Abstract
Upward social comparison and aspects of self-presentation on social media such as feedback-seeking and strategic self-presentation may represent risk factors for experiencing negative mental health effects of social media use. The aim of this exploratory study was to assess how adolescents differ in upward social comparison and aspects of self-presentation on social media and whether these differences are linked to sociodemographic variables, lifestyle, or personality. The study was based on cross-sectional data from the “LifeOnSoMe” study performed in Bergen, Norway, including 2023 senior high school pupils (response rate 54%, mean age 17.4, 44% boys). Nine potentially relevant items were assessed using factor analysis, and latent class analysis was used to identify latent classes with distinct patterns of responses across seven retained items. The retained items converged into one factor, called “focus on self-presentation”. We identified three groups of adolescents with a low, intermediate, and high focus on self-presentation. Associations between identified latent classes and covariates were assessed using regression analyses. Being a girl, higher extraversion, lower emotional stability, more frequent alcohol consumption, and having tried tobacco were associated with membership in the high-focus group. These results suggest some characteristics that are associated with a higher focus on self-presentation and that could inform targeted interventions.
1. Introduction
Social media are widely used, and the most popular social media platforms have up to 2.9 billion active users [1]. Social media “employ mobile and web-based technologies to create highly interactive platforms via which individuals and communities share, co-create, discuss, and modify user-generated content” ([2], p. 1). Adolescents are particularly active users, with nearly half saying that they use social media “almost constantly” [3]. Among Norwegian 16–18-year-olds, nearly 100% are on social media [4], and 63% of boys and 84% of girls in senior high school spend a minimum of one hour on social media every day [5].
There is growing literature on the potential consequences of adolescents’ social media use [6]. Overall, meta-analyses point to a small negative effect of social media use on adolescents’ mental health and well-being [7,8,9]. However, most of these studies have focused primarily on the duration and frequency of social media use [6,7,10] and provide little insight into how specific types of social media use may be differentially related to mental health and well-being [7]. Some studies have, however, demonstrated that the associations between social media use and mental health depend on the type of use [11,12,13,14,15], the motivations for use [16], and the emotional investment in social media [17,18,19,20]. For example, some studies have indicated that passive use (e.g., scrolling through others’ content) leads to a decline in well-being, while active use (e.g., interacting with people on social media) improves or has no effect on well-being [21,22]. A recent study, however, showed that only 10% of their adolescent participants felt worse after passively using social media, while 46% felt better and 44% experienced no change in well-being, demonstrating the importance of person-specific effects of social media use [23]. Exploring differences in adolescents’ social media use may bring us closer to determining whether specific types of social media use are harmful and who might be at risk of experiencing negative effects of their social media use.
Self-presentation and social comparison on social media have gained research attention for their potential effects on mental health [7,13,16,24,25,26,27,28,29]. The influential dual-factor model proposed by Nadkarni & Hofman [30] posits that, alongside the need for belonging, the need for self-presentation is a fundamental motivation for using social media. Self-presentation is the innate tendency of attempting to manage how other people perceive us [31] and entails putting up a desired image of oneself with the hope of gaining positive feedback and social approval from others [32,33]. As described in the hyperpersonal model [34,35], social media and other computer-mediated communication allow people to conceal undesirable characteristics and highlight desirable characteristics to a larger degree than in face-to-face communication—for example, by optimizing messages before sending or posting them or by carefully selecting and editing photos of oneself. In addition to providing more opportunities for self-presentation, social media also offer a range of opportunities for feedback on one’s self-presentation. On social media, feedback often comes in the form of likes, comments, and other indicators of approval or disapproval, such as having your content shared by others (e.g., “retweets”) or losing followers on your social media account. While face-to-face feedback is often ambiguous and open to interpretation, feedback on social media often represents quantifiable indicators of one’s social success [36], which can be directly compared to others’ success. In order to elicit a more favorable response, people may engage in strategic self-presentation, such as editing photos or deleting content that does not receive the desired number of likes [37]. Self-presentation on social media, which is motivated by getting positive feedback, referred to as feedback-seeking or status-seeking, has been associated with negative outcomes such as depressive symptoms [25], lower body satisfaction, and lower well-being [16]. Feedback-seeking may also influence some people to present themselves on social media in a way that does not correspond with their personality or physical appearance offline. Inauthentic self-presentation on social media has been associated with elevated levels of social anxiety and lower self-esteem [27].
Although not necessarily resorting to inauthentic self-presentation, people tend to emphasize desirable characteristics on social media [38], resulting in social media being dominated by idealized and unrealistic presentations of peoples’ lives (and looks). Consequently, social media are fertile grounds for upward social comparison. Social comparison is the tendency to compare one’s abilities and opinions to other people to gain information about how we are doing relative to others [39]. Upward social comparison happens when one compares oneself to someone who is viewed as better in some respect, which may be particularly prevalent on social media. One study found that social media users generally assumed that other users have more friends, are happier, and have better lives than themselves [40]. Furthermore, by following a large number of people on social media, the reference group to which adolescents compare themselves may include a very large number of people and even high-status celebrities and “influencers” [41]. Upward social comparison has been associated with more depressive symptoms [25,42] and body dissatisfaction among adolescents [28] and with suicidal ideation among young adults [13,29]. One recent study found that increased levels of feedback-seeking and social comparison were associated with more depressive symptoms, anxiety, and reduced well-being among adolescents [43].
In summary, aspects of self-presentation on social media such as feedback-seeking, strategic self-presentation, and social comparison may represent risk factors for experiencing negative effects of social media use. Importantly, self-presentation on social media is not inherently negative; it has been shown to have positive effects under certain conditions. Experimental studies have shown that viewing one’s own social media profile, which often portrays oneself in a positive way, leads to increased self-esteem [44,45] and an improved ability to cope with negative feedback [46]. This may be seen in connection with self-affirmation theory, which posits that a threat to people’s image of themselves as a “good or lovable person” results in them trying to restore their self-integrity [47,48]. As such, posting positive content about oneself on social media may be a way to try to restore a sense of worth. In order to result in self-affirmation, however, the content needs to be accurate [46]. Another potential benefit of social media is when they enable the expression of aspects of the self that are perceived as unwanted in offline social settings, thus allowing people to engage in a more authentic self-presentation online than offline [49].
Given the associations of feedback-seeking, strategic self-presentation, and upward social comparison with mental health and well-being, individual differences in upwards social comparison and aspects of self-presentation may underlie some of the heterogeneity in the effects of social media use on well-being. Previous studies have pointed to some characteristics that are related to self-presentation and social comparison on social media. Firstly, adolescent girls have been found to report higher levels of feedback-seeking and social comparison than boys [25,43]. They have also been shown to post more self-focused images (“selfies”) than adolescent boys, to be more focused on their physical appearance, and to be more concerned about peer-feedback [50]. Additionally, some studies suggest that personality is associated with aspects of self-presentation on social media. According to the Five Factor Model of personality, personality characteristics cluster into five traits that predict people’s behavior in a wide range of contexts [51,52]: agreeableness, conscientiousness, extraversion, neuroticism, and openness to experience. Agreeableness is associated with greater concern regarding getting along with other people, and conscientiousness is associated with striving for achievement and self-discipline [53]. Both imply that they would be cautious in how they present themselves online [54], as the opposite could result in hurting their likeability and their status. Conscientiousness and agreeableness have been negatively associated with attention-seeking [54]. Extraversion is associated with seeking social attention [55], and it has been shown that extroverts place importance on looking popular on social media [56]. Neuroticism is associated with low emotional stability, and being high on this trait means you are more susceptible to negative emotions [53]. People with high neuroticism are more sensitive to rejection, which may lead them to seek acceptance through social media [54]. Neuroticism is also associated with the tendency to present an idealized or inauthentic version of oneself [27]. Finally, openness to experience is associated with open-mindedness, novelty-seeking, and curiosity [52]. Openness has been associated with overall social media use [57], but it is unclear whether it is associated with self-presentation.
Aspects of self-presentation on social media have also been related to lifestyle variables. Nesi & Prinstein [37] found that feedback-seeking on social media was associated with substance abuse and risky sexual behavior, and they hypothesized that those high in feedback-seeking engage in risky offline behaviors that are considered popular among peers in an attempt to increase their social status [37]. Other lifestyle factors such as physical exercise have not been investigated specifically in relation to aspects of self-presentation, but higher social media use in general is associated with higher sedentary time among adolescents [58,59]. Problematic social media use, measured using addiction criteria, has been associated with lower levels of physical activity among girls and with higher levels of physical activity among boys [60,61].
Increased knowledge about individual differences in self-presentation on social media and how these differences relate to other aspects of adolescents’ lives may help identify those at risk of negative effects of their social media use. The aim of the present study was to explore how adolescents differ in upward social comparison and aspects of self-presentation and to assess whether such differences were associated with sociodemographic variables, lifestyle, and personality.
2. Materials and Methods
2.1. Study Design and Setting
The present study (OSF preregistration doi: 10.17605/OSF.IO/BVPS8) was based on cross-sectional data from the “LifeOnSoMe” study, an online survey conducted in Bergen, Norway in 2020. Bergen is the second-largest city and a municipality in Vestland county in Western Norway, with a population of around 300,000. All senior high school pupils in the municipality of Bergen aged 16 years or older were invited to complete the survey. The survey was completed during school hours in collaboration with school personnel. Pupils from 12 schools participated, while 2 schools did not have the capacity to prioritize the survey and declined participation. Thus, a total of 3959 pupils were invited to participate in the survey, of which 2116 agreed to participate (54%). Those with missing data on gender and/or age were excluded from the analyses (n = 71), and those reporting non-binary gender were excluded due to privacy concerns (n = 13). Upon analysis, nine responses were excluded, as they were duplicates (i.e., they completed the survey twice), leaving a total number of respondents of 2023.
