Association between Sociodemographic Factors, Coverage and Offer of Health Services with Mortality Due to Oral and Oropharyngeal Cancer in Brazil: A 20-Year Analysis
Abstract
1. Introduction
2. Materials and Methods
2.1. Comparison Analysis
2.2. Association Analysis
2.3. Age–Period–Cohort (APC) Analysis
2.4. Survival Analysis
3. Results
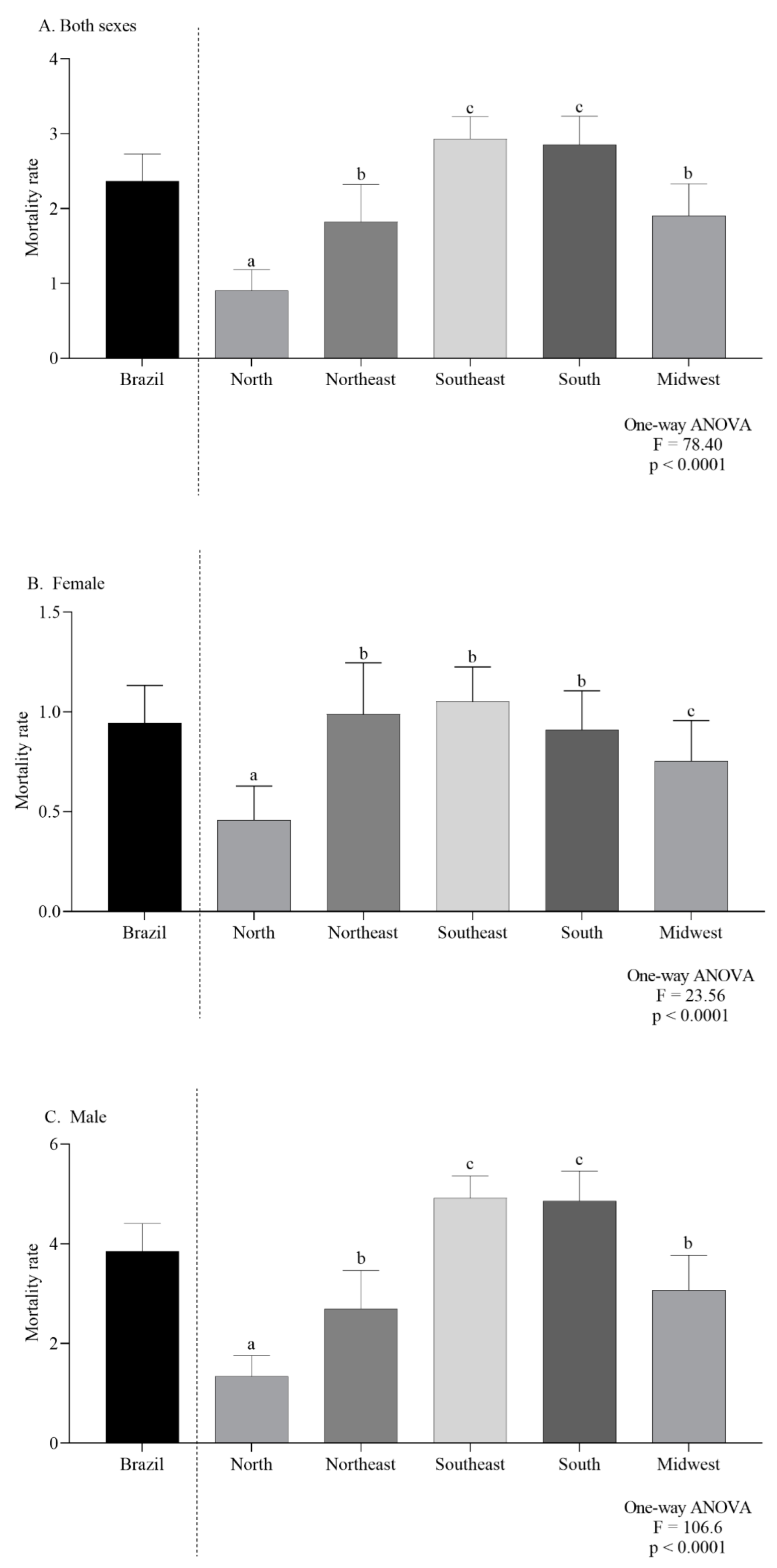
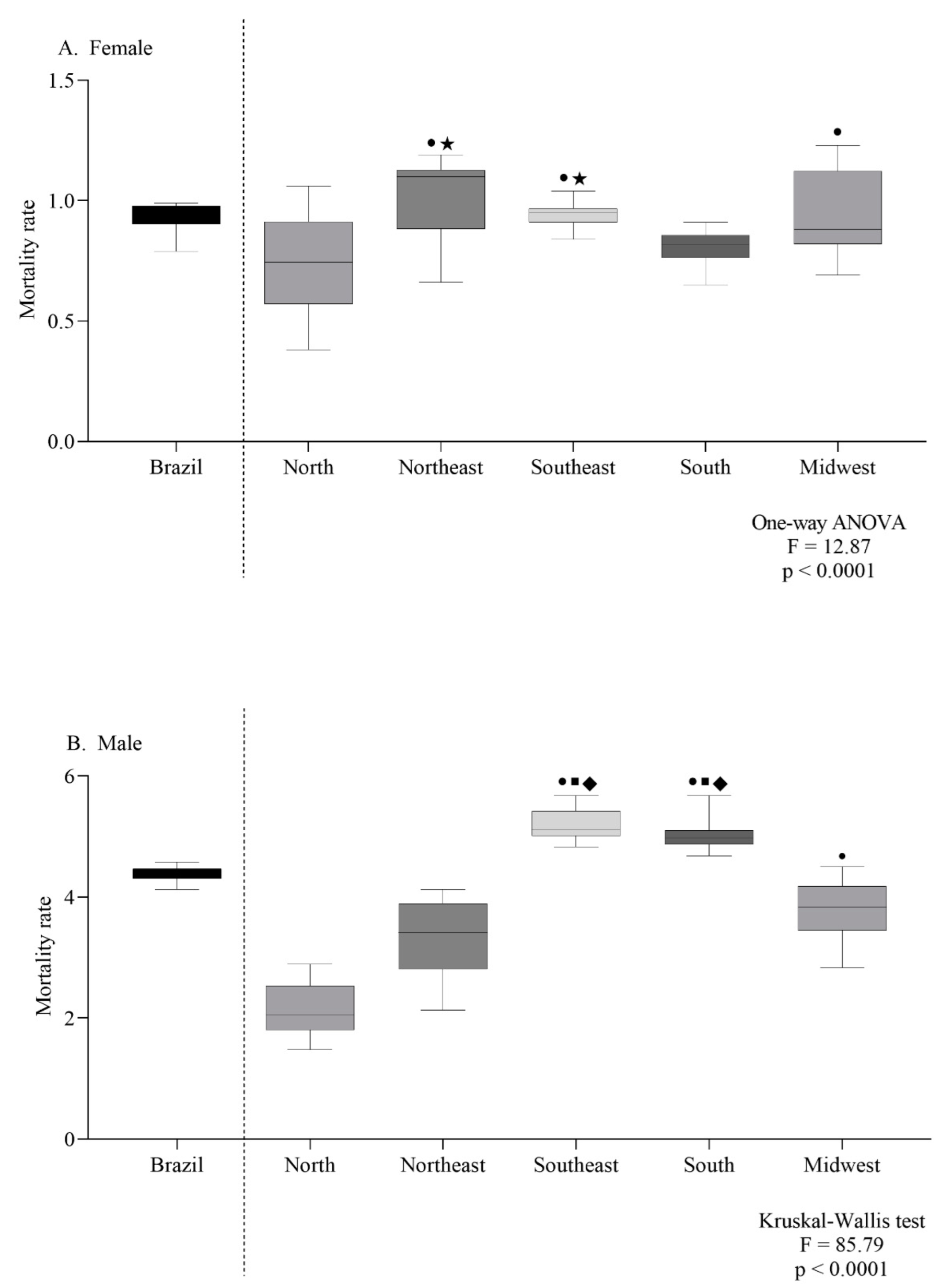
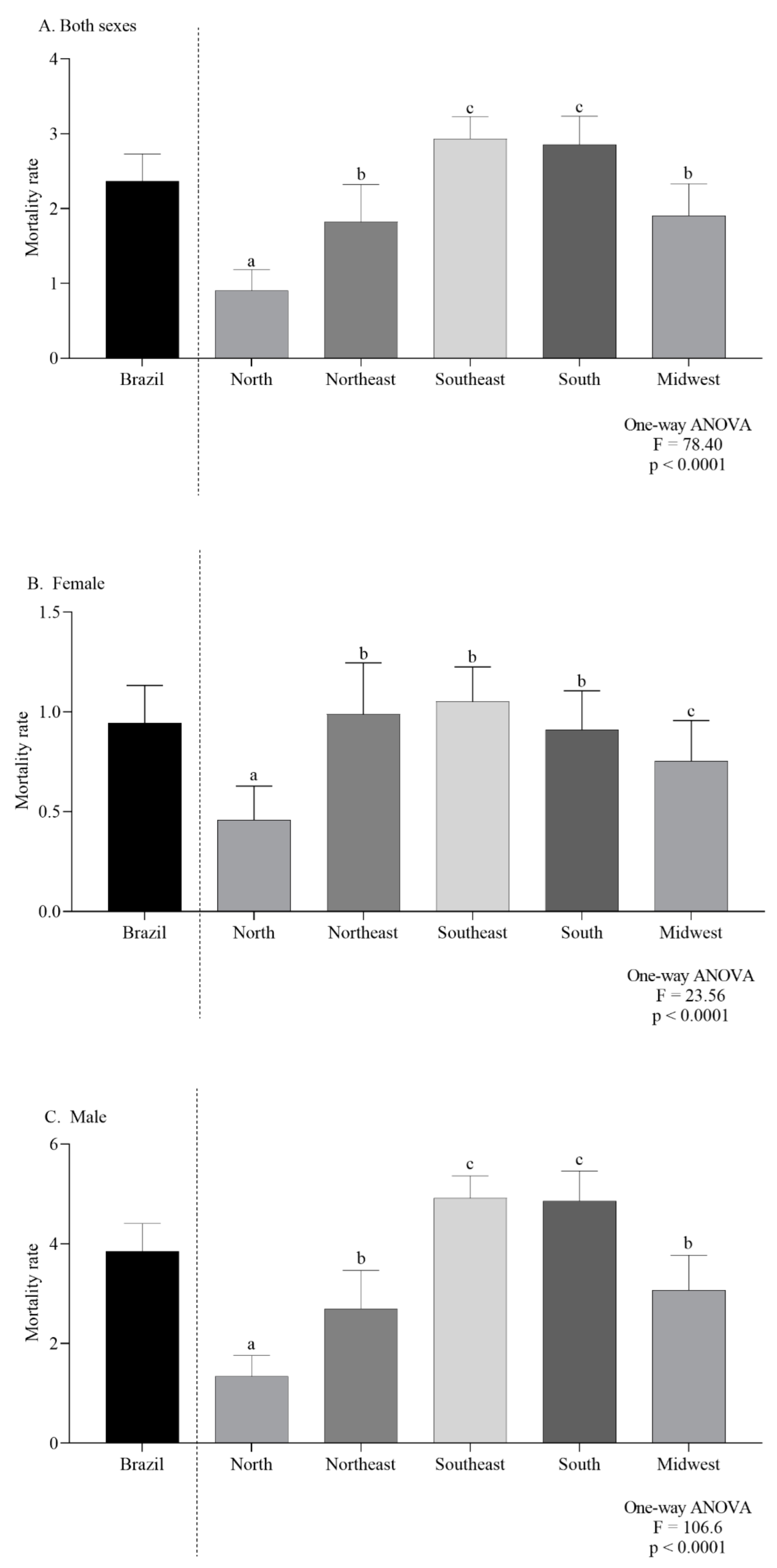
3.1. Comparison Analysis
3.2. Age–Period–Cohort Analysis
3.3. Survival Analysis
3.4. Association Analysis
4. Discussion
5. Conclusions
Author Contributions
Funding
Institutional Review Board Statement
Informed Consent Statement
Data Availability Statement
Conflicts of Interest
References
- World Health Organization: ICD10-Version: 2016. 2018. Available online: https://icd.who.int/browse10/2016/en#/C00-C14 (accessed on 25 November 2020).
