Impacts of COVID-19 Prevention and Control Measures on Asthma-Related Hospital and Outpatient Visits in Yichang, China
Abstract
1. Introduction
2. Materials and Methods
2.1. Data Sources and Setting
2.2. Research Methods
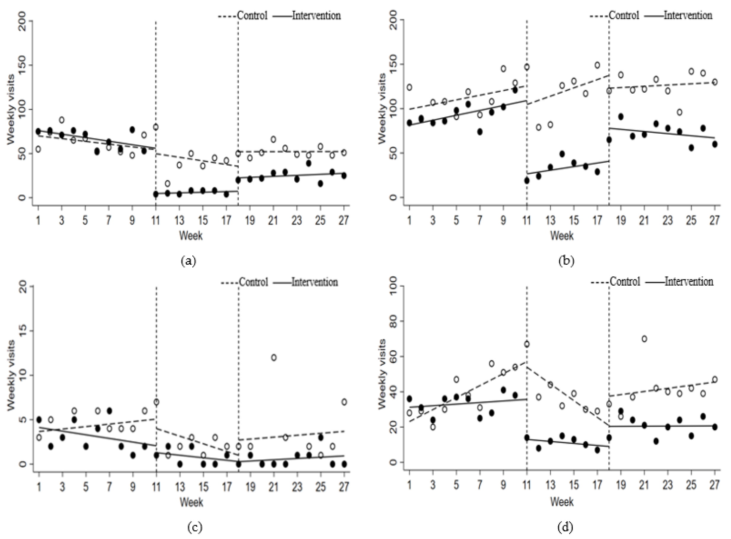
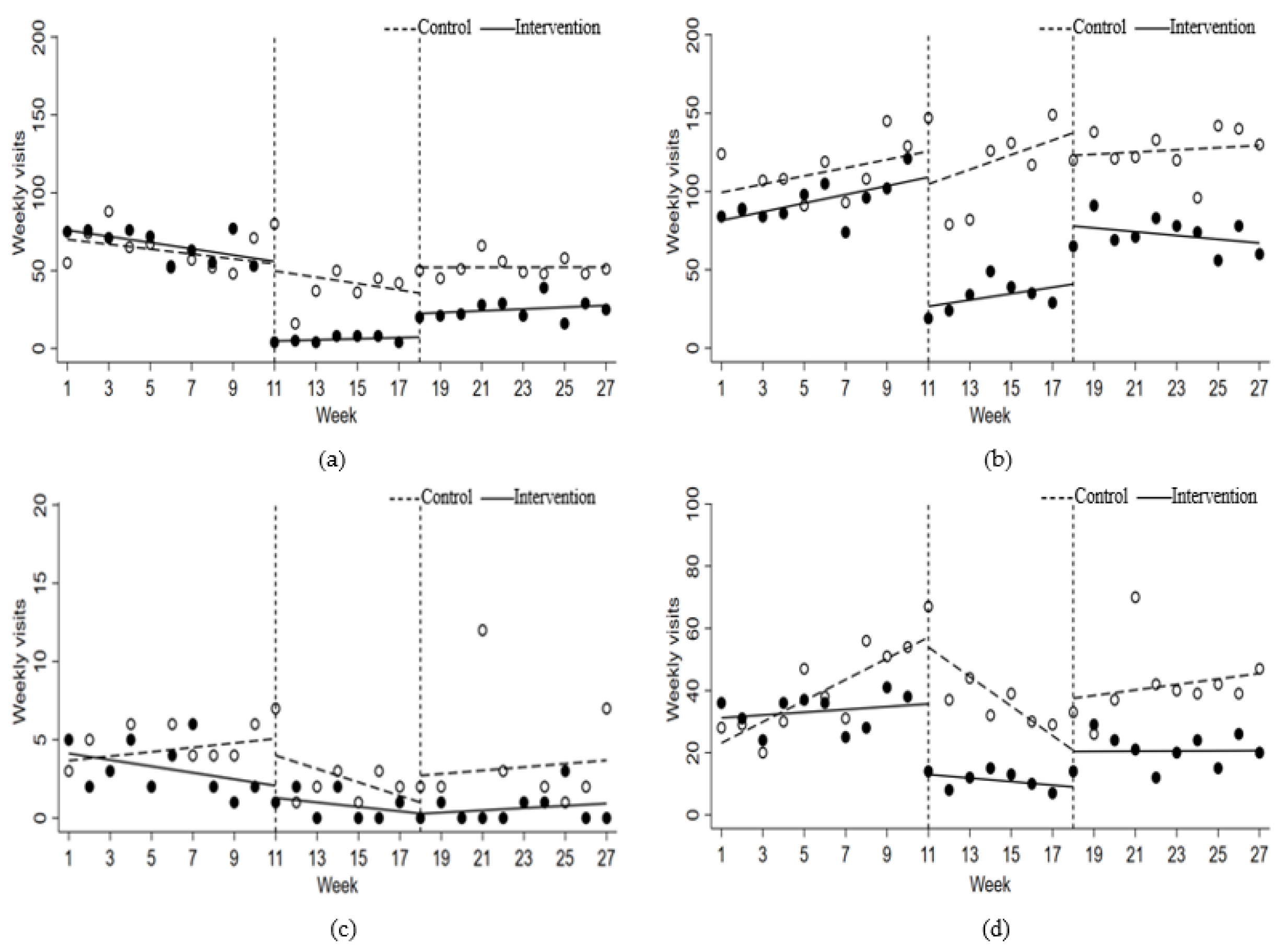
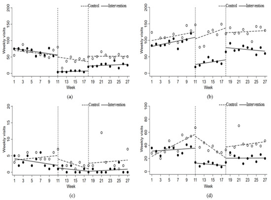
3. Results
3.1. Baseline Characteristics
3.2. Controlled Interrupted Time-Series Analysis
4. Discussion
5. Conclusions
Author Contributions
Funding
Institutional Review Board Statement
Informed Consent Statement
Data Availability Statement
Acknowledgments
Conflicts of Interest
References
- Dharmage, S.C.; Perret, J.L.; Custovic, A. Epidemiology of Asthma in Children and Adults. Front. Pediatr. 2019, 7, 246. [Google Scholar] [CrossRef] [PubMed]
- GBD 2017 Disease and Injury Incidence and Prevalence Collaborators. Global, regional, and national incidence, prevalence, and years lived with disability for 354 diseases and injuries for 195 countries and territories, 1990–2017: A systematic analysis for the Global Burden of Disease Study 2017. Lancet 2018, 392, 1789–1858. [Google Scholar] [CrossRef]
- Huang, K.; Yang, T.; Xu, J.; Yang, L.; Zhao, J.; Zhang, X.; Bai, C.; Kang, J.; Ran, P.; Shen, H.; et al. Prevalence, risk factors, and management of asthma in China: A national cross-sectional study. Lancet 2019, 394, 407–418. [Google Scholar] [CrossRef]
- Stern, J.; Pier, J.; Litonjua, A.A. Asthma epidemiology and risk factors. Semin. Immunopathol. 2020, 42, 5–15. [Google Scholar] [CrossRef]
- Madaniyazi, L.; Xerxes, S. Outdoor air pollution and the onset and exacerbation of asthma. Chronic Dis. Transl. Med. 2021, 7, 100–106. [Google Scholar] [CrossRef]
- Jartti, T.; Bønnelykke, K.; Elenius, V.; Feleszko, W. Role of viruses in asthma. Semin. Immunopathol. 2020, 42, 61–74. [Google Scholar] [CrossRef]
- Kaplan, A.; Szefler, S.J.; Halpin, D.M.G. Impact of comorbid conditions on asthmatic adults and children. NPJ Prim. Care Respir. Med. 2020, 30, 36. [Google Scholar] [CrossRef]
- Kruizinga, M.D.; Peeters, D.; van Veen, M.; van Houten, M.; Wieringa, J.; Noordzij, J.G.; Bekhof, J.; Tramper-Stranders, G.; Vet, N.J.; Driessen, G.J.A. The impact of lockdown on pediatric ED visits and hospital admissions during the COVID-19 pandemic: A multicenter analysis and review of the literature. Eur. J. Pediatr. 2021, 180, 2271–2279. [Google Scholar] [CrossRef]