2.2. Variables
2.2.1. Social Media Use: Background Information
To assess the participants’ frequency of social media use, we asked them the following question: “How often do you use social media?” The response alternatives were “almost never”, “several times a month, but rarer than once a week”, “1–2 times per week”, “3–4 times per week”, “5–6 times per week”, “every day”, “several times each day”, and “almost constantly”. For the purpose of the present study, we differentiated between “daily or less” (21%), “many times a day” (51%), and “almost constantly” (28%). To assess participants’ duration of social media use, we asked the following question: “On the days that you use social media, approximately how much time do you spend on social media?” There were seven response alternatives ranging from “less than 30 min” to “more than 5 h”. For the purpose of this study, we differentiated between “<2 h” (28%), “2–4 h” (36%), “4–5 h” (21%), and “>5 h” (14%).
2.2.2. Self-Presentation and Upward Social Comparison Inclination Scale (SPAUSCIS)
The items used to assess upward social comparison and aspects of self-presentation were developed based on focus group interviews with senior high school pupils [62]. The topic of the focus group interviews was the role of social media in relation to adolescents’ mental health and well-being. Based on the focus group interviews, a new battery of questions related to different aspects of social media use covering 13 topics was developed [62]. To assess the relevance, wording, and content validity of the included items, a resource group consisting of adolescents (n = 7, age range 16–19) tested the questionnaire, and questions were revised based on their feedback. The final questionnaire was piloted in a senior high school outside of Bergen in 2020 (n = 513) [43]. In the present study, the items potentially most relevant to upward social comparison and self-presentation were used and collectively called the “Self-presentation and Upward Social Comparison Inclination Scale” (SPAUSCIS). The development of the items is also described elsewhere [43]. The items included in the SPAUSCIS were:
- I use a lot of time and energy on the content I post on social media
- It is important to me that my posts receive many likes and/or comments
- It is important to me to have many followers on social media
- I delete posts on social media that do not receive enough likes and/or comments
- I retouch images of myself to look better before I post them on social media
- It’s easier to be myself on social media
- What others post on social media (images/status updates/stories) makes me feel less content with myself and my life
- The response I get for what I post (images/status updates/stories) impacts how I feel
- I don’t care about how many likes or comments I receive on social media
The response categories were “not at all”, “very little”, “sometimes/partly true”, “a lot”, and “very much”, coded 1–5.
2.2.3. Sociodemographic and Background Variables
The participants reported their age and gender, which education program they attended, and their country of birth. In Norway, pupils can choose a study preparation program to achieve a general university admissions certification or a vocational education program leading to vocational competence in skilled trades. Subjective socioeconomic status (SES) was assessed using the following question: “How well off do you consider your own family to be compared to others?” The response categories ranged from 0 (“Very poor”) to 10 (“Very well off”). For this study, age was recoded so that all participants of 18 years of age or more (max 21) were combined into one group (18+). SES was recoded to a tripartite variable of low SES (scores 0–4; 6.2%), medium SES (5–7, 51.3%), and high SES (8–10, 42.4%).
2.2.4. Lifestyle Factors
The participants indicated how often they exercised each week, following this description of exercise: “By exercise we mean that you go for a walk, go skiing, swimming, or other exercise activities/sports”. The response alternatives were: “Never”, “less than once a week”, “once a week”, “2–3 times a week”, “4–6 times a week”, and “about every day”. The variable was dichotomized to “low/moderate exercise” (2–3 times a week or less; 57%) and “high exercise” (4–6 times a week or more; 43%).
The participants were asked how often they drank alcohol, smoked cigarettes, and used snus (under-lip smoke-less tobacco). The participants indicated how often they normally drink over a two-week period, and a variable with four levels was created: never tried alcohol (“Never”; 24%), less often than once in two weeks (“Rarely”; 28%), one to two times in two weeks (“Regularly”; 41%), and more often than two times in two weeks (“Often”; 7%). For cigarettes and snus, the response alternatives were combined, and the variables dichotomized in order to compare those who had tried cigarettes (39%) or snus (36%) with those who had not (61% for cigarettes and 64% for snus).
2.2.5. Personality
Personality was assessed using the Ten-Item Personality Inventory (TIPI) [63]. The TIPI measures the Big Five personality dimensions of extraversion, agreeableness, conscientiousness, emotional stability, and openness to new experiences using ten items measuring two opposing traits for each dimension. The ten items are preceded by the heading “I see myself as”, followed by trait descriptive adjectives. The response categories range from 1 (strongly disagree) to 7 (strongly agree). Each participant received a total score for each personality trait by recoding the reverse-scored items and taking the average of the two items. The Spearman Brown coefficient, which is a measure of reliability recommended for scales with two items [64], was 0.71 for extraversion, 0.30 for agreeableness, 0.55 for conscientiousness, 0.63 for emotional stability, and 0.34 for openness to experience. For the purpose of this study, we created tripartite variables for each personality trait denoting a low (1st–33rd percentile), moderate (34th–66th percentile), and high (67th–100th percentile) score on each trait. In our sample, the proportion scoring low, moderate, and high was 32%, 35%, and 33% for extraversion, 25%, 33%, and 41% for agreeableness, 29%, 38%, and 33% for conscientiousness, 28%, 34%, and 37% for emotional stability, and 28%, 44%, and 28% for openness.
2.3. Analysis
2.3.1. Structural Validity of the SPAUSCIS
Exploratory factor analysis was used to examine the number of underlying factors in the SPAUSCIS, and internal validity was assessed by Cronbach’s alpha, using the “jmv” package in R [65]. A confirmatory analysis (CFA) was performed using the “lavaan” package in R [66].
2.3.2. Identifying the Number of Classes and the Description of Retained Classes
Latent class analysis (LCA) was used to identify classes of participants sharing similar response patterns on the items of the SPAUSCIS [67]. LCA is person-centered and model-based, assumes a parametric statistical model, and uses the observed data to estimate parameter values for the selected model [68]. Several statistical criteria were used to establish the most appropriate number of latent classes. For the Akaike information criterion (AIC) and Bayesian information criterion (BIC), lower values indicate a better model fit [69]. Relative entropy (range 0–1) assesses the quality of classification, where a higher value indicates better discrimination between the classes, and the Lo–Mendell–Rubin ad hoc adjusted likelihood ratio test (LMR-LR) indicates whether a given model performs better than a model with k-1 classes. The LCA was performed using the “poLCA” package in R [70], while relative entropy and LMR-LR were calculated using Mplus [71].
2.3.3. Class Belongingness and Covariates
Multinominal logistic regression was used to assess the relationship between class membership and sociodemographic variables, lifestyle, and personality, and it is expressed in relative risk ratios with corresponding 95% confidence intervals. The multinominal logistic regression was performed using the “nnet” package in R [72]. The associations were estimated separately for each covariate. Gender is likely to be an important confounding variable, as it has been shown to be related to both upward social comparison and self-presentation [73,74,75] and to several of the covariates [76,77,78]. Therefore, the multinominal logistic regressions were run with and without controlling for gender.
2.3.4. Missing Data
There were some missing data for the self-presentation data (from 2.8% on “followers important” to 4.9% on “I don’t care”). For the CFA, listwise deletion is the default [66]. In the LCA, cases with missing values are retained, and class membership is estimated based on the available information [70]. In all analyses of associations, pairwise deletion was used to retain as many of the data as possible.
3. Results
The mean age of the sample was 17.36 years (SD 0.85), and 56% were girls (Table 1).
Table 1.
Sociodemographic and background variables across gender. The p-values refer to differences between boys and girls.
Table 2 shows the frequency and duration of social media use in total and separately for boys and girls. There were significant differences between boys and girls in terms of frequency and duration of use. A total of 83% of the girls indicated that they used social media several times each day or “almost constantly”, compared to 74 among boys.
Table 2.
Frequency and duration of social media use across gender. The p-values refer to differences between boys and girls.
3.1. Structural Validity of the SPAUSCIS
The correlation matrix including the nine items revealed that the items “It is easier to be myself on social media” and “I don’t care about how many likes or comments I receive on social media” had no correlations with other items >0.30, suggesting that these items should be excluded. The correlation matrix is available as Supplementary Materials (Table S1). The seven remaining self-presentation items were subjected to an exploratory factor analysis (EFA), with no rotation, using principal axis factoring, as the data had a non-normal distribution. The Kaiser–Meyer–Olkin measure of sampling adequacy was 0.86, verifying the sampling adequacy of the analysis [79]. Bartlett’s test of sphericity (X2 (21) = 6993, p < 0.001) supported the factorability of the correlation matrix. The eigenvalue was 3.59 for one factor and dropped to 0.27 for two factors, strongly suggesting a unidimensional scale. With one factor, the model explained 51% of the variance.
