Abstract
Soils subjected to disaggregation can break into aggregates of different sizes composed of sand, clay, and silt particles. Each aggregate contains different oxides, which can vary according to the aggregate size and influence its properties, such as the radiation interaction parameters. These parameters are relevant in the evaluation of radiation shielding and soil physical properties. Thirteen tropical/subtropical soils of contrasting textures (clayey and loamy/sandy) with two aggregate sizes (2–1 mm and <45 μm) were studied. The radiation parameters analyzed were the atomic (σA), electronic (σE), and molecular (σM) cross-sections; the effective atomic number (Zeff); and the electron density (Nel). We verified that the aggregate sizes affected the major oxides (SiO2, Al2O3, Fe2O3). In general, the attenuation coefficient and Zeff were sensitive to the clayey soils’ aggregate sizes (low photon energies). However, the loamy/sandy soils did not exhibit differences among the parameters. As the photon energy increased, only Zeff presented differences for most soils. We also verified that σM, Zeff, and Nel were the most sensitive parameters to the soil composition. Although the soil chemical composition was influenced by the studied aggregate sizes, the radiation parameters exhibited differences for only some of these parameters. This means that the aggregate size is practically irrelevant when radiation parameters are determined based on X-ray fluorescence.
1. Introduction
When photons interact with different composite materials, many processes (photoelectric effect, coherent and incoherent scattering, and pair production) can occur, which results in their absorption or scattering [1]. The processes of radiation interaction with the soil allow the investigation of different physical properties of this porous media, such as bulk density, porosity, water retention, and hydraulic conductivity [2,3,4]. Attenuation coefficient measurements enable the determination of many physical parameters of interest to the radiation shielding field [5,6].
Soils contain particles of different sizes. Soil granulometry analysis allows its characterization in terms of its clay, silt, and sand contents [7]. Different proportions of these particles make it possible to classify the soil into distinct types. Sand particles present sizes between 2,000 and 50 μm, silt between 50 and 2 μm, and clay <2 μm. Thus, when photons interact with soil samples, this interaction occurs with different aggregate sizes and particles. The clay fraction comprises mineral particles known as aluminosilicates (kaolinite, illite, goethite, among others). The silt fraction has quartz and minerals such as kaolinite and mica, while the sand fraction is mainly composed of quartz [8]. This means that soils present a complex composition regarding chemical elements (oxides), affecting how radiation interacts with this porous medium [9,10].
In tropical/subtropical soils, iron (Fe2O3) and aluminum oxides (Al2O3) are essential materials acting in their structure stabilization [11]. The structure stability will contribute to the soil aggregate stability, meaning that the soil can become either more or less resistant to disaggregate forces [12]. Under disaggregation, the soil can be broken into different aggregate sizes presenting distinct chemical compositions, which might influence the radiation interaction parameters [13].
One of the most important parameters to measure the radiation interaction with soils is the mass attenuation coefficient (μ/ρ). It can be measured experimentally or through computational methods [14,15]. The latter are usually based on previous analysis of the soil chemical composition employing X-ray fluorescence (XRF) techniques [2,16,17,18]. The knowledge of μ/ρ allows the calculation of other essential interaction parameters for the radiation physics field, such as the atomic (σA), electronic (σE), and molecular (σM) cross-sections; the effective atomic number (Zeff); and the electron density (Nel) [19,20,21].
Therefore, knowing how photons with different energies interact with soil aggregates might provide highly relevant information regarding how radiation interaction processes occur in this porous medium. Thus, it is possible to verify whether soils composed of different aggregate sizes can be either more or less effective in attenuating radiation. Consequently, parameters such as the half-layer thickness (not covered in this paper) might depend on how the soil is aggregated [22]. Furthermore, it is important to mention that soil physical properties, such as the bulk density, porosity, and water content, are based on knowledge of the attenuation coefficient when measured through nuclear methods (e.g., gamma-ray attenuation) [2,3,9,10]. Therefore, if μ/ρ depends on the aggregate sizes, its value might influence the evaluation of these properties.
It is also worth mentioning that soil is an abundant material, easily found in nature and cheap, with potential to be used in the field of radiation shielding [5,6]. Thus, studying materials to shield against radiation has great environmental appeal in the use of radioactive sources for energy production, medical applications, space and military purposes, etc. However, these radiation sources can generate significant amounts of waste, possibly exposing people to the effects of ionizing radiation when they are inappropriately managed [6]. Therefore, employing alternative materials such as soil and its fractions for radiation shielding is an interesting and cost-effective alternative. Furthermore, considering that soils present varied types of structures comprising different sizes of aggregates [7], a detailed analysis of how radiation will interact with them is of great interest.
Taking this into consideration, this study proposes a detailed analysis of how two aggregate sizes (2–1 mm and <45 μm) might affect the soil chemical composition measurement by XRF and consequently influence the radiation interaction parameters. No previous study has evaluated how soil aggregate sizes influence the radiation interaction parameters. Additionally, no other studies have verified the existence of optimum aggregate sizes for XRF analysis, presenting detailed information about radiation interaction parameters in tropical/subtropical soils of different chemical compositions for contrasting aggregate sizes. Therefore, our study aimed to propose some answers to these questions.
2. Materials and Methods
Thirteen soils of varied textures were collected in different experimental stations located in the Paraná State (22°30′58″ S–26°43′00″ S and 48°05′37″ W–54°37′08″ W), south of Brazil. Data about each soil’s clay, silt, and sand amounts are shown in Table 1. The thirteen soils were divided into two groups (clay and loam/sand) to facilitate the analysis of the results. Their textural classes were considered to separate the soils into groups (Figure S1—Supplementary Materials). The granulometry analysis of the soils was carried out at the Paraná Agronomic Institute (Ponta Grossa–PR) using the pipette method, which is based on the fall velocity of the soil particles in a dispersant solution (NaOH) [23]. The sand fraction was separated by sieving. Next, the fine soil fractions (silt and clay) were separated by decantation. Stoke’s law was used to estimate the sedimentation time for the silt particles (c. 8 h). After this time, a suspension volume was pipetted and dried in an oven, corresponding to the clay fraction. Silt was determined by the difference between the other two fractions [24].
Table 1.
Soil classification according to its granulometric composition (clay, silt, and sand contents).
