Effects of Salicylic Acid on Heavy Metal Resistance in Eukaryotic Algae and Its Mechanisms
Abstract
1. Introduction
2. Materials and Methods
2.1. Materials and Instruments
2.2. Experimental Methods
2.2.1. Algal Culture
2.2.2. Effects of Salicylic Acid on Biomass of S. obliquus and C. pyrenoidosa under Cd2+ Stress
2.2.3. Effects of Salicylic Acid on the Chlorophyll Fluorescence Parameters of S. obliquus and C. pyrenoidosa under Cd2+ Stress
2.2.4. Effects of Salicylic Acid on Oxidase Activity of S. obliquus and C. pyrenoidosa under Cd2+ Stress
2.2.5. Effects of Salicylic Acid on Cell Morphology of S. obliquus and C. pyrenoidosa under Cd2+ Stress
2.2.6. Effects of Salicylic Acid on the Absorption of Cd2+ by S. obliquus and C. pyrenoidosa
2.3. Data Processing and Analysis
3. Results
3.1. Effects of Salicylic Acid on the Biomass of S. obliquus and C. pyrenoidosa under Cd2+ Stress
3.2. Effects of Salicylic Acid on Chlorophyll Fluorescence Parameters of S. obliquus and C. pyrenoidosa under Cd2+ Stress
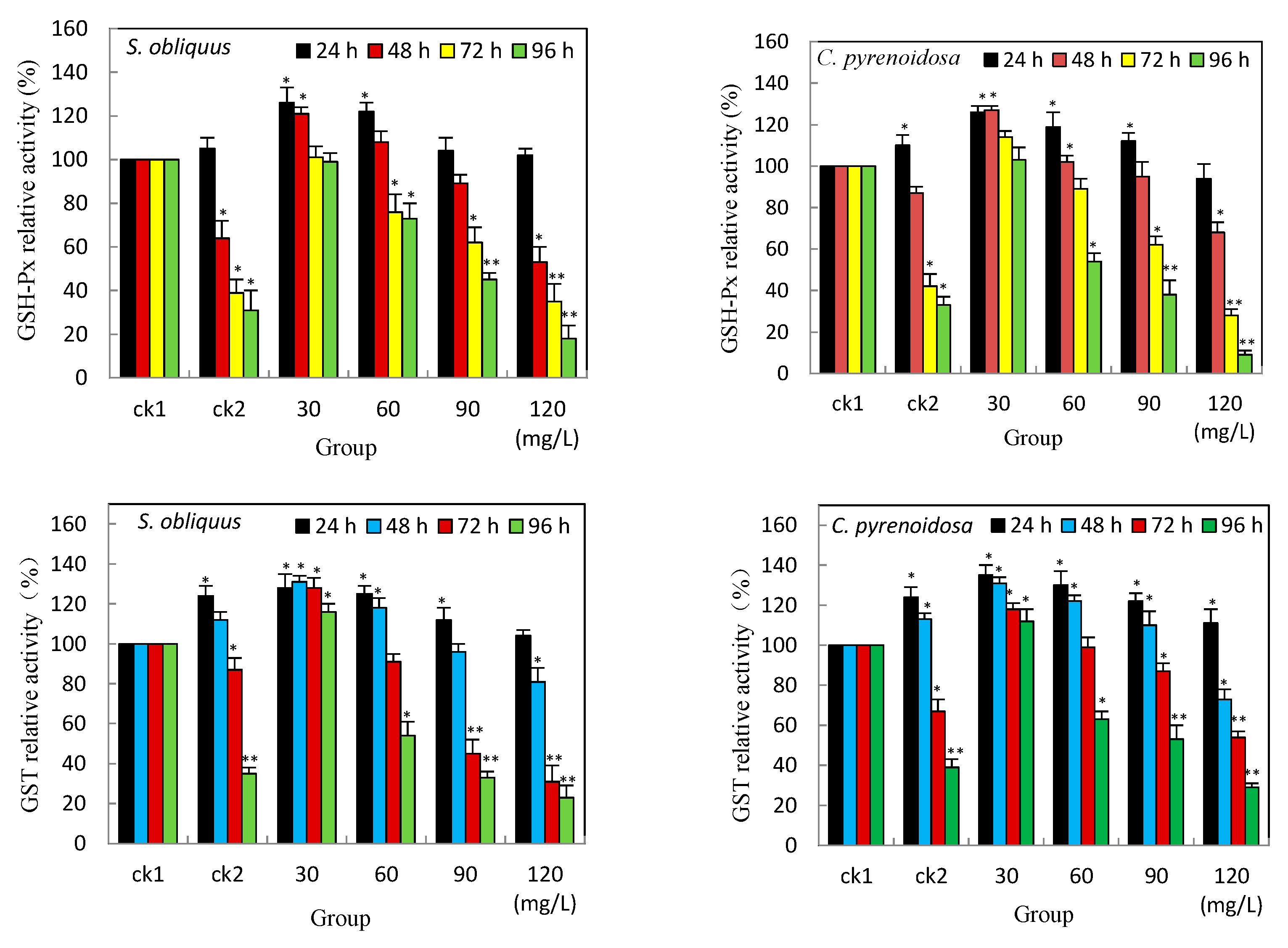
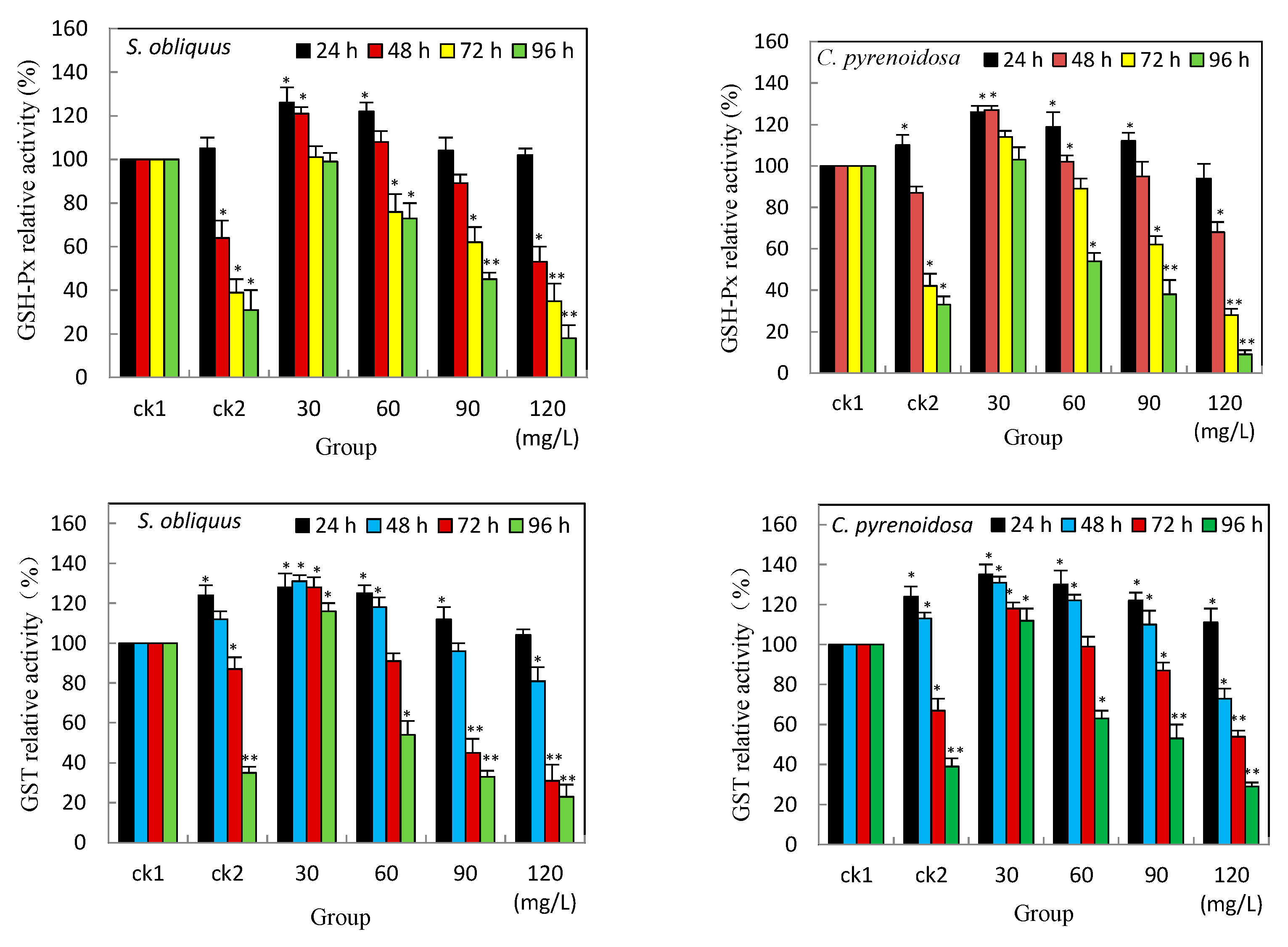
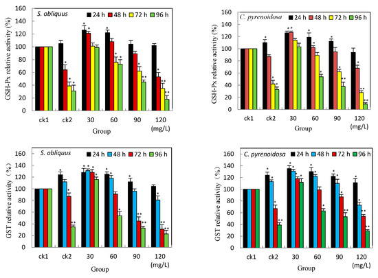
3.3. Effects of Salicylic Acid on Oxidase Activity of S. obliquus and C. pyrenoidosa under Cd2+ Stress