A CFA was completed with the seven retained items. Items 2 (likes important) and 3 (followers important) and items 6 (others posts impact feelings) and 7 (response impacts feelings) had highly correlated error terms, and these correlations were allowed in the final model. The CFA resulted in a Comparative Fit Index (CFI) of 0.999, a root mean square error of approximation (RMSEA) of 0.050 (95%CI 0.039–0.062, p = 0.489), and a standardized root mean square residual (SRMR) of 0.021, all signaling good fit [80]. The loadings of items 1–7 varied from 0.60 (item 6: “others’ posts affect feelings”) to 0.92 (item 2: “likes are important”), with a mean of 0.77 (Figure 1). The seven items of the SPAUSCIS tap into upward social comparison and different aspects of self-presentation, which we collectively refer to as “focus on self-presentation”.
Figure 1.
Results of the confirmatory factor analysis: One-factor model with the items “easier to be myself” and “I don’t care” deleted. CFI = Comparative Fit Index, RMSEA = root mean square error of approximation, SPAUSCIS = Self-presentation and Upward Social Comparison Inclination Scale.
3.2. Number and Characteristics of Latent Classes
In the LCA, models with 1–7 latent classes were run with 50 repetitions each and with random starting values to assess model identifiability [81]. Table 3 shows the fit for models with 1–5 latent classes. AIC, BIC, and relative entropy all improved up to three classes, after which they decreased only slightly. The LMR-LR indicated a statistically significant improvement of the model when moving from a 2-class to a 3-class model and no improvement when moving to a 4-class model. Based on these fit criteria and a visual inspection of the meaningfulness of models with 2, 3, 4, and 5 classes, a 3-class solution was chosen.
Table 3.
AIC, BIC, relative entropy, and LMR-LR for 1–6 classes in the latent class analysis.
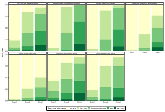
The classes represent response patterns across the seven items. The predicted class membership by modal posterior probability was 42% in class 1, 33% in class 2, and 25% in class 3. Figure 2 shows the distribution of most probable responses for each item in each of the three latent classes. Table 4 shows the probability of endorsing (i.e., responded “sometimes/partly true” or higher) the items for each class. In the first class, there were low probabilities of endorsing the items. The highest probabilities were found for items 1, 6, and 7 (8%, 21%, and 9%, respectively). In class 2, the probabilities of endorsing the items ranged from 5–46%, where items 1, 2, and 6 had the highest probabilities of endorsement (38%, 38%, and 46%, respectively). In class 3, there were high probabilities of endorsement of all items (29–99%). In this class, the items with the highest probabilities of endorsement were items 2 and 3 (99 and 95%), followed by item 6 (81%). Based on the conditional probability results of classes 1, 2, and 3, we named class 1 “Low focus on self-presentation”, class 2 “Intermediate focus on self-presentation”, and class 3 “High focus on self-presentation”.
Figure 2.
Response probabilities on the self-presentation scale across retained classes.
Table 4.
The probability of endorsing (i.e., responding “sometimes/partly true”, “a lot”, or “very much”) each of the SPAUSCIS items across retained classes.
3.3. Class Belongingness and Covariates
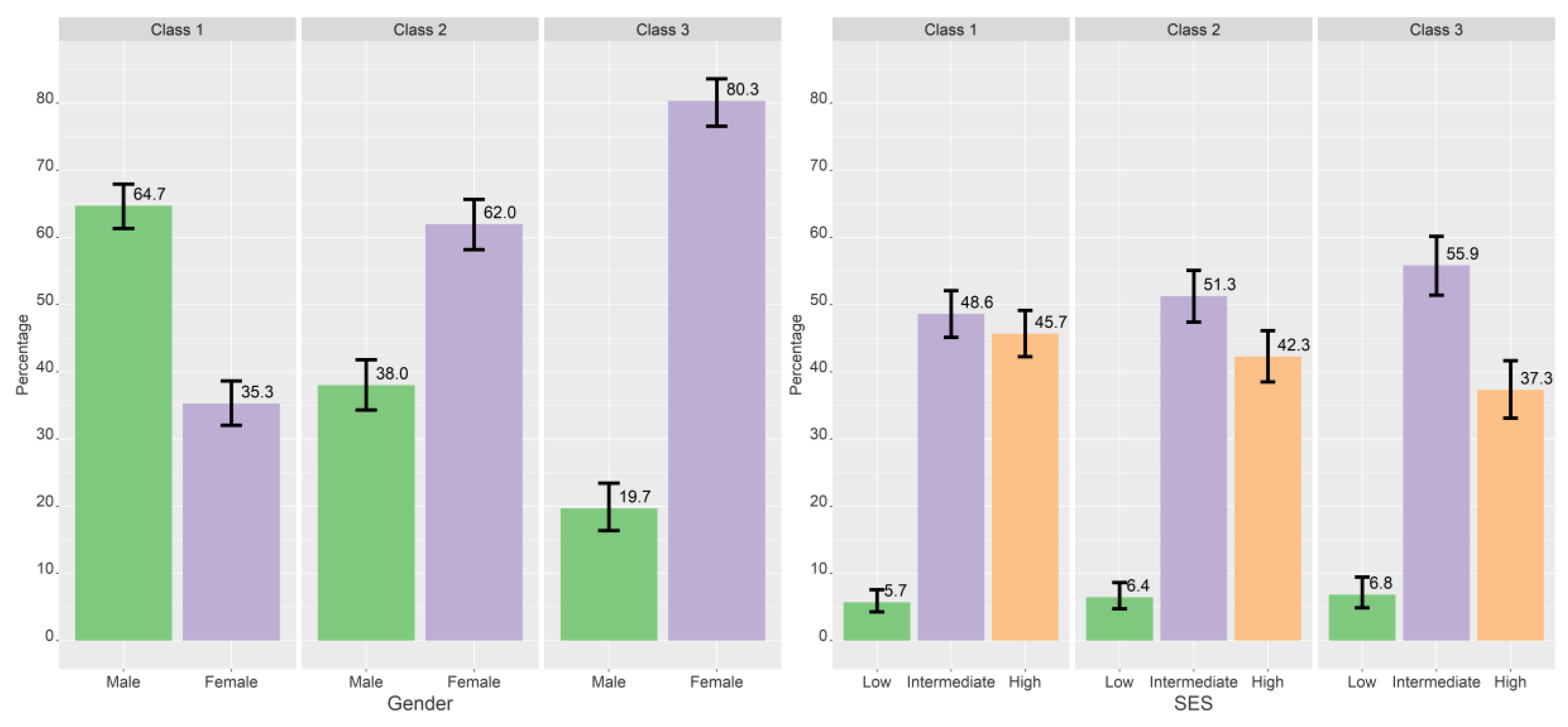
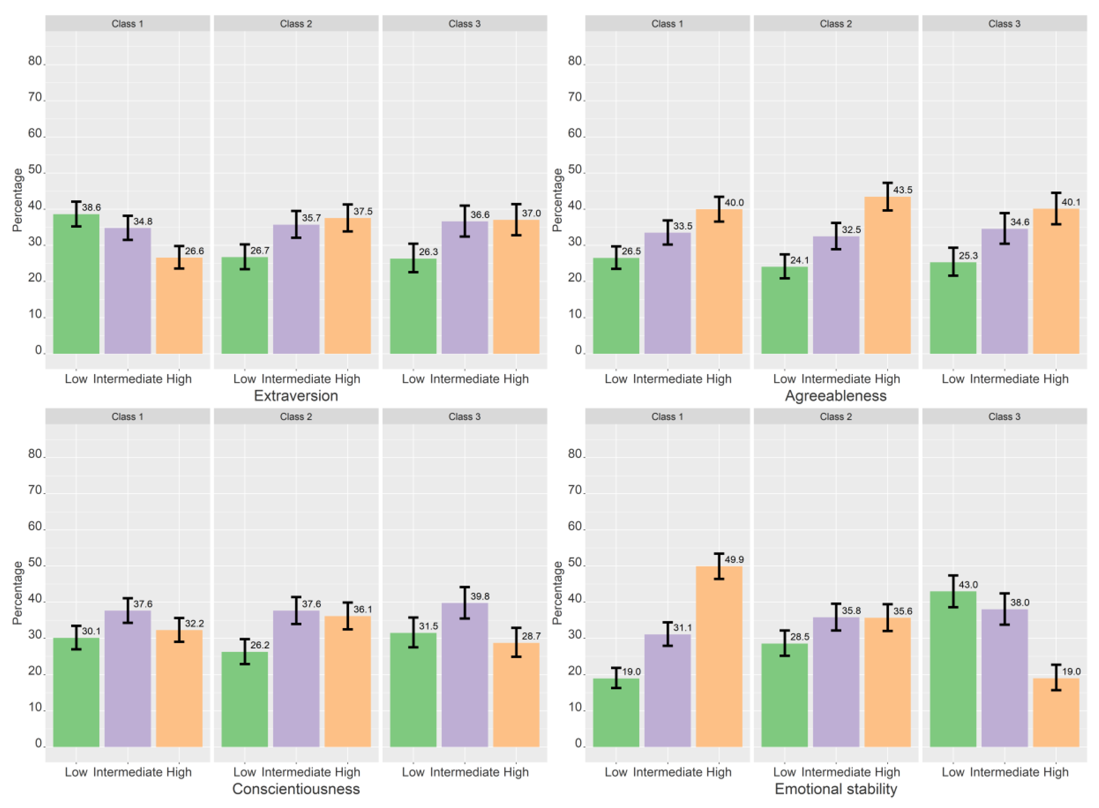
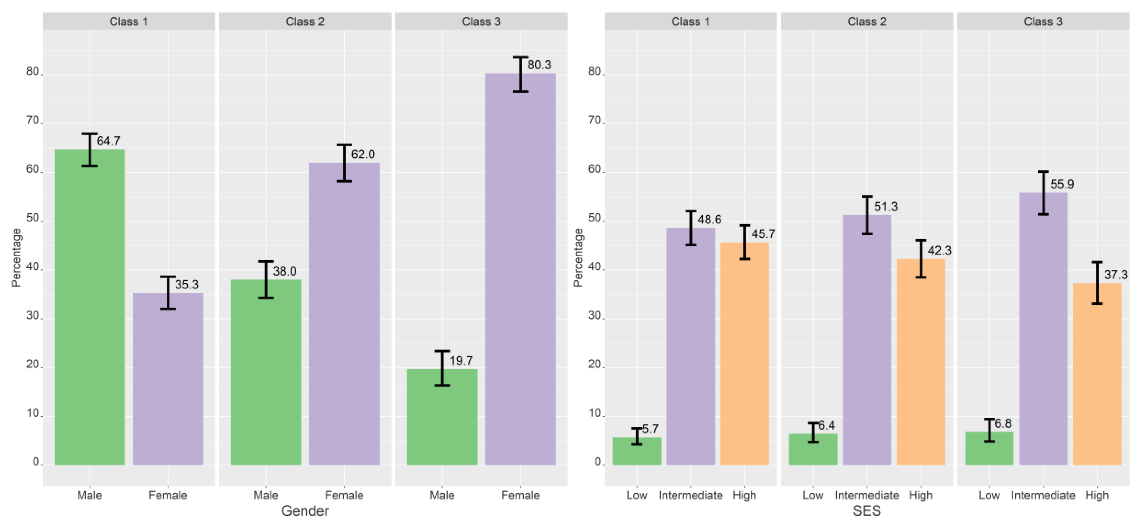
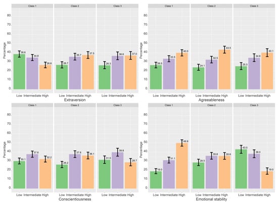
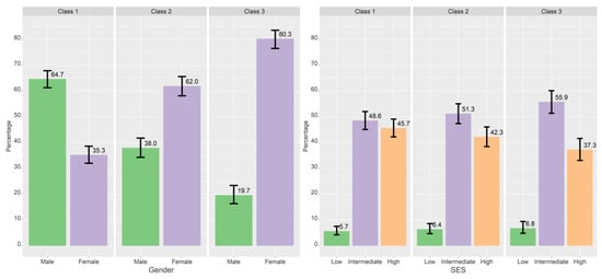
Table 5, Table 6 and Table 7 shows the results of the multinominal logistic regression, both with and without controlling for gender. Figure 3, Figure 4, Figure 5 and Figure 6 show the estimated proportions across sociodemographic, lifestyle, and personality variables (not controlled for gender).
3.3.1. Sociodemographic Factors
Girls were more likely to be in higher classes (i.e., a higher focus on self-presentation) compared to lower classes for all class comparisons (see Table 5). Those with intermediate SES were more likely than those with high SES to be in class 3 compared to class 1. This association became non-significant when controlling for gender. There was no statistically significant difference in age across classes.
Table 5.
Comparison of class belongingness across sociodemographic variables.
3.3.2. Lifestyle
Compared to those who had never tried alcohol, those who consumed alcohol more than twice in two weeks were more likely to be in higher classes for all class comparisons when controlling for gender (Table 6). Those who consumed alcohol 1–2 times in two weeks were more likely to be in classes 2 and 3 compared to class 1, while those who consumed alcohol less than once in two weeks were more likely to be in class 2 compared to class 1. Those who had tried cigarettes or snus were more likely to be in higher classes for all class comparisons. Those with low/moderate physical activity were more likely to be in class 3 compared to class 1, but this association became non-significant when controlling for gender.
Table 6.
Comparison of class belongingness across lifestyle variables.
3.3.3. Personality
Compared to low extraversion, those with intermediate or high extraversion were more likely to be in classes 2 and 3 compared to class 1 (Table 7). When controlling for gender, those with high agreeableness (vs. low agreeableness) had a lower likelihood of belonging to class 3 compared to class 1. For conscientiousness, those with high scores had a lower likelihood of being in class 3 compared to class 1 (when controlling for gender) and class 2. Compared to high emotional stability, those with low or intermediate emotional stability were more likely to be in higher classes compared to lower classes for all class comparisons. When controlling for gender, the increased likelihood of being in class 3 vs. class 2 for those with intermediate emotional stability became non-significant. There were no statistically significant differences for agreeableness across classes.
Table 7.
Comparison of class belongingness across personality variables.
Figure 3.
Crude proportions for each class across gender, age, and subjective socioeconomic status. Proportions based on most probable class belongingness. The error bars denote 95% confidence intervals.
Figure 4.
