Association between Development Assistance for Health and Disease Burden: A Longitudinal Analysis on Official Development Assistance for HIV/AIDS, Tuberculosis, and Malaria in 2005–2017
Abstract
1. Background
2. Methods
2.1. Target Countries
2.2. Data Source
2.3. Analysis
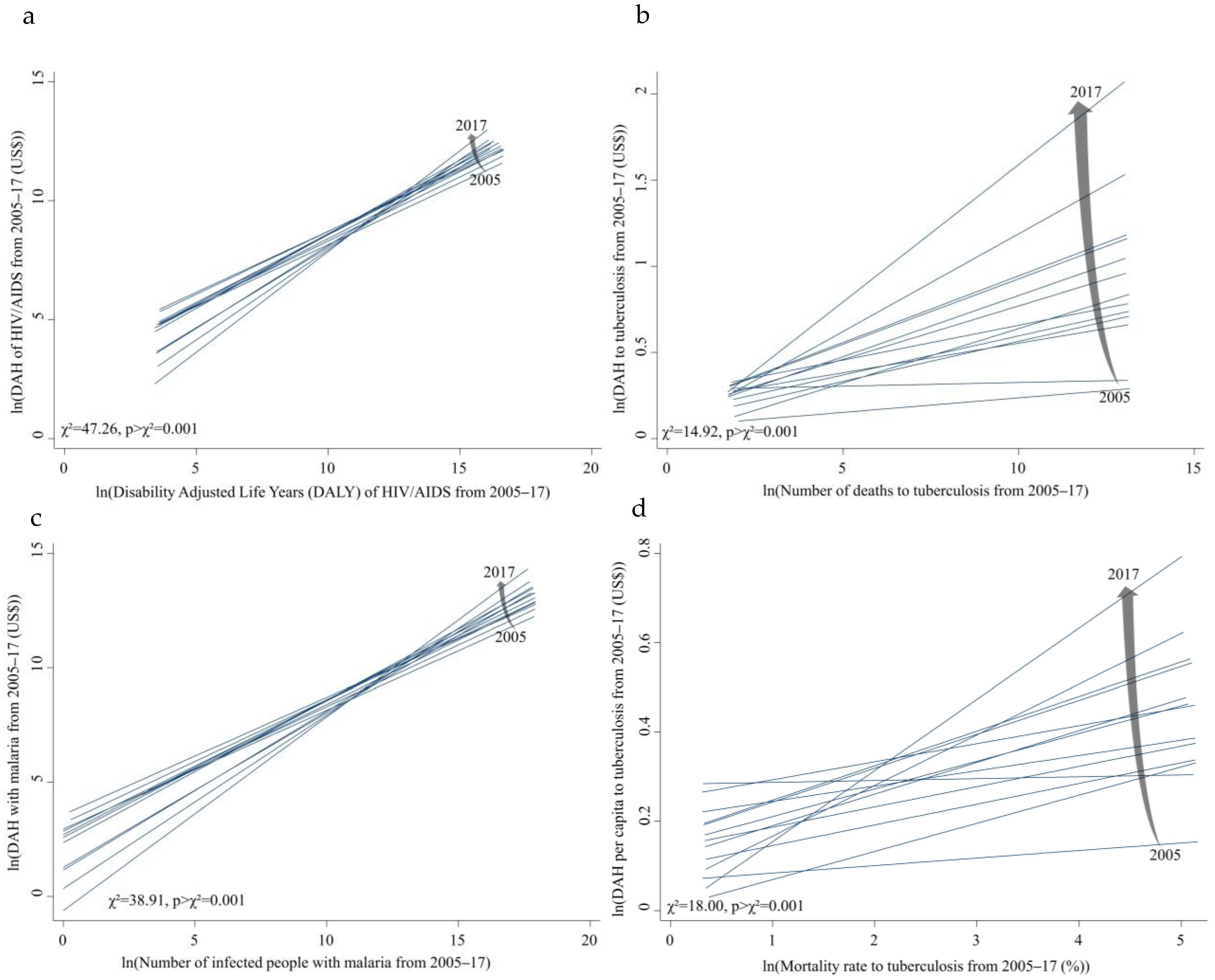
3. Results
4. Discussion
5. Conclusions
Supplementary Materials
Author Contributions
Funding
Institutional Review Board Statement
Informed Consent Statement
Data Availability Statement
Conflicts of Interest
References
- Vos, T.; Lim, S.S.; Abbafati, C.; Abbas, K.M.; Abbasi, M.; Abbasifard, M.; Abbasi-Kangevari, M.; Abbastabar, H.; Abd-Allah, F.; Abdelalim, A.; et al. Global burden of 369 diseases and injuries in 204 countries and ter-ritories, 1990–2019: A systematic analysis for the Global Burden of Disease Study 2019. Lancet 2020, 396, 1204–1222. [Google Scholar] [CrossRef]
- Van Zanten, J.A.; van Tulder, R. Beyond COVID-19: Applying “SDG logics” for resilient transformations. J. Int. Bus. Policy 2020, 3, 451–464. [Google Scholar] [CrossRef]
- Development Initiatives. Targeting Health ODA to Need: Spending by Country and Disease—Factsheet, July 2020. Available online: https://devinit.org/resources/targeting-health-oda-need-spending-country-and-disease (accessed on 15 November 2020).
