The Ancient Town Residential Environment of the Elderly in Xiangxi Tujia: Survey, Questions, and Recommendations
Abstract
:1. Introduction
2. Methodology
2.1. Study Area
2.2. Study Object
2.3. Survey
2.3.1. Behavioral Observation
2.3.2. Interviews
- (1)
- Physiological characteristics
- (2)
- Psychological characteristics
- (3)
- Interviews of the residential environment
2.3.3. Questionnaire Surveys
2.4. Field Measurements
3. Result and Discussion
3.1. Behavioral Observation Result
3.2. Interviews Results
3.2.1. Physiological Characteristics Interviews Results
3.2.2. Psychological Characteristics Survey Results
3.2.3. Interviews of Residential Environment Results
3.3. Questionnaire Surveys Results
3.4. Field Measurements Result
3.4.1. CO2
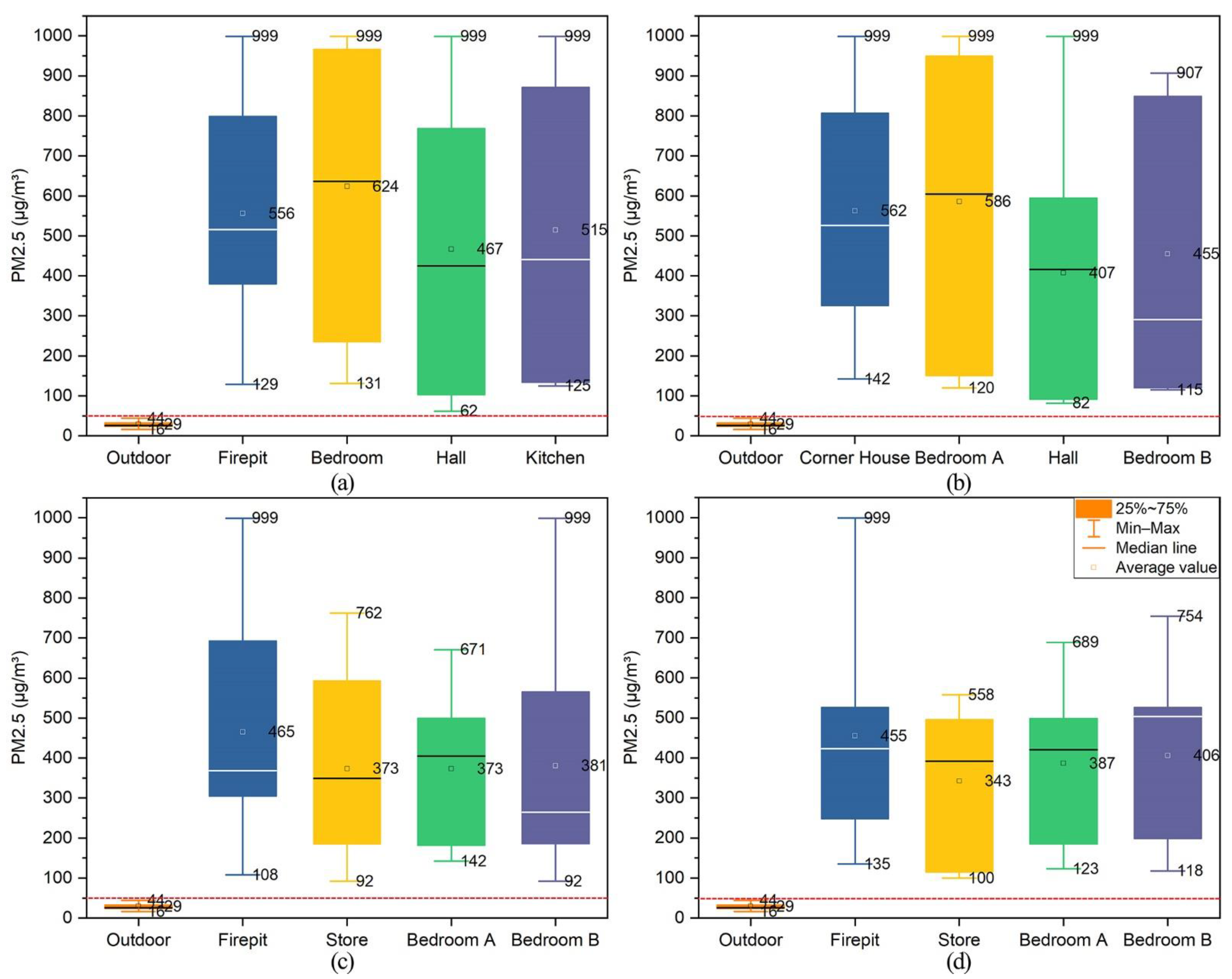
3.4.2. PM2.5