Crude proportions for each class across physical activity, cigarettes (ever tried, yes/no), and snus (ever tried, yes/no). Proportions based on most probable class belongingness. The error bars denote 95% confidence intervals.
Figure 5.
Crude proportions for each class across alcohol consumption. Proportions based on most probable class belongingness. The error bars denote 95% confidence intervals.
Figure 6.
Crude proportions for each class across personality traits. Proportions based on most probable class belongingness. The error bars denote 95% confidence intervals.
4. Discussion
In this exploratory study, we assessed differences among adolescents’ upward social comparison and aspects of self-presentation on social media and whether these differences were related to gender, age, SES, lifestyle factors, or personality. Over 2000 Norwegian senior high school pupils participated in the study. The results showed that feedback-seeking, strategic self-presentation, and social comparison on social media could be combined into one factor, referred to here as “focus on self-presentation”. The experience of it being easier to be oneself on social media did not correlate with the other aspects of self-presentation measured in this study and was excluded from the SPAUSCIS. It is possible that this item taps into other aspects of social media use. For example, some people may be less shy and withdrawn online than offline [82,83,84], or aspects of the self that are hidden or suppressed in offline interactions can be more freely expressed on social media [85].
The latent class analysis identified three groups of adolescents who varied in their focus on self-presentation. We named the classes “low focus on self-presentation” (class 1), “some focus on self-presentation” (class 2), and “high focus on self-presentation” (class 3). Group membership was associated with gender, lifestyle factors, and personality traits, where being a girl, having intermediate and high extraversion, having low and intermediate emotional stability, consuming alcohol, and having tried cigarettes and snus increased the likelihood of a higher focus on self-presentation. There was some indication that those with high agreeableness and high conscientiousness were less likely to have a high focus on self-presentation. The associations between focus on self-presentation and SES and between focus on self-presentation and low/moderate physical activity both became non-significant when controlling for gender. Focus on self-presentation was not related to age or the personality trait of openness to new experiences.
Using the same items as those in the present study, Skogen et al. [43] found a higher score on the items among adolescent girls than boys. Our results corroborate these findings, using a larger and more heterogeneous sample (pupils from twelve schools in rural and central areas). Class 1 (low focus on self-presentation) was dominated by boys, while class 2 (intermediate focus on self-presentation) and class 3 (high focus on self-presentation) were characterized by successively larger estimated proportions of girls. On a similar note, studies have shown that females both post selfies and retouch selfies before posting them to a greater degree than males [12,86]. The higher proportion of girls in class 2 and 3 can be understood in the context of the stronger tendency among adolescent females to have a relational orientation and increased reactivity to interpersonal stressors compared to males [87,88]. Some studies suggest that the association between social media use and negative mental health outcomes is stronger among females [20,89]. The increased focus on self-presentation may be one contributing factor to this relationship.
There was some evidence for a relationship between SES and group membership, with an increased relative risk of having a high focus on self-presentation for those with intermediate as compared to high SES. This relationship, however, became non-significant when controlling for gender. To the authors’ knowledge, no other studies have assessed the relationship between self-presentation and SES, but SES has been related to other aspects of social media use and, more generally, to screen use. For instance, low SES has been associated with social media addiction among children and adolescents [90], and access to media devices in the bedroom is more common among adolescents from low-income families compared to high-income families [91]. Overall, our sample was characterized by relatively high SES, and studies on more diverse populations should be conducted to better illuminate the relationship between focus on self-presentation and SES.
The lack of an association between age and group membership may be due to the limited age range of the participants in this study. Social media use is common from a young age, and among Norwegian children, one-fourth of boys and one-third of girls already use Snapchat at the age of 9–10 years [4]. Adolescents’ online self-presentation has been shown to change with age [92] and to be influenced by identity development [93]. Among 13–18-year-olds, Fullwood et al. [92] showed that younger adolescents were more likely than older adolescents to present an idealized or false version of themselves online and to experiment with multiple self-presentations. Among emerging adults, Michikyan [93] found that those high in identity confusion were less realistic, less truthful, and more socially desirable in their self-presentation online than those high in identity coherence.
We found that the personality traits extraversion and emotional stability were associated with class membership. Those with high extraversion were more likely to have a higher focus on self-presentation than those with low extraversion. These findings correspond to the findings of Zywica & Danowski [56], who found that a larger proportion of extraverts relative to introverts reported that it was important to look popular on Facebook. Associations between extraversion and other aspects of social media use may also be related to the present findings. For instance, meta-analytic evidence has shown that extraversion is positively associated with the amount of social media use [94], the number of friends on social media [95], and using social media for social interaction [96]. One may speculate that extraverts use social media to fulfil their social needs and that they consequently consider social media as an important part of their social lives and become more focused on how they appear online compared to introverts.