- Warnakulasuriya, S. Global epidemiology of oral and oropharyngeal cancer. Oral Oncol. 2009, 45, 309–316. [Google Scholar] [CrossRef] [PubMed]
- Sung, H.; Ferlay, J.; Siegel, R.L.; Laversanne, M.; Soerjomataram, I.; Jemal, A.; Bray, F. Global Cancer Statistics 2020: GLOBOCAN Estimates of Incidence and Mortality Worldwide for 36 Cancers in 185 Countries. CA Cancer J. Clin. 2021, 71, 209–249. [Google Scholar] [CrossRef]
- IARC: Cancer Tomorrow. 2021. Available online: https://gco.iarc.fr/tomorrow/home (accessed on 8 July 2021).
- Wünsch-Filho, V.; Camargo, E. The burden of mouth cancer in Latin America and the Caribbean: Epidemiologic issues. Semin Oncol. 2001, 28, 158–168. [Google Scholar] [CrossRef] [PubMed]
- Wünsch-Filho, V. The epidemiology of oral and pharynx cancer in Brazil. Oral Oncol. 2002, 38, 737–746. [Google Scholar] [CrossRef]
- Herrera-Serna, B.Y.; Lara-Carrillo, E.; Toral-Rizo, V.H.; Amaral, R.C.; Aguilera-Eguía, R.A. Relationship between the Human Development Index and its Components with Oral Cancer in Latin America. J. Epidemiol. Glob. Health 2019, 9, 223. [Google Scholar] [CrossRef] [PubMed]
- Boing, A.; Peres, M.; Antunes, J. Mortality from oral and pharyngeal cancer in Brazil: Trends and regional patterns, 1979–2002. Rev. Panam. Salud Publica 2006, 20, 1–8. [Google Scholar] [CrossRef] [PubMed][Green Version]
- Petersen, P.E. Oral cancer prevention and control-The approach of the World Health Organization. Oral Oncol. 2009, 45, 454–460. [Google Scholar] [CrossRef] [PubMed]
- Warnakulasuriya, S. Living with oral cancer: Epidemiology with particular reference to prevalence and life-style changes that influence survival. Oral Oncol. 2010, 46, 407–410. [Google Scholar] [CrossRef]
- Radoï, L.; Luce, D. A review of risk factors for oral cavity cancer: The importance of a standardized case definition. Community Dent. Oral Epidemiol. 2013, 41, 97–109. [Google Scholar] [CrossRef] [PubMed]
- Dantas, T.S.; Silva, P.G.B.; Sousa, E.F.; Cunha, M.D.P.; Aguiar, A.S.W.; Costa, F.W.G.; Sousa, F.B. Influence of educational level, stage, and histological type on survival of oral cancer in a brazilian population: A retrospective study of 10 years observation. Medicine 2016, 95, e2314. [Google Scholar] [CrossRef] [PubMed]
- Johnson, N.W.; Warnakulasuriya, S.; Gupta, P.C.; Dimba, E.; Chindia, M.; Otoh, E.C.; Kowalski, L. Global oral health inequalities in incidence and outcomes for oral cancer: Causes and solutions. Adv. Dent. Res. 2011, 23, 237–246. [Google Scholar] [CrossRef] [PubMed]
- Paim, J.; Travassos, C.; Almeida, C.; Bahia, L.; MacInko, J. The Brazilian health system: History, advances, and challenges. Lancet 2011, 377, 1778–1797. [Google Scholar] [CrossRef]
- Conselho Nacional de Saúde. Resolução 510, de 7 de abril de 2016. Diário Oficial da União. 2016. Available online: https://bvsms.saude.gov.br/bvs/saudelegis/cns/2016/res0510_07_04_2016.html (accessed on 25 November 2020).