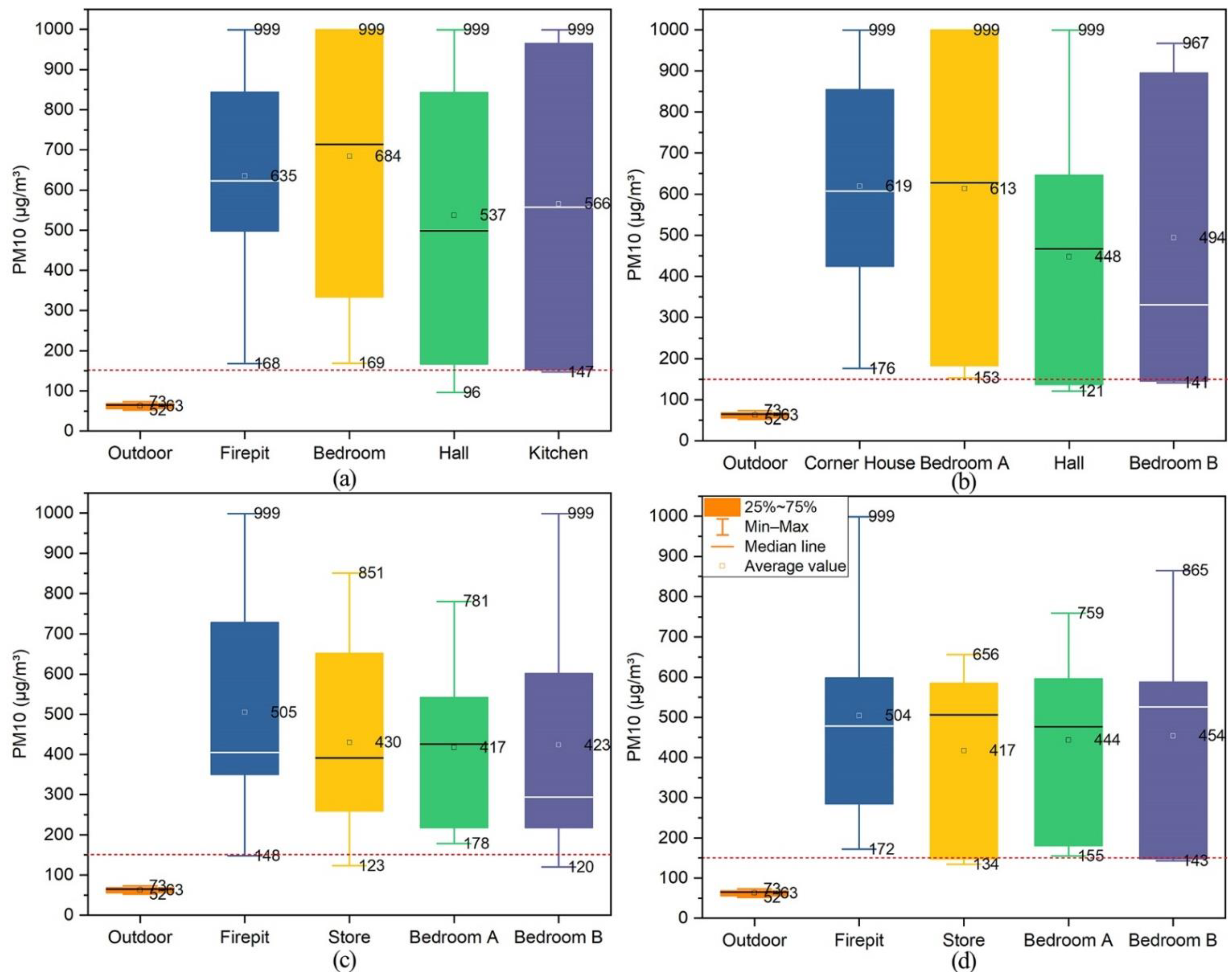
3.4.3. PM10
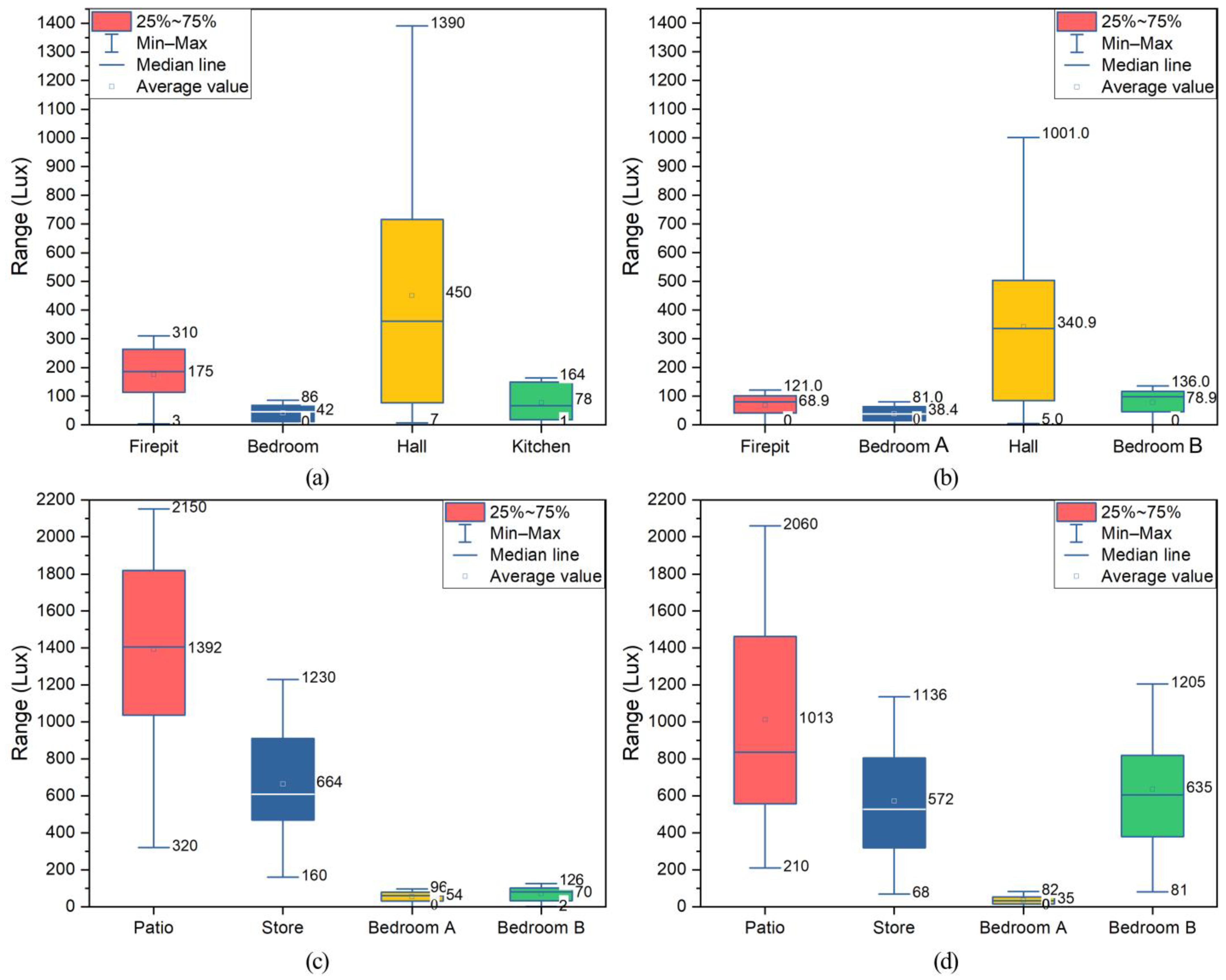
3.4.4. Light Intensity
4. Problems and Recommendations
4.1. The Elderly in the Old Towns Have Multiple Needs
- (1)
- Indoor lighting environment: A good lighting environment can guarantee the elderly’s light requirements and the safety and convenience of various behavioral habits. The research found that the natural lighting environment in ancient towns is poor, and the artificial lighting environment is inconvenient due to economic reasons.
- (2)
- Indoor air quality: The elderly are not sensitive to air pollution, but due to their aging organs, long exposure to highly polluted air can threaten their health.
- (3)
- Residential safety: For indoor stairs, floors, furniture, bathrooms, and other spaces, there is no barrier-free design. The dangers of accidental situations easily threaten the elderly due to their declining physical functions.
- (4)
- Socialization: The elderly in ancient towns are often indoors for a long time when they cannot farm or socialize over long distances. The lack of children’s company also accentuated the strong social needs of the elderly.
- (5)
- Privacy: The elderly often need external help in their lives. The design and construction of traditional Tujia houses do not consider their privacy.
- (6)
- Cultural identity: Several traditional dwellings of the Tujia family have aging problems. Cracking and breakage of traditional architectural wooden components also occurs. The decaying familiar environment of the elderly increases their sense of loneliness and reduces their sense of cultural identity.