All the soil samples were previously dried in air and sieved in a sieve mesh with a size of 2–1 mm since the aggregate analysis required this diameter interval. After sieving, samples were kept in an oven at 45 °C (air forced circulation) to avoid air humidity. Next, following the 2–1 mm aggregate analysis, the same samples were sieved in a 45 μm wire-mesh sieve to study the small aggregate sizes. It is worth mentioning that our laboratory utilizes aggregates of <45 μm size for routine XRF analysis. The technique employed in the elementary analysis was energy-dispersive X-ray fluorescence. The measurements were carried out at the Laboratory of XRF Analysis (Department of Physics, State University of Ponta Grossa). The equipment (Shimadzu, model EDX-720) has a rhodium tube (Rh), its voltage varies from 5 to 50 kV, and the filament operates with currents between 1 and 1000 μA. The detector is a Si(Li) semiconductor cooled by liquid nitrogen at −196 °C. For the XRF analyses, soil samples were mashed in pestles and placed on sample holders (c. 2 g) provided by the equipment manufacturer (c. 22 mm diameter), which were sealed with mylar (6 μm thickness). A time interval of about 100 s was set to obtain each spectrum (200 s total time) in the energy bands of sodium to scandium (Na–Sc) (5 kV) and titanium to uranium (Ti–U) (50 kV). All the measurements were carried out in the semi-quantitative mode under a 30 Pa pressure (vacuum) [16,25].
Three measurements (n = 3) were obtained for all parameters analyzed (μ/ρ, σA, σE, σM, Zeff, and Nel). The soil chemical compositions were employed to calculate the mass attenuation coefficients via the XCOM program [26]. This computational code generates cross-sections for the photoelectric effect, coherent and incoherent scatterings, and pair production [26]. The combination of the partial cross-sections allows the determination of total μ/ρ for any element, compound, and mixture in the photon energy range from 1 keV to 100 GeV [27].
The parameters μ/ρ, σA, σE, σM, Zeff, and Nel were calculated based on the soil chemical compositions. We utilized the equations shown below for the calculation of the mentioned radiation interaction parameters.
To calculate Zeff and Nel of compounds and mixtures, we need to know the molecular, atomic, and electronic cross-sections. Thus, we used the following equation to calculate the molecular cross-section:
where μ⁄ρ is the mass attenuation coefficient, is the molecular weight of the compound, NA is the Avogadro number, Ai is the atomic weight of the i-th element, and ni is the number of formula units in the molecule.
The average atomic cross-section is obtained by dividing σM by the total number of formula units as follows:
where is the total number of formula units of the compound.
To obtain the electronic cross-section, we used the following equation:
where and Zi are the fractional abundance and the atomic number of the i-th constituent element, with nj being the number of atoms of the constituent element and being the total number of atoms present in the molecular formula.
Combining Equations (2) and (3), we obtained the effective atomic number:
The electron density was calculated using:
This study investigated the energy interval from 1 keV to 100 MeV. However, we emphasized two photon energies: c. 60 and c. 662 keV, corresponding to the gamma-rays emitted by the 241Am and 137Cs radioactive sources. We selected these two energies due to their broad utilization in experimental measurements of soil physical properties by gamma-ray attenuation and gamma-ray tomography [19,22,27,28].
Statistical analysis was performed using the PAleontological STatistics (PAST) software version 3.21 (Oslo, Norway). Comparisons between aggregate sizes and soils (all parameters analyzed) were carried out based on the mean standard deviation. In addition, Pearson correlations among each pair of variables were performed for all the parameters. This analysis considered all the aggregate sizes and soils, aiming to show possible general trends among the variables analyzed.
3. Results
The percentages of the most common oxides found in the 13 soils studied and 2 aggregate sizes (2–1 mm and <45 μm) considering both textural groups (clay and loam/sand) are presented in the sequence (Table 2).
Table 2.
Main oxides measured in the 13 soil types studied with different aggregate sizes (2–1 mm and <45 μm). The average values are followed by the standard deviation, which was rounded according to significant figures.
In the clayey soils, the most abundant oxides were Al2O3 and SiO2 (Figure 1a,c), with other oxides showing the following sequence (most of the soils): Fe2O3 > TiO2 > SO3 (Tables S1 and S2—Supplementary Materials). In the loamy/sandy soils, the most abundant oxide was SiO2 (Figure 1d) followed by: Al2O3 > Fe2O3 > TiO2 > SO3 (Tables S1 and S2—Supplementary Materials). No direct relation was observed between the clay content and the amount of iron oxide in the clayey soils analyzed. A strong positive correlation between clay × Al2O3 (r = 0.73, p = 0.06) and sand × SiO2 (r = 0.83, p < 0.05) was found. However, for the loamy/sandy soils, with the exception of CAZ, which was not considered in the correlation analysis due to its high silt content, positive relations between clay × Al2O3 (r = 0.89, p < 0.05), clay × Fe2O3 (r = 0.90, p < 0.05), silt × Al2O3 (r = 0.93, p < 0.05), and sand × SiO2 (r = 0.97, p < 0.05) were observed. On the other hand, negative relations were found between sand × Al2O3 (r = −0.93, p < 0.05), clay × SiO2 (r = −0.95, p < 0.05), and silt × SiO2 (r = −0.95, p< 0.05). We must mention that these correlation analyses were carried out for the <45 μm aggregate size.

Figure 1.
(a,c,e) Major soil oxide contents (Al2O3, SiO2, Fe2O3) for the different aggregate sizes (2–1 mm and <45 μm) for the clayey soils. (b,d,f) Major soil oxide contents for the different aggregate sizes for the loamy/sandy soils. Vertical bars represent the standard deviation (n = 3).
When the oxide percentages in the 2–1 mm and <45 μm aggregate sizes were compared, the Al2O3 concentration increased in the latter in the clayey soils (Table 1 and Table 2 and Figure 1a). Regarding SiO2 (Figure 1c), differences were verified between the aggregate sizes for RIO, IB-2, IB-3, and ITA (Table 2). For Fe2O3 (Figure 1e), the 2–1 mm aggregate size exhibited the highest concentration among the clayey soils (Table 2). However, even with the differences observed in the major soil oxides (Al2O3, SiO2, Fe2O3) among the clayey soils, we verified that most of them presented the same variation trend, regardless of the aggregate size. In the loamy/sandy soils, small aggregates (<45 μm) presented the highest concentration of Al2O3 (Figure 1b), except for PAR (Table 2). For SiO2 (Figure 1d), the 2–1 mm aggregates exhibited, in general, the highest concentrations among the soils, except for PAR and CAZ. MOR was a unique soil with no differences between the aggregate sizes for SiO2 (Table 2). For Fe2O3 (Figure 1f), we did not find a clear trend in its concentration among the aggregate sizes. Soils with differences between the aggregate sizes for Fe2O3 were JTA, CAZ, RAZ, and MOR (Table 2). However, we noticed that for the loamy/sandy soils, only Al2O3 demonstrated a similar trend between the aggregate sizes.
