Rural–Urban differences in Use of Rhythm Control Therapies in Patients with Incident Atrial Fibrillation: A Finnish Nationwide Cohort Study
Abstract
:1. Introduction
2. Methods
2.1. Study Population
2.2. Rural–Urban Status
2.3. Use of AATs
2.4. Statistical Analysis
3. Results
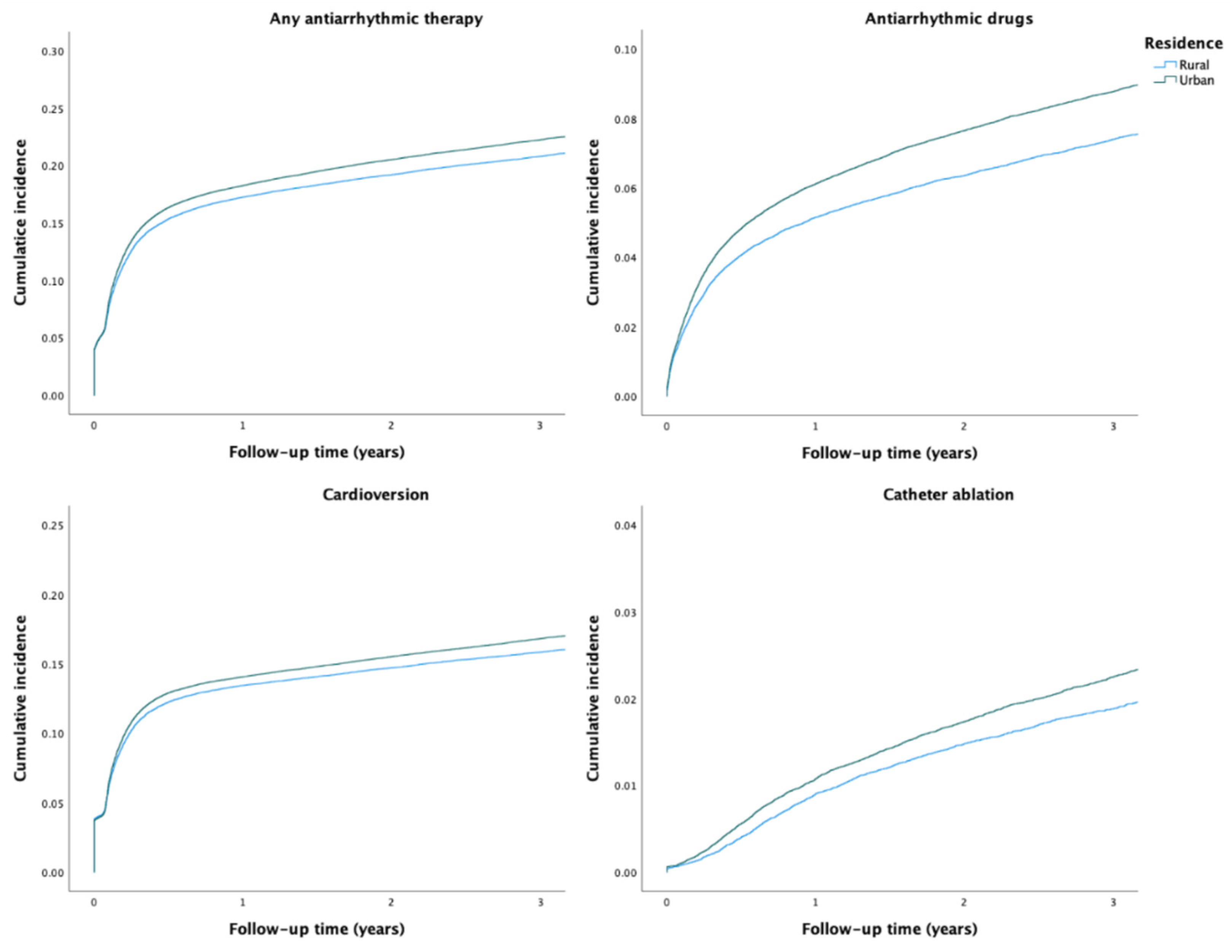
3.1. Use of Any Rhythm Control Therapy
3.2. Antiarrhythmic Drugs
3.3. Cardioversions
3.4. Catheter Ablations
4. Discussion
5. Conclusions
Supplementary Materials
Author Contributions
Funding
Institutional Review Board Statement
Informed Consent Statement
Data Availability Statement
Conflicts of Interest
References
- Björk, S.; Palaszewski, B.; Friberg, L.; Bergfeldt, L. Atrial fibrillation, stroke risk, and warfarin therapy revisited: A population-based study. Stroke 2013, 44, 3108. [Google Scholar] [CrossRef] [PubMed]
- Lehto, M.; Halminen, O.; Mustonen, P.; Putaala, J.; Linna, M.; Kinnunen, J.; Kouki, E.; Niiranen, J.; Hartikainen, J.; Haukka, J.; et al. The nationwide Finnish anticoagulation in atrial fibrillation (FinACAF): Study rationale, design, and patient characteristics. Eur. J. Epidemiol. 2022, 37, 95–102. [Google Scholar] [CrossRef] [PubMed]
- Potpara, T.; Dagres, N.; Arbelo, E.; Bax, J.J.; Blomstrom-Lundqvist, C. 2020 ESC Guidelines for the diagnosis and management of atrial fibrillation developed in collaboration with the European Association for Cardio-Thoracic Surgery (EACTS). Eur. Heart J. 2021, 42, 373–498. [Google Scholar] [CrossRef]
- Kirchhof, P.; Camm, A.J.; Goette, A.; Brandes, A.; Eckardt, L.; Elvan, A.; Fetsch, T.; van Gelder, I.C.; Haase, D.; Haegeli, L.M.; et al. Early Rhythm-Control Therapy in Patients with Atrial Fibrillation. N. Engl. J. Med. 2020, 383, 1305–1316. [Google Scholar] [CrossRef] [PubMed]
- Al Halabi, S.; Qintar, M.; Hussein, A.; Alraies, M.C.; Jones, D.G.; Wong, T.; MacDonald, M.R.; Petrie, M.C.; Cantillon, D.; Tarakji, K.G.; et al. Catheter ablation for atrial fibrillation in heart failure patients: A meta-analysis of randomized, controlled trials. JACC Clin. Electrophysiol. 2015, 1, 200–209. [Google Scholar] [CrossRef] [PubMed]
- Marrouche, N.F.; Brachmann, J.; Andresen, D.; Siebels, J.; Boersma, L.; Jordaens, L.; Merkely, B.; Pokushalov, E.; Sanders, P.; Proff, J.; et al. Catheter Ablation for Atrial Fibrillation with Heart Failure. N. Engl. J. Med. 2018, 378, 417–427. [Google Scholar] [CrossRef] [PubMed]