4.2. Ancient Town Residences Lack Elderly-Friendly Design
- Floor plan function:
- Lighting environment:
- Indoor air quality:
5. Conclusions
- Behavioral observations showed that the elderly’s daily life in the ancient town included resting, communicating, cooking, farming, fitness, and recreation, involving all functional rooms. The resting and toileting behaviors, farming behaviors, cooking activities, fitness and recreation, and communication activities of the elderly in traditional three-room dwellings accounted for 42%, 23%, 14.5%, 12.5%, and 8% of the elderly’s daily life, respectively. The farming and selling activities, cooking activities, communication activities, and fitness and recreation activities of the elderly in storehouse dwellings accounted for 29.58%, 13.3%, 12.08%, and 7.14% of the elderly’s daily activities, respectively.
- The interview results indicated that the elderly in the ancient town have varying degrees of shoulder and knee joint damage in terms of physiological characteristics and must use crutches to get around. Furthermore, the elderly are less sensitive to indoor air pollution. In terms of psychological traits, the elderly exhibit a strong sense of frustration and loneliness. More than 70% of the elderly believe that the living environment of the hall, bedroom, bathroom, fire pit, and patio has an impact on healthy living; 45% believe that the safety and convenience of their living environment should be improved. While improving the existing living environment, seniors are also concerned about the cost and preservation of traditional elements.
- The results of the questionnaire indicated that 68%, 76%, and 53% of the elderly believe that the threshold, gutter, and stalls on both sides of the entrance have an impact on their daily lives. More than 80% of the elderly were displeased with the indoor sound environment, and more than 70% were displeased with the residence’s traffic. More than 85% of the seniors think that traditional wooden components and space are the sources of cultural identity that the traditional dwellings provide them. The results of the questionnaire match those of the interviews. It should be mentioned that seniors are more concerned with the convenience and safety of the entrance, hall, bedroom, and other areas of frequent daily activities.
- The monitoring results showed that the indoor average CO2 concentration and average PM2.5 concentration and average PM10 concentration, and natural light intensity during the fire activities do not meet the Chinese standard values. The average CO2 concentration in more than half of the rooms exceeded 1000 ppm, and the average indoor PM2.5 concentration was 350–600 µg/m3, about 4.7–8 times the Chinese standard. The average PM10 concentration exceeded 400 µg/m3, which was roughly 3 times the Chinese standard value. Long-term exposure to highly polluted indoor environments puts the elderly at risk of disease. Effective mitigation strategies are urgently required for the elderly’s indoor air environment in the Xiangxi ancient towns.
- Recommendations for the living environment improvement are proposed to respond to the multiple needs of the elderly and problems of the living environment in the ancient town. This study can provide practical information to systematically improve the living environment of the elderly in ancient towns. It also includes the design of needs-based targeting and a reference to evaluate other types of residential environments for the elderly.
Author Contributions
Funding
Institutional Review Board Statement
Informed Consent Statement
Data Availability Statement
Acknowledgments
Conflicts of Interest
Appendix A
| Instrument | Parameter | Accuracy | Measuring Range | Resolution |
|---|---|---|---|---|
| AZ-77597 Carbon dioxide analyzer | CO2 | ±30 ppm or ±5% (0~5000 ppm) | 0~10,000 ppm | 1 ppm |
| BR-SMART128S Air quality instrument | PM2.5, PM10 | ±20 µg/m3 | 0~999 µg/m3 | 1 µg/m3 |
| Kurzanleitung testo 540 | Light intensity | ±3 Lux | 0~99,999 Lux | 1 Lux |
| Pollutant | CO2 | PM2.5 | PM10 |
|---|---|---|---|
| Average value standard | 1000 ppm | 50 µg/m3 | 150 µg/m3 |
| Room | Bedroom | Hall | Kitchen | Living Room |
|---|---|---|---|---|
| General Activities | 100 lux | 60 lux | 150 lux | 150 lux |
| Fine Activities | 200 lux | 75 lux | 200 lux | 300 lux |




References
- Li, C.; Zhou, Y. Residential environment and depressive symptoms among Chinese middle- and old-aged adults: A longitudinal population-based study. Health Place 2020, 66, 102463. [Google Scholar] [CrossRef] [PubMed]
- Yadesa, T.M.; Kitutu, F.E.; Deyno, S.; Ogwang, P.E.; Tamukong, R.; Alele, P.E. Prevalence, characteristics and predicting risk factors of adverse drug reactions among hospitalized older adults: A systematic review and meta-analysis. SAGE Open Med. 2021, 9, 20503121211039099. [Google Scholar] [CrossRef] [PubMