Variations of the Locomotor Profile, Sprinting, Change-of-Direction, and Jumping Performances in Youth Soccer Players: Interactions between Playing Positions and Age-Groups
Abstract
:1. Introduction
2. Materials and Methods
2.1. Study Design
2.2. Participants
2.3. Testing Procedures
2.3.1. Anthropometry
2.3.2. Jumping Performance
2.3.3. Sprinting
2.3.4. Maximal Speed Sprint
2.3.5. Change-of-Direction Ability
AI% = [(COD time Dominant − COD time Non-dominant)/COD time Dominant] × 100
2.3.6. Velocity at 30-15 IFT and Anaerobic Speed Reserve
2.4. Statistical Analyses
3. Results
4. Discussion
4.1. Age Group Comparisons
4.2. Playing Position Comparisons
4.3. Study Limitations, Future Research and Practical Implications
5. Conclusions
Author Contributions
Funding
Institutional Review Board Statement
Informed Consent Statement
Data Availability Statement
Conflicts of Interest
References
- Drust, B.; Atkinson, G.; Reilly, T. Future Perspectives in the Evaluation of the Physiological Demands of Soccer. Sport Med. 2007, 37, 783–805. [Google Scholar] [CrossRef] [PubMed]
- Mohr, M.; Krustrup, P.; Bangsbo, J. Fatigue in soccer: A brief review. J. Sports Sci. 2005, 23, 593–599. [Google Scholar] [CrossRef] [PubMed]
- Dolci, F.; Hart, N.H.; Kilding, A.E.; Chivers, P.; Piggott, B.; Spiteri, T. Physical and Energetic Demand of Soccer: A Brief Review. Strength Cond. J. 2020, 42, 70–77. [Google Scholar] [CrossRef]
- Stolen, T.; Chamari, K.; Castagna, C.; Wisloff, U. Physiology of soccer: An update. Sport Med. 2005, 35, 501–536. [Google Scholar] [CrossRef]
- Andrzejewski, M.; Chmura, J.; Pluta, B.; Strzelczyk, R.; Kasprzak, A. Analysis of Sprinting Activities of Professional Soccer Players. J. Strength Cond. Res. 2013, 27, 2134–2140. [Google Scholar] [CrossRef]
- Faude, O.; Koch, T.; Meyer, T. Straight sprinting is the most frequent action in goal situations in professional football. J. Sports Sci. 2012, 30, 625–631. [Google Scholar] [CrossRef] [PubMed]
- Bradley, P.S.; Archer, D.T.; Hogg, B.; Schuth, G.; Bush, M.; Carling, C.; Barnes, C. Tier-specific evolution of match performance characteristics in the English Premier League: It’s getting tougher at the top. J. Sports Sci. 2016, 34, 980–987. [Google Scholar] [CrossRef]
- Bush, M.; Barnes, C.; Archer, D.T.; Hogg, B.; Bradley, P.S. Evolution of match performance parameters for various playing positions in the English Premier League. Hum. Mov. Sci. 2015, 39, 1–11. [Google Scholar] [CrossRef] [PubMed]