- Kapral, M.K.; Austin, P.C.; Jeyakumar, G.; Hall, R.; Chu, A.; Khan, A.M.; Jin, A.Y.; Martin, C.; Manuel, D.; Silver, F.L.; et al. Rural-urban differences in stroke risk factors, incidence, and mortality in people with and without prior stroke: The CANHEART stroke study. Circ. Cardiovasc. Qual. Outcomes 2019, 12, e004973. [Google Scholar] [CrossRef]
- Teng, T.H.K.; Katzenellenbogen, J.M.; Hung, J.; Knuiman, M.; Sanfilippo, F.M.; Geelhoed, E.; Hobbs, M.; Thompson, S.C. Rural-urban differentials in 30-day and 1-year mortality following first-ever heart failure hospitalisation in Western Australia: A population-based study using data linkage. BMJ Open 2014, 4, e004724. [Google Scholar] [CrossRef]
- Braveman, P.; Gottlieb, L. Urban-rural differences in coronary heart disease mortality in the United States: 1999–2009. Public Health Rep. 2014, 129, 19–31. [Google Scholar] [CrossRef]
- Supina, A.L.; Guirguis, L.M.; Majumdar, S.R.; Lewanczuk, R.Z.; Lee, T.K.; Toth, E.L.; Johnson, J.A. Treatment gaps for hypertension management in rural canadian patients with type 2 diabetes mellitus. Clin. Ther. 2004, 26, 598–606. [Google Scholar] [CrossRef]
- Tran, C.; Wijeysundera, H.C.; Qui, F.; Tu, J.V.; Bhatia, R.S. Comparing the ambulatory care and outcomes for rural and urban patients with chronic ischemic heart disease: A population-based cohort study. Circ. Cardiovasc. Qual. Outcomes 2014, 7, 835–843. [Google Scholar] [CrossRef] [PubMed]
- Bray, B.D.; Paley, L.; Hoffman, A.; James, M.; Gompertz, P.; Wolfe, C.D.; Hemingway, H.; Rudd, A.G.; SSNAP Collaboration. Socioeconomic disparities in first stroke incidence, quality of care, and survival: A nationwide registry-based cohort study of 44 million adults in England. Lancet Public Health 2018, 3, e185–e193. [Google Scholar] [CrossRef]
- Gamble, J.M.; Eurich, D.T.; Ezekowitz, J.A.; Kaul, P.; Quan, H.; McAlister, F.A. Patterns of care and outcomes differ for urban versus rural patients with newly diagnosed heart failure, even in a universal healthcare system. Circ.: Heart Fail. 2011, 4, 317–323. [Google Scholar] [CrossRef]
- Flaker, G.C.; McGowan, D.J.; Boechler, M.; Fortune, G.; Gage, B. Underutilization of antithrombotic therapy in elderly rural patients with atrial fibrillation. Am. Heart J. 1999, 137, 307–312. [Google Scholar] [CrossRef] [PubMed]
