Acute Gaseous Air Pollution Exposure and Hospitalizations for Acute Ischemic Stroke: A Time-Series Analysis in Tianjin, China
Abstract
1. Introduction
2. Materials and Methods
2.1. Clinical Data
2.2. Environmental Data
2.3. Statistical Methods
3. Results
3.1. Descriptive Statistics of Air Pollutants and Meteorological Factors
3.2. Spearman’s Correlation Coefficient between Air Pollutants and Meteorological Factors
3.3. Single-Pollutant Model
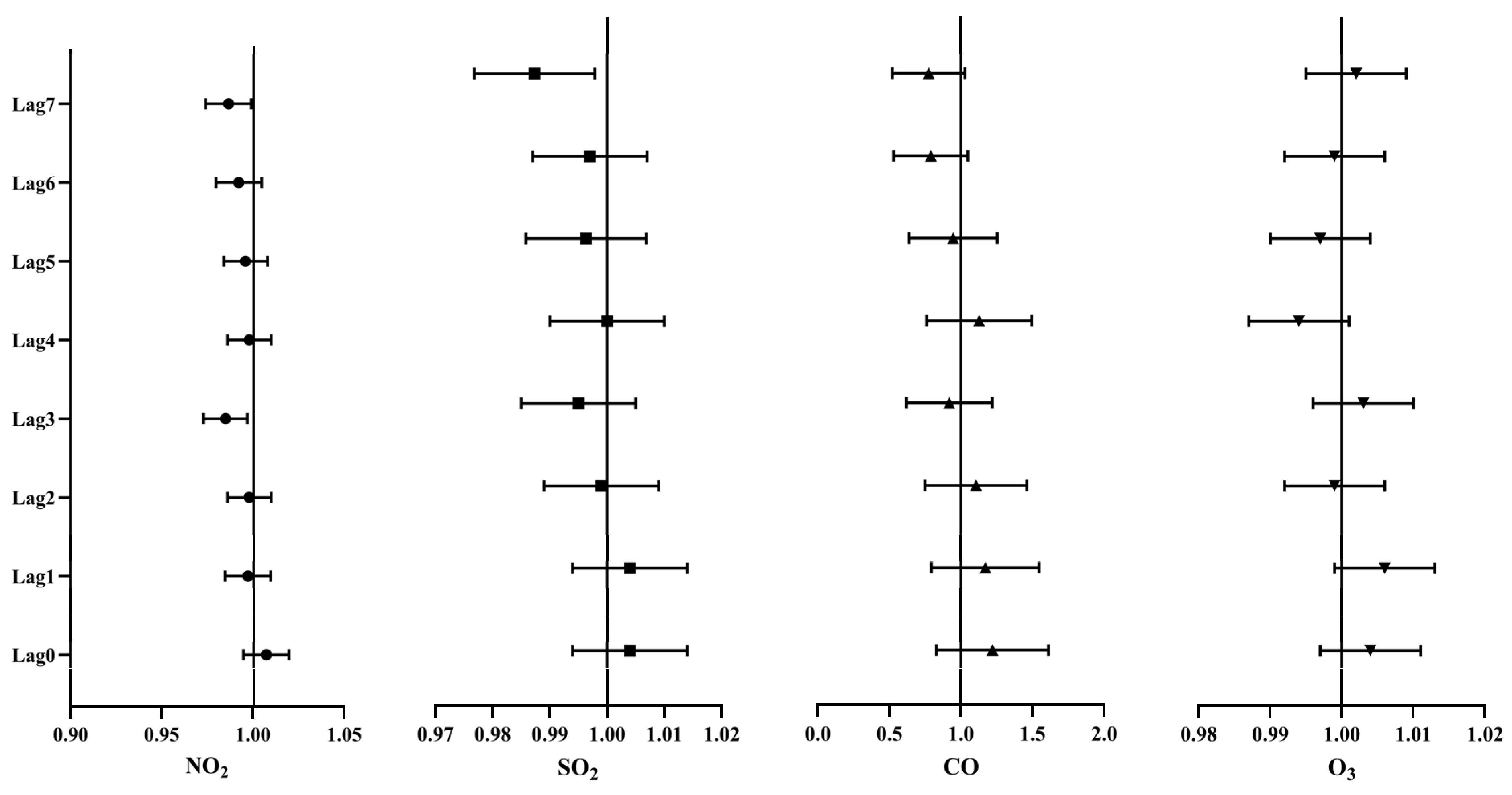
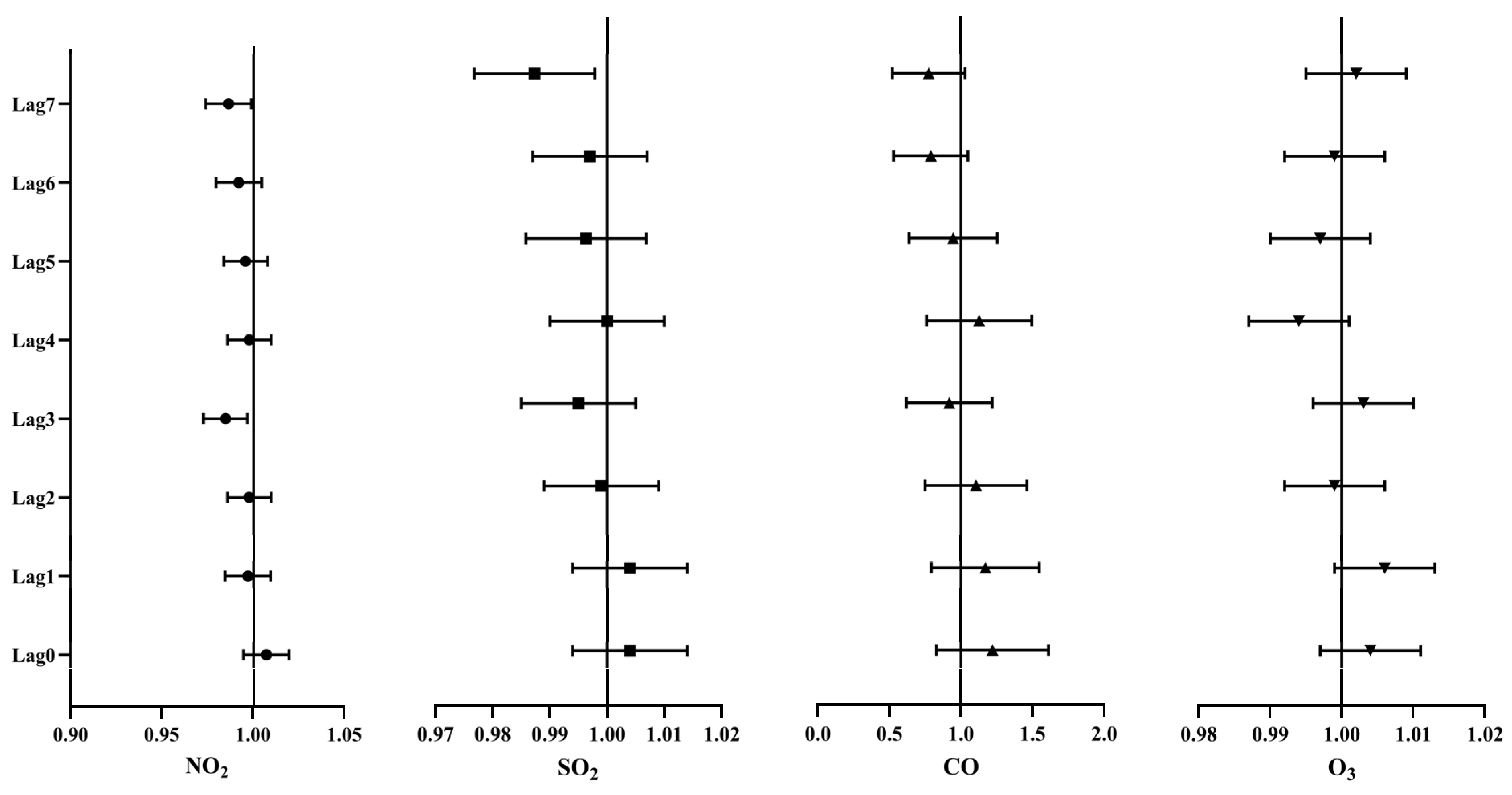
3.3.1. Associations between NO2 and Ischemic Stroke Hospitalizations
3.3.2. Associations between SO2 and Ischemic Stroke Hospitalizations
3.3.3. Associations between CO and Ischemic Stroke Hospitalizations
3.3.4. Associations between O3 and Ischemic Stroke Hospitalizations
4. Discussion
5. Conclusions
Supplementary Materials
Author Contributions
Funding
Institutional Review Board Statement
Informed Consent Statement
Data Availability Statement
Acknowledgments
Conflicts of Interest
References
- Zhou, M.; Wang, H.; Zeng, X.; Yin, P.; Zhu, J.; Chen, W.; Li, X.; Wang, L.; Wang, L.; Liu, Y.; et al. Mortality, morbidity, and risk factors in China and its provinces, 1990–2017: A systematic analysis for the Global Burden of Disease Study 2017. Lancet 2019, 394, 1145–1158. [Google Scholar] [CrossRef]
- Yang, G.; Wang, Y.; Zeng, Y.; Gao, G.; Liang, X.; Zhou, M.; Wan, X.; Yu, S.; Jiang, Y.; Naghavi, M.; et al. Rapid health transition in China, 1990–2010: Findings from the Global Burden of Disease Study 2010. Lancet 2013, 381, 1987–2015. [Google Scholar] [CrossRef]
- Hahad, O.; Lelieveld, J.; Birklein, F.; Lieb, K.; Daiber, A.; Münzel, T. Ambient Air Pollution Increases the Risk of Cerebrovascular and Neuropsychiatric Disorders through Induction of Inflammation and Oxidative Stress. Int. J. Mol. Sci. 2020, 21, 4306. [Google Scholar] [CrossRef]
- Chen, J.; Hoek, G. Long-term exposure to PM and all-cause and cause-specific mortality: A systematic review and meta-analysis. Environ. Int. 2020, 143, 105974. [Google Scholar] [CrossRef] [PubMed]