3.4. Effects of Salicylic Acid on Cell Morphology of S. obliquus and C. pyrenoidosa under Cd2+ Stress
3.5. Effects of Salicylic Acid on the Absorption of Cd2+ by S. obliquus and C. pyrenoidosa
4. Discussion
5. Conclusions
- (1)
- Salicylic acid can effectively inhibit cyanobacteria and relieve the stress of heavy metals in plants or algae. However, studies on adding salicylic acid under heavy metal stress have not been reported. The results of this study provide a new idea and experimental basis for the biological removal of heavy metal pollutants as well as heavy metal pollutants in eutrophic water.
- (2)
- Cd2+ interacted with S. obliquus and C. pyrenoidosa. Cd2+ was toxic to both types of algae, but both species showed a good uptake and enrichment of Cd2+. The addition of salicylic acid at low concentrations (30–90 mg/L) counteracted or protected the algal cells from Cd2+ attack to varying degrees, increasing the biomass of both species and the uptake of Cd2+ by them.
- (3)
- The mechanisms that the low concentration of salicylic acid counteracted or protected algal cells from Cd2+ attack, possibly related to the chelation of heavy metals by salicylic acid itself, which reduced the toxicity of Cd2+ and improved the photosynthetic efficiency of both S. obliquus and C. pyrenoidosa. In addition, salicylic acid promoted Cd2+ uptake in the above two species of green algae, probably due to the increased activity of GSH-Px and GST, which enhanced the antioxidant capacity of algal cells and maintained the relative integrity of algal cell morphology and structure, and also due to the chelation of the sulfhydryl group of GST with Cd2+, resulting in detoxification.
- (4)
- In conclusion, eukaryotic algae have great potential for the adsorption and removal of heavy metals as an affordable material. An emerging area of research is the design and development of stronger algal strains, as traditional methods of using wild algae to reduce the concentrations of toxic metal ions are often costly. Molecular regulation of the levels of glutathione, lipopolysaccharide, phytochelin and metal thionin can improve the metal ion accumulation ability of algal cells; by supplementing phytohormones, such as salicylic acid, algae resistance to heavy metal toxicity can be increased. In addition, future research should have a set of rapid test methods to confirm various hypotheses as soon as possible, including the rapid determination of the chelating efficacy of each biomolecule chelator under the same pH, same temperature and same heavy metal concentration conditions.