- Dalmau Llorca, M.R.; Aguilar Martín, C.; Carrasco-Querol, N.; Hernández Rojas, Z.; Forcadell Drago, E.; Rodríguez Cumplido, D.; Castro Blanco, E.; Pepió Vilaubí, J.M.; Gonçalves, A.Q.; Fernández-Sáez, J. Gender and socioeconomic inequality in the prescription of direct oral anticoagulants in patients with non-valvular atrial fibrillation in primary care in catalonia (Fantas-TIC study). Int. J. Environ. Res. Public Health 2021, 18, 10993. [Google Scholar] [CrossRef]
- Wu, C.; McMurtry, M.S.; Sandhu, R.K.; Youngson, E.; Ezekowitz, J.A.; Kaul, P.; McAlister, F.A. Impact of rural residence on warfarin use and clinical events in patients with non-valvular atrial fibrillation: A Canadian population based study. PLoS ONE 2015, 10, e0140607. [Google Scholar] [CrossRef]
- Avgil Tsadok, M.; Jackevicius, C.A.; Essebag, V.; Eisenberg, M.J.; Rahme, E.; Pilote, L. Warfarin Treatment and Outcomes of Patients With Atrial Fibrillation in Rural and Urban Settings. J. Rural Health 2015, 31, 310–315. [Google Scholar] [CrossRef]
- O’Neal, W.T.; Sandesara, P.B.; Kelli, H.M.; Venkatesh, S.; Soliman, E.Z. Urban-rural differences in mortality for atrial fibrillation hospitalizations in the United States. Heart Rhythm 2018, 15, 175–179. [Google Scholar] [CrossRef]
- Jaakkola, J.; Teppo, K.; Biancari, F.; Halminen, O.; Putaala, J.; Mustonen, P.; Haukka, J.; Linna, M.; Kinnunen, J.; Tiili, P.; et al. The effect of mental health conditions on the use of oral anticoagulation therapy in patients with atrial fibrillation: The FinACAF Study. Eur. Heart J. Qual. Care Clin. Outcomes 2021, 8, 269–276. [Google Scholar] [CrossRef]
- Teppo, K.; Jaakkola, J.; Airaksinen, K.J.; Biancari, F.; Halminen, O.; Putaala, J.; Mustonen, P.; Haukka, J.; Hartikainen, J.; Luojus, A.; et al. Mental health conditions and adherence to direct oral anticoagulants in patients with incident atrial fibrillation: A nationwide cohort study. Gen. Hosp. Psychiatry 2022, 74, 88–93. [Google Scholar]
- Teppo, K.; Jaakkola, J.; Biancari, F.; Halminen, O.; Putaala, J.; Mustonen, P.; Haukka, J.; Linna, M.; Kinnunen, J.; Tiili, P.; et al. Mental health conditions and risk of first-ever ischaemic stroke and death in patients with incident atrial fibrillation: A nationwide cohort study. Eur. J. Clin. Investig. 2022, 52, e13801. [Google Scholar] [CrossRef]
- Finland’s Environmental Administration. Urban-Rural Classification. Available online: https://www.ymparisto.fi/fi-FI/Elinymparisto_ja_kaavoitus/Yhdyskuntarakenne/Tietoa_yhdyskuntarakenteesta/Kaupunkimaaseutu_luokitus (accessed on 17 July 2022).