- Frontline AIDS/STOPAIDS. Jeopardising Progress: Impact of the UK Government’s Aid Cuts on HIV&AIDS Worldwide. 21 September 2021. Available online: https://stopaids.org.uk/resources/jeopardising-progress-impact-of-the-uk-governments-aid-cuts-on-hiv-aids-worldwide/website (accessed on 15 October 2021).
- IHME. Findings from the Global Burden of Disease Study 2017; Institute for Health Metrics and Evaluation: Seattle, WA, USA, 2018; Available online: http://ghdx.healthdata.org/gbd-results-tool (accessed on 15 November 2020).
- Micah, A.E.; Su, Y.; Bachmeier, S.D.; Chapin, A.; Cogswell, I.E.; Crosby, S.W.; Cunningham, B.; Harle, A.C.; Maddison, E.R.; Moitra, M.; et al. Health sector spending and spending on HIV/AIDS, tuberculosis, and ma-laria, and development assistance for health: Progress towards Sustainable Development Goal 3. Lancet 2020, 396, 693–724. [Google Scholar] [CrossRef]
- Drager, S.; Gedik, G.; Dal Poz, M.R. Health workforce issues and the Global Fund to fight AIDS, Tuberculosis and Malaria: An analytical review. Hum. Resour. Health 2006, 4, 23. [Google Scholar] [CrossRef] [PubMed]
- De Jongh, T.E.; Harnmeijer, J.H.; Atun, R.; Korenromp, E.L.; Zhao, J.; Puvimanasinghe, J.; Baltussen, R. Health impact of external funding for HIV, tuberculosis and malaria: Systematic review. Health Policy Plan. 2014, 29, 650–662. [Google Scholar] [CrossRef] [PubMed]
- Development Initiatives. Aid Spent on Health: ODA Data on Donors, Sectors, Recipients—Factsheet, July 2020. Available online: https://devinit.org/resources/aid-spent-health-oda-data-donors-sectors-recipients/ (accessed on 15 November 2020).
- Zhao, Y.; Micah, A.E.; Gloyd, S.; Dieleman, J.L. Development assistance for health and the Middle East and North Africa. Glob. Health 2020, 16, 14. [Google Scholar] [CrossRef]
- Global Spending on Health: A World in Transition; World Health Organization: Geneva, Switzerland, 2019; Licence: CC BY-NC-SA 3.0 IGO; Available online: https://www.who.int/publications/i/item/WHO-HIS-HGF-HFWorkingPaper-19.4 (accessed on 15 November 2020).