- Pons, E.; Ponce-Bordón, J.C.; Díaz-García, J.; Del Campo, R.L.; Resta, R.; Peirau, X.; García-Calvo, T. A longitudinal exploration of match running performance during a football match in the spanish la liga: A four-season study. Int. J. Environ. Res. Public Health 2021, 18, 1133. [Google Scholar] [CrossRef]
- Oliva-Lozano, J.M.; Gómez-Carmona, C.D.; Pino-Ortega, J.; Moreno-Pérez, V.; Rodríguez-Pérez, M.A. Match and Training High Intensity Activity-Demands Profile during a Competitive Mesocycle in Youth Elite Soccer Players. J. Hum. Kinet. 2020, 75, 195–205. [Google Scholar] [CrossRef]
- Duthie, G.M.; Thornton, H.R.; Delaney, J.A.; Connolly, D.R.; Serpiello, F.R. Running Intensities in Elite Youth Soccer by Age and Position. J. Strength Cond. Res. 2018, 32, 2918–2924. [Google Scholar] [CrossRef] [PubMed]
- Krustrup, P.; Mohr, M.; Amstrup, T.; Rysgaard, T.; Johansen, J.; Steensberg, A.; Preben, K.; Bangsbo, J. The Yo-Yo Intermittent Recovery Test: Physiological Response, Reliability, and Validity. Med. Sci. Sport Exerc. 2003, 35, 697–705. [Google Scholar] [CrossRef] [PubMed]
- Krustrup, P.; Mohr, M.; Ellingsgaard, H.; Bangsbo, J.; Ellinsgaard, H.; Bangsbo, J. Physical Demands during an Elite Female Soccer Game: Importance of Training Status. Med. Sci. Sport Exerc. 2005, 37, 1242–1248. [Google Scholar] [CrossRef] [PubMed]
- Turner, A.; Walker, S.; Stembridge, M.; Coneyworth, P.; Reed, G.; Birdsey, L.; Barter, L.; Moody, J. A Testing Battery for the Assessment of Fitness in Soccer Players. Strength Cond. J. 2011, 33, 29–39. [Google Scholar] [CrossRef] [Green Version]
- Sarmento, H.; Anguera, M.T.; Pereira, A.; Araújo, D. Talent Identification and Development in Male Football: A Systematic Review. Sport Med. 2018, 48, 907–931. [Google Scholar] [CrossRef]
- Larkin, P.; O’Connor, D. Talent identification and recruitment in youth soccer: Recruiter’s perceptions of the key attributes for player recruitment. Sampaio J, editor. PLoS ONE 2017, 12, e0175716. [Google Scholar] [CrossRef] [Green Version]
- Gonaus, C.; Müller, E. Using physiological data to predict future career progression in 14- to 17-year-old Austrian soccer academy players. J. Sports Sci. 2012, 30, 1673–1682. [Google Scholar] [CrossRef]
- Pearson, D.T.; Naughton, G.A.; Torode, M. Predictability of physiological testing and the role of maturation in talent identification for adolescent team sports. J. Sci. Med. Sport 2006, 9, 277–287. [Google Scholar] [CrossRef]
- Figueiredo, A.J.; Gonçalves, C.E.; Coelho, E.; Silva, M.J.; Malina, R.M. Youth soccer players, 11–14 years: Maturity, size, function, skill and goal orientation. Ann. Hum. Biol. 2009, 36, 60–73. [Google Scholar] [CrossRef] [PubMed] [Green Version]