- Statistics Finland. Degree of Urbanization. Available online: https://pxnet2.stat.fi/PXWeb/pxweb/en/StatFin/StatFin__vrm/ (accessed on 17 July 2022).
- Olsen, F.; Uleberg, B.; Jacobsen, B.K.; Heuch, I.; Tande, P.M.; Bugge, E.; Balteskard, L. Socioeconomic and geographic differences in ablation of atrial fibrillation in Norway—A national cohort study. BMC Public Health 2022, 22, 303. [Google Scholar] [CrossRef]
- Singh, S.M.; Webster, L.; Ko, D.T.; Tu, J.V.; Wijeysundera, H.C. Factors Associated With Cardiac Electrophysiologist Assessment and Catheter Ablation Procedures in Patients with Atrial Fibrillation. JACC Clin. Electrophysiol. 2017, 3, 302–309. [Google Scholar] [CrossRef]
- Loccoh, E.C.; Joynt Maddox, K.E.; Wang, Y.; Kazi, D.S.; Yeh, R.W.; Wadhera, R.K. Rural-Urban Disparities in Outcomes of Myocardial Infarction, Heart Failure, and Stroke in the United States. J. Am. Coll. Cardiol. 2022, 79, 267–279. [Google Scholar] [CrossRef]
- Hammond, G.; Luke, A.A.; Elson, L.; Towfighi, A.; Joynt Maddox, K.E. Urban-Rural Inequities in Acute Stroke Care and In-Hospital Mortality. Stroke 2020, 51, 2131–2138. [Google Scholar] [CrossRef]
- Teppo, K.; Jaakkola, J.; Biancari, F.; Halminen, O.; Linna, M.; Haukka, J.; Putaala, J.; Mustonen, P.; Kinnunen, J.; Luojus, A.; et al. Socioeconomic disparities in use of rhythm control therapies in patients with incident atrial fibrillation: A Finnish nationwide cohort study. IJC Heart Vasc. 2022, 41, 101070. [Google Scholar] [CrossRef]


| Rural–Urban Status | Urbanization Degree Tertiles | ||||||
|---|---|---|---|---|---|---|---|
| Rural | Urban | p-Value | 1st (lowest) | 2nd | 3rd (highest) | p-Value | |
| n = 62,836 | n = 114,693 | n = 59,069 | n = 59,531 | n = 58,929 | |||
| Demographics | |||||||
| Mean age, years | 73.7 (12.5) | 72.7 (13.2) | <0.001 | 73.9 (12.4) | 72.7 (13.1) | 72.6 (13.4) | <0.001 |
| Female sex | 30,715 (48.9) | 57,880 (50.5) | <0.001 | 29,045 (49.2) | 29,731 (49.9) | 29,819 (50.6) | <0.001 |
| Highest educational level | <0.001 | <0.001 | |||||
| Primary school | 35,869 (57.1) | 53,964 (47.1) | 34,205 (57.9) | 29,612 (49.7) | 26,016 (44.1) | ||
| Upper secondary school | 18,076 (28.8) | 31,678 (27.6) | 16,883 (28.6) | 17,288 (29.0) | 15,583 (26.4) | ||
| Higher education | 8891 (14.1) | 29,051 (25.3) | 7981 (13.5) | 12,631 (21.2) | 17,330 (29.4) | ||
| Income quartiles | <0.001 | <0.001 | |||||
| 1st (lowest) | 19,905 (31.7) | 24,250 (21.1) | 19,234 (32.6) | 14,027 (23.6) | 10,894 (18.5) | ||
| 2nd | 16,698 (26.6) | 28,166 (24.6) | 15,815 (26.8) | 15,618 (26.2) | 13,431 (22.8) | ||
| 3rd | 14,316 (22.8) | 29,838 (26.0) | 13,207 (22.4) | 15,542 (26.1) | 15,405 (26.1) | ||
| 4th (highest) | 11,917 (19.0) | 32,439 (28.3) | 10,813 (18.3) | 14,344 (24.1) | 19,199 (32.6) | ||
| Comorbidities | |||||||
| Abnormal liver function | 299 (0.5) | 656 (0.6) | 0.008 | 267 (0.5) | 312 (0.5) | 376 (0.6) | <0.001 |