- Leach-Kemon, K.; Chou, D.P.; Schneider, M.T.; Tardif, A.; Dieleman, J.L.; Brooks, B.P.; Hanlon, M.; Murray, C.J. The global financial crisis has led to a slowdown in growth of funding to improve health in many developing countries. Health Aff. 2012, 31, 228–235. [Google Scholar] [CrossRef] [PubMed]
- Dieleman, J.L.; Haakenstad, A.; Micah, A.; Moses, M.; Abbafati, C.; Acharya, P.; Adhikari, T.B.; Adou, A.K.; Ahmad Kiadaliri, A.; Alam, K.; et al. Spending on health and HIV/AIDS: Domestic health spending and development assistance in 188 countries, 1995–2015. Lancet 2018, 391, 1799–1829. [Google Scholar] [CrossRef]
- Dieleman, J.L.; Schneider, M.T.; Haakenstad, A.; Singh, L.; Sadat, N.; Birger, M.; Reynolds, A.; Templin, T.; Hamavid, H.; Chapin, A.; et al. Develop-ment assistance for health: Past trends, associations, and the future of international financial flows for health. Lancet 2016, 387, 2536–2544. [Google Scholar] [CrossRef]
- Bulir, A.; Hamann, A.J. Aid Volatility: An Empirical Assessment. IMF Staff. Pap. 2003, 50, 64–89. [Google Scholar]
- Celasun, O.; Walliser, J. Predictability of aid: Do fickle donors undermine aid effectiveness? Econ. Policy 2014, 23, 546–594. [Google Scholar]
- Kyu, H.H.; Maddison, E.R.; Henry, N.J.; Ledesma, J.R.; Wiens, K.E.; Reiner, R.; Biehl, M.H.; Shields, C.; Osgood-Zimmerman, A.; Ross, J.M.; et al. Global, regional, and national burden of tuberculosis, 1990–2016: Results from the Global Burden of Diseases, Injuries, and Risk Factors 2016 Study. Lancet Infect. Dis. 2018, 18, 1329–1349. [Google Scholar] [CrossRef]
- Shretta, R.; Zelman, B.; Birger, M.L.; Haakenstad, A.; Singh, L.; Liu, Y.; Dieleman, J. Tracking development assistance and government health expenditures for 35 malaria-eliminating countries: 1990–2017. Malar. J. 2017, 16, 251. [Google Scholar] [CrossRef] [PubMed]
- Grobusch, M.P.; Kapata, N. Global burden of tuberculosis: Where we are and what to do. Lancet Infect. Dis. 2018, 18, 1291–1293. [Google Scholar] [CrossRef]
- Haakenstad, A.; Templin, T.; Lim, S.; Bump, J.B.; Dieleman, J. The financing gaps framework: Using need, potential spending and ex-pected spending to allocate development assistance for health. Health Policy Plan. 2018, 33 (Suppl. 1), i47–i55. [Google Scholar] [CrossRef] [PubMed]
- Hsiao, A.J.; Emdin, C.A. The association between development assis-tance for health and malaria, HIV and tuberculosis mortality: A cross-national analysis. J. Epidemiol. Glob. Health 2015, 5, 41–48. [Google Scholar] [CrossRef] [PubMed]
- Yan, I.; Korenromp, E.; Bendavid, E. Mortality changes after grants from the Global Fund to Fight AIDS, tuberculosis and malaria: An econometric analysis from 1995 to 2010. BMC Public Health 2015, 15, 977. [Google Scholar] [CrossRef] [PubMed]
- Dieleman, J.L.; Graves, C.M.; Templin, T.; Johnson, E.; Baral, R.; Leach-Kemon, K.; Haakenstad, A.M.; Murray, C.J. Global health de-velopment assistance remained steady in 2013 but did not align with recipients’ disease burden. Health Aff. 2014, 33, 878–886. [Google Scholar] [CrossRef]
- Hsu, J.; Pitt, C.; Greco, G.; Berman, P.; Mills, A. Countdown to 2015: Changes in official development assistance to maternal, newborn, and child health in 2009-10, and assessment of progress since 2003. Lancet 2012, 380, 1157–1168. [Google Scholar] [CrossRef]
- Pitt, C.; Greco, G.; Powell-Jackson, T.; Mills, A. Countdown to 2015: Assessment of official development assistance to maternal, newborn, and child health, 2003–2008. Lancet 2010, 376, 1485–1496. [Google Scholar] [CrossRef]
- DESA. The Millennium Development Goals Report 2015; United Nations Department of Economic Social Affairs: New York, NY, USA, 2016. [Google Scholar]
- IHME. Development Assistance for Health Database 1990–2017; Institute for Health Metrics and Evaluation: Seattle, WA, USA, 2018; Available online: https://ghdx.healthdata.org/record/ihme-data/development-assistance-health-database-1990-2017 (accessed on 15 November 2020).