- Paul, D.J.; Nassis, G.P. Physical Fitness Testing in Youth Soccer: Issues and Considerations Regarding Reliability, Validity, and Sensitivity. Pediatr. Exerc. Sci. 2015, 27, 301–313. [Google Scholar] [CrossRef]
- Fransen, J.; Bennett, K.J.M.; Woods, C.T.; French-Collier, N.; Deprez, D.; Vaeyens, R.; Lenoir, M. Modelling age-related changes in motor competence and physical fitness in high-level youth soccer players: Implications for talent identification and development. Sci. Med. Footb. 2017, 1, 203–208. [Google Scholar] [CrossRef]
- Oancea, B. Aspecte Practice ale Baschetului Scolar (Practical Aspects of School Basketball); Brasov, U.T., Ed.; Universitatea Transilvania Brasov: Brasov, Romania, 2016; pp. 15–25. [Google Scholar]
- Hulse, M.; Morris, J.; Hawkins, R.; Hodson, A.; Nevill, A.; Nevill, M. A Field-Test Battery for Elite, Young Soccer Players. Int. J. Sports Med. 2012, 34, 302–311. [Google Scholar] [CrossRef] [PubMed]
- Dugdale, J.H.; Arthur, C.A.; Sanders, D.; Hunter, A.M. Reliability and validity of field-based fitness tests in youth soccer players. Eur. J. Sport Sci. 2019, 19, 745–756. [Google Scholar] [CrossRef] [PubMed]
- Buchheit, M. The 30-15 Intermittent Fitness Test: Accuracy for Individualizing Interval Training of Young Intermittent Sport Players. J. Strength Cond. Res. 2008, 22, 365–374. [Google Scholar] [CrossRef] [Green Version]
- Sandford, G.N.; Laursen, P.B.; Buchheit, M. Anaerobic Speed/Power Reserve and Sport Performance: Scientific Basis, Current Applications and Future Directions. Sport Med. 2021, 51, 2017–2028. [Google Scholar] [CrossRef] [PubMed]
- Slimani, M.; Nikolaidis, P.T. Anthropometric and physiological characteristics of male soccer players according to their competitive level, playing position and age group: A systematic review. J. Sports Med. Phys. Fitness 2019, 59, 141–163. [Google Scholar] [CrossRef] [PubMed]
- Deprez, D.; Fransen, J.; Boone, J.; Lenoir, M.; Philippaerts, R.; Vaeyens, R. Characteristics of high-level youth soccer players: Variation by playing position. J. Sports Sci. 2015, 33, 243–254. [Google Scholar] [CrossRef] [Green Version]
- Towlson, C.; Cobley, S.; Midgley, A.W.; Garret, A.; Parkin, G.; Lovell, R. Relative Age, Maturation and Physical Biases on Position Allocation in Elite-Youth Soccer. Int. J. Sports Med. 2017, 38, 201–209. [Google Scholar] [CrossRef] [PubMed] [Green Version]
- Owoeye, O.B.; Akinbo, S.R.; Tella, B.A.; Olawale, O.A. Efficacy of the FIFA 11+ warm-up programme in male youth football: A cluster randomised controlled trial. J. Sports Sci. Med. 2014, 13, 321–328. [Google Scholar]