| Abnormal renal function | 2650 (4.2) | 5221 (4.6) | <0.001 | 2500 (4.2) | 2556 (4.3) | 2815 (4.8) | <0.001 |
| Alcohol use disorder | 2610 (4.2) | 5263 (4.6) | <0.001 | 2497 (4.2) | 2561 (4.3) | 2815 (4.8) | <0.001 |
| Cancer | 12,731 (20.3) | 24,966 (21.8) | <0.001 | 11,929 (20.2) | 12,295 (20.7) | 13,473 (22.9) | <0.001 |
| Coronary artery disease | 15,256 (24.3) | 25,542 (22.3) | <0.001 | 14,421 (24.4) | 14,006 (23.5) | 12,371 (21.9) | <0.001 |
| Dementia | 3383 (5.4) | 6258 (5.5) | 0.519 | 3247 (5.5) | 3126 (5.3) | 3268 (5.5) | 0.056 |
| Diabetes | 14,926 (23.8) | 25,853 (22.5) | <0.001 | 14,113 (23.9) | 13,675 (23.0) | 12,991 (22.0) | <0.001 |
| Dyslipidemia | 32,120 (51.1) | 58,131 (50.7) | 0.081 | 30,322 (51.3) | 30,690 (51.6) | 29,239 (49.6) | <0.001 |
| Heart failure | 11,365 (18.1) | 19,350 (16.9) | <0.001 | 10,914 (18.5) | 10,209 (17.1) | 9592 (16.3) | <0.001 |
| Hypertension | 48,263 (76.8) | 86,780 (75.7) | <0.001 | 45,423 (76.9) | 45,197 (75.9) | 44,423 (75.4) | <0.001 |
| Prior bleeding | 7166 (11.4) | 13,339 (11.6) | 0.154 | 6775 (11.5) | 6898 (11.6) | 6832 (11.6) | 0.754 |
| Prior ischemic stroke | 7403 (11.8) | 13,052 (11.4) | 0.011 | 7063 (12.0) | 6789 (11.4) | 6603 (11.2) | <0.001 |
| Prior myocardial infarction | 6096 (9.7) | 9893 (8.6) | <0.001 | 5796 (9.8) | 5398 (9.1) | 4795 (8.1) | <0.001 |
| Psychiatric disorder | 8891 (14.1) | 17,977 (15.7) | <0.001 | 8462 (14.3) | 9060 (15.2) | 9346 (15.9) | <0.001 |
| Risk scores | |||||||
| Modified HAS-BLED score | 2.6 (1.0) | 2.6 (1.0) | 0.007 | 2.6 (1.0) | 2.6 (1.0) | 2.6 (1.1) | <0.001 |
| CHA2DS2-VASc score | 3.6 (1.9) | 3.5 (1.9) | <0.001 | 3.6 (1.9) | 3.5 (1.9) | 3.4 (1.9) | <0.001 |
| Outcome | Residence | Interventions n (%) | Patient Years (in 1000 years) | Incidence Rate (per 1000 patient years | Unadjusted IRR | Adjusted IRR |
| Any AAT | Rural | 12,361 (19.7) | 163 | 75.8 (74.4–77.1) | (Reference) | (Reference) |
| Urban | 24,307 (21.2) | 299 | 81.3 (80.3–82.4) | 1.07 (1.05–1.10) | 1.01 (0.99–1.03) | |
| AADs | Rural | 4407 (7.0) | 192 | 22.9 (22.2–23.6) | (Reference) | (Reference) |
| Urban | 9636 (8.4) | 352 | 27.4 (26.8–27.9) | 1.20 (1.16–1.24) | 1.11 (1.07–1.15) | |
| Cardioversion | Rural | 9543 (15.2) | 174 | 54.9 (53.8–56.0) | (Reference) | (Reference) |
| Urban | 18,589 (16.2) | 321 | 58.0 (57.2–58.8) | 1.06 (1.03–1.08) | 1.01 (0.98–1.03) | |
| Catheter ablation | Rural | 1195 (1.9) | 206 | 5.8 (5.5–6.1) | (Reference) | (Reference) |
| Urban | 2677 (2.3) | 381 | 7.0 (6.8–7.3) | 1.21 (1.13–1.30) | 1.05 (0.98–1.12) | |
| Outcome | Urbanization Degree Tertiles | Interventions n (%) | Patient Years (in 1000 years) | Incidence Rate (per 1000 patient years | Unadjusted IRR | Adjusted IRR |
| Any AAT | 1st | 11,308 (19.1) | 154 | 73.7 (72.3–75.0) | (Reference) | (Reference) |
| 2nd | 12,506 (21.0) | 156 | 79.9 (78.5–81.3) | 1.09 (1.06–1.11) | 1.01 (0.99–1.04) | |