- Grépin, K.A.; Leach-Kemon, K.; Schneider, M.; Sridhar, D. How to do (or not to do) ... Tracking data on development assistance for health. Health Policy Plan. 2012, 27, 527–534. [Google Scholar] [CrossRef]
- Kyu, H.H.; Abate, D.; Abate, K.H.; Abay, S.M.; Abbafati, C.; Abbasi, N.; Abbastabar, H.; Abd-Allah, F.; Abdela, J.; Abdelalim, A.; et al. Global, regional, and national disability-adjusted life-years (DALYs) for 359 diseases and injuries and healthy life expectancy (HALE) for 195 countries and territories, 1990–2017: A systematic analysis for the Global Burden of Disease Study 2017. Lancet 2018, 392, 1859–1922. [Google Scholar] [CrossRef]
- Vardell, E. Global Health Observatory Data Repository. Med. Ref. Serv. Q. 2020, 39, 67–74. [Google Scholar] [CrossRef] [PubMed]
- World Bank Group. World Bank Development Indicators 2019. 2019. Available online: https://data.worldbank.org/indicator/NY.GNP.PCAP.CD (accessed on 15 November 2020).
- World Bank Group. World Population Indicators 2017. 2017. Available online: https://data.worldbank.org/indicator/SP.POP.TOTL (accessed on 15 November 2020).
- Kickbusch, I. Global Health Governance Challenges 2016—Are We Ready? Int. J. Health Policy Manag. 2016, 5, 349–353. [Google Scholar] [CrossRef]
- Ooms, G.; Decoster, K.; Miti, K.; Rens, S.; Van Leemput, L.; Vermeiren, P.; Van Damme, W. Crowding out: Are relations between international health aid and government health funding too complex to be captured in averages only? Lancet 2010, 375, 1403–1405. [Google Scholar] [CrossRef]
- Kickbusch, I. Influence and opportunity: Reflections on the U.S. role in global public health. Health Aff. 2002, 21, 131–141. [Google Scholar] [CrossRef] [PubMed]
- Sridhar, D. Health policy: Regulate alcohol for global health. Nature 2012, 482, 302. [Google Scholar] [CrossRef]
- WHO. State of Inequality: HIV, Tuberculosis and Malaria; World Health Organization: Geneva, Switzerland, 2021; Licence: CC BY-NC-SA 3.0 IGO. [Google Scholar]
- Alesina, A.; Dollar, D. Who Gives Foreign Aid to Whom and Why? J. Econ. Growth 2000, 5, 33–63. [Google Scholar] [CrossRef]
- Chi, Y.-L.; Bump, J.B. Resource allocation processes at multilateral organizations working in global health. Health Policy Plan. 2018, 33 (Suppl. 1), i4–i13. [Google Scholar] [CrossRef]
- Bump, J.B. Global health aid allocation in the 21st century. Health Policy Plan. 2018, 33 (Suppl. 1), i1–i3. [Google Scholar] [CrossRef]
- Lozano, R.; Fullman, N.; Mumford, J.E.; Knight, M.; Barthelemy, C.M.; Abbafati, C.; Abbastabar, H.; Abd-Allah, F.; Abdollahi, M.; Abedi, A.; et al. Measuring universal health coverage based on an index of effective coverage of health services in 204 countries and territories, 1990–2019: A systematic analysis for the Global Burden of Disease Study 2019. Lancet 2020, 396, 1250–1284. [Google Scholar] [CrossRef]
- Lu, C.; Schneider, M.T.; Gubbins, P.; Leach-Kemon, K.; Jamison, D.; Murray, C.J.L. Public financing of health in developing countries: A cross-national systematic analysis. Lancet 2010, 375, 1375–1387. [Google Scholar] [CrossRef]