- Durnin, J.V.G.A.; Womersley, J. Body fat assessed from total body density and its estimation from skinfold thickness: Measurements on 481 men and women aged from 16 to 72 Years. Br. J. Nutr. 1974, 32, 77–97. [Google Scholar] [CrossRef] [PubMed] [Green Version]
- Zabaloy, S.; Freitas, T.T.; Carlos-Vivas, J.; Giráldez, J.C.; Loturco, I.; Pareja-Blanco, F.; Gálvez González, J.; Alcaraz, P.E. Estimation of maximum sprinting speed with timing gates: Greater accuracy of 5-m split times compared to 10-m splits. Sport Biomech. 2021, 1–11. [Google Scholar] [CrossRef] [PubMed]
- Rago, V.; Brito, J.; Figueiredo, P.; Ermidis, G.; Barreira, D.; Rebelo, A. The Arrowhead Agility Test: Reliability, Minimum Detectable Change, and Practical Applications in Soccer Players. J. Strength Cond. Res. 2020, 34, 483–494. [Google Scholar] [CrossRef] [PubMed]
- Dos’Santos, T.; Thomas, C.; Jones, P.A.; Comfort, P. Assessing Asymmetries in Change of Direction Speed Performance: Application of Change of Direction Deficit. J. Strength Cond. Res. 2019, 33, 2953–2961. [Google Scholar] [CrossRef] [Green Version]
- Sandford, G.N.; Kilding, A.E.; Ross, A.; Laursen, P.B. Maximal Sprint Speed and the Anaerobic Speed Reserve Domain: The Untapped Tools that Differentiate the World’s Best Male 800 m Runners. Sport Med. 2019, 49, 843–852. [Google Scholar] [CrossRef] [PubMed]
- Nikolaidis, P.T.; Vassilios Karydis, N. Physique and Body Composition in Soccer Players across Adolescence. Asian J. Sports Med. 2011, 2, 75. [Google Scholar] [CrossRef] [PubMed] [Green Version]
- Malina, R.M.; Figueiredo, A.J.; Coelho-e-Silva, M.J. Body Size of Male Youth Soccer Players: 1978–2015. Sport Med. 2017, 47, 1983–1992. [Google Scholar] [CrossRef]
- Gil, S.; Ruiz, F.; Irazusta, A.; Gil, J.; Irazusta, J. Selection of young soccer players in terms of anthropometric and physiological factors. J. Sports Med. Phys. Fitness 2007, 47, 25–32. [Google Scholar] [PubMed]
- Leão, C.; Camões, M.; Clemente, F.M.; Nikolaidis, P.T.; Lima, R.; Bezerra, P.; Rosemann, T.; Knechtle, B. Anthropometric Profile of Soccer Players as a Determinant of Position Specificity and Methodological Issues of Body Composition Estimation. Int. J. Environ. Res. Public Health. 2019, 16, 2386. [Google Scholar] [CrossRef] [Green Version]
- Rico-Sanz, J. Body Composition and Nutritional assessments in Soccer. Int. J. Sport Nutr. 1998, 8, 113–123. [Google Scholar] [CrossRef] [Green Version]
- Gil, S.M.S.; Javier, G.; Ruiz, F.; Irazusta, A.; Irazusta, J. Physiological and anthropometric characteristics of young soccer players according to their playing position: Relevance for the selection process. J. Strength Cond. Res. 2007, 21, 438–445. [Google Scholar] [CrossRef]