- Orellano, P.; Reynoso, J.; Quaranta, N.; Bardach, A.; Ciapponi, A. Short-term exposure to particulate matter (PM10) and PM2.5), nitrogen dioxide (NO2), and ozone (O3) and all-cause and cause-specific mortality: Systematic review and meta-analysis. Environ. Int. 2020, 142, 105876. [Google Scholar] [CrossRef]
- Huang, K.; Liang, F.; Yang, X.; Liu, F.; Li, J.; Xiao, Q.; Chen, J.; Liu, X.; Cao, J.; Shen, C.; et al. Long term exposure to ambient fine particulate matter and incidence of stroke: Prospective cohort study from the China-PAR project. BMJ 2019, 367, l6720. [Google Scholar] [CrossRef] [PubMed]
- Wu, T.; Ma, Y.; Wu, X.; Bai, M.; Peng, Y.; Cai, W.; Wang, Y.; Zhao, J.; Zhang, Z. Association between particulate matter air pollution and cardiovascular disease mortality in Lanzhou, China. Environ. Sci. Pollut. Res. Int. 2019, 26, 15262–15272. [Google Scholar] [CrossRef] [PubMed]
- Eum, K.-D.; Kazemiparkouhi, F.; Wang, B.; Manjourides, J.; Pun, V.; Pavlu, V.; Suh, H. Long-term NO2 exposures and cause-specific mortality in American older adults. Environ. Int. 2019, 124, 10–15. [Google Scholar] [CrossRef] [PubMed]
- Jiang, W.; Chen, H.; Liao, J.; Yang, X.; Yang, B.; Zhang, Y.; Pan, X.; Lian, L.; Yang, L. The short-term effects and burden of particle air pollution on hospitalization for coronary heart disease: A time-stratified case-crossover study in Sichuan, China. Environ. Health 2022, 21, 19. [Google Scholar] [CrossRef]
- Tang, C.; Chen, Y.; Song, Q.; Ma, J.; Zhou, Y.; Gong, L.; Chen, X.; Qu, J.; Luo, Y. Short-term exposure to air pollution and occurrence of emergency stroke in Chongqing, China. Int. Arch. Occup. Environ. Health 2021, 94, 69–76. [Google Scholar] [CrossRef]
- Guo, Y.; Xie, X.; Lei, L.; Zhou, H.; Deng, S.; Xu, Y.; Liu, Z.; Bao, J.; Peng, J.; Huang, C. Short-term associations between ambient air pollution and stroke hospitalisations: Time-series study in Shenzhen, China. BMJ Open. 2020, 10, e032974. [Google Scholar] [CrossRef] [PubMed]
- Byrne, C.P.; Bennett, K.E.; Hickey, A.; Kavanagh, P.; Broderick, B.; O’Mahony, M.; Williams, D.J. Short-Term Air Pollution as a Risk for Stroke Admission: A Time-Series Analysis. Cerebrovasc. Dis. 2020, 49, 404–411. [Google Scholar] [CrossRef] [PubMed]