- Yang, S.; Guo, B.; Ao, L.; Yang, C.; Zhang, L.; Zhou, J.; Jia, P. Obesity and activity patterns before and during COVID-19 lockdown among youths in China. Clin. Obes. 2020, 10, e12416. [Google Scholar] [CrossRef]
- Wu, S.; Yao, M.; Deng, C.; Marsiglia, F.F.; Duan, W. Social Isolation and Anxiety Disorder during the COVID-19 Pandemic and Lockdown in China. J. Affect. Disord. 2021, 294, 10–16. [Google Scholar] [CrossRef]
- Ling, C.; Li, Y. Substantial Changes of Gaseous Pollutants and Health Effects during the COVID-19 Lockdown Period across China. Geohealth 2021, 5, e2021GH000408. [Google Scholar] [CrossRef] [PubMed]
- Lu, F.; Xu, C.; Zhang, P.; Xu, Y.; Liu, J. Construction and Implementation of Big Data in Healthcare in Yichang City, Hubei Province. China CDC Wkly. 2021, 3, 14–17. [Google Scholar] [CrossRef] [PubMed]
- You, M.; Wang, T.; Wang, M.; Jiang, W.; Jiang, J.; Li, X.; Hu, Y.; Yin, D. Identifying the Optimal Age for Herpes Zoster Vac-cination—Yichang City, Hubei Province, China, 2017–2019. China CDC Wkly. 2022, 4, 631–634. [Google Scholar] [PubMed]
- Guo, H.J.; Ding, X.; Jiang, W.; Jiang, J.; Wu, Y.; Shu, Z.; Li, G.W.; Hu, Y.H.; Yin, D.P. Association analysis of famine exposure during early life and risk of hypertension in adulthood. Zhonghua Yu Fang Yi Xue Za Zhi 2021, 55, 732–736. (In Chinese) [Google Scholar] [PubMed]
- Khan, A.; Green, K.; Khandaker, G.; Lawler, S.; Gartner, C. The impact of a regional smoking cessation program on referrals and use of Quitline services in Queensland, Australia: A controlled interrupted time series analysis. Lancet Reg. Health-West. Pac. 2021, 14, 100210. [Google Scholar]
- Bernal, J.L.; Cummins, S.; Gasparrini, A. Interrupted time series regression for the evaluation of public health interventions: A tutorial. Int. J. Epidemiol. 2017, 46, 348–355, reprinted in Int. J. Epidemiol. 2020, 49, 1414. [Google Scholar] [CrossRef]
- Fan, H.F.; He, C.H.; Yin, G.Q.; Qin, Y.; Jiang, N.; Lu, G.; Li, X. Frequency of asthma exacerbation in children during the coronavirus disease pandemic with strict mitigative countermeasures. Pediatr. Pulmonol. 2021, 56, 1455–1463. [Google Scholar] [CrossRef]
- Taquechel, K.; Diwadkar, A.R.; Sayed, S.; Dudley, J.W.; Grundmeier, R.W.; Kenyon, C.C.; Henrickson, S.E.; Himes, B.E.; Hill, D.A. Pediatric Asthma Health Care Utilization, Viral Testing, and Air Pollution Changes during the COVID-19 Pandemic. J. Allergy Clin. Immunol. Pract. 2020, 8, 3378–3387. [Google Scholar] [CrossRef]