The mass attenuation coefficients calculated for the specific photon energies (c. 60 and c. 662 keV) and both aggregate sizes (2–1 mm and <45 μm) of the contrasting soils studied are presented in the sequence (Table 3). We also compared the calculated results with the experimental results, which showed good agreement between the methods. The relative changes ranged from 0.8% to 6.4% for the clayey soils and from 0.5% to 7.2% for the loamy/sandy soils (Table S3—Supplementary Materials).
Table 3.
Mass attenuation coefficient (μ/ρ) for the photon energies of c. 60 and c. 662 keV of the 13 soil types studied presenting different aggregate sizes (2–1 mm and <45 μm). The average values are followed by the standard deviation, which was rounded according to significant figures.
When the aggregate size of the clayey soils decreased, μ/ρ increased for the low energy photons (c. 60 keV) (Table 3). However, no difference was noticed between the aggregate sizes in RIO, MER, IB-2, and IB-3. Nonetheless, the μ/ρ variation trend for the different aggregate sizes (2–1 mm and <45 μm) was similar. The correlation analyses among the different soil oxides, granulometric composition, and μ/ρ showed strong to moderate linear relations between Fe2O3 × μ/ρ (r = 0.99, p < 0.05), SiO2 × μ/ρ (r = −0.92, p <0.05), and sand × μ/ρ (r = −0.61, p = 0.14) for the 2–1 mm aggregates. Regarding the small aggregates (<45 μm), we found a strong linear relation between Fe2O3 × μ/ρ (r = 0.99, p = 0.14), SiO2 × μ/ρ (r = −0.95, p < 0.05), and sand × μ/ρ (r = −0.74, p = 0.06). Correlation analysis was carried out for the largest aggregates considering the oxide content determined for this specific aggregate size and the same procedure was carried out for the smallest aggregates. No differences were found among the clayey soils for the high energy (c. 662 keV) (Table 3).
For the loamy/sandy soils (Table 3), we did not find differences in μ/ρ between the aggregate sizes (2–1 mm and <45 μm) for the low energy (c. 60 keV). We practically verified the same μ/ρ variation trend among the soils for the different aggregate sizes, except for JTA, LAP, and RAZ. The correlation analysis showed moderate to strong linear relations between SiO2 × μ/ρ (r = −0.68, p = 0.14), Fe2O3 × μ/ρ (r = 0.95, p < 0.05), and clay × μ/ρ (r = 0.73, p = 0.10) for the 2–1 mm aggregate sizes. For the small aggregates (<45 μm), we observed moderate to strong linear relations between Fe2O3 × μ/ρ (r = 0.83, p < 0.05) and clay × μ/ρ (r = 0.68, p = 0.06), similar to the results of the largest aggregates. For the high energy (c. 662 keV), we noticed practically the same μ/ρ variation trend among the aggregate sizes (Table 3).
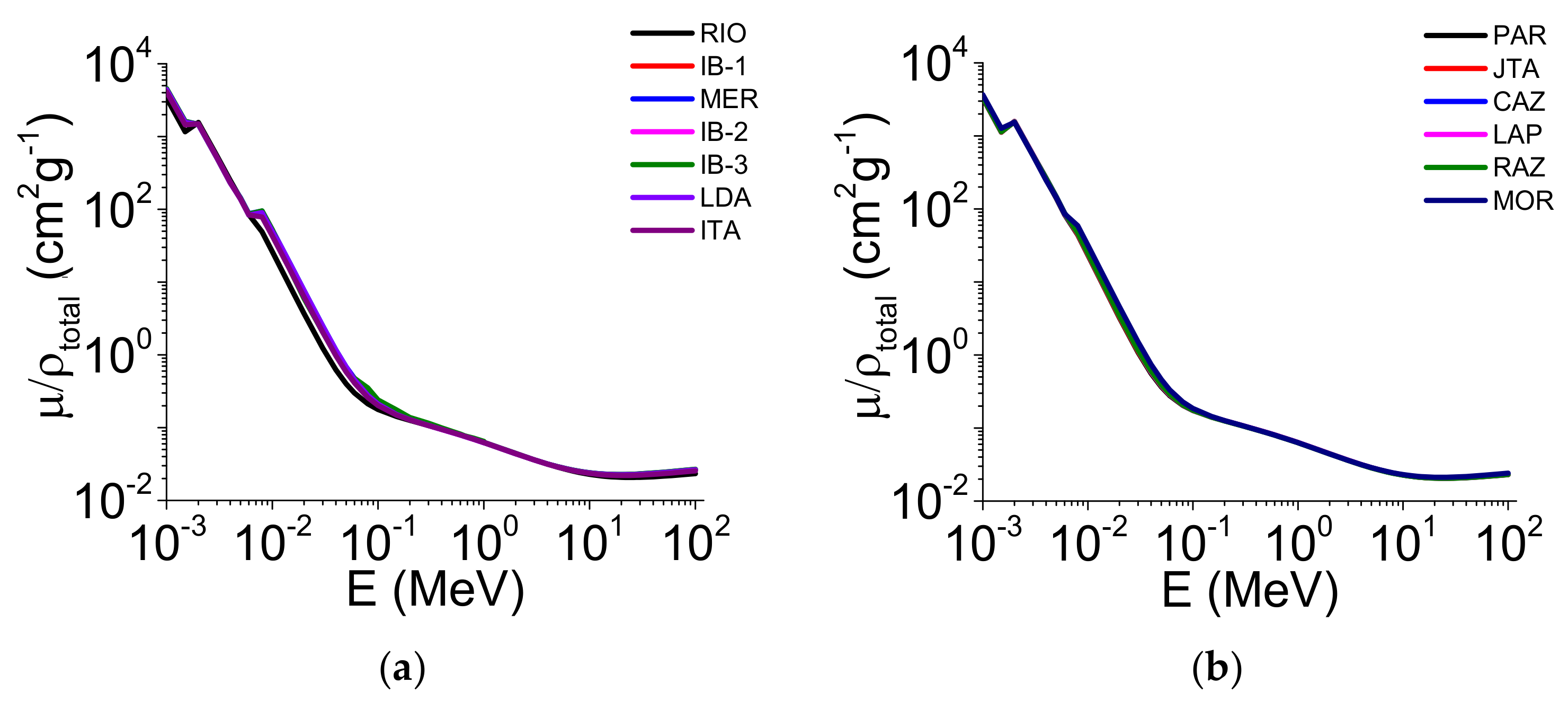
Figure 2 and Figure 3 show the μ/ρ, σM, σA, σE, Zeff, and Nel variations as a function of the photon energy for the 2–1 mm aggregate sizes, considering the 2 soil groups studied (clay and loam/sand).

Figure 2.