- UN Department of Economic and Social Affairs. Financing for development office. In Proceedings of the Addis Ababa Action Agenda of the Third Inter-national Conference on Financing for Development (Addis Ababa Action Agenda), Addis Ababa, Ethiopia, 13–16 July 2015; United Nations: New York, NY, USA, 2015. [Google Scholar]
- Dieleman, J.L.; Cowling, K.; Agyepong, I.A.; Alkenbrack, S.; Bollyky, T.J.; Bump, J.B.; Chen, C.S.; Grépin, K.A.; Haakenstad, A.; Harle, A.C.; et al. The G20 and development assistance for health: Historical trends and crucial questions to inform a new era. Lancet 2019, 394, 173–183. [Google Scholar] [CrossRef]
- WHO. Implementation of the International Health Regulations (2005): Report of the Review Committee on the Role of the International Health Regulations (2005) in the Ebola Outbreak and Response; World Health Organization: Geneva, Switzerland, 2016. [Google Scholar]
- Avdeeva, O.; Lazarus, J.V.; Aziz, M.A.; Atun, R. The Global Fund’s re-source allocation decisions for HIV programmes: Addressing those in need. J. Int. AIDS Soc. 2011, 14, 51. [Google Scholar] [CrossRef]




| 2005 | 2006 | 2007 | 2008 | 2009 | 2010 | 2011 | 2012 | 2013 | 2014 | 2015 | 2016 | 2017 | |
|---|---|---|---|---|---|---|---|---|---|---|---|---|---|
| Global | |||||||||||||
| DAH | 102,580 | 109,020 | 120,800 | 145,610 | 150,850 | 170,220 | 170,610 | 173,240 | 195,660 | 180,500 | 175,680 | 172,870 | |
| Annual change (%) | 6.3% | 10.8% | 20.5% | 3.6% | 12.8% | 0.2% | 1.5% | 12.9% | −7.7% | −2.7% | −1.6% | ||
| DAH per capita | 2 | 2 | 2 | 2 | 2 | 2 | 2 | 2 | 3 | 2 | 2 | 2 | |
| Annual change (%) | 0% | 0% | 0% | 0% | 0% | 0% | 0% | 50% | −33% | 0% | 0% | ||
| DAH for HIV/AIDS | 26,220 | 32,370 | 42,010 | 49,750 | 50,230 | 56,060 | 55,710 | 56,100 | 59,360 | 50,650 | 42,780 | 44,980 | 48,600 |
| Annual change (%) | 23.5% | 29.8% | 18.4% | 1.0% | 11.6% | −0.6% | 0.7% | 5.8% | −14.7% | −15.5% | 5.1% | 8.1% | |
| DAH per capita for HIV/AIDS | 1 | 1 | 1 | 2 | 2 | 2 | 2 | 2 | 2 | 2 | 1 | 1 | 2 |
| Annual change (%) | 0% | 0% | 100% | 0% | 0% | 0% | 0% | 0% | 0% | −50% | 0% | 100% | |
| DAH for TB | 5460 | 7160 | 9430 | 11,290 | 12,300 | 14,850 | 13,800 | 13,480 | 16,510 | 12,570 | 13,290 | 14,600 | 17,220 |
| Annual change (%) | 31.1% | 31.7% | 19.7% | 8.9% | 20.8% | −7.1% | −2.4% | 22.5% | −23.8% | 5.7% | 9.9% | 17.9% | |
| DAH per capita for TB | 0.285 | 0.302 | 0.320 | 0.330 | 0.348 | 0.348 | 0.345 | 0.341 | 0.349 | 0.333 | 0.333 | 0.327 | 0.341 |
| Annual change (%) | 5.9% | 6.2% | 2.8% | 5.5% | 0% | −0.9% | −1.1% | 2.4% | −4.8% | 0.2% | −1.8% | 4.3% | |
| DAH for malaria | 7570 | 9190 | 9590 | 16,240 | 22,510 | 23,240 | 21,270 | 24,010 | 22,920 | 22,900 | 21,810 | 25,470 | 24,870 |
| Annual change (%) | 21.3% | 4.4% | 69.3% | 38.6% | 3.2% | −8.5% | 12.9% | −4.5% | −0.1% | −4.8% | 16.8% | −2.4% | |
| DAH per capita for malaria | 0.288 | 0.313 | 0.313 | 0.427 | 0.501 | 0.503 | 0.473 | 0.495 | 0.474 | 0.467 | 0.452 | 0.49 | 0.487 |
| Annual change (%) | 8.7% | 0% | 36.4% | 17.3% | 0.4% | −6.0% | 4.7% | −4.2% | −1.5% | −3.2% | 8.4% | −0.6% |