- Sayed, S.; Diwadkar, A.R.; Dudley, J.W.; O’Brien, J.; Dvorin, D.; Kenyon, C.C.; Himes, B.E.; Hill, D.A.; Henrickson, S.E. COVID-19 Pandemic-Related Reductions in Pediatric Asthma Exacerbations Corresponded with an Overall Decrease in Respiratory Viral Infections. J. Allergy Clin. Immunol. Pract. 2022, 10, 91–99. [Google Scholar] [CrossRef]
- Shah, S.A.; Quint, J.K.; Nwaru, B.I.; Sheikh, A. Impact of COVID-19 national lockdown on asthma exacerbations: Interrupted time-series analysis of English primary care data. Thorax 2021, 76, 860–866. [Google Scholar] [CrossRef]
- Davies, G.A.; Alsallakh, M.A.; Sivakumaran, S.; Vasileiou, E.; Lyons, R.A.; Robertson, C.; Sheikh, A.; EAVE II Collaborators. Impact of COVID-19 lockdown on emergency asthma admissions and deaths: National interrupted time series analyses for Scotland and Wales. Thorax 2021, 76, 867–873. [Google Scholar] [CrossRef] [PubMed]
- Yamaguchi, H.; Nozu, K.; Ishiko, S.; Kondo, A.; Ninchoji, T.; Nagano, C.; Takeda, H.; Unzaki, A.; Ishibashi, K.; Morioka, I.; et al. Impact of the State of Emergency during the COVID-19 Pandemic in 2020 on Asthma Exacerbations among Children in Kobe City, Japan. Int. J. Environ. Res. Public Health 2021, 18, 11407. [Google Scholar] [CrossRef] [PubMed]
- Dondi, A.; Betti, L.; Carbone, C.; Dormi, A.; Paglione, M.; Rinaldi, M.; Gualtieri, M.; Scotto, F.; Poluzzi, V.; Fabi, M.; et al. Understanding the environmental factors related to the decrease in Pediatric Emergency Department referrals for acute asthma during the SARS-CoV-2 pandemic. Pediatr. Pulmonol. 2022, 57, 66–74. [Google Scholar] [CrossRef] [PubMed]
- Zulli, A.; Bakker, A.; Racharaks, R.; Nieto-Caballero, M.; Hernandez, M.; Shaughnessy, R.; Haverinen-Shaughnessy, U.; Ijaz, M.K.; Rubino, J.; Peccia, J. Occurrence of respiratory viruses on school desks. Am. J. Infect. Control 2021, 49, 464–468. [Google Scholar] [CrossRef]
- Pakkasela, J.; Ilmarinen, P.; Honkamäki, J.; Tuomisto, L.E.; Andersén, H.; Piirilä, P.; Hisinger-Mölkänen, H.; Sovijärvi, A.; Backman, H.; Lundbäck, B. Age-specific incidence of allergic and non-allergic asthma. BMC Pulm. Med. 2020, 20, 9. [Google Scholar] [CrossRef] [PubMed]
- Honkamäki, J.; Piirilä, P.; Hisinger-Mölkänen, H.; Tuomisto, L.E.; Andersén, H.; Huhtala, H.; Sovijärvi, A.; Lindqvist, A.; Backman, H.; Lundbäck, B. Asthma Remission by Age at Diagnosis and Gender in a Population-Based Study. J. Allergy Clin. Immunol. Pract. 2021, 9, 1950–1959.e4. [Google Scholar] [CrossRef]
- Kuitunen, I.; Ponkilainen, V.T.; Launonen, A.P.; Reito, A.; Hevonkorpi, T.P.; Paloneva, J.; Mattila, V.M. The effect of national lockdown due to COVID-19 on emergency department visits. Scand. J. Trauma Resusc. Emerg. Med. 2020, 28, 114. [Google Scholar] [CrossRef]