- Ziv, G.; Lidor, R. Physical Characteristics, Physiological Attributes, and On-Field Performances of Soccer Goalkeepers. Int. J. Sports Physiol. Perform. 2011, 6, 509–524. [Google Scholar] [CrossRef] [PubMed]
- Mendez-Villanueva, A.; Buchheit, M.; Kuitunen, S.; Douglas, A.; Peltola, E.; Bourdon, P. Age-related differences in acceleration, maximum running speed, and repeated-sprint performance in young soccer players. J. Sports Sci. 2011, 29, 477–484. [Google Scholar] [CrossRef] [PubMed]
- Al Haddad, H.; Simpson, B.M.; Buchheit, M.; Di Salvo, V.; Mendez-Villanueva, A. Peak Match Speed and Maximal Sprinting Speed in Young Soccer Players: Effect of Age and Playing Position. Int. J. Sports Physiol. Perform. 2015, 10, 888–896. [Google Scholar] [CrossRef]
- Falk, B.; Bar-Or, O. Longitudinal Changes in Peak Aerobic and Anaerobic Mechanical Power of Circumpubertal Boys. Pediatr. Exerc. Sci 1993, 5, 318–331. [Google Scholar] [CrossRef]
- Buchheit, M.; Samozino, P.; Glynn, J.A.; Michael, B.S.; Al Haddad, H.; Mendez-Villanueva, A.; Morin, J.B. Mechanical determinants of acceleration and maximal sprinting speed in highly trained young soccer players. J. Sports Sci. 2014, 32, 1906–1913. [Google Scholar] [CrossRef]
- Loturco, I.; Bishop, C.; Freitas, T.T.; Pereira, L.A.; Jeffreys, I. Vertical Force Production in Soccer: Mechanical Aspects and Applied Training Strategies. Strength Cond. J. 2020, 42, 6–15. [Google Scholar] [CrossRef]
- Loturco, I.; Nimphius, S.; Kobal, R.; Bottino, A.; Zanetti, V.; Pereira, L.A.; Jeffreys, I. Change-of direction deficit in elite young soccer players. German J. Exercise and Sport Res. 2018, 48, 228–234. [Google Scholar] [CrossRef]
- Buchheit, M.; Mendez-Villanueva, A.; Simpson, B.M.; Bourdon, P.C. Match Running Performance and Fitness in Youth Soccer. Int. J. Sports Med. 2010, 31, 818–825. [Google Scholar] [CrossRef]
- Haugen, T.; Tønnessen, E.; Hisdal, J.; Seiler, S. The role and development of sprinting speed in soccer. Int. J. Sports physiol. Perform. 2014, 9, 432–441. [Google Scholar] [CrossRef] [PubMed] [Green Version]
- Mendez-Villanueva, A.; Buchheit, M.; Simpson, B.; Peltola, E.; Bourdon, P. Does on-field sprinting performance in young soccer players depend on how fast they can run or how fast they do run? J. Strength Cond. Res. 2011, 25, 2634–2638. [Google Scholar] [CrossRef]
- Malina, R.M.; Bouchard, C.; Bar-Or, O. Growth, Maturation, and Physical Activity, 2nd ed.; Human Kinetics: Champaign, IL, USA, 2004. [Google Scholar]