Author Contributions
Funding
Institutional Review Board Statement
Data Availability Statement
Acknowledgments
Conflicts of Interest
References
- Huang, J.; Zhang, Y.; Arhonditsis, G.; Gao, J.; Chen, Q.; Wu, N.; Dong, F.; Shi, W. How successful are the restoration efforts of China’s lakes and reservoirs? Environ. Int. 2019, 123, 96–103. [Google Scholar] [CrossRef] [PubMed]
- Zhu, Z.; Luo, L.; Chen, S.; Wu, Z.; Pang, Q.; Chen, H. Analysis and evaluation of eutrophication of seawater and characteristics of heavy metal in Xiaohai Hainan. Trans. Oceanol. Limnol. 2020, 5, 131–138. [Google Scholar]
- Weigan, L.; Qi, L.; Ke, Z.; Ji, S. Eco-environmental evolution process during the past century in Lake Changdang, Lake Taihu Basin. J. Lake Sci. 2022, 2, 675–683. [Google Scholar] [CrossRef]
- Guo, W.; Zou, J.; Liu, S.; Chen, X.; Kong, X.; Zhang, H.; Xu, T. Seasonal and Spatial Variation in Dissolved Heavy Metals in Liaodong Bay, China. Int. J. Environ. Res. Public Health 2022, 19, 608. [Google Scholar] [CrossRef] [PubMed]
- Zamora-Barrios, C.A.; Nandini, S.; Sarma, S.S.S. Bioaccumulation of microcystins in seston, zooplankton and fish: A case study in Lake Zumpango, Mexico. Environ. Pollut. 2019, 249, 267–276. [Google Scholar] [CrossRef] [PubMed]
- Lu, S.S.; Bi, Y.; Li, H. The Current situation of rice heavy metal pollution and detection technology in China. Agric. Technol. Equip. 2020, 5, 9–10. [Google Scholar]
- Qin, S.; Xu, Y.; Nie, Z.; Liu, H.; Gao, W.; Li, C.; Zhao, P. Metabolomic and antioxidant enzyme activity changes in response to cadmium stress under boron application of wheat (Triticum aestivum). Environ. Sci. Pollut. Res. 2022, 29, 34701–34713. [Google Scholar] [CrossRef]
- Suhani, I.; Sahab, S.; Srivastava, V.; Singh, R.P. Impact of cadmium pollution on food safety and human health. Curr. Opin. Toxicol. 2021, 27, 1–7. [Google Scholar] [CrossRef]
- Lad, A.; Breidenbach, J.D.; Su, R.C.; Murray, J.; Kuang, R.; Mascarenhas, A.; Najjar, J.; Patel, S.; Hegde, P.; Youssef, M.; et al. As We Drink and Breathe: Adverse Health Effects of Microcystins and Other Harmful Algal Bloom Toxins in the Liver, Gut, Lungs and Beyond. Life 2022, 12, 418. [Google Scholar] [CrossRef]
- Wang, F.; Zhao, W.; Chen, J.; Zhou, Y. Allelopathic inhibitory effect on the growth of Microcystis aeruginosa by improved ultrasonic-cellulase extract of Vallisneria. Chemosphere 2022, 298, 134245. [Google Scholar] [CrossRef]
- Tan, K.; Huang, Z.; Ji, R.; Qiu, Y.; Wang, Z.; Liu, J. A review of allelopathy on microalgae. Microbiology 2019, 165, 587–592. [Google Scholar] [CrossRef] [PubMed]
- Liu, J.; Chang, Y.; Sun, L.; Du, F.; Cui, J.; Liu, X.; Li, N.; Wang, W.; Li, J.; Yao, D. Abundant Allelochemicals and the Inhibitory Mechanism of the Phenolic Acids in Water Dropwort for the Control of Microcystis aeruginosa Blooms. Plants 2021, 10, 2653. [Google Scholar] [CrossRef]