- Ministério da Saúde: Mortalidade–1996 a 2018, pela CID-10. 2020. Available online: https://datasus.saude.gov.br/mortalidade-1996-a-2017-pela-cid-10-2/ (accessed on 25 November 2020).
- Morais, R.M.; Costa, A.L. Uma avaliação do Sistema de Informações sobre Mortalidade. Saúde em Debate 2017, 41, 101–117. [Google Scholar] [CrossRef]
- Ministério da Saúde. Manual de Procedimentos do Sistema de Informações Sobre Mortalidade; Ministério da Saúde: Brasília, Brazil, 2001; p. 36. [Google Scholar]
- WHO: World Health Organization. WHO Methods and Data Sources for Country-Level Causes of Death 2000–2016; World Health Organization: Geneva, Switzerland, 2020. [Google Scholar]
- GHO: The Global Health Observatory. Ill-Defined Causes in Cause-of-Death Registration (%). 2021. Available online: https://www.who.int/data/gho/data/indicators/indicator-details/GHO/ill-defined-causes-in-cause-of-death-registration-(-) (accessed on 8 December 2021).
- IBGE. Projeção da população do Brasil e das Unidades da Federação. 2020. Available online: https://www.ibge.gov.br/apps/populacao/projecao/index.html (accessed on 30 November 2020).
- Ahmad, O.B.; Boschi-Pinto, C.; Lopez, A.D. Age Standardization of Rates: A New WHO Standard. GPE Discuss Pap Ser. 2001, pp. 1–14. Available online: https://citeseerx.ist.psu.edu/viewdoc/download?doi=10.1.1.172.2185&rep=rep1&type=pdf (accessed on 8 December 2021).
- Lucena, E.H.G.; Lucena, C.D.R.X.; Alemán, J.A.S.; Júnior, G.A.P.; Pereira, A.C.; Cavalcanti, Y.W. Monitoring of oral health teams after National Primary Care Policy 2017. Rev Saude Publica 2020, 54, 1–10. [Google Scholar]
- Ministério da Saúde. Cobertura de Saúde Bucal. Secretaria de Atenção Primária à Saúde (SAPS); 2020. Available online: https://egestorab.saude.gov.br/paginas/acessoPublico/relatorios/relHistoricoCoberturaSB.xhtml (accessed on 30 November 2020).
- Ministério da Saúde. Consulta-Tipos de Estabelecimentos. 2020. Available online: http://cnes2.datasus.gov.br/Mod_Ind_Unidade.asp (accessed on 30 November 2020).