- Geithern, C.A.; Thomis, M.A.; Eynde, B.V.; Maes, H.H.; Loos, R.J.; Peeters, M.; Classens, A.L.M.; Vlietinck, R.; Malina, R.M.; Beunen, G.P. Growth in Peak Aerobic Power during Adolescence. Med. Sci. Sport Exerc. 2004, 36, 1616–1624. [Google Scholar]
- Rowland, T.W. The “Trigger Hypothesis” for Aerobic Trainability: A 14-Year Follow-Up. Rowland TW, editor. Pediatr. Exerc. Sci. 1997, 9, 1–9. [Google Scholar] [CrossRef]
- Harrison, C.B.; Gill, N.D.; Kinugasa, T.; Kilding, A.E. Development of Aerobic Fitness in Young Team Sport Athletes. Sport Med. 2015, 45, 969–983. [Google Scholar] [CrossRef]
- Eriksson, B.O.; Gollnick, P.D.; Saltin, B. Muscle Metabolism and Enzyme Activities after Training in Boys 11–13 Years Old. Acta Physiol. Scand. 1973, 87, 485–497. [Google Scholar] [CrossRef]
- Scott, B.R.; Hodson, J.A.; Govus, A.D.; Dascombe, B.J. The 30-15 Intermittent Fitness Test: Can It Predict Outcomes in Field Tests of Anaerobic Performance? J. Strength Cond. Res. 2017, 31, 2825–2831. [Google Scholar] [CrossRef]
- Armostrong, N.; Welsman, J. Sex-Specific Longitudinal Modeling of Short-Term Power in 11- to 18-Year-Olds. Med. Sci. Sport Exerc. 2019, 51, 1055–1063. [Google Scholar] [CrossRef] [PubMed]
- Armstrong, N.; Welsman, J. The Development of Aerobic and Anaerobic Fitness with Reference to Youth Athletes. J. Sci. Sport Exerc. 2020, 2, 275–286. [Google Scholar] [CrossRef]
- Selmi, M.A.; Al-Haddabi, B.; Yahmed, M.H.; Sassi, R.H. Does Maturity Status Affect the Relationship Between Anaerobic Speed Reserve and Multiple Sprint Sets Performance in Young Soccer Players? J. Strength Cond. Res. 2020, 34, 3600–3606. [Google Scholar] [CrossRef] [PubMed]





| Measure | 14 yo (N = 29) | 15 yo (N = 30) | 16 yo (N = 27) | 17 yo (N = 25) | 18 yo (N = 12) | p | ES |
|---|---|---|---|---|---|---|---|
| Height (cm) | 167.65 ± 7.02 b,c,d,e | 174.80 ± 4.70 a | 176.14 ± 6.63 a | 175.48 ± 7.04 a | 177.16 ± 4.89 a | 0.001 | 0.243 |
| BM (kg) | 57.43 ± 7.90 b,c,d,e | 64.54 ± 5.79 a | 65.82 ± 5.96 a | 67.78 ± 6.52 a | 69.32 ± 5.77 a | 0.001 | 0.288 |
| BF (kg) | 8.94 ± 2.82 | 7.82 ± 1.69 | 8.14 ± 1.81 | 9.06 ± 2.30 | 8.45 ± 1.93 | 0.173 | 0.052 |
| Measure | 14 yo (N = 29) | 15 yo (N = 30) | 16 yo (N = 27) | 17 yo (N = 25) | 18 yo (N = 12) | p | ES |
|---|---|---|---|---|---|---|---|
| CMJ (cm) | 36.95 ± 4.70 c,d | 37.96 ± 4.49 c | 42.08 ± 7.07 a,b | 42.02 ± 6.04 a | 41.04 ± 4.92 | 0.001 | 0.145 |
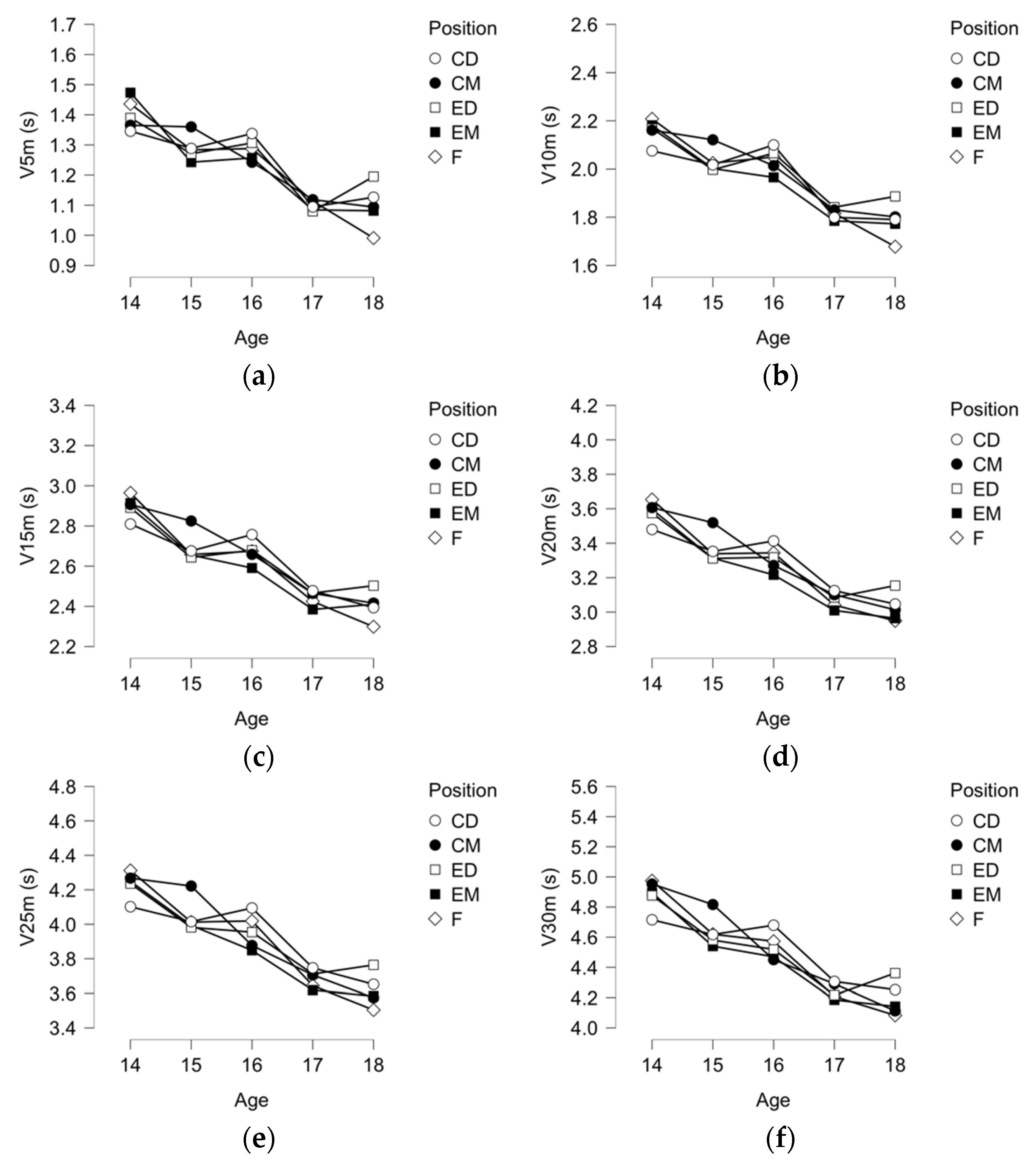
| 5-m (s) | 1.39 ± 0.10 b,c,d,e | 1.29 ± 0.1 a,d,e | 1.29 ± 0.09 a,d,e | 1.10 ± 0.11 a,b,d,e | 1.10 ± 0.08 a,b,c | 0.001 | 0.517 |