Emotional stability was even more strongly associated with class membership than extraversion, where the estimated proportions of low, intermediate, and high emotional stability shifted substantially with an increasing focus on self-presentation. The proportion of intermediate and low emotional stability increased with a higher focus on self-presentation, and high emotional stability decreased. This can be seen in the context of the results of Twomey & O’Reilly [27], who showed that neuroticism (i.e., low emotional stability) was associated with individuals’ tendency to present an idealized or inauthentic version of themselves online. Neuroticism has also been associated with posting more status updates [97]. More generally, emotional stability is negatively associated with the amount of social media use [94,96].
For agreeableness and conscientiousness, those with high scores were somewhat less likely to have a high focus on self-presentation. This is in line with a study of undergraduate students, where agreeableness and conscientiousness were associated with a lower likelihood of using social media to seek attention from others [54]. There was no relationship between class membership and openness to new experiences. High scores on openness have been associated with more social media use in studies of adults [57,96], but as social media use is ubiquitous among adolescents, this personality trait may be a more important predictor of social media use among older people [57].
Finally, our results show that those who consumed alcohol more frequently and those who had tried smoking and snus had increased probabilities of having an intermediate or high focus on self-presentation. This finding mirrors the findings of Nesi & Prinstein [37], who demonstrated that digital status seeking (i.e., efforts to obtain likes and comments) was longitudinally associated with substance use. The authors of that study hypothesized that digital status seekers are at risk of engaging in risky offline behaviors that are considered popular among peers in an attempt to increase their social status [37]. For physical activity, there were increased probabilities of a high focus on self-presentation for those with low/moderate physical activity compared to those with high physical activity, although not when controlling for gender. To our knowledge, no studies have looked specifically at self-presentation on social media and physical activity; however, studies have shown that low physical activity is associated with smartphone addiction [60,61] and, more generally, with high overall screen times [58,59].
4.1. Implications
Grouping adolescents by their focus on self-presentation may be one way to bring structure to the heterogeneity of adolescents’ social media use, but further work is needed to assess whether the three-class solution in the present study is relevant in other populations. Further work is also needed to assess how focus on self-presentation is related to important adolescence outcomes such as mental health, satisfaction with life, and educational attainment. Importantly, social media use is likely to differ in other areas in addition to self-presentation; however, focus on self-presentation seems to be a meaningful dimension that warrants further study. The present results can help identify groups of adolescents that are of risk of experiencing negative effects of their social media use. Our results suggest that, among adolescents, being a girl, high extraversion, and low emotional stability are associated with an increased risk of being highly focused on self-presentation. Public health interventions promoting healthy social media use could target these groups in particular. Furthermore, it has been hypothesized that the act of self-presenting on social media, such as posting selfies, triggers an increased dependence on social approval in the form of likes and comments [98]. Thus, it is possible that efforts to reduce self-presentation behavior on social media could potentially reduce someone’s dependence on social approval. However, positive self-presentation, defined as showing positive aspects of the self online, has been shown to increase subjective well-being, possibly because it supports a positive self-image [99] and self-affirmation [46]. Thus, the relationship between the act of self-presenting on social media, one’s focus on self-presentation, and well-being is complex and needs further investigation.
The present study did not consider how focus on self-presentation may vary across different social media platforms. For example, self-presentation on social media can vary depending on the perceived target audience [100,101]. In a qualitative study by Taber & Whittaker [101], university students explained that they were more authentic and less socially desirable on social media accounts where only their close friends could access their content. Furthermore, how one self-presents on social media can be influenced by the level of anonymity, the durability of the content (e.g., ephemeral vs. permanent content; [102]), and the visibility of the content [100]. It is unclear whether one’s focus on self-presentation, beyond how one self-presents, varies across platforms, but it is likely that some social media platforms augment users’ focus on self-presentation—for example, platforms with visual content and feedback from others as central features. Thus, it is possible that some of the gender differences in focus on self-presentation are based on gender differences in platform preference, above and beyond any differences in focus on self-presentation between boys and girls in the first place.
4.2. Strengths and Limitations
A strength of the present study is the use of survey items developed based on focus interviews with the target group, increasing the likelihood that the items were relevant to the participants. The data collection is recent, and the study included a large number of participants, allowing for a meaningful investigation of the focus on self-presentation on social media and its covariates.
The study also has some important limitations. First, the items measuring focus on self-presentation are not part of an established scale. However, a pilot study using the same items showed the same factor structure and supported a unidimensional scale, and the sum score was associated with mental health and well-being [43]. The same study also showed that a higher proportion of those with a high score on the scale used highly visual social media, such as Snapchat and Instagram, compared to those with low scores [43]. Second, the reliability was low for some of the TIPI scales, specifically for agreeableness and openness to experience, and the results should be interpreted with this in mind. TIPI has, however, shown good convergence with multi-item personality inventories and good test-retest reliability [63]. Further, the study is cross-sectional, which means that we are unable to draw conclusions about cause-and-effect. Furthermore, the participant rate was somewhat low (54%). It is possible that those highly invested in social media completed the survey to a larger extent than those not invested in social media, thus causing a bias in the results. Hence, the estimated proportions of the latent classes should be interpreted with caution. However, associations are less vulnerable to bias caused by low participation rates than prevalence [103], and the associations between class membership and covariates may be considered valid despite a relatively low participation rate.
As participants were recruited through their school, adolescents not attending school did not have the opportunity to participate in the study. However, the rate of school attendance among Norwegian adolescents is very high, with 94% of 16–18-year-olds attending senior high school [104]. The participants were drawn from a limited geographical area, and the results may not be generalizable to other countries or cultures. For example, Kolesnyk et al. [105] found that the deceptive self-presentation of physical attractiveness (e.g., retouching images to increase attractiveness) was lower in countries with more gender equality.
Only one of the self-presentation items asked explicitly about visual self-presentation, specifically about the retouching of photos to look better. Self-presentation may entail photos of oneself but also photos of friends or activities, sharing music and movies, posting opinions, etc. Future studies should consider if self-presentation through posting photos of oneself differs from other forms of self-presentation—for example, due to links with appearance-related concerns [106,107,108]. Furthermore, we used the word “retouching”, which may not fully reflect the range of ways adolescents edit their photos. For example, built-in image filters on applications such as Snapchat are frequently used by adolescents but may not have been captured by the question about retouching. Retouching may have been interpreted as more elaborate and advanced photo-editing. Future studies are likely to benefit from combining quantitative findings with qualitative data to obtain a fuller picture of adolescents’ focus on self-presentation on social media. Lastly, the present study did not distinguish between different social media platforms. This is a limitation, as some items, such as the importance of likes and comments, are not relevant to all platforms. Future studies could explore whether focus on self-presentation differs across social media platforms.
5. Conclusions
In this exploratory study, we showed that feedback-seeking, strategic self-presentation, and social comparison on social media converged into one factor, referred to here as “focus on self-presentation”. Using a data-driven approach, we identified three groups of adolescents with a low, intermediate, and high focus on self-presentation. Being a girl, higher extraversion, lower emotional stability, more frequent alcohol consumption, and having tried tobacco were associated with membership in the high-focus group. There was some indication that those with high agreeableness and high conscientiousness were less likely to have a high focus on self-presentation, while SES and physical activity were associated with focus on self-presentation in crude models but not after controlling for gender. Importantly, the current study included a rather homogenous sample in terms of SES, and the relationship between focus on self-presentation and SES should be further investigated in more diverse populations. Further work is also needed to assess how focus on self-presentation is related to important adolescence outcomes such as mental health, satisfaction with life, and educational attainment. However, given the association of aspects of self-presentation with negative mental health outcomes shown in previous research, efforts to reduce the focus on self-presentation could be warranted. The present results suggest some characteristics that are associated with a higher focus on self-presentation and that could inform targeted interventions. The high focus on self-presentation found among girls could explain previous findings of stronger associations between social media use and negative mental health outcomes among girls compared to boys. Importantly, specific social media affordances and the act of self-presentation may augment one’s focus on self-presentation, and gender differences in terms of focus on self-presentation may be partly related to differences in platform preference among girls and boys. The nature of these complex associations warrants further investigation, and efforts should be made to combine qualitative and quantitative approaches.
Supplementary Materials
The following supporting information can be downloaded at: https://www.mdpi.com/article/10.3390/ijerph191711133/s1, Table S1: The correlation matrix (non-parametric) of candidate self-presentation items.
Author Contributions
Conceptualization, G.J.H. and J.C.S.; methodology, G.J.H. and J.C.S.; formal analysis, G.J.H. and J.C.S.; investigation, G.J.H., R.T.H. and J.C.S.; writing—original draft preparation, G.J.H. and J.C.S.; writing—review and editing, G.J.H., T.R.F., B.S., I.C., R.T.H. and J.C.S.; visualization, G.J.H.; project administration, J.C.S. All authors have read and agreed to the published version of the manuscript.
Funding
The present study is associated with a larger innovation project led by the Bergen municipality in Western Norway related to the use of social media, mental health, and well-being. The innovation project is funded by a program initiated by the Norwegian Directorate of Health and aims to explore social media as a platform for health promotion among adolescents. Hjetland’s postdoc position is funded by the DAM Foundation and supported by the Norwegian Council for Mental Health (grant number 2021/FO347287). Finserås’ postdoc position is funded by the Research Council of Norway (project number 319845). This work was also partly supported by the Research Council of Norway through its Centers of Excellence funding scheme, project number 262700. The funding sources were not involved in the study design, in the collection, analysis, or interpretation of the data, or in the writing of the manuscript.