Mass attenuation coefficient (μ/ρ), molecular cross-section (σM), atomic cross-section (σA), and electronic cross-section (σE) variation as a function of the photon energy (E) (1 keV–100 MeV) for the 2–1 mm aggregate sizes in the clayey soils (a,c,e,g) and the loamy/sandy soils (b,d,f,h).
Figure 3.
Effective atomic number (Zeff) and electron density (Nel) variation as a function of the photon energy (E) (1 keV–100 MeV) for the 2–1 mm aggregate sizes in the clayey soils (a,c) and the loamy/sandy soils (b,d).
The mass attenuation coefficient (Figure 2a,b) presented a sharp decrease between 10−3 and ~10−1 MeV photon energies in all the soils investigated. In the intermediate to high energy region >10 MeV, a small increase in μ/ρ was noticed. We found that only some clayey soils (RIO, IB-1, LDA, ITA) showed differences in μ/ρ (Figure 2a), which occurred in the energy region from ~10−2 to ~10−1 MeV (Table 3). The molecular cross-section (Figure 2c,d) was more sensitive to the soil chemical composition than μ/ρ. Among the clayey soils, the lowest σM was found in IB-1 (10−3 to ~102 MeV) while RIO (E < 10−2 MeV and E > 10−1 MeV) presented the highest value (Figure 2c). For the energy region 10−2 < E < 10−1 MeV, IB-2 showed the highest σM (Figure 2c). The same behavior was observed in the loamy/sandy soils (Figure 2d), with the lowest value observed in PAR and the highest in CAZ (10−3 to 102 MeV). The parameters σA and σE (Figure 2e–h) showed similar μ/ρ behavior in both soil groups. The highest differences among the soils investigated were slight and found for the clayey soils in the energy region of ~10−2 to ~10−1 MeV (Figure 2e,g).
The Zeff (Figure 3a,b) and Nel parameters (Figure 3c,d) were also influenced by the soil chemical composition, as noticed for σM. RIO exhibited the lowest Zeff (Figure 3a) while IB-3 and MER showed the highest values (10−3 to ~102 MeV) in the clayey soils. For the loamy/sandy soils, PAR and CAZ had the lowest Zeff (Figure 3b) and MOR the highest (10−3 to ~102 MeV). Regarding Nel, its lowest and highest values occurred in LDA and RIO, respectively, for the clayey soils (Figure 3c). In contrast, MOR presented the lowest value in the loamy/sandy soils while PAR and JTA showed the highest values in the energy region from 10−3 to ~102 MeV (Figure 3d).
The results of the μ/ρ, σM, σA, σE, Zeff, and Nel variation as a function of the photon energy for the <45 μm aggregate sizes for both soil groups (clay and loam/sand) are presented in Figure 4 and Figure 5.
Figure 4.
Mass attenuation coefficient (μ/ρ), molecular cross-section (σM), atomic cross-section (σA), and electronic cross-section (σE) variation as a function of the photon energy (E) (1 keV–100 MeV) for the <45 μm aggregate sizes in the clayey soils (a,c,e,g) and the loamy/sandy soils (b,d,f,h).
Figure 5.
Effective atomic number (Zeff) and electron density (Nel) variation as a function of the photon energy (E) (1 keV–100 MeV) for the <45 μm aggregate sizes in the clayey soils (a,c) and the loamy/sandy soils (b,d).
When comparing the two aggregate sizes, we observed that only some soils’ μ/ρ was influenced by the different sizes. For the clayey soils, μ/ρ presented variation between the aggregate sizes in the energy region of ~10−2 to ~101 MeV. For ~10−2 MeV, most of the 2–1 mm aggregate sizes showed the highest μ/ρ when compared with <45 μm. However, for ~10−3 MeV, the aggregates <45 μm showed the highest values of μ/ρ (Figure 2a and Figure 4a). For the loamy/sandy soils (Figure 2b and Figure 4b), only JTA presented differences for the smallest aggregate size (E > 10−1 MeV). For σM (Figure 2c and Figure 4c), considering the energies of c. 60 and c. 662 keV (Tables S4 and S5—Supplementary Materials), MER, IB-2, and ITA (clayey soils) showed the highest values for the 2–1 mm aggregate sizes (c. 60 keV). The same behavior was observed for c. 662 keV, with MER, IB-2, and ITA showing differences for the 2–1 mm aggregate sizes when compared to <45 μm (Tables S4 and S5—Supplementary Materials). For the loamy/sandy soils (Figure 2d and Figure 4d), the <45 μm aggregate sizes presented the highest σM only in LAP and MOR (c. 60 and c. 662 keV) (Tables S4 and S5—Supplementary Materials). The σA and σE parameters showed slight differences among the clayey soils (Figure 2e,g and Figure 4e,g) for c. 60 and c. 662 keV (Tables S4 and S5—Supplementary Materials). A similar behavior was observed among the loamy/sandy soils (Figure 2f,h and Figure 4f,h) for both energies (Tables S4 and S5—Supplementary Materials). For Zeff and Nel, the 2–1 mm aggregate sizes presented the highest values for most clayey soils (Figure 3a,c and Figure 5a,c) for c. 60 and c. 662 keV (Tables S4 and S5—Supplementary Materials). For the loamy/sandy soils (Figure 3b,d and Figure 5b,d), Zeff and Nel were almost the same among the soils for c. 60 keV, except for MOR (Zeff). For c. 662 keV, only some soils showed differences (PAR, JTA, CAZ, MOR—Zeff and JAT, CAZ, LAP—Nel) (Tables S4 and S5—Supplementary Materials).
4. Discussion
This paper presents a detailed analysis of the effects of two aggregate sizes (2–1 mm and <45 μm) on the soil chemical compositions and radiation interaction parameters. The aggregate sizes influenced the composition of the major oxides (SiO2, Al2O3, Fe2O3) found in the clayey soils (Table 2 and Figure 1). This finding is mainly related to the role of aluminum and iron oxides in soil aggregation [12]. These two oxides and organic matter (not covered in this study) are important cement agents [13,29]. In tropical/subtropical soils, aluminum and iron oxides cover the soil particles and produce clay mineral layers, increasing the soil aggregate stability [30]. In clayey soils, the largest aggregates showed the highest Fe2O3 content while the production of microaggregates smaller than 45 μm reduced its concentration, favoring the increased SiO2 and Al2O3 concentrations. In the loamy/sandy soils, aluminum oxide presented the highest concentration for the smallest aggregate sizes, similar to the clayey soils. This result confirms the influence of this oxide as a cementing agent (Table 2). Silicon and iron oxides did not present any trend between the soil groups studied for the contrasting aggregate sizes.