| Model | Regression Coefficient | 95% CI | p | R2 |
|---|---|---|---|---|
| HIV/AIDs model | ||||
| ln (DAH to DALY, 2017) | 0.78 | 0.66, 0.91 | <0.001 | 0.73 |
| ln (DAH to DALY, 2005) | 0.47 | 0.36, 0.58 | <0.001 | 0.56 |
| ln (DAH to number of infected people, 2017) | 0.78 | 0.68, 0.88 | <0.001 | 0.79 |
| ln (DAH to number of infected people, 2005) | 0.51 | 0.40, 0.61 | <0.001 | 0.61 |
| ln (DAH to number of deaths, 2017) | 0.67 | 0.52, 0.81 | <0.001 | 0.61 |
| ln (DAH to number of deaths, 2005) | 0.48 | 0.37, 0.61 | <0.001 | 0.56 |
| ln (DAH per capita to prevalence, 2017) | 24.34 | 20.07, 28.61 | <0.001 | 0.62 |
| ln (DAH per capita to prevalence, 2005) | 16.22 | 11.93, 20.51 | <0.001 | 0.41 |
| ln (DAH per capita to incidence rate, 2017) | 1.19 | 1.02, 1.37 | <0.001 | 0.69 |
| ln (DAH per capita to incidence rate, 2005) | 0.61 | 0.46, 0.76 | <0.001 | 0.44 |
| ln (DAH per capita to mortality rate, 2017) | 0.42 | 0.31, 0.52 | <0.001 | 0.46 |
| ln (DAH per capita to mortality rate, 2005) | 0.25 | 0.19, 0.32 | <0.001 | 0.41 |
| TB model | ||||
| ln (DAH to DALY, 2017) | 0.66 | 0.46, 0.86 | <0.001 | 0.46 |
| ln (DAH to DALY, 2005) | 0.78 | 0.55, 1.01 | <0.001 | 0.49 |
| ln (DAH to number of infected people, 2017) | 0.67 | 0.44, 0.91 | <0.001 | 0.42 |
| ln (DAH to number of infected people, 2005) | 0.51 | 0.27, 0.76 | <0.001 | 0.34 |
| ln (DAH to number of deaths, 2017) | 0.66 | 0.45, 0.87 | <0.001 | 0.45 |
| ln (DAH to number of deaths, 2005) | 0.58 | 0.34, 0.81 | <0.001 | 0.38 |
| ln (DAH per capita to prevalence, 2017) | 203.93 | 137.07, 270.79 | <0.001 | 0.33 |
| ln (DAH per capita to prevalence, 2005) | 7.28 | −17.30, 31.88 | 0.55 | 0.05 |
| ln (DAH per capita to incidence rate, 2017) | 0.21 | 0.12, 0.31 | <0.001 | 0.25 |
| ln (DAH per capita to incidence rate, 2005) | −0.01 | −0.03, 0.02 | 0.76 | 0.05 |
| ln (DAH per capita to mortality rate, 2017) | 0.19 | 0.11, 0.29 | <0.001 | 0.21 |
| ln (DAH per capita to mortality rate, 2005) | 0.0008 | −0.03, 0.03 | 0.96 | 0.05 |
| Malaria model | ||||
| ln (DAH to DALY, 2017) | 0.37 | 0.18, 0.55 | <0.001 | 0.48 |
| ln (DAH to DALY, 2005) | 0.31 | 0.13, 0.49 | 0.001 | 0.41 |
| ln (DAH to number of infected people, 2017) | 0.33 | 0.18, 0.49 | <0.001 | 0.49 |
| ln (DAH to number of infected people, 2005) | 0.28 | 0.13, 0.44 | <0.001 | 0.42 |
| ln (DAH to number of deaths, 2017) | 0.39 | 0.19, 0.61 | <0.001 | 0.47 |
| ln (DAH to number of deaths, 2005) | 0.22 | 0.05, 0.38 | <0.001 | 0.36 |
| ln (DAH per capita to prevalence, 2017) | 0.84 | −0.48, 2.16 | 0.208 | 0.33 |
| ln (DAH per capita to prevalence, 2005) | 0.77 | −0.01, 1.55 | 0.05 | 0.11 |
| ln (DAH per capita to incidence rate, 2017) | 0.08 | 0.01, 0.15 | 0.02 | 0.37 |
| ln (DAH per capita to incidence rate, 2005) | 0.09 | 0.03, 0.15 | <0.01 | 0.18 |
| ln (DAH per capita to mortality rate, 2017) | 0.03 | −0.05, 0.12 | 0.45 | 0.32 |
| ln (DAH per capita to mortality rate, 2005) | 0.02 | −0.04, 0.08 | 0.52 | 0.05 |
| Model | LR Test | p |
|---|---|---|
| HIV/AIDS | ||