Institutional Review Board Statement
The data collection was conducted according to the guidelines of the Declaration of Helsinki and was approved by the Regional Ethics Committee (REK) in Norway (REK #65611).
Informed Consent Statement
Eligible participants were informed about the purpose of the study and provided informed electronic consent upon participation. Participants were also informed that participation was voluntary. All of the invited participants were 16 years of age or older and were therefore deemed competent to consent on their own behalf.
Data Availability Statement
The datasets analyzed during the current study are not publicly available, as they contain sensitive information, and the ethical approval of the study does not include this option. The datasets will be available from the corresponding author on reasonable request.
Acknowledgments
We would like to thank all the pupils that participated in the survey, as well as Bergen municipality and Vestland County Council for their collaboration and help with the study. We would like to thank the resource group that contributed with inputs and discussions regarding the focus group interviews and the questionnaire development.
Conflicts of Interest
The authors declare no conflict of interest.
References
- Statista. Social Media & User-Generated Content. Available online: https://www.statista.com/statistics/272014/global-social-networks-ranked-by-number-of-users/ (accessed on 12 June 2022).
- Kietzmann, J.H.; Hermkens, K.; McCarthy, I.P.; Silvestre, B.S. Social media? Get serious! Understanding the functional building blocks of social media. Bus. Horiz. 2011, 54, 241–251. [Google Scholar] [CrossRef]
- Anderson, M.; Jiang, J. Teens, Social Media & Technology 2018; Pew Research Center: Washington, DC, USA, 2018. [Google Scholar]
- Medietilsynet. Barn og Medier 2020: En Kartlegging av 9-18-Åringers Digitale Medievaner; Medietilsynet: Fredrikstad, Norway, 2020. [Google Scholar]
- Bakken, A. Ungdata 2020: Nasjonale Resultater [Ungdata 2020: National Results]; 16/20; NOVA, OsloMet: Oslo, Norway, 2020; p. 24. [Google Scholar]
- Schønning, V.; Hjetland, G.J.; Aarø, L.E.; Skogen, J.C. Social Media Use and Mental Health and Well-Being Among Adolescents–A Scoping Review. Front. Psychol. 2020, 11, 1949. [Google Scholar] [CrossRef] [PubMed]
- Orben, A. Teenagers, screens and social media: A narrative review of reviews and key studies. Soc. Psychiatry Psychiatr. Epidemiol. 2020, 55, 407–414. [Google Scholar] [CrossRef]
- Appel, M.; Marker, C.; Gnambs, T. Are Social Media Ruining Our Lives? A Review of Meta-Analytic Evidence. Rev. Gen. Psychol. 2020, 24, 60–74. [Google Scholar] [CrossRef]
- Valkenburg, P.M.; Meier, A.; Beyens, I. Social media use and its impact on adolescent mental health: An umbrella review of the evidence. Curr. Opin. Psychol. 2022, 44, 58–68. [Google Scholar] [CrossRef]
- Keles, B.; McCrae, N.; Grealish, A. A systematic review: The influence of social media on depression, anxiety and psychological distress in adolescents. Int. J. Adolesc. Youth 2020, 25, 79–93. [Google Scholar] [CrossRef]
- Frison, E.; Eggermont, S. Exploring the relationships between different types of Facebook use, perceived online social support, and adolescents’ depressed mood. Soc. Sci. Comput. Rev. 2016, 34, 153–171. [Google Scholar] [CrossRef]
- Steinsbekk, S.; Wichstrøm, L.; Stenseng, F.; Nesi, J.; Hygen, B.W.; Skalická, V. The impact of social media use on appearance self-esteem from childhood to adolescence–A 3-wave community study. Comput. Hum. Behav. 2021, 114, 106528. [Google Scholar] [CrossRef]
- Kingsbury, M.; Reme, B.-A.; Skogen, J.C.; Sivertsen, B.; Øverland, S.; Cantor, N.; Hysing, M.; Petrie, K.; Colman, I. Differential associations between types of social media use and university students’ non-suicidal self-injury and suicidal behavior. Comput. Hum. Behav. 2021, 115, 106614. [Google Scholar] [CrossRef]
- Winstone, L.; Mars, B.; Haworth, C.M.; Heron, J.; Kidger, J. Adolescent social media user types and their mental health and well-being: Results from a longitudinal survey of 13–14-year-olds in the United Kingdom. JCPP Adv. 2022, 2, e12071. [Google Scholar] [CrossRef]
- Boniel-Nissim, M.; van den Eijnden, R.J.; Furstova, J.; Marino, C.; Lahti, H.; Inchley, J.; Šmigelskas, K.; Vieno, A.; Badura, P. International perspectives on social media use among adolescents: Implications for mental and social well-being and substance use. Comput. Hum. Behav. 2022, 129, 107144. [Google Scholar] [CrossRef]
- Jarman, H.K.; Marques, M.D.; McLean, S.A.; Slater, A.; Paxton, S.J. Motivations for social media use: Associations with social media engagement and body satisfaction and well-being among adolescents. J. Youth Adolesc. 2021, 50, 2279–2293. [Google Scholar] [CrossRef] [PubMed]
- Woods, H.C.; Scott, H. #Sleepyteens: Social media use in adolescence is associated with poor sleep quality, anxiety, depression and low self-esteem. J. Adolesc. 2016, 51, 41–49. [Google Scholar] [CrossRef]
- de Vries, D.A.; Peter, J.; Nikken, P.; de Graaf, H. The effect of social network site use on appearance investment and desire for cosmetic surgery among adolescent boys and girls. Sex Roles 2014, 71, 283–295. [Google Scholar] [CrossRef]
- Bekalu, M.A.; McCloud, R.F.; Viswanath, K. Association of social media use with social well-being, positive mental health, and self-rated health: Disentangling routine use from emotional connection to use. Health Educ. Behav. 2019, 46, 69S–80S. [Google Scholar] [CrossRef]
- Neira, C.J.; Barber, B.L. Social networking site use: Linked to adolescents’ social self-concept, self-esteem, and depressed mood. Aust. J. Psychol. 2014, 66, 56–64. [Google Scholar] [CrossRef]
- Verduyn, P.; Lee, D.S.; Park, J.; Shablack, H.; Orvell, A.; Bayer, J.; Ybarra, O.; Jonides, J.; Kross, E. Passive Facebook usage undermines affective well-being: Experimental and longitudinal evidence. J. Exp. Psychol. Gen. 2015, 144, 480. [Google Scholar] [CrossRef]
- Verduyn, P.; Ybarra, O.; Résibois, M.; Jonides, J.; Kross, E. Do social network sites enhance or undermine subjective well-being? A critical review. Soc. Issues Policy Rev. 2017, 11, 274–302. [Google Scholar] [CrossRef]
- Beyens, I.; Pouwels, J.L.; van Driel, I.I.; Keijsers, L.; Valkenburg, P.M. The effect of social media on well-being differs from adolescent to adolescent. Sci. Rep. 2020, 10, 10763. [Google Scholar] [CrossRef]
- Subrahmanyam, K.; Šmahel, D. Constructing identity online: Identity exploration and self-presentation. In Digital Youth; Springer: New York, NY, USA, 2011; pp. 59–80. [Google Scholar]
- Nesi, J.; Prinstein, M.J. Using social media for social comparison and feedback-seeking: Gender and popularity moderate associations with depressive symptoms. J. Abnorm. Child Psychol. 2015, 43, 1427–1438. [Google Scholar] [CrossRef]
- Kross, E.; Verduyn, P.; Sheppes, G.; Costello, C.K.; Jonides, J.; Ybarra, O. Social media and well-being: Pitfalls, progress, and next steps. Trends Cogn. Sci. 2020, 25, 55–66. [Google Scholar] [CrossRef]
- Twomey, C.; O’Reilly, G. Associations of self-presentation on Facebook with mental health and personality variables: A systematic review. Cyberpsychol. Behav. Soc. Netw. 2017, 20, 587–595. [Google Scholar] [CrossRef]
- Scully, M.; Swords, L.; Nixon, E. Social comparisons on social media: Online appearance-related activity and body dissatisfaction in adolescent girls. Ir. J. Psychol. Med. 2020, 1–12. [Google Scholar] [CrossRef]
- Spitzer, E.G.; Crosby, E.S.; Witte, T.K. Looking through a filtered lens: Negative social comparison on social media and suicidal ideation among young adults. Psychol. Pop. Media 2022. [Google Scholar] [CrossRef]