Despite the differences in the soil chemical compositions, the mass attenuation coefficient did not present significant differences (c. 60 keV) in both soil groups (majority of clayey soils) and aggregate sizes (Table 3). Even the differences observed in the high Z oxides, which generally influence μ/ρ for the lowest photon energies, did not promote significant differences between the aggregate sizes among the soils (majority of clayey soils). This means that the balance between the other major oxides is also vital to μ/ρ [31,32]. However, we noticed that the Fe2O3 oxide influenced μ/ρ while the increase in the SiO2 content decreased μ/ρ, as observed for both aggregate sizes (clay and loam/sand) [9,15,19,33,34]. The increase in the photon energy (c. 662 keV) did not cause differences in μ/ρ between the aggregate sizes for the clayey and loamy/sandy soils. The characteristics of the samples analyzed (low density, similar oxide contents, particle sizes, etc.) can help to explain the results of μ/ρ for both photon energies [2,10,15,35,36].
The mass attenuation coefficient (Figure 2a,b and Figure 4a,b) presented a sharp decrease with the increase in the photon energy for the different aggregate sizes and soil groups [9,36,37]. In the low photon energy region (10−3 to ~10−1 MeV), μ/ρ was influenced mainly by the photoelectric effect, whose cross-section is proportional to Z4−5 and inversely proportional to the photon energy (E−3 when <0.5 MeV) [1,9]. For the intermediate energy region (~10−1 to ~101 MeV), the decrease in μ/ρ was less abrupt due to the Compton effect (incoherent scattering) and cross-section Z dependence. In this energy band, the incoherent scattering is the dominant effect of the radiation attenuation. For the high energy region (>10 MeV), μ/ρ presented a slight increase influenced by the pair production, whose cross-section shows dependency with Z2 [38,39].
The molecular cross-section (Figure 2c,d and Figure 4c,d) was greatly influenced by the molecular weight of the soil constituents (Equation (1)). The differences in the soil chemical compositions might explain the verified σM distinctions among the studied soils (both soil groups and aggregate sizes) [16]. For c. 60 keV, some clayey soils presented the highest σM for the 2–1 mm aggregates while the inverse was observed for the loamy/sandy soils. This result is mainly associated with the higher molecular weights in the contrasting aggregate sizes (Tables S4 and S5—Supplementary Materials). The same behavior was observed in some loamy/sandy soils when the c. 662 keV photon energy was analyzed.
The atomic (Figure 2e,f and Figure 4e,f) and electronic (Figure 2g,h and Figure 4g,h) cross-sections followed the same behavior of μ/ρ between the aggregate sizes in some of the soils (c. 60 keV) (both soil groups) (Tables S4 and S5—Supplementary Materials) [25,40]. This is related to the σA and σE cross-sections’ dependency on μ/ρ (Equations (2) and (3)) and the influence of the total number of molecular formula units for σA [19,40,41]. These two parameters were also mainly influenced by Fe2O3 and μ/ρ in the two soil groups and aggregate sizes [16,25,40,42]. For c. 662 keV, the relation between μ/ρ, σA, and σE was more complex than that observed for c. 60 keV. The Fe2O3 and SiO2 contents explain the results for the two aggregate sizes for c. 662 keV, except the 2–1 mm aggregate sizes in the clayey soils. The highest σA differences were noticed only in the loamy/sandy soils (Tables S4 and S5—Supplementary Materials). Our results demonstrate that the photoelectric effect, incoherent scattering, and pair production influence the σA and σE behavior as a function of the photon energy, similar to μ/ρ [25,38].
The contrasting aggregate sizes influenced Zeff in the clayey soils for c. 60 keV (Tables S4 and S5—Supplementary Materials). The main factors explaining the differences among the soils (c. 60 keV) were the Fe2O3, μ/ρ, σA, and σE content [19,43], which presented a direct relation with Zeff in both soil groups (Figure 3a,b and Figure 5a,b). For c. 662 keV (Tables S4 and S5—Supplementary Materials), the results found when comparing the soil groups were mainly related to the contents of SiO2, Fe2O3, μ/ρ, and σE. We must highlight that Zeff is directly associated with the electronic and atomic cross-sections (Equation (4)). This nuclear parameter also depends on Z of the soil elements [17]. The higher Zeff is, the higher the concentration of high Z elements [44]. The decreased Zeff in the energy region from ~10−2 to ~10−1 MeV is explained by changes in the dominance of the effects responsible for the photon absorption and scattering [17,20]. Similar findings were also found in studies with gemstones [45], granite [46], clay [47], and glasses [40,48].
For Nel (Figure 3c,d and Figure 5c,d), our results are directly associated with the relation between this nuclear parameter and Zeff (Equation (5)) [19,25,49]. The curve decays observed from ~10−2 to ~10−1 MeV are also explained by partial effect dominance changes in the photon absorption and scattering [48]. For c. 60 keV (Tables S4 and S5—Supplementary Materials), Nel presented an inverse relation with Fe2O3, μ/ρ, σA, and σE, explaining the curve inversions compared to Zeff. This highlights the influence of these parameters in Nel, which suffers a direct influence from the SiO2 and sand content. For c. 662 keV (Tables S4 and S5—Supplementary Materials), Nel did not show any differences between the soil groups and aggregate sizes. The direct and inverse relations between Nel and SiO2, μ/ρ, sand (direct), and Fe2O3, σE, and Zeff (inverse) can explain the results obtained among the soils [50].
This study proposes that the size of the soil aggregates influences the radiation interaction parameters. We verified that the major oxides (SiO2, Al2O3, Fe2O3) found in the tropical/subtropical soils investigated were affected by the aggregate sizes, mainly for the soils containing a high clay content. Consequently, the radiation interaction parameters were also influenced by the aggregate sizes. In general, μ/ρ and Zeff were sensitive to the aggregate sizes in low photon energies (c. 60 keV) in clayey soils. On the other hand, the loamy/sandy soils did not show significant differences in the radiation interaction parameters due to the aggregate sizes. The photon energy increase (c. 662 keV) demonstrated that only Zeff presented the highest differences for most soils. However, we verified that σM, Zeff, and Nel were the most sensitive parameters to the chemical and granulometric soil compositions. Thus, we observed that although microaggregates can present variations in the soil chemical compositions as a function of their sizes, the distinct compositions found were not enough to induce significant differences in many of the radiation interaction parameters studied. However, our study involved a limited number of soils. In addition, to better analyze the results obtained, a detailed study of the soil mineralogical composition and its fractions is required to explain the differences found in the chemical composition between aggregate sizes [51,52].