- Chang, C.-H.; Chen, S.-H.; Liu, P.-H.; Huang, K.-C.; Chiu, I.-M.; Pan, H.-Y.; Cheng, F.-J. Ambient Air Pollution and Risk for Stroke Hospitalization: Impact on Susceptible Groups. Toxics 2022, 10, 350. [Google Scholar] [CrossRef] [PubMed]
- Qi, X.; Wang, Z.; Guo, X.; Xia, X.; Xue, J.; Jiang, G.; Gu, Y.; Han, S.; Yao, Q.; Cai, Z.; et al. Short-term effects of outdoor air pollution on acute ischaemic stroke occurrence: A case-crossover study in Tianjin, China. Occup. Environ. Med. 2020, 77, 862–867. [Google Scholar] [CrossRef]
- Guo, P.; Wang, Y.; Feng, W.; Wu, J.; Fu, C.; Deng, H.; Huang, J.; Wang, L.; Zheng, M.; Liu, H. Ambient Air Pollution and Risk for Ischemic Stroke: A Short-Term Exposure Assessment in South China. Int. J. Environ. Res. Public Health 2017, 14, 1091. [Google Scholar] [CrossRef] [PubMed]
- Lee, W.; Choo, J.; Son, J.; Kim, H. Association between long-term exposure to air pollutants and prevalence of cardiovascular disease in 108 South Korean communities in 2008–2010: A cross-sectional study. Sci. Total Environ. 2016, 565, 271–278. [Google Scholar] [CrossRef]
- Shah, A.; Lee, K.; McAllister, D.; Hunter, A.; Nair, H.; Whiteley, W.; Langrish, J.; Newby, D.; Mills, N. Short term exposure to air pollution and stroke: Systematic review and meta-analysis. BMJ 2015, 350, h1295. [Google Scholar] [CrossRef] [PubMed]
- Nhung, N.; Schindler, C.; Chau, N.; Hanh, P.; Hoang, L.; Dien, T.; Thanh, N.; Künzli, N. Exposure to air pollution and risk of hospitalization for cardiovascular diseases amongst Vietnamese adults: Case-crossover study. Sci. Total Environ. 2020, 703, 134637. [Google Scholar] [CrossRef]
- Cai, Y.; Hodgson, S.; Blangiardo, M.; Gulliver, J.; Morley, D.; Fecht, D.; Vienneau, D.; de Hoogh, K.; Key, T.; Hveem, K.; et al. Road traffic noise, air pollution and incident cardiovascular disease: A joint analysis of the HUNT, EPIC-Oxford and UK Biobank cohorts. Environ. Int. 2018, 114, 191–201. [Google Scholar] [CrossRef]
- Chan, C.; Chuang, K.; Chien, L.; Chen, W.; Chang, W. Urban air pollution and emergency admissions for cerebrovascular diseases in Taipei, Taiwan. Eur. Heart J. 2006, 27, 1238–1244. [Google Scholar] [CrossRef] [PubMed]