- Fan, Z.; Wang, Y.; Chen, C.; Li, J.; He, Y.; Xiao, H. Algal Inhibiting Effects of Salicylic Acid Sustained-Release Microspheres on Algae in Different Growth Cycles. Int. J. Environ. Res. Public Health 2022, 19, 6320. [Google Scholar] [CrossRef] [PubMed]
- Hu, L.J.; Tong, G.X.; Huang, G.H.; Xiao, Y.Y.; Liu, T.F.; Hu, K.; Yang, X.L.; Wei, X.X. Allelopathy inhibition of salicylic acid on Microcystis aeruginosa. J. South. Agric. 2017, 48, 169–173. [Google Scholar]
- Liu, J.X.; Liu, F.Y.; Sun, L.H.; Cui, J.; Xu, Y.C.; Chang, Y.J.; Yao, D.R. Growth and physiological responses of Synechococcus (Synechococcus sp. PCC7942) to phenolic acid allelochemicals. J. Plant Res. Environ. 2021, 30, 10–21. [Google Scholar]
- Yan, H.; Zhang, S.; Li, C.; Liu, L.; Zhang, T. Effect of salicylic acid on polysaccharide and microcystin contents in Microcystis aeruginosa PCC7806. J. Hyg. Res. 2014, 43, 290–295. [Google Scholar]
- You, H.K.; Zhang, J.; Lu, C.; Wang, G.; Yu, L.; Shi, H.; Duan, Y. Effects of salicylic acid induction on growth and lipid accumulation of Scenedesmus obliquus. China Oils Fats 2022. [Google Scholar] [CrossRef]
- Wu, G.; Gao, Z.; Du, H.; Lin, B.; Yan, Y.; Li, G.; Guo, Y.; Fu, S.; Wei, G.; Wang, M.; et al. The effects of abscisic acid, salicylic acid and jasmonic acid on lipid accumulation in two freshwater Chlorella strains. J. Gen. Appl. Microbiol. 2018, 64, 42–49. [Google Scholar] [CrossRef]
- Salama, E.-S.; Roh, H.-S.; Dev, S.; Khan, M.A.; Abou-Shanab, R.A.I.; Chang, S.W.; Jeon, B.-H. Algae as a green technology for heavy metals removal from various wastewater. World J. Microbiol. Biotechnol. 2019, 35, 75. [Google Scholar] [CrossRef]
- Danouche, M.; Ghachtouli, N.E.; Arroussi, H.E. Phycoremediation mechanisms of heavy metals using living green microalgae: Physicochemical and molecular approaches for enhancing selectivity and removal capacity. Heliyon 2021, 7, e07609. [Google Scholar] [CrossRef]
- Nowicka, B. Heavy metal-induced stress in eukaryotic algae—Mechanisms of heavy metal toxicity and tolerance with particular emphasis on oxidative stress in exposed cells and the role of antioxidant response. Environ. Sci. Pollut. Res. 2022, 29, 16860–16911. [Google Scholar] [CrossRef] [PubMed]
- Zhang, Y.; Liu, X.B.; Chu, Q. Effects of salinity stress on growth and nitrogen and phosphorus utilization of two Chlorella Species. Environ. Sci. Technol. 2019, 42, 31–39. [Google Scholar]
- Zhu, L.Y.; Qi, F.C.; Wang, W.; Wang, Q.; Zhan, M.F. Study on purification of Scenedesmus obliquus on domestic sewage. Hunan Agric. Sci. 2019, 5, 59–62. [Google Scholar]
- Moreira, V.; Lebron, Y.; Freire, S.; Santos, L.; Palladino, F.; Jacob, R. Biosorption of copper ions from aqueous solution using Chlorella pyrenoidosa: Optimization, equilibrium and kinetics studies. Microchem. J. 2019, 145, 119–129. [Google Scholar] [CrossRef]