- Nadkarni, A.; Hofmann, S.G. Why do people use Facebook? Personal. Individ. Differ. 2012, 52, 243–249. [Google Scholar] [CrossRef]
- Goffman, E. The Presentation of Self in Everyday Life; Anchor: Harmondsworth, UK, 1978; Volume 21. [Google Scholar]
- Bazarova, N.N.; Choi, Y.H. Self-disclosure in social media: Extending the functional approach to disclosure motivations and characteristics on social network sites. J. Commun. 2014, 64, 635–657. [Google Scholar] [CrossRef]
- Leary, M.R. Self-Presentation: Impression Management and Interpersonal Behavior; Routledge: Milton Park, UK, 2019. [Google Scholar]
- Walther, J.B.; Whitty, M.T. Language, psychology, and new new media: The hyperpersonal model of mediated communication at twenty-five years. J. Lang. Soc. Psychol. 2021, 40, 120–135. [Google Scholar] [CrossRef]
- Walther, J.B. Computer-mediated communication: Impersonal, interpersonal, and hyperpersonal interaction. Commun. Res. 1996, 23, 3–43. [Google Scholar] [CrossRef]
- Firth, J.; Torous, J.; Stubbs, B.; Firth, J.A.; Steiner, G.Z.; Smith, L.; Alvarez-Jimenez, M.; Gleeson, J.; Vancampfort, D.; Armitage, C.J. The “online brain”: How the Internet may be changing our cognition. World Psychiatry 2019, 18, 119–129. [Google Scholar] [CrossRef]
- Nesi, J.; Prinstein, M.J. In search of likes: Longitudinal associations between adolescents’ digital status seeking and health-risk behaviors. J. Clin. Child Adolesc. Psychol. 2018, 48, 740–748. [Google Scholar] [CrossRef] [PubMed]
- Reinecke, L.; Trepte, S. Authenticity and well-being on social network sites: A two-wave longitudinal study on the effects of online authenticity and the positivity bias in SNS communication. Comput. Hum. Behav. 2014, 30, 95–102. [Google Scholar] [CrossRef]
- Festinger, L. A theory of social comparison processes. Hum. Relat. 1954, 7, 117–140. [Google Scholar] [CrossRef]
- Chou, H.-T.G.; Edge, N. “They are happier and having better lives than I am”: The impact of using Facebook on perceptions of others’ lives. Cyberpsychol. Behav. Soc. Netw. 2012, 15, 117–121. [Google Scholar] [CrossRef] [PubMed]
- Castellacci, F.; Tveito, V. Internet use and well-being: A survey and a theoretical framework. Res. Policy 2018, 47, 308–325. [Google Scholar] [CrossRef]
- Moroney, E.; Lee, S.S.; Ebbert, A.M.; Luthar, S.S. Digital media use frequency, online behaviors, and risk for negative mental health in adolescents in high-achieving schools. Clin. Child Psychol. Psychiatry 2022, 13591045221108834. [Google Scholar] [CrossRef]
- Skogen, J.C.; Hjetland, G.J.; Bøe, T.; Hella, R.T.; Knudsen, A.K. Through the Looking Glass of Social Media. Focus on Self-Presentation and Association with Mental Health and Quality of Life. A Cross-Sectional Survey-Based Study; Norwegian Institute of Public Health: Oslo, Norway, 2021; p. 3319. [Google Scholar]
- Gentile, B.; Twenge, J.M.; Freeman, E.C.; Campbell, W.K. The effect of social networking websites on positive self-views: An experimental investigation. Comput. Hum. Behav. 2012, 28, 1929–1933. [Google Scholar] [CrossRef]
- Gonzales, A.L.; Hancock, J.T. Mirror, mirror on my Facebook wall: Effects of exposure to Facebook on self-esteem. Cyberpsychol. Behav. Soc. Netw. 2011, 14, 79–83. [Google Scholar] [CrossRef]
- Toma, C.L.; Hancock, J.T. Self-affirmation underlies Facebook use. Personal. Soc. Psychol. Bull. 2013, 39, 321–331. [Google Scholar] [CrossRef]
- Cohen, G.L.; Sherman, D.K. The psychology of change: Self-affirmation and social psychological intervention. Annu. Rev. Psychol. 2014, 65, 333–371. [Google Scholar] [CrossRef]
- Steele, C.M. The psychology of self-affirmation: Sustaining the integrity of the self. In Advances in Experimental Social Psychology; Elsevier: Amsterdam, The Netherlands, 1988; Volume 21, pp. 261–302. [Google Scholar]
- Escobar-Viera, C.; Shensa, A.; Hamm, M.; Melcher, E.M.; Rzewnicki, D.I.; Egan, J.E.; Sidani, J.E.; Primack, B.A. “I Don’t Feel Like the Odd One”: Utilizing Content Analysis to Compare the Effects of Social Media Use on Well-Being Among Sexual Minority and Nonminority US Young Adults. Am. J. Health Promot. 2020, 34, 285–293. [Google Scholar] [CrossRef]
- Nesi, J.; Choukas-Bradley, S.; Maheux, A.J.; Roberts, S.R.; Sanzari, C.M.; Widman, L.; Prinstein, M.J. Selfie appearance investment and peer feedback concern: Multimethod investigation of adolescent selfie practices and adjustment. Psychol. Pop. Media 2021, 10, 488. [Google Scholar] [CrossRef]
- McCrae, R.R.; Costa, P.T., Jr. Personality trait structure as a human universal. Am. Psychol. 1997, 52, 509. [Google Scholar] [CrossRef]
- John, O.P.; Srivastava, S. The Big Five trait taxonomy: History, measurement, and theoretical perspectives. In Handbook of Personality: Theory and Research; Pervin, L.A., John, O.P., Eds.; Guilford Press: New York, NY, USA, 1999; pp. 102–138. [Google Scholar]
- Costa, P.T., Jr.; McCrae, R.R. The five-factor model of personality and its relevance to personality disorders. J. Personal. Disord. 1992, 6, 343–359. [Google Scholar] [CrossRef]
- Seidman, G. Self-presentation and belonging on Facebook: How personality influences social media use and motivations. Personal. Individ. Differ. 2013, 54, 402–407. [Google Scholar] [CrossRef]
- Ashton, M.C.; Lee, K.; Paunonen, S.V. What is the central feature of extraversion? Social attention versus reward sensitivity. J. Personal. Soc. Psychol. 2002, 83, 245. [Google Scholar] [CrossRef]
- Zywica, J.; Danowski, J. The faces of Facebookers: Investigating social enhancement and social compensation hypotheses; predicting Facebook™ and offline popularity from sociability and self-esteem, and mapping the meanings of popularity with semantic networks. J. Comput.-Mediat. Commun. 2008, 14, 1–34. [Google Scholar] [CrossRef]
- Correa, T.; Hinsley, A.W.; De Zuniga, H.G. Who interacts on the Web?: The intersection of users’ personality and social media use. Comput. Hum. Behav. 2010, 26, 247–253. [Google Scholar] [CrossRef]
- Sandercock, G.R.; Alibrahim, M.; Bellamy, M. Media device ownership and media use: Associations with sedentary time, physical activity and fitness in English youth. Prev. Med. Rep. 2016, 4, 162–168. [Google Scholar] [CrossRef]
- Carlson, S.A.; Fulton, J.E.; Lee, S.M.; Foley, J.T.; Heitzler, C.; Huhman, M. Influence of limit-setting and participation in physical activity on youth screen time. Pediatrics 2010, 126, e89–e96. [Google Scholar] [CrossRef] [PubMed]
- Buda, G.; Lukoševičiūtė, J.; Šalčiūnaitė, L.; Šmigelskas, K. Possible effects of social media use on adolescent health behaviors and perceptions. Psychol. Rep. 2021, 124, 1031–1048. [Google Scholar] [CrossRef]
- Kim, S.-E.; Kim, J.-W.; Jee, Y.-S. Relationship between smartphone addiction and physical activity in Chinese international students in Korea. J. Behav. Addict. 2015, 4, 200–205. [Google Scholar] [CrossRef] [PubMed]
- Hjetland, G.J.; Schønning, V.; Hella, R.T.; Veseth, M.; Skogen, J.C. How do Norwegian adolescents experience the role of social media in relation to mental health and well-being: A qualitative study. BMC Psychol. 2021, 9, 78. [Google Scholar] [CrossRef] [PubMed]
- Gosling, S.D.; Rentfrow, P.J.; Swann, W.B., Jr. A very brief measure of the Big-Five personality domains. J. Res. Personal. 2003, 37, 504–528. [Google Scholar] [CrossRef]
- Eisinga, R.; Grotenhuis, M.t.; Pelzer, B. The reliability of a two-item scale: Pearson, Cronbach, or Spearman-Brown? Int. J. Public Health 2013, 58, 637–642. [Google Scholar] [CrossRef]
- Selker, R.; Love, J.; Dropmann, D.; Moreno, V. The ‘jamovi’ Analyses. 2021. Available online: https://cran.r-project.org/web/packages/jmv/jmv.pdf (accessed on 12 June 2022).