- Henrotin, J.; Besancenot, J.; Bejot, Y.; Giroud, M. Short-term effects of ozone air pollution on ischaemic stroke occurrence: A case-crossover analysis from a 10-year population-based study in Dijon, France. Occup. Environ. Med. 2007, 64, 439–445. [Google Scholar] [CrossRef] [PubMed]
- Chen, C.; Wang, X.; Lv, C.; Li, W.; Ma, D.; Zhang, Q.; Dong, L. The effect of air pollution on hospitalization of individuals with respiratory and cardiovascular diseases in Jinan, China. Medicine 2019, 98, e15634. [Google Scholar] [CrossRef] [PubMed]
- Wang, Z.; Peng, J.; Liu, P.; Duan, Y.; Huang, S.; Wen, Y.; Liao, Y.; Li, H.; Yan, S.; Cheng, J.; et al. Association between short-term exposure to air pollution and ischemic stroke onset: A time-stratified case-crossover analysis using a distributed lag nonlinear model in Shenzhen, China. Environ. Health A Glob. Access Sci. Source 2020, 19, 1. [Google Scholar] [CrossRef] [PubMed]
- Nascimento, L.; Francisco, J.; Patto, M.; Antunes, A. Environmental pollutants and stroke-related hospital admissions. Cad. De Saude Publica 2012, 28, 1319–1324. [Google Scholar] [CrossRef] [PubMed]

| Variables | Ischemic Stroke |
|---|---|
| Total | 9081 |
| Sex | |
| Male (%) | 5690 (62.65) |
| Female (%) | 3391 (37.35) |
| Age (Mean ± SD) | 67.05 ± 11.81 |
| 18–64 (%) | 3887 (42.80) |
| ≥65 (%) | 5194 (57.19) |
| Variables | Mean ± SD | Minimum | Frequency Distribution | Maximum | ||
|---|---|---|---|---|---|---|
| 25th | 50th | 75th | ||||
| Air pollutant | ||||||
| CO (mg/m3) | 1.57 ± 0.84 | 0.3 | 1.0 | 1.4 | 1.9 | 8.7 |
| NO2 (μg/m3) | 49.56 ± 19.00 | 10 | 34 | 45 | 61 | 177 |
| O3 (μg/m3) | 80.37 ± 49.37 | 3 | 42 | 64 | 117 | 264 |
| PM10 (μg/m3) | 125.8 ± 74.23 | 17 | 72 | 109 | 159 | 490 |
| PM2.5 (μg/m3) | 79.58 ± 54.74 | 9 | 41 | 65 | 102 | 381 |
| SO2 (μg/m3) | 39.42 ± 40.12 | 3 | 14 | 26 | 48 | 280 |
| Meteorological factor | ||||||
| Temperature (°C) | 13.96 ± 11.29 | −14.14 | 3.00 | 15.6 | 24.44 | 33.59 |
| Relative humidity (%) | 56.98 ± 17.82 | 10.86 | 43.43 | 57.43 | 70.29 | 97.00 |
