) | 75 (6.6) | 1142 | ||
| Regular physical activity | No | 1143 (91.3) | 109 (8.7) | 0.055 | 1252 |
| Yes | 1590 (91.5) | 147 (8.5) | 1737 | ||
| Health knowledge score | 9.79 ± 3.83 | 9.76 ± 4.07 | 0.086 | 9.78 ± 3.85 | |
| Spousal support score | 4.70 ± 1.84 | 4.34 ± 1.95 | 7.649 ** | 4.67 ± 1.85 | |
| Family size | Live alone | 240 (92.7) | 19 (7.3) | 5.415 | 259 |
| 2 people | 1145 (92.6) | 92 (7.4) | 1237 | ||
| >2 people | 1313 (90.2) | 143 (9.8) | 1456 | ||
| Total | 2735 (91.3) | 259 (8.7) | 2994 | ||
| Variables | B | S.E. | Wald Value | p Value | OR | 95%CI | |
|---|---|---|---|---|---|---|---|
| Osteoarthritis | No | 0 | 1 | ||||
| Yes | 0.566 | 0.182 | 9.716 | 0.002 | 1.761 | (1.234, 2.513) | |
| Anxiety/depression | No anxiety/depression | 0 | 1 | ||||
| Anxiety/depression | 0.640 | 0.180 | 12.574 | <0.001 | 1.896 | (1.331, 2.700) | |
| Self-assessed health status | Better | 0 | 1 | ||||
| Poorer | 0.390 | 0.147 | 7.020 | 0.008 | 1.478 | (1.107, 1.972) | |
| Participation in community health service programs | None | 0 | 9.738 | 0.021 | 1 | ||
| 1 program | −0.586 | 0.300 | 3.812 | 0.051 | 0.556 | (0.309, 1.002) | |
| 2 programs | −0.254 | 0.278 | 0.834 | 0.361 | 0.776 | (0.450, 1.337) | |
| 3 programs | −0.651 | 0.285 | 5.213 | 0.022 | 0.522 | (0.298, 0.912) | |
| Family size | Live alone | 0 | 5.437 | 0.066 | 1 | ||
| 2 people | 0.370 | 0.298 | 1.542 | 0.214 | 1.447 | (0.808, 2.594) | |
| >2 people | 0.591 | 0.281 | 4.432 | 0.035 | 1.806 | (1.042, 3.130) | |
| Spousal support score | −0.096 | 0.039 | 5.995 | 0.014 | 0.909 | (0.841, 0.981) | |
| Constant | −2.329 | 0.367 | 40.308 | <0.001 | 0.097 | ||
| Variables | n | Percentage (%) | |
|---|---|---|---|
| The number of falls | 1 | 211 | 81.5 |
| ≥2 | 48 | 18.5 | |
| The type of falls | slip | 113 | 44.5 |
| trip | 72 | 28.3 | |
| step/sit on an empty | 48 | 18.9 | |
| knocked down | 10 | 3.9 | |
| others | 11 | 4.3 | |
| The place of falls | outdoors | 104 | 40.6 |
| bedroom or living room or balcony | 46 | 18.0 | |
| bathroom or toilet | 36 | 14.1 | |
| stairs or hallway | 31 | 12.1 | |
| kitchen | 19 | 7.4 | |
| others | 20 | 7.8 | |
| Activity that occurred when falling | walking or relaxing | 98 | 38.6 |
| doing housework | 46 | 18.1 | |
| bath/toilet | 38 | 15.0 | |
| leisure activities (except for walking) | 30 | 11.8 | |
| physical activity | 11 | 4.3 | |
| other | 31 | 12.2 | |
| The causes of falls | lack of concentration | 79 | 31.1 |
| (multiple choice) | uneven or slippery surface | 66 | 25.5 |
| weak legs | 46 | 17.8 | |
| lack of balance during exercise | 42 | 16.5 | |
| poor eyesight | 41 | 16.1 | |
| dizziness | 31 | 12.2 | |
| others | 14 | 5.5 | |
| Injuries in a fall | uninjured | 77 | 29.7 |
| epidermal injury | 80 | 30.9 | |
| soft tissue injury | 49 | 18.9 | |
| fracture | 47 | 18.1 | |
| concussion | 2 | 0.8 | |
| other | 4 | 1.5 | |
| Total | 259 | 100 |
| Category | AIC | BIC | LMR-LRT | BLRT | Entropy | Sample Composition Ratio (%) |
|---|---|---|---|---|---|---|
| Model 1 | 3533.695 | 3586.931 | - | - | - | 100 |
| Model 2 | 3306.149 | 3416.171 | 0.0000 | 0.0000 | 0.929 | 37.4/62.6 |
| Model 3 | 3181.068 | 3347.875 | 0.0000 | 0.0000 | 0.996 | 45.1/40.9/14.0 |
| Model 4 | 3108.627 | 3332.219 | 0.0001 | 0.0000 | 0.921 | 27.3/10.5/27.6/34.6 |
| Model 5 | 3078.350 | 3358.727 | 0.0537 | 0.0400 | 0.976 | 28.8/14.0/23.3/11.3/22.6 |
Publisher’s Note: MDPI stays neutral with regard to jurisdictional claims in published maps and institutional affiliations. |
© 2022 by the authors. Licensee MDPI, Basel, Switzerland. This article is an open access article distributed under the terms and conditions of the Creative Commons Attribution (CC BY) license (https://creativecommons.org/licenses/by/4.0/).
Share and Cite
Wang, K.; Chen, M.; Zhang, X.; Zhang, L.; Chang, C.; Tian, Y.; Wang, X.; Li, Z.; Ji, Y. The Incidence of Falls and Related Factors among Chinese Elderly Community Residents in Six Provinces. Int. J. Environ. Res. Public Health 2022, 19, 14843. https://doi.org/10.3390/ijerph192214843
Wang K, Chen M, Zhang X, Zhang L, Chang C, Tian Y, Wang X, Li Z, Ji Y. The Incidence of Falls and Related Factors among Chinese Elderly Community Residents in Six Provinces. International Journal of Environmental Research and Public Health. 2022; 19(22):14843. https://doi.org/10.3390/ijerph192214843
Chicago/Turabian StyleWang, Kun, Meijun Chen, Xiaoyue Zhang, Lanchao Zhang, Chun Chang, Yu Tian, Xiaofeng Wang, Zhijing Li, and Ying Ji. 2022. "The Incidence of Falls and Related Factors among Chinese Elderly Community Residents in Six Provinces" International Journal of Environmental Research and Public Health 19, no. 22: 14843. https://doi.org/10.3390/ijerph192214843
APA StyleWang, K., Chen, M., Zhang, X., Zhang, L., Chang, C., Tian, Y., Wang, X., Li, Z., & Ji, Y. (2022). The Incidence of Falls and Related Factors among Chinese Elderly Community Residents in Six Provinces. International Journal of Environmental Research and Public Health, 19(22), 14843. https://doi.org/10.3390/ijerph192214843