| 3rd | 12,854 (21.8) | 152 | 84.6 (83.2–86.1) | 1.15 (1.12–1.18) | 1.06 (1.03–1.08) | |
| AADs | 1st | 4002 (6.8) | 180 | 22.2 (21.5–22.9) | (Reference) | (Reference) |
| 2nd | 4795 (8.1) | 185 | 25.9 (25.2–26.7) | 1.17 (1.12–1.22) | 1.07 (1.03–1.12) | |
| 3rd | 5246 (8.9) | 179 | 29.3 (28.5–30.1) | 1.32 (1.27–1.37) | 1.18 (1.14–1.23) | |
| Cardioversion | 1st | 8748 (14.8) | 163 | 53.6 (52.5–54.7) | (Reference) | (Reference) |
| 2nd | 9567 (16.1) | 168 | 57.1 (55.9–58.2) | 1.07 (1.03–1.10) | 1.01 (0.98–1.04) | |
| 3rd | 9817 (16.7) | 164 | 60.0 (58.8–61.2) | 1.12 (1.09–1.15) | 1.05 (1.02–1.08) | |
| Catheter ablation | 1st | 1052 (1.8) | 192 | 5.5 (5.2–5.8) | (Reference) | (Reference) |
| 2nd | 1378 (2.3) | 199 | 6.9 (6.6–7.3) | 1.27 (1.17–1.37) | 1.09 (1.00–1.18) | |
| 3rd | 1442 (2.4) | 196 | 7.4 (7.0–7.8) | 1.35 (1.24–1.46) | 1.10 (1.02–1.19) |
Publisher’s Note: MDPI stays neutral with regard to jurisdictional claims in published maps and institutional affiliations. |
© 2022 by the authors. Licensee MDPI, Basel, Switzerland. This article is an open access article distributed under the terms and conditions of the Creative Commons Attribution (CC BY) license (https://creativecommons.org/licenses/by/4.0/).
Share and Cite
Teppo, K.; Jaakkola, J.; Biancari, F.; Halminen, O.; Linna, M.; Haukka, J.; Putaala, J.; Mustonen, P.; Kinnunen, J.; Luojus, A.; et al. Rural–Urban differences in Use of Rhythm Control Therapies in Patients with Incident Atrial Fibrillation: A Finnish Nationwide Cohort Study. Int. J. Environ. Res. Public Health 2022, 19, 11191. https://doi.org/10.3390/ijerph191811191
Teppo K, Jaakkola J, Biancari F, Halminen O, Linna M, Haukka J, Putaala J, Mustonen P, Kinnunen J, Luojus A, et al. Rural–Urban differences in Use of Rhythm Control Therapies in Patients with Incident Atrial Fibrillation: A Finnish Nationwide Cohort Study. International Journal of Environmental Research and Public Health. 2022; 19(18):11191. https://doi.org/10.3390/ijerph191811191
Chicago/Turabian StyleTeppo, Konsta, Jussi Jaakkola, Fausto Biancari, Olli Halminen, Miika Linna, Jari Haukka, Jukka Putaala, Pirjo Mustonen, Janne Kinnunen, Alex Luojus, and et al. 2022. "Rural–Urban differences in Use of Rhythm Control Therapies in Patients with Incident Atrial Fibrillation: A Finnish Nationwide Cohort Study" International Journal of Environmental Research and Public Health 19, no. 18: 11191. https://doi.org/10.3390/ijerph191811191
APA StyleTeppo, K., Jaakkola, J., Biancari, F., Halminen, O., Linna, M., Haukka, J., Putaala, J., Mustonen, P., Kinnunen, J., Luojus, A., Itäinen-Strömberg, S., Hartikainen, J., Aro, A. L., Airaksinen, K. E. J., & Lehto, M. (2022). Rural–Urban differences in Use of Rhythm Control Therapies in Patients with Incident Atrial Fibrillation: A Finnish Nationwide Cohort Study. International Journal of Environmental Research and Public Health, 19(18), 11191. https://doi.org/10.3390/ijerph191811191