- Pinnock, H.; Parke, H.L.; Panagioti, M.; Daines, L.; Pearce, G.; Epiphaniou, E.; Bower, P.; Sheikh, A.; Griffiths, C.J.; Taylor, S.J.; et al. Systematic meta-review of supported self-management for asthma: A healthcare perspective. BMC Med. 2017, 15, 64. [Google Scholar] [CrossRef]
- Jroundi, I.; Tse, S.M. Long-term asthma-related readmissions: Comparison between children admitted and not admitted to the intensive care unit for critical asthma. J. Asthma 2021, 58, 10–18. [Google Scholar] [CrossRef]
- Lopez, B.J.; Cummins, S.; Gasparrini, A. The use of controls in interrupted time series studies of public health interventions. Int. J. Epidemiol. 2018, 47, 2082–2093. [Google Scholar] [CrossRef]
- Linden, A. A comprehensive set of postestimation measures to enrich interrupted time-series analysis. Stata J. 2017, 17, 73–88. [Google Scholar] [CrossRef]


| Object | Control | Intervention | ||||||||
|---|---|---|---|---|---|---|---|---|---|---|
| Pre- Lockdown | Lockdown | Regular Prevention and Control | ap-Value | bp-Value | Pre- Lockdown | Lockdown | Regular Prevention & Control | ap-Value | bp-Value | |
| GOPD | ||||||||||
| children | 63.00 | 43.71 | 52.20 | 0.023 | 0.299 | 67.00 | 5.86 | 25.00 | < 0.0001 | < 0.0001 |
| adults | 111.20 | 118.71 | 126.20 | 0.515 | 0.536 | 93.90 | 32.71 | 72.50 | < 0.0001 | < 0.0001 |
| ED/ICU | ||||||||||
| children | 4.30 | 2.71 | 3.20 | 0.078 | 0.754 | 3.20 | 0.86 | 0.60 | 0.004 | 0.587 |
| adults | 38.40 | 39.71 | 41.40 | 0.839 | 0.780 | 33.20 | 11.29 | 20.50 | < 0.0001 | 0.001 |
| Variable | Total Patient, n = 9347 | GOPD Children, n = 2419 | GOPD Adults, n = 5098 | ED/ICU Children, n = 136 | ED/ICU Adults, n = 1692 |
|---|---|---|---|---|---|
| constant term | 196.15 (180.51~211.78) * | 69.98 (55.38~84.58) * | 99.42 (85.05~113.79) * | 3.84 (1.98~5.70) * | 23.07 (17.38~28.77) * |
| time | 4.61 (0.25~8.97) * | −1.55 (−4.09~0.98) | 2.62 (−0.40~5.64) | −0.03 (−0.33~0.27) | 3.41 (2.40~4.41) * |
| int1 | −29.80 (−98.05~38.44) | −4.64 (−30.32~21.02) | −20.92 (−47.79~5.95) | −1.18 (−3.29~0.94) | −3.17 (−15.65~9.31) |
| posttime | −7.15 (−27.54~13.25) | −0.48 (−7.45~6.48) | 2.06 (−5.62~9.74) | 0.32 (−0.20~0.83) | −8.16 (−10.98~−5.34) * |
| group | −3.34 (−21.90~15.20) | 6.02 (−9.08~21.12) | −17.93 (−33.40~−2.45) * | 0.29 (−2.24~2.82) | 8.11 (0.81~15.40)* |
| group × time | −3.61 (−9.05~1.82) | −0.45 (−3.24~2.34) | 0.14 (−3.21~3.49) | −0.18 (−0.61~0.25) | −2.96 (−4.39~−1.53)* |