| 10-m (s) | 2.14 ± 0.11 b,c,d,e | 2.04 ± 0.11 a,d,e | 2.04 ± 0.09 a,d,e | 1.81 ± 0.14 a,b,c | 1.79 ± 0.10 a,b,c | 0.001 | 0.562 |
| 15-m (s) | 2.88 ± 0.14 b,c,d,e | 2.70 ± 0.15 a,d,e | 2.68 ± 0.11 a,d,e | 2.44 ± 0.19 a,b,c | 2.41 ± 0.12 a,b,c | 0.001 | 0.566 |
| 20-m (s) | 3.57 ± 0.16 b,c,d,e | 3.38 ± 0.16 a,d,e | 3.32 ± 0.14 a,d,e | 3.07 ± 0.20 a,b,c,e | 3.03 ± 0.12 a,b,c | 0.001 | 0.573 |
| 25-m (s) | 4.21 ± 0.19 b,c,d,e | 4.06 ± 0.17 a,d,e | 3.97 ± 0.16 a,d,e | 3.68 ± 0.22 a,b,c | 3.63 ± 0.14 a,b,c | 0.001 | 0.571 |
| 30-m (s) | 4.86 ± 0.22 b,c,d,e | 4.65 ± 0.20 a,d,e | 4.54 ± 0.18 | 4.24 ± 0.23 a,d,e | 4.21 ± 0.16 a,b,c | 0.001 | 0.570 |
| MSS (km/h) | 28.60 ± 1.69 b,c,d,e | 30.80 ± 2.72 a | 31.85 ± 2.75 a | 32.24 ± 2.21 a | 32.01 ± 1.88 a | 0.001 | 0.268 |
| VIFT (km/h) | 17.44 ± 1.49 c,d,e | 18.35 ± 1.19 | 18.44 ± 1.08 a | 18.80 ± 1.24 a | 19.54 ± 0.89 a | 0.001 | 0.203 |
| ASR (km/h) | 11.15 ± 2.05 c,d | 12.45 ± 3.04 | 13.41 ± 2.80 a | 13.44 ± 2.28 a | 12.47 ± 2.30 | 0.007 | 0.111 |
| COD right (s) | 9.27 ± 0.25 b,c,d,e | 9.0 ± 0.36 a,d,e | 8.90 ± 0.29 a | 8.71 ± 0.22 a,b | 8.70 ± 0.14 a,b | 0.001 | 0.338 |
| COD left (s) | 9.20 ± 0.29 | 8.97 ± 0.31 | 8.88 ± 0.29 | 8.76 ± 0.25 | 8.67 ± 0.18 | 0.001 | 0.228 |
| COD–AI% | −1.94 ± 1.19 | −2.64 ± 2.50c | −1.34 ± 0.76 b | −1.74 ± 0.89 | −1.64 ± 1.35 | 0.029 | 0.086 |
| Measure | CD (N = 26) | CM (N = 33) | ED (N = 26) | EM (N = 19) | F (N = 19) | p | ES |
|---|---|---|---|---|---|---|---|
| Height (cm) | 178.73 ± 5.04 b,c,d | 172.12 ± 7.76 a,e | 170.73 ± 5.42 a,e | 170.42 ± 3.97 a,e | 177.42 ± 7.55 b,c,d | 0.001 | 0.235 |
| BM (kg) | 68.61 ± 4.61 b,c,d | 62.73 ± 8.85 a | 62.19 ± 7.42 a | 61.46 ± 5.03 a | 66.64 ± 8.36 | 0.002 | 0.132 |
| BF (kg) | 8.34 ± 2.30 | 8.54 ± 2.16 | 8.80 ± 2.44 | 7.94 ± 1.75 | 8.59 ± 2.30 | 0.772 | 0.015 |
| Measure | CD (N = 26) | CM (N = 33) | ED (N = 26) | EM (N = 19) | F (N = 19) | p | ES |
|---|---|---|---|---|---|---|---|
| CMJ (cm) | 38.88 ± 5.76 | 38.68 ± 4.58 | 39.30 ± 5.81 | 42.31 ± 7.87 | 40.88 ± 5.72 | 0.195 | 0.050 |
| 5-m (s) | 1.27 ± 0.14 | 1.25 ± 0.14 | 1.27 ± 0.13 | 1.23 ± 0.18 | 1.25 ± 0.16 | 0.861 | 0.011 |
| 10-m (s) | 2 ± 0.15 | 2 ± 0.17 | 2.02 ± 0.14 | 1.95 ± 0.21 | 1.98 ± 0.21 | 0.714 | 0.018 |
| 15-m (s) | 2.68 ± 0.20 | 2.68 ± 0.22 | 2.67 ± 0.19 | 2.59 ± 0.26 | 2.63 ± 0.25 | 0.688 | 0.019 |
| 20-m (s) | 3.34 ± 0.21 | 3.34 ± 0.25 | 3.32 ± 0.21 | 3.23 ± 0.30 | 3.30 ± 0.27 | 0.594 | 0.023 |
| 25-m (s) | 3.99 ± 0.23 | 3.98 ± 0.29 | 3.97 ± 0.23 | 3.87 ± 0.33 | 3.94 ± 0.31 | 0.665 | 0.020 |