| fixed effects model: year × HIV DALY | 47.26 | <0.001 |
| fixed effects model: year × HIV number of infected people | 45.70 | <0.001 |
| fixed effects model: year × HIV number of deaths | 50.88 | <0.001 |
| fixed effects model: year × HIV prevalence | 15.77 | <0.001 |
| fixed effects model: year × HIV incidence rate | 7.83 | <0.001 |
| fixed effects model: year × HIV mortality rate | 17.69 | <0.001 |
| Malaria | ||
| fixed effects model: year × malaria DALY | 39.73 | <0.001 |
| fixed effects model: year ×malaria number of infected people | 38.91 | <0.001 |
| fixed effects model: year× malaria number of deaths | 42.22 | <0.001 |
| fixed effects model: year × malaria prevalence | 56.69 | <0.001 |
| fixed effects model: year × malaria incidence rate | 60.44 | <0.001 |
| fixed effects model: year × malaria mortality rate | 55.87 | <0.001 |
| (Tuberculosis) TB | ||
| fixed effects model: year × TB DALY | 14.16 | <0.001 |
| fixed effects model: year × TB number of infected people | 14.26 | <0.001 |
| fixed effects model: year × TB number of deaths | 14.92 | <0.001 |
| fixed effects model: year × TB prevalence | 16.45 | <0.001 |
| fixed effects model: year × TB incidence rate | 16.92 | <0.001 |
| fixed effects model: year × TB mortality rate | 18.00 | <0.001 |
Publisher’s Note: MDPI stays neutral with regard to jurisdictional claims in published maps and institutional affiliations. |
© 2022 by the authors. Licensee MDPI, Basel, Switzerland. This article is an open access article distributed under the terms and conditions of the Creative Commons Attribution (CC BY) license (https://creativecommons.org/licenses/by/4.0/).
Share and Cite
Kim, S.; Tadesse, E.; Jin, Y.; Cha, S. Association between Development Assistance for Health and Disease Burden: A Longitudinal Analysis on Official Development Assistance for HIV/AIDS, Tuberculosis, and Malaria in 2005–2017. Int. J. Environ. Res. Public Health 2022, 19, 14091. https://doi.org/10.3390/ijerph192114091
Kim S, Tadesse E, Jin Y, Cha S. Association between Development Assistance for Health and Disease Burden: A Longitudinal Analysis on Official Development Assistance for HIV/AIDS, Tuberculosis, and Malaria in 2005–2017. International Journal of Environmental Research and Public Health. 2022; 19(21):14091. https://doi.org/10.3390/ijerph192114091
Chicago/Turabian StyleKim, Sumin, Ermias Tadesse, Yan Jin, and Seungman Cha. 2022. "Association between Development Assistance for Health and Disease Burden: A Longitudinal Analysis on Official Development Assistance for HIV/AIDS, Tuberculosis, and Malaria in 2005–2017" International Journal of Environmental Research and Public Health 19, no. 21: 14091. https://doi.org/10.3390/ijerph192114091
APA StyleKim, S., Tadesse, E., Jin, Y., & Cha, S. (2022). Association between Development Assistance for Health and Disease Burden: A Longitudinal Analysis on Official Development Assistance for HIV/AIDS, Tuberculosis, and Malaria in 2005–2017. International Journal of Environmental Research and Public Health, 19(21), 14091. https://doi.org/10.3390/ijerph192114091