- Rosseel, Y. Lavaan: An R package for structural equation modeling and more. Version 0.5–12 (BETA). J. Stat. Softw. 2012, 48, 1–36. [Google Scholar] [CrossRef]
- Weller, B.E.; Bowen, N.K.; Faubert, S.J. Latent class analysis: A guide to best practice. J. Black Psychol. 2020, 46, 287–311. [Google Scholar] [CrossRef]
- Porcu, M.; Giambona, F. Introduction to latent class analysis with applications. J. Early Adolesc. 2017, 37, 129–158. [Google Scholar] [CrossRef]
- Dziak, J.J.; Coffman, D.L.; Lanza, S.T.; Li, R.; Jermiin, L.S. Sensitivity and specificity of information criteria. Brief. Bioinform. 2020, 21, 553–565. [Google Scholar] [CrossRef]
- Linzer, D.A.; Lewis, J.B. poLCA: An R package for polytomous variable latent class analysis. J. Stat. Softw. 2011, 42, 1–29. [Google Scholar] [CrossRef]
- Muthén, L.K.; Muthén, B.O. Mplus User’s Guide, 8th ed.; Muthén & Muthén: Los Angeles, CA, USA, 2017. [Google Scholar]
- Venables, W.N.; Ripley, B.D. Modern Applied Statistics with S, 4th ed.; Springer: New York, NY, USA, 2002. [Google Scholar]
- Shaw, C.M.; Edwards, R. Self-concepts and self-presentations of males and females: Similarities and Differences. Commun. Rep. 1997, 10, 55–62. [Google Scholar] [CrossRef]
- Haferkamp, N.; Eimler, S.C.; Papadakis, A.-M.; Kruck, J.V. Men are from Mars, women are from Venus? Examining gender differences in self-presentation on social networking sites. Cyberpsychol. Behav. Soc. Netw. 2012, 15, 91–98. [Google Scholar] [CrossRef] [PubMed]
- Tifferet, S.; Vilnai-Yavetz, I. Gender differences in Facebook self-presentation: An international randomized study. Comput. Hum. Behav. 2014, 35, 388–399. [Google Scholar] [CrossRef]
- Tjora, T.; Skogen, J.C.; Sivertsen, B. Increasing similarities between young adults’ smoking and snus use in Norway: A study of the trends and stages of smoking and snus epidemic from 2010 to 2018. BMC Public Health 2020, 20, 1511. [Google Scholar] [CrossRef]
- Kyrrestad, H.; Mabille, G.; Adolfsen, F.; Koposov, R.; Martinussen, M. Gender differences in alcohol onset and drinking frequency in adolescents: An application of the theory of planned behavior. Drugs Educ. Prev. Policy 2022, 29, 21–31. [Google Scholar] [CrossRef]
- Weisberg, Y.J.; DeYoung, C.G.; Hirsh, J.B. Gender differences in personality across the ten aspects of the Big Five. Front. Psychol. 2011, 2, 178. [Google Scholar] [CrossRef]
- Watkins, M.W. Exploratory factor analysis: A guide to best practice. J. Black Psychol. 2018, 44, 219–246. [Google Scholar] [CrossRef]
- Brown, T.A.; Moore, M.T. Confirmatory factor analysis. In Handbook of Structural Equation Modeling; Oxford University Press: Oxford, UK, 2012; pp. 361–379. [Google Scholar]
- Lanza, S.T.; Rhoades, B.L. Latent class analysis: An alternative perspective on subgroup analysis in prevention and treatment. Prev. Sci. 2013, 14, 157–168. [Google Scholar] [CrossRef]
- Bargh, J.A.; McKenna, K.Y.; Fitzsimons, G.M. Can you see the real me? Activation and expression of the “true self” on the Internet. J. Soc. Issues 2002, 58, 33–48. [Google Scholar] [CrossRef]
- Campbell, A.J.; Cumming, S.R.; Hughes, I. Internet use by the socially fearful: Addiction or therapy? Cyberpsychol. Behav. 2006, 9, 69–81. [Google Scholar] [CrossRef]
- Valkenburg, P.M.; Peter, J. Preadolescents’ and adolescents’ online communication and their closeness to friends. Dev. Psychol. 2007, 43, 267. [Google Scholar] [CrossRef] [Green Version]
- Attrill, A. The Manipulation of Online Self-Presentation: Create, Edit, Re-Edit and Present; Palgrave Macmillan: London, UK, 2015. [Google Scholar]
- Reed, P.; Saunders, J. Sex differences in online assertive self-presentation strategies. Personal. Individ. Differ. 2020, 166, 110214. [Google Scholar] [CrossRef]
- Cyranowski, J.M.; Frank, E.; Young, E.; Shear, M.K. Adolescent onset of the gender difference in lifetime rates of major depression: A theoretical model. Arch. Gen. Psychiatry 2000, 57, 21–27. [Google Scholar] [CrossRef] [PubMed]
- Rudolph, K.D.; Hammen, C. Age and gender as determinants of stress exposure, generation, and reactions in youngsters: A transactional perspective. Child Dev. 1999, 70, 660–677. [Google Scholar] [CrossRef]
- Orben, A.; Dienlin, T.; Przybylski, A.K. Social media’s enduring effect on adolescent life satisfaction. Proc. Natl. Acad. Sci. 2019, 116, 10226–10228. [Google Scholar] [CrossRef] [PubMed]
- Sun, X.; Duan, C.; Yao, L.; Zhang, Y.; Chinyani, T.; Niu, G. Socioeconomic status and social networking site addiction among children and adolescents: Examining the roles of parents’ active mediation and ICT attitudes. Comput. Educ. 2021, 173, 104292. [Google Scholar] [CrossRef]
- Rideout, V.; Robb, M.B. The Common Sense Census: Media Use by Tweens and Teens; Common Sense Media: San Francisco, CA, USA, 2019. [Google Scholar]
- Fullwood, C.; James, B.M.; Chen-Wilson, C.-H. Self-concept clarity and online self-presentation in adolescents. Cyberpsychol. Behav. Soc. Netw. 2016, 19, 716–720. [Google Scholar] [CrossRef] [PubMed]
- Michikyan, M. Linking online self-presentation to identity coherence, identity confusion, and social anxiety in emerging adulthood. Br. J. Dev. Psychol. 2020, 38, 543–565. [Google Scholar] [CrossRef]
- Huang, C. Social network site use and Big Five personality traits: A meta-analysis. Comput. Hum. Behav. 2019, 97, 280–290. [Google Scholar] [CrossRef]
- Lönnqvist, J.-E.; große Deters, F. Facebook friends, subjective well-being, social support, and personality. Comput. Hum. Behav. 2016, 55, 113–120. [Google Scholar] [CrossRef]
- Gil de Zúñiga, H.; Diehl, T.; Huber, B.; Liu, J. Personality traits and social media use in 20 countries: How personality relates to frequency of social media use, social media news use, and social media use for social interaction. Cyberpsychol. Behav. Soc. Netw. 2017, 20, 540–552. [Google Scholar] [CrossRef] [Green Version]
- Liu, D.; Campbell, W.K. The Big Five personality traits, Big Two metatraits and social media: A meta-analysis. J. Res. Personal. 2017, 70, 229–240. [Google Scholar] [CrossRef]
- Meeus, A.; Beullens, K.; Eggermont, S. Like me (please?): Connecting online self-presentation to pre-and early adolescents’ self-esteem. New Media Soc. 2019, 21, 2386–2403. [Google Scholar] [CrossRef]
- Kim, J.; Lee, J.-E.R. The Facebook paths to happiness: Effects of the number of Facebook friends and self-presentation on subjective well-being. Cyberpsychol. Behav. Soc. Netw. 2011, 14, 359–364. [Google Scholar] [CrossRef]
- Hollenbaugh, E.E. Self-presentation in social media: Review and research opportunities. Rev. Commun. Res. 2021, 9, 80–98. [Google Scholar]
- Taber, L.; Whittaker, S. “On Finsta, I can say ‘Hail Satan’”: Being Authentic but Disagreeable on Instagram. In Proceedings of the 2020 CHI Conference on Human Factors in Computing Systems, Honolulu, HI, USA, 25–30 April 2020; pp. 1–14. [Google Scholar]
- Choi, S.; Williams, D.; Kim, H. A snap of your true self: How self-presentation and temporal affordance influence self-concept on social media. New Media Soc. 2020, 1461444820977199. [Google Scholar] [CrossRef]
- Knudsen, A.K.; Hotopf, M.; Skogen, J.C.; Øverland, S.; Mykletun, A. The health status of nonparticipants in a population-based health study: The Hordaland Health Study. Am. J. Epidemiol. 2010, 172, 1306–1314. [Google Scholar] [CrossRef]
- Statistics Norway. Nøkkeltall fra 2020 [Key Figures from 2020]; Statistics Norway: Oslo, Norway, 2022. [Google Scholar]
- Kolesnyk, D.; de Jong, M.G.; Pieters, R. Gender Gaps in Deceptive Self-Presentation on Social-Media Platforms Vary with Gender Equality: A Multinational Investigation. Psychol. Sci. 2021, 32, 1952–1964. [Google Scholar] [CrossRef]
- Hawes, T.; Zimmer-Gembeck, M.J.; Campbell, S.M. Unique associations of social media use and online appearance preoccupation with depression, anxiety, and appearance rejection sensitivity. Body Image 2020, 33, 66–76. [Google Scholar] [CrossRef]
- McLean, S.A.; Paxton, S.J.; Wertheim, E.H.; Masters, J. Photoshopping the selfie: Self photo editing and photo investment are associated with body dissatisfaction in adolescent girls. Int. J. Eat. Disord. 2015, 48, 1132–1140. [Google Scholar] [CrossRef]
- Maheux, A.J.; Roberts, S.R.; Nesi, J.; Widman, L.; Choukas-Bradley, S. Longitudinal associations between appearance-related social media consciousness and adolescents’ depressive symptoms. J. Adolesc. 2022, 94, 264–269. [Google Scholar] [CrossRef]
Publisher’s Note: MDPI stays neutral with regard to jurisdictional claims in published maps and institutional affiliations. |
© 2022 by the authors. Licensee MDPI, Basel, Switzerland. This article is an open access article distributed under the terms and conditions of the Creative Commons Attribution (CC BY) license (https://creativecommons.org/licenses/by/4.0/).