Finally, the results presented in our study show that the soil type also influences its radiation interaction parameters as a function of differences in its chemical composition. Since soil is an abundant material that can be used in ionizing radiation attenuation, analysis of how this material affects radiation attenuation becomes relevant. Ionizing radiation can cause severe damage to human health, mainly affecting DNA molecules when exposed to small doses of radiation and leading to death at high doses. Thus, the analysis of alternative materials such as soil to attenuate radiation is necessary to prevent the use of toxic materials such as lead. Thus, the results of our study show how tropical/subtropical soils affect radiation interaction parameters. Furthermore, as soil is a cost-effective material with a diverse composition in tropical countries, its use as a radiation-shielding material can positively impact the preservation of the environment using more sustainable materials.
5. Conclusions
Our results showed that the major oxides (SiO2, Al2O3, Fe2O3) found in the tropical/subtropical soils studied showed variations according to the aggregate sizes (2–1 mm and <45 μm). In the clayey soils, small aggregates showed the most significant amounts of SiO2 (majority of soils) and Al2O3 while Fe2O3 showed the highest concentrations in the 2–1 mm aggregates. In the loamy/sandy soils, Al2O3 was found, in general, in large concentrations in small aggregates. SiO2 and Fe2O3 did not present a clear trend between the aggregate sizes. The radiation interaction parameters were influenced by partial effects (photoelectric effect, incoherent scattering, and pair production), mainly explaining the observed variations in the mass attenuation coefficient and atomic and electronic cross-sections as a function of the energy, in both soil groups (clay and loam/sand) and aggregate sizes. The molecular cross-section, effective atomic number, and electron density presented the best discrimination among soils.
When two reference photon energies (c. 60 and c. 662 keV) were considered, we noticed that for the lower energy, the clayey soils showed higher μ/ρ values for aggregates <45 μm, but only three soils showed differences with one another. In the loamy/sandy soils, no differences in μ/ρ were observed between the soils for the different aggregate sizes. Overall, σM showed higher values for the 2–1 mm aggregates but only in some soils. A similar behavior was observed in the loamy/sandy soils. The parameters σA and σE showed differences in some clayey samples but did not differ in the loamy/sandy soils between the aggregate sizes. The Zeff and Nel parameters showed higher values in most of the clayey soils for the 2–1 mm aggregates while no difference was observed for these parameters in the loamy/sandy soils. For c. 662 keV, the parameters with the most significant differences between the aggregate sizes for the clayey soils were σM and Zeff. The 2–1 mm aggregates showed the highest values of σM and Zeff in the clayey soils. Concerning the loamy/sandy soils, μ/ρ, σA, σM, and Zeff were the parameters with the most remarkable differences between the aggregate sizes.
Thus, we conclude that although the chemical composition of the soil was sensitive to the aggregate size studied, the radiation interaction parameters presented differences for only some of these parameters. Therefore, to obtain better conclusions about the impact of aggregate sizes, we suggest increasing the number of soils studied with different particle size compositions and increasing the range of aggregate sizes to investigate how such aggregates can influence radiation attenuation.
Supplementary Materials
The following supporting information can be downloaded at https://www.mdpi.com/article/10.3390/ijerph192214635/s1: Figure S1: Texture triangle (USDA) presenting the distribution of the soil types studied; Table S1: Main oxides measured in the 13 soil types studied for the 2–1 mm aggregate size. The values between parentheses represent the standard deviation. The average values and standard deviation were rounded according to significant figures; Table S2: Main oxides measured in the 13 soil types studied for the <45 μm aggregate size. The values between parentheses represent the standard deviation. The average values and standard deviation were rounded according to significant figures; Table S3: Experimental (EXP) and calculated (XCOM) mass attenuation coefficients in the 13 soil types studied. The relative change was obtained considering the experimental method as a reference (). For the RG analysis, the aggregate size between 2 and 1 mm was selected. * Aggregates with sizes between 2 and 1 mm. ** Aggregates with sizes <45 μm; Table S4: Molecular (σM), atomic (σA), electronic (σE) cross-sections, effective atomic number (Zeff), and electron density (Nel) of the 13 soil types studied for the 2–1 mm aggregate sizes. The values between parentheses represent the standard deviation. The average values and standard deviation were rounded according to significant figures; Table S5: Molecular (σM), atomic (σA), electronic (σE) cross-sections, effective atomic number (Zeff), and electron density (Nel) of the 13 soil types studied for the <45 μm aggregate sizes. The values between parentheses represent the standard deviation. The average values and standard deviation were rounded according to significant figures.
Author Contributions
L.T. involved in the methodology, validation, formal analysis, investigation, and writing—original draft. L.F.P. involved in the conceptualization, methodology, project administration, writing—original draft, and fund acquisition. All authors have read and agreed to the published version of the manuscript.
Funding
This study was partially supported by the Brazilian National Council for Scientific and Technological Development (CNPq) through Grant 304925/2019-5 and the Coordination for the Improvement of Higher Education Personnel (Capes) (Finance Code 001).
Institutional Review Board Statement
Not applicable.
Informed Consent Statement
Not applicable.
Data Availability Statement
Available upon request.
Acknowledgments
Luiz F. Pires would like to acknowledge the financial support provided by the Brazilian National Council for Scientific and Technological Development (CNPq) through Grant 304925/2019-5 (Productivity in Research). Lohane Tech would like to acknowledge the financial support provided by the Coordination for the Improvement of Higher Education Personnel (Capes) (Finance Code 001).
Conflicts of Interest
The authors declare that they have no known competing financial interest or personal relationship that could have appeared to influence the work reported in this paper. All co-authors have seen and agreed with the contents of the manuscript and there is no financial interest to report.