- Danouche, M.; El Ghachtouli, N.; El Baouchi, A.; El Arroussi, H. Heavy metals phycoremediation using tolerant green microalgae: Enzymatic and non-enzymatic antioxidant systems for the management of oxidative stress. J. Environ. Chem. Eng. 2020, 8, 104460. [Google Scholar] [CrossRef]
- Guo, B.; Liu, C.; Liang, Y.C.; Li, N.Y.; Fu, Q.L. Salicylic acid signals plant defence against cadmium toxicity. Int. J. Mol. Sci. 2019, 20, 2960. [Google Scholar] [CrossRef] [PubMed]
- Liu, L.; Yan, H.; Xia, W.; Li, C.; Zhang, T. Toxic effect of cadmium on Microcysis aeruginosa and Scenedesmus obliquus. Environ. Sci.-China 2014, 2, 478–484. [Google Scholar]
- Chandrashekharaiah, P.S.; Sanyal, D.; Dasgupta, S.; Banik, A. Cadmium biosorption and biomass production by two freshwater microalgae Scenedesmus acutus and Chlorella pyrenoidosa: An integrated approach. Chemosphere 2021, 269, 128755. [Google Scholar] [CrossRef]
- Liang, Y.; Shao, L.; Jiang, Q.; Yang, J. Changes in the life-cycle parameters and glutathione-related antioxidant defense system of rotifer Brachionus calyciflorus under the combined stress of microcystin-LR and ammonia. Aquat. Ecol. 2020, 54, 243–256. [Google Scholar] [CrossRef]
- Imron, M.F.; Setyo, B.K.; Siti, R.S.A. Resistance of bacteria isolated from leachate to heavy metals and the removal of Hg by Pseudomonas aeruginosa strain FZ-2 at different salinity levels in a batch biosorption system. Sustain. Environ. Res. 2021, 31, 14. [Google Scholar] [CrossRef]
- Cheng, S.Y.; Show, P.-L.; Lau, B.F.; Chang, J.-S.; Ling, T.C. New Prospects for Modified Algae in Heavy Metal Adsorption. Trends Biotechnol. 2019, 37, 1255–1268. [Google Scholar] [CrossRef]
- Kadim, M.K.; Risjani, Y. Biomarker for monitoring heavy metal pollution in aquatic environment: An overview toward molecular perspectives. Emerg. Contam. 2022, 8, 195–205. [Google Scholar] [CrossRef]
- Tarhan, L.; Kavakcioglu, B. Glutathione metabolism in Urtica dioica in response to cadmium based oxidative stress. Biol. Plant. 2016, 60, 163–172. [Google Scholar] [CrossRef]
- Ajitha, V.; Sreevidya, C.P.; Sarasan, M.; Park, J.C.; Mohandas, A.; Singh, I.S.B.; Puthumana, J.; Lee, J.-S. Effects of zinc and mercury on ROS-mediated oxidative stress-induced physiological impairments and antioxidant responses in the microalga Chlorella vulgaris. Environ. Sci. Pollut. Res. 2021, 28, 32475–32492. [Google Scholar] [CrossRef] [PubMed]
- Li, X.; Zhou, S.; Fan, W. Effect of Nano-Al2O3 on the Toxicity and Oxidative Stress of Copper towards Scenedesmus obliquus. Int. J. Environ. Res. Public Health 2016, 13, 575. [Google Scholar] [CrossRef]