- Ministério da Saúde. Diretrizes da Política Nacional de Saúde Bucal; Diário Oficial da União: Brasília, Brazil, 2004. [Google Scholar]
- Mukaka, M.M. Statistics corner: A guide to appropriate use of correlation coefficient in medical research. Malawi Med. J. 2012, 24, 69–71. [Google Scholar] [PubMed]
- Rosenberg, P.S.; Check, D.P.; Anderson, W.F. A Web Tool for Age–Period–Cohort Analysis of Cancer Incidence and Mortality Rates. Cancer Epidemiol. Biomarkers Prev. 2014, 23, 2296–2302. [Google Scholar] [CrossRef] [PubMed]
- Saldanha, R.F.; Bastos, R.R.; Barcellos, C. Microdatasus: A package for downloading and preprocessing microdata from Brazilian Health Informatics Department (DATASUS). Cad. Saude Publica 2019, 35, 1–9. [Google Scholar]
- In, J.; Lee, D.K. Survival analysis: Part II-applied clinical data analysis. Korean J. Anesthesiol. 2019, 72, 441–457. [Google Scholar] [PubMed]
- Perea, L.M.E.; Peres, M.A.; Boing, A.F.; Antunes, J.L.F. Tendência de mortalidade por câncer de boca e faringe no Brasil no período 2002–013. Rev. Saúde Pública 2018, 52, 10. [Google Scholar] [CrossRef] [PubMed]
- Moi, G.P.; Silva, A.M.C.; Galvão, N.D.; Meneghim, M.C.; Pereira, A.C. Spatial analysis of the death associated factors due oral cancer in Brazil: An ecological study. BMC Oral Health 2018, 18, 14. [Google Scholar]
- Borges, D.M.L.; Sena, M.F.; Ferreira, M.Â.F.; Roncalli, Â.G. Mortalidade por câncer de boca e condição sócio-econômica no Brasil. Cad. Saúde Publica 2009, 25, 321–327. [Google Scholar] [CrossRef] [PubMed]
- Rocha, T.A.H.; Thomaz, E.B.A.F.; Silva, N.C.; Queiroz, R.C.S.; Souza, M.R.; Barbosa, A.C.Q.; Thumé, E.; Rocha, J.V.M.; Alvares, V.; De Almeida, D.G.; et al. Oral primary care: An analysis of its impact on the incidence and mortality rates of oral cancer. BMC Cancer 2017, 17, 706. [Google Scholar] [CrossRef] [PubMed]
- Antunes, J.L.F.; Toporcov, T.N.; Biazevic, M.G.H.; Boing, A.F.; Bastos, J.L. Gender and racial inequalities in trends of oral cancer mortality in Sao Paulo, Brazil. Rev. Saude Publica 2013, 47, 470–478. [Google Scholar] [CrossRef] [PubMed]
- Cosetti-Olivera, M.L.; Cunha, A.R.; Prass, T.S.; Martins, M.A.; Hugo, F.N.; Martins, M.D. Trends of mortality due to oral and oropharyngeal cancers in Uruguay from 1997 to 2014. Med Oral Patol. Oral Cir. Bucal. 2020, 25, e403–e409. [Google Scholar] [CrossRef]
- Cunha, A.R.; Prass, T.S.; Hugo, F.N. Mortality from oral and oropharyngeal cancer in Brazil, between 2000 and 2013: Trends by sociodemographic strata. Cien. Saúde Colet. 2020, 25, 3075–3086. [Google Scholar] [CrossRef] [PubMed]
- Biazevic, M.G.H.; Castellanos, R.A.; Antunes, J.L.F.; Michel-Crosato, E. Tendências de mortalidade por câncer de boca e orofaringe no Município de São Paulo, Brasil, 1980/2002. Cad. Saude Publica 2006, 22, 2105–2114. [Google Scholar] [CrossRef] [PubMed]
- López-Otín, C.; Blasco, M.A.; Partridge, L.; Serrano, M.; Kroemer, G. The Hallmarks of Aging. Cell. 2013, 153, 1194–1217. [Google Scholar] [CrossRef]