| group × int1 | −127.32 (−203.81~−50.83) * | −46.57 (−74.14~−19.00) * | −61.54 (−91.93~−31.15) * | 0.40 (−2.73~3.52) | −19.50 (−34.20~−4.80) * |
| group × posttime | 7.83 (−13.15~28.80) | 2.84 (−4.25~9.93) | −2.78 (−10.95~5.38) | −0.25 (−0.90~0.40) | 7.14 (4.01~10.26) * |
| int2 | 20.38 (−42.05~82.80) | 16.52 (−3.71~36.75) | −14.45 (−34.88~5.98) | −2.44 (−4.92~0.04) | 16.60 (−1.01~34.20) |
| Secondtime | 4.29 (−13.49~22.07) | 2.06 (−3.84~7.96) | −3.96 (−10.76~2.84) | −0.001 (−0.48~0.47) | 5.659 (2.66~8.66) * |
| group × int2 | 43.09 (−22.66~108.83) | −1.42 (−22.05~19.20) | 51.46 (27.63~75.29) * | 2.43 (−0.40~5.25) | −5.23 (−24.01~13.55) |
| group × Secondtime | −6.48 (−25.25~12.28) | −1.84 (−7.85~4.18) | 0.73 (−6.84~8.30) | 0.22 (−0.37~0.80) | −5.06 (−8.34~−1.77) * |
| R2 | 0.867 | 0.838 | 0.825 | 0.368 | 0.749 |
Publisher’s Note: MDPI stays neutral with regard to jurisdictional claims in published maps and institutional affiliations. |
© 2022 by the authors. Licensee MDPI, Basel, Switzerland. This article is an open access article distributed under the terms and conditions of the Creative Commons Attribution (CC BY) license (https://creativecommons.org/licenses/by/4.0/).
Share and Cite
Wang, J.; Yin, D.; Li, G.; Wang, T.; Zhang, Y.; Gan, H.; Sun, J. Impacts of COVID-19 Prevention and Control Measures on Asthma-Related Hospital and Outpatient Visits in Yichang, China. Int. J. Environ. Res. Public Health 2022, 19, 13572. https://doi.org/10.3390/ijerph192013572
Wang J, Yin D, Li G, Wang T, Zhang Y, Gan H, Sun J. Impacts of COVID-19 Prevention and Control Measures on Asthma-Related Hospital and Outpatient Visits in Yichang, China. International Journal of Environmental Research and Public Health. 2022; 19(20):13572. https://doi.org/10.3390/ijerph192013572
Chicago/Turabian StyleWang, Jinyi, Dapeng Yin, Guoxing Li, Tianqi Wang, Yanli Zhang, Hui Gan, and Jinfang Sun. 2022. "Impacts of COVID-19 Prevention and Control Measures on Asthma-Related Hospital and Outpatient Visits in Yichang, China" International Journal of Environmental Research and Public Health 19, no. 20: 13572. https://doi.org/10.3390/ijerph192013572
APA StyleWang, J., Yin, D., Li, G., Wang, T., Zhang, Y., Gan, H., & Sun, J. (2022). Impacts of COVID-19 Prevention and Control Measures on Asthma-Related Hospital and Outpatient Visits in Yichang, China. International Journal of Environmental Research and Public Health, 19(20), 13572. https://doi.org/10.3390/ijerph192013572