- Costa, G.B.; Ramlov, F.; Koerich, G.; Navarro, B.B.; Cabral, D.; Rodrigues, E.R.O.; Ramos, B.; Fadigas, S.D.; Rörig, L.R.; Maraschin, M.; et al. The effects of mining tailings in the physiology of benthic algae: Understanding the relation between mud’s inductive acidification and the heavy metal’s toxicity. Environ. Exp. Bot. 2019, 167, 103818. [Google Scholar] [CrossRef]
- Expósito, N.; Carafa, R.; Kumar, V.; Sierra, J.; Schuhmacher, M.; Papiol, G. Performance of Chlorella Vulgaris Exposed to Heavy Metal Mixtures: Linking Measured Endpoints and Mechanisms. Int. J. Environ. Res. Public Health 2021, 18, 1037. [Google Scholar] [CrossRef]






| Time (h) | S. obliquus | C. pyrenoidosa | ||||||||
|---|---|---|---|---|---|---|---|---|---|---|
| ck2 | 30 | 60 | 90 | 120 | ck2 | 30 | 60 | 90 | 120 | |
| 24 | 17.5 ± 2.2 aA | −7.8 ± 1.6 cA | −1.6 ± 0.3 cA | 3.2 ± 0.5 bA | 22.7 ± 2.7 aA | 16.4 ± 2.3 aA | 3.1 ± 0.8 cA | −11.9 ± 2.9 cA | −1.7 ± 0.4 aA | 20.9 ± 2.7 aA |
| 48 | 38.0 ± 3.3 aB | −3.3 ± 0.7 cB | 5.1 ± 1.4 bA | 34.7 ± 6.3 aB | 48.2 ± 3.5 aA | 33.7 ± 5.9 aB | 4.6 ± 1.1 cB | 9.1 ± 1.6 bC | 37.7 ± 4.9 aB | 47.4 ± 3.8 bAB |
| 72 | 58.2 ± 6.1 aC | 24.5 ± 2.9 bB | 20.4 ± 4.2 bC | 50.2 ± 7.1 aB | 65.6 ± 5.1 aB | 54.3 ± 4.6 aC | 21.0 ± 3.8 cC | 25.7 ± 2.9 bC | 53.2 ± 8.7 aB | 61.3 ± 4.6 bAB |
| 96 | 67.0 ± 7.5 aC | 17.5 ± 4.3 cC | 33.0 ± 5.8 bB | 55.3 ± 4.6 abB | 77.7 ± 6.2 aC | 61.4 ± 9.3 aC | 30.5 ± 4.9 cC | 28.5 ± 3.1 dB | 59.2 ± 6.5 bB | 71.3 ± 5.1 bB |
Publisher’s Note: MDPI stays neutral with regard to jurisdictional claims in published maps and institutional affiliations. |
© 2022 by the authors. Licensee MDPI, Basel, Switzerland. This article is an open access article distributed under the terms and conditions of the Creative Commons Attribution (CC BY) license (https://creativecommons.org/licenses/by/4.0/).
Share and Cite
Zhang, T.; Shi, M.; Yan, H.; Li, C. Effects of Salicylic Acid on Heavy Metal Resistance in Eukaryotic Algae and Its Mechanisms. Int. J. Environ. Res. Public Health 2022, 19, 13415. https://doi.org/10.3390/ijerph192013415
Zhang T, Shi M, Yan H, Li C. Effects of Salicylic Acid on Heavy Metal Resistance in Eukaryotic Algae and Its Mechanisms. International Journal of Environmental Research and Public Health. 2022; 19(20):13415. https://doi.org/10.3390/ijerph192013415
Chicago/Turabian StyleZhang, Tingting, Mei Shi, Hao Yan, and Cheng Li. 2022. "Effects of Salicylic Acid on Heavy Metal Resistance in Eukaryotic Algae and Its Mechanisms" International Journal of Environmental Research and Public Health 19, no. 20: 13415. https://doi.org/10.3390/ijerph192013415
APA StyleZhang, T., Shi, M., Yan, H., & Li, C. (2022). Effects of Salicylic Acid on Heavy Metal Resistance in Eukaryotic Algae and Its Mechanisms. International Journal of Environmental Research and Public Health, 19(20), 13415. https://doi.org/10.3390/ijerph192013415