- Vincent-Chong, V.K.; DeJong, H.; Rich, L.J.; Patti, A.; Merzianu, M.; Hershberger, P.A.; Seshadri, M. Impact of Age on Disease Progression and Microenvironment in Oral Cancer. J. Dent. Res. 2018, 97, 1268–1276. [Google Scholar] [CrossRef]
- Perea, L.M.E.; Antunes, J.L.F.; Peres, M.A. Oral and oropharyngeal cancer mortality in Brazil, 1983–2017: Age–period–cohort analysis. Oral Dis. 2020, 28, 97–107. [Google Scholar] [CrossRef] [PubMed]
- Osazuwa-Peters, N.; Massa, S.T.; Christopher, K.M.; Walker, R.J.; Varvares, M.A. Race and sex disparities in long-term survival of oral and oropharyngeal cancer in the United States. J. Cancer Res. Clin. Oncol. 2016, 142, 521–528. [Google Scholar] [CrossRef]
- Shiboski, C.H.; Schmidt, B.L.; Jordan, R.C.K. Racial disparity in stage at diagnosis and survival among adults with oral cancer in the US. Community Dent. Oral Epidemiol. 2007, 35, 233–240. [Google Scholar] [CrossRef]
- Kowalski, L.P.; Oliveira, M.M.; Lopez, R.V.M.; Silva, D.R.M.; Ikeda, M.K.; Curado, M.P. Survival trends of patients with oral and oropharyngeal cancer treated at a cancer center in são paulo, Brazil. Clinics 2020, 75, 507. [Google Scholar] [CrossRef]
- Moro, J.S.; Maroneze, M.C.; Ardenghi, T.M.; Barin, L.M.; Danesi, C.C. Oral and oropharyngeal cancer: Epidemiology and survival analysis. Einstein 2018, 16, eAO4248. [Google Scholar] [CrossRef] [PubMed]
- Huber, M.A.; Tantiwongkosi, B. Oral and Oropharyngeal Cancer. Med Clin. N. Am. 2014, 98, 1299–1321. [Google Scholar] [CrossRef] [PubMed]
- Biazevic, M.G.H.; Antunes, J.L.F.; Togni, J.; Andrade, F.P.; Carvalho, M.B.; Wünsch-Filho, V. Survival and quality of life of patients with oral and oropharyngeal cancer at 1-year follow-up of tumor resection. J. Appl. Oral. Sci. 2010, 18, 279–284. [Google Scholar] [CrossRef]
- Constante, H.M. Racial inequalities in public dental service utilization: Exploring individual and contextual determinants among middle-aged Brazilian adults. Community Dent. Oral Epidemiol. 2020, 48, 302–308. [Google Scholar] [CrossRef]
- Sankaranarayanan, R. Oral cancer in India: An epidemiologic and clinical review. Oral Surg. Oral Med Oral Pathol. 1990, 69, 325–330. [Google Scholar] [CrossRef]
- Torres-Pereira, C. Oral cancer public policies: Is there any evidence of impact? Braz. Oral Res. 2010, 24, 37–42. [Google Scholar] [CrossRef] [PubMed][Green Version]
- Scott, S.E.; Grunfeld, E.A.; McGurk, M. Patient’s delay in oral cancer: A systematic review. Community Dent. Oral Epidemiol. 2006, 34, 337–343. [Google Scholar] [CrossRef]









| Brazilian Geographic Regions | ||||||
|---|---|---|---|---|---|---|
| Variables | Brazil N = 92,243 | Nort HN = 2964 | Southeast N = 48,074 | Northeast N = 19,739 | Sout HN = 15,972 | Midwest N = 5497 |
| Sex | ||||||
| Female | 18,779 (20%) | 743 (25%) | 8853 (18%) | 5490 (28%) | 2599 (16%) | 1094 (20%) |
| Male | 73,464 (80%) | 2221 (75%) | 39,218 (82%) | 14,249 (72%) | 13,373 (84%) | 4403 (80%) |
| Unknown | 3 | 0 | 3 | 0 | 0 | 0 |
| Race | ||||||
| White | 50,883 (58%) | 646 (22%) | 29,255 (64%) | 4974 (27%) | 13,591 (88%) | 2417 (46%) |
| Yellow | 397 (0.5%) | 10 (0.3%) | 255 (0.6%) | 75 (0.4%) | 39 (0.3%) | 18 (0.3%) |