| Air Pollutant and Meteorological Factor | NO2 | O3 | PM10 | PM2.5 | SO2 | Temperature | Relative Humidity |
|---|---|---|---|---|---|---|---|
| CO | 0.78 ** | −0.40 ** | 0.67 ** | 0.72 ** | 0.74 ** | −0.39 ** | −0.18 ** |
| NO2 | −0.47 ** | 0.66 ** | 0.67 ** | 0.76 ** | −0.46 ** | −0.19 ** | |
| O3 | −0.18 ** | −0.18 ** | −0.47 ** | 0.76 ** | 0.22 ** | ||
| PM10 | 0.91 ** | 0.58 ** | −0.19 ** | −0.11 ** | |||
| PM2.5 | 0.54 ** | −0.20 ** | −0.04 | ||||
| SO2 | −0.55 ** | −0.26 ** | |||||
| Temperature | 0.20 ** |
Publisher’s Note: MDPI stays neutral with regard to jurisdictional claims in published maps and institutional affiliations. |
© 2022 by the authors. Licensee MDPI, Basel, Switzerland. This article is an open access article distributed under the terms and conditions of the Creative Commons Attribution (CC BY) license (https://creativecommons.org/licenses/by/4.0/).
Share and Cite
Cui, M.; Zhan, C.; Wu, W.; Guo, D.; Song, Y. Acute Gaseous Air Pollution Exposure and Hospitalizations for Acute Ischemic Stroke: A Time-Series Analysis in Tianjin, China. Int. J. Environ. Res. Public Health 2022, 19, 13344. https://doi.org/10.3390/ijerph192013344
Cui M, Zhan C, Wu W, Guo D, Song Y. Acute Gaseous Air Pollution Exposure and Hospitalizations for Acute Ischemic Stroke: A Time-Series Analysis in Tianjin, China. International Journal of Environmental Research and Public Health. 2022; 19(20):13344. https://doi.org/10.3390/ijerph192013344
Chicago/Turabian StyleCui, Mingrui, Changqing Zhan, Wenjuan Wu, Dandan Guo, and Yijun Song. 2022. "Acute Gaseous Air Pollution Exposure and Hospitalizations for Acute Ischemic Stroke: A Time-Series Analysis in Tianjin, China" International Journal of Environmental Research and Public Health 19, no. 20: 13344. https://doi.org/10.3390/ijerph192013344
APA StyleCui, M., Zhan, C., Wu, W., Guo, D., & Song, Y. (2022). Acute Gaseous Air Pollution Exposure and Hospitalizations for Acute Ischemic Stroke: A Time-Series Analysis in Tianjin, China. International Journal of Environmental Research and Public Health, 19(20), 13344. https://doi.org/10.3390/ijerph192013344