| 30-m (s) | 4.58 ± 0.25 | 4.58 ± 0.33 | 4.56 ± 0.28 | 4.46 ± 0.37 | 4.54 ± 0.35 | 0.699 | 0.018 |
| MSS (km/h) | 30.76 ± 2.50 | 30.52 ± 0.64 | 31.18 ± 2.98 | 31.34 ± 2.61 | 31.06 ± 2.87 | 0.820 | 0.013 |
| VIFT (km/h) | 18.09 ± 1.34 | 18.42 ± 1.50 | 18.55 ± 1.13 | 18.71 ± 1.05 | 18.02 ± 1.64 | 0.411 | 0.033 |
| ASR (km/h) | 12.67 ± 2.57 | 12.10 ± 2.60 | 12.63 ± 3.16 | 12.63 ± 2.34 | 13.03 ± 2.66 | 0.806 | 0.013 |
| COD right (s) | 8.91 ± 0.36 | 9 ± 0.32 | 8.93 ± 0.34 | 8.87 ± 0.30 | 9 ± 0.38 | 0.591 | 0.023 |
| COD left (s) | 8.91 ± 0.31 | 8.99 ± 0.34 | 8.94 ± 0.35 | 8.86 ± 0.33 | 8.93 ± 0.32 | 0.741 | 0.016 |
| COD–AI% | −1.90 ± 1.97 | −1.83 ± 1.35 | −2.19 ± 1.99 | −1.82 ± 1.05 | −1.76 ± 1.18 | 0.890 | 0.009 |
Publisher’s Note: MDPI stays neutral with regard to jurisdictional claims in published maps and institutional affiliations. |
© 2022 by the authors. Licensee MDPI, Basel, Switzerland. This article is an open access article distributed under the terms and conditions of the Creative Commons Attribution (CC BY) license (https://creativecommons.org/licenses/by/4.0/).
Share and Cite
Silva, A.F.; Alvurdu, S.; Akyildiz, Z.; Badicu, G.; Greco, G.; Clemente, F.M. Variations of the Locomotor Profile, Sprinting, Change-of-Direction, and Jumping Performances in Youth Soccer Players: Interactions between Playing Positions and Age-Groups. Int. J. Environ. Res. Public Health 2022, 19, 998. https://doi.org/10.3390/ijerph19020998
Silva AF, Alvurdu S, Akyildiz Z, Badicu G, Greco G, Clemente FM. Variations of the Locomotor Profile, Sprinting, Change-of-Direction, and Jumping Performances in Youth Soccer Players: Interactions between Playing Positions and Age-Groups. International Journal of Environmental Research and Public Health. 2022; 19(2):998. https://doi.org/10.3390/ijerph19020998
Chicago/Turabian StyleSilva, Ana Filipa, Sümer Alvurdu, Zeki Akyildiz, Georgian Badicu, Gianpiero Greco, and Filipe Manuel Clemente. 2022. "Variations of the Locomotor Profile, Sprinting, Change-of-Direction, and Jumping Performances in Youth Soccer Players: Interactions between Playing Positions and Age-Groups" International Journal of Environmental Research and Public Health 19, no. 2: 998. https://doi.org/10.3390/ijerph19020998
APA StyleSilva, A. F., Alvurdu, S., Akyildiz, Z., Badicu, G., Greco, G., & Clemente, F. M. (2022). Variations of the Locomotor Profile, Sprinting, Change-of-Direction, and Jumping Performances in Youth Soccer Players: Interactions between Playing Positions and Age-Groups. International Journal of Environmental Research and Public Health, 19(2), 998. https://doi.org/10.3390/ijerph19020998