| Indigenous | 101 (0.1%) | 23 (0.8%) | 20 (<0.1%) | 32 (0.2%) | 12 (<0.1%) | 14 (0.3%) |
| Brown | 28,399 (32%) | 2027 (70%) | 11,486 (25%) | 11,424 (63%) | 1040 (6.7%) | 2422 (46%) |
| Black | 7700 (8.8%) | 176 (6.1%) | 4565 (10%) | 1770 (9.7%) | 772 (5.0%) | 417 (7.9%) |
| Unknown | 4766 | 82 | 2493 | 1464 | 518 | 209 |
| Age | ||||||
| ≤29 | 486 (0.5%) | 44 (1.5%) | 194 (0.4%) | 153 (0.8%) | 58 (0.4%) | 37 (0.7%) |
| 30 to 39 | 1919 (2.1%) | 76 (2.6%) | 910 (1.9%) | 499 (2.5%) | 297 (1.9%) | 137 (2.5%) |
| 40 to 49 | 12,170 (13%) | 344 (12%) | 6481 (13%) | 2388 (12%) | 2122 (13%) | 835 (15%) |
| 50 to 59 | 26,743 (29%) | 688 (23%) | 14,771 (31%) | 4769 (24%) | 4864 (30%) | 1651 (30%) |
| 60 to 69 | 24,554 (27%) | 768 (26%) | 13,192 (27%) | 4731 (24%) | 4466 (28%) | 1397 (25%) |
| 70 to 79 | 15,791 (17%) | 608 (21%) | 7826 (16%) | 3785 (19%) | 2646 (17%) | 926 (17%) |
| ≥80 | 10,574 (11%) | 435 (15%) | 4697 (9.8%) | 3409 (17%) | 1519 (9.5%) | 514 (9.4%) |
| Unknown | 9 | 1 | 3 | 5 | 0 | 0 |
Publisher’s Note: MDPI stays neutral with regard to jurisdictional claims in published maps and institutional affiliations. |
© 2022 by the authors. Licensee MDPI, Basel, Switzerland. This article is an open access article distributed under the terms and conditions of the Creative Commons Attribution (CC BY) license (https://creativecommons.org/licenses/by/4.0/).
Share and Cite
Affonso, M.V.d.G.; Souza, I.G.; Rocha, E.S.d.; Goloni-Bertollo, E.M.; Gomes, F.d.C.; Nascimento, L.S.d.; Melo-Neto, J.S.d. Association between Sociodemographic Factors, Coverage and Offer of Health Services with Mortality Due to Oral and Oropharyngeal Cancer in Brazil: A 20-Year Analysis. Int. J. Environ. Res. Public Health 2022, 19, 13208. https://doi.org/10.3390/ijerph192013208
Affonso MVdG, Souza IG, Rocha ESd, Goloni-Bertollo EM, Gomes FdC, Nascimento LSd, Melo-Neto JSd. Association between Sociodemographic Factors, Coverage and Offer of Health Services with Mortality Due to Oral and Oropharyngeal Cancer in Brazil: A 20-Year Analysis. International Journal of Environmental Research and Public Health. 2022; 19(20):13208. https://doi.org/10.3390/ijerph192013208
Chicago/Turabian StyleAffonso, Márcio Vinicius de Gouveia, Igor Gonçalves Souza, Emerson Souza de Rocha, Eny Maria Goloni-Bertollo, Fabiana de Campos Gomes, Liliane Silva do Nascimento, and João Simão de Melo-Neto. 2022. "Association between Sociodemographic Factors, Coverage and Offer of Health Services with Mortality Due to Oral and Oropharyngeal Cancer in Brazil: A 20-Year Analysis" International Journal of Environmental Research and Public Health 19, no. 20: 13208. https://doi.org/10.3390/ijerph192013208
APA StyleAffonso, M. V. d. G., Souza, I. G., Rocha, E. S. d., Goloni-Bertollo, E. M., Gomes, F. d. C., Nascimento, L. S. d., & Melo-Neto, J. S. d. (2022). Association between Sociodemographic Factors, Coverage and Offer of Health Services with Mortality Due to Oral and Oropharyngeal Cancer in Brazil: A 20-Year Analysis. International Journal of Environmental Research and Public Health, 19(20), 13208. https://doi.org/10.3390/ijerph192013208