References
- Kaplan, I. Nuclear Physics; Addison-Wesley Publishing Company: Boston, MA, USA, 1963. [Google Scholar]
- Demir, D.; Un, A.; Özgül, M.; Sahin, Y. Determination of photon attenuation coefficient, porosity and field capacity of soil by gamma-ray transmission for 60, 356 and 662 keV gamma rays. Appl. Radiat. Isot. 2008, 66, 1834–1837. [Google Scholar] [CrossRef] [PubMed]
- Bacchi, O.O.S.; Reichardt, K.; Oliveira, J.C.M.; Nielsen, D.R. Gamma-ray beam attenuation as an auxiliary technique for the evaluation of soil water retention curve. Sci. Agric. 1998, 55, 499–502. [Google Scholar] [CrossRef]
- Baytas, F.A.; Akbal, S. Determination of soil parameters by gamma-ray transmission. Radiat. Meas. 2002, 35, 17–21. [Google Scholar] [CrossRef]
- Sonkawade, R.G.; Kant, K.; Muralithar, S.; Kumar, R.; Ramola, R.C. Natural radioactivity in common building construction and radiation shielding materials. Atmos. Environ. 2008, 42, 2254–2259. [Google Scholar] [CrossRef]
- Falciglia, P.P.; Puccio, V.; Romano, S.; Vagliasindi, F.G.A. Performance study and influence of radiation emission energy and soil contamination level on γ-radiation shielding of stabilised/solidified radionuclide-polluted soils. J. Environ. Radioact. 2015, 143, 20–28. [Google Scholar] [CrossRef]
- Hillel, D. Introduction to Environmental Soil Physics; Academic Press: San Diego, CA, USA, 2004. [Google Scholar]
- Paquet, H.; Clauer, N. Soils and Sediments: Mineralogy and Geochemistry; Springer: Berlin/Heidelberg, Germany, 1997. [Google Scholar]
- Cesareo, R.; Assis, J.T.; Crestana, S. Attenuation coefficients and tomographic measurements for soil in the energy range 10–300 keV. Appl. Radiat. Isot. 1994, 45, 613–620. [Google Scholar] [CrossRef]
- Appoloni, C.R.; Rios, E. Mass attenuation coefficients of Brazilian soils in the range 10-1450 keV. Appl. Radiat. Isot. 1994, 45, 287–291. [Google Scholar] [CrossRef]
- Igwe, C.A.; Akamigbo, F.O.R.; Mbagwu, J.S.C. Chemical and mineralogical properties of soils in the southeastern Nigeria in relation to aggregate stability. Geoderma 1999, 92, 111–123. [Google Scholar] [CrossRef]
- Huang, L.; Xue, B.; Huang, Y.; Zhou, F.; Li, F.; Kubar, K.A.; Li, X.; Lu, J.; Zhu, J. Roles of soil organic carbon and iron oxides aggregate formation and stability in two paddy soils. Soil Tillage Res. 2019, 187, 161–171. [Google Scholar]
- Hu, R.; Zhao, J.; Chen, S.; Li, Y. Aggregate stability and size distribution of red soils under different land uses integrally regulated by soil organic matter, and iron and aluminum oxides. Soil Tillage Res. 2017, 167, 73–79. [Google Scholar]
- Conner, A.L.; Atwater, H.F.; Plassmann, E.H.; McCrary, J.H. Gamma-ray attenuation-coefficient measurements. Phys. Rev. A 1970, 1, 539–544. [Google Scholar] [CrossRef]
- Raje, D.V.; Chaudhari, L.M. Mass attenuation coefficients of soil samples in Maharashtra State (India) by using gamma energy at 0.662 MeV. Bulg. J. Phys. 2010, 37, 158–164. [Google Scholar]
- Tech, L.; Pires, L.F.; Brinatti, A.M.; Saab, S.C.; Correchel, V.; Momoli, R.S. Elemental and radiation attenuation parameter analyses to characterize a Cambisol from the Serra Dourada State Park, Brazil. Environ. Earth Sci. 2022, 81, 63–77. [Google Scholar] [CrossRef]
- Kucuk, N.; Cakir, M.; Ali Isitman, N. Mass attenuation coefficients, effective atomic numbers and effective electron densities for some polymers. Radiat. Prot. Dosim. 2013, 153, 127–134. [Google Scholar] [CrossRef]
- Al-Masri, M.S.; Hasan, M.; Al-Hamwi, A.; Amin, Y.; Doubal, A.W. Mass attenuation coefficients of soil and sediments samples using gamma energies from 46.5 to 1332 keV. J. Environ. Radioact. 2013, 116, 28–33. [Google Scholar] [CrossRef] [PubMed]
- Kucuk, N.; Tumsavas, Z.; Cakir, M. Determining photon energy absorption parameters for different soil samples. J. Radiat. Res. 2013, 54, 578–586. [Google Scholar] [CrossRef]
- Özpolat, Ö.F.; Alim, B.; Sakar, E.; Büyükyildiz, M.; Kurudirek, M. Phy-X/ZeXTRa: A software for robust calculation of effective atomic numbers for photon, electron, proton, alpha particle, and carbon ion interactions. Radiat. Environ. Biophys. 2020, 59, 321–329. [Google Scholar] [CrossRef]
- Demir, D.; Tursucu, A.; Öznülüer, T. Studies on mass attenuation coefficient, effective atomic number and electron density of some vitamins. Radiat. Environ. Biophys. 2012, 51, 469–475. [Google Scholar] [CrossRef]
- Ferraz, E.S.B.; Mansell, R.S. Determining water content and bulk density of soil by gamma-ray attenuation methods. Tech. Bull. 1979, 807, 51. [Google Scholar]
- Gee, G.W.; Bauder, J.W. Particle-size analysis. In Methods of Soil Analysis. Part I. Physical and Mineralogical Methods; Klute, A., Ed.; ASA: Madison, WI, USA, 1986; pp. 383–411. [Google Scholar]
- Teixeira, P.C.; Donagemma, G.K.; Fontana, A.; Teixeira, W.G. Manual de Métodos de Análise de Solo, 2nd ed.; Centro Nacional de Pesquisa de Solos: Rio de Janeiro, Brazil, 1997. [Google Scholar]
- Ferreira, T.R.; Pires, L.F.; Brinatti, A.M.; Auler, A.C. Surface liming effects on soil radiation attenuation properties. J. Soil Sediment. 2018, 18, 1641–1653. [Google Scholar] [CrossRef]
- Hubbell, J.H.; Seltzer, S.M. Tables of X-ray Mass Attenuation Coefficients and Mass Energy-Absorption Coefficients 1 keV to 20 MeV for Elements Z=1 to 92 and 48 Additional Substances of Dosimetric Interest; National Institute of Standards and Technology: Gaithersburg, MD, USA, 1995. [Google Scholar]
- Medhat, M.E.; Pires, L.F.; Arthur, R.C.J. Analysis of photon interaction parameters as function of the soil composition. J. Radioanal. Nucl. Chem. 2014, 300, 1105–1112. [Google Scholar] [CrossRef]
- Tarim, U.A.; Gurler, O.; Ozmutu, E.N.; Yalcin, S. Monte Carlo calculations for gamma ray mass attenuation coefficients of some soil samples. Ann. Nucl. Energy 2013, 58, 198–201. [Google Scholar] [CrossRef]
- Totsche, K.U.; Amelung, W.; Gerzabek, M.H.; Guggenberger, G.; Klumpp, E.; Knief, C.; Lehndorff, E.; Mikutta, R.; Peth, S.; Pretchel, A.; et al. Microaggregates in soils. J. Plant Nutr. Soil Sci. 2017, 181, 104–136. [Google Scholar] [CrossRef]
- Weng, L.; Regelink, I.C.; Stoof, C.R.; Rousseva, S.; Lair, G.J.; Kram, P.; Nikolaids, N.P.; Kercheva, M.; Banwart, S.; Comans, R.N.J. Linkages between aggregate formation, porosity and soil chemical properties. Geoderma 2015, 247/248, 24–37. [Google Scholar]
- Ge, L.; Zhang, Q.; Guo, Y.; Bai, H.; Gu, Y.; Xu, Y.; Zhao, J.; Peng, Y.; Liu, J. Determination of effective atomic numbers and mass attenuation coefficients of samples using in-situ energy-dispersive X-ray fluorescence analysis. X-ray Spectrom. 2017, 47, 4–10. [Google Scholar]
- Taqi, A.H.; Khalil, H.J. An investigation on gamma attenuation of soil and oil-soil samples. J. Radiat. Res. Appl. Sci. 2017, 10, 252–261. [Google Scholar] [CrossRef][Green Version]
- Gurler, O.; Tumsavas, Z.; Tarim, U.A. Gamma ray attenuation study for the soils of Bursa, Turkey, in the Energy range 59.5–1332.5 keV. Iran J. Sci. Technol. Trans. A Sci. 2020, 44, 1161–1166. [Google Scholar] [CrossRef]
- Taqi, A.H.; Al Nuaimy, Q.A.M.; Karem, G.A. Study of the properties of soil in Kirkuk, IRAQ. J. Radiat. Res. Appl. Sci. 2016, 6, 259–265. [Google Scholar] [CrossRef]
- Elsafi, M.; Koraim, Y.; Almurayshid, M.; Almasoud, F.; Sayyed, M.I.; Saleh, I.H. Investigation of photon radiation attenuation capability of different clay materials. Materials 2021, 14, 6702. [Google Scholar] [CrossRef]
- Medhat, M.E.; Demir, N.; Tarim, U.A.; Gurler, O. Calculation of gamma ray mass attenuation coefficients of some Egyptian soil samples using Monte Carlo methods. Radiat. Eff. Defects Solids 2014, 169, 706–714. [Google Scholar] [CrossRef]
- Akkurt, I.; Mavi, B.; Akkurt, A.; Basyigit, C.; Kilincarslan, S.; Yalim, H.A. Study on Z dependence of partial and total mass attenuation coefficients. J. Quant. Spectrosc. Radiat. Transf. 2005, 94, 379–385. [Google Scholar] [CrossRef]
- Han, I.; Demir, L.; Sahin, M. Determination of mass attenuation coefficients, effective atomic and electron numbers for some natural minerals. Radiat. Phys. Chem. 2009, 78, 760–764. [Google Scholar] [CrossRef]
- Medhat, M.E.; Pires, L.F. Importance of photo atomic cross section for studying physical properties of different types of soil. X-ray Spectorm. 2016, 45, 202–206. [Google Scholar] [CrossRef]
- Içelli, O.; Erzeneoglu, S.; Boncukçuoglu, R. Determination of molecular, atomic, electronic cross-sections and effective atomic number of some boron compounds and TSW. Nucl. Intrum. Methods Phys. Res. B 2008, 266, 3226–3230. [Google Scholar] [CrossRef]
- Medhat, M.E.; Abdel-Hafiez, A. Application of gamma-ray attenuation in studying soil properties. Phys. Sci. Int. J. 2016, 10, 1–6. [Google Scholar] [CrossRef]
- Knoll, G.F. Radiation Detection and Measurement; John Wiley & Sons: Hoboken, NJ, USA, 2010. [Google Scholar]
- El-Khayatt, A.M.; Al-Rajhi, M.A. Analysis of some lunar soil and rocks samples in terms of photon interaction and photon energy absorption. Adv. Space Res. 2015, 55, 1816–1822. [Google Scholar] [CrossRef]
- Singh, V.P.; Shirmardi, S.P.; Medhat, M.E.; Badiger, N.M. Determination of mass attenuation coefficient for some polymers using Monte Carlo simulation. Vaccum 2015, 119, 284–288. [Google Scholar] [CrossRef]
- Medhat, M.E. Study of the mass attenuation coefficients and effective atomic numbers in some gemstones. J. Radioanal. Nucl. Chem. 2012, 293, 555–564. [Google Scholar] [CrossRef]
- Elsafi, M.; Alrashedi, M.F.; Sayyed, M.I.; Al-Hamarneh, I.F.; El-Nahal, M.A.; El-Khatib, M.; Khandaker, M.U.; Osman, H.; El Askary, A. The potential of Egyptian and Indian granites for protection of ionizing radiation. Materials 2021, 14, 3928. [Google Scholar] [CrossRef]
- Mann, H.S.; Brar, G.S.; Mann, K.S.; Mudahar, G.S. Experimental investigation of clay fly ash bricks for gamma-ray shielding. Nucl. Eng. Technol. 2016, 48, 1230–1236. [Google Scholar] [CrossRef]
- Khazaalah, T.H.; Mustafa, I.S.; Sayyed, M.I.; Abdul Rahman, A.; Mohd Zaid, M.H.; Hisam, R.; Izwan Abdul Malik, M.F.; Seth Ezra, N.; Salah Naeem, H.; Che Khalib, N. Development of novel transparent radiation shielding glasses by BaO doping in waste soda lime silica (SLS) glass. Sustainability 2022, 14, 937. [Google Scholar] [CrossRef]
- Zaid, M.H.M.; Akman, F.; Turan, V.; Sayyed, M.I.; Akdemir, F.; Kaçal, M.R.; Durak, R. Comprehensive study on evaluation of shielding parameters of selected soils by gamma and X-rays transmission in the range 13.94-88.04 keV using WinXCom and FFAST programs. Results Phys. 2019, 15, 102751. [Google Scholar]
- Han, I.; Demir, L. Mass attenuation coefficients, effective atomic numbers and electron densities of undoped and differently doped GaAs and InP crystals. Ann. Nucl. Energy 2009, 36, 869–873. [Google Scholar]
- Jiménez-Ballesta, R.; Bravo, S.; Amorós, J.A.; Pérez-de los Reyes, C.; García-Giménez, R.; Higueras, P.; García-Navarro, F.J. Mineralogical and geochemical nature of calcareous vineyard soils from Alcubillas (La Mancha, Central Spain). Int. J. Environ. Res. Public Health 2020, 17, 6229. [Google Scholar] [CrossRef] [PubMed]
- Xue, B.; Huang, L.; Li, X.; Lu, J.; Gao, R.; Kamran, M.; Fahad, S. Effect of clay mineralogy and soil organic carbon in aggregates under straw incorporation. Agronomy 2022, 12, 534. [Google Scholar] [CrossRef]
Publisher’s Note: MDPI stays neutral with regard to jurisdictional claims in published maps and institutional affiliations. |
© 2022 by the authors. Licensee MDPI, Basel, Switzerland. This article is an open access article distributed under the terms and conditions of the Creative Commons Attribution (CC BY) license (https://creativecommons.org/licenses/by/4.0/).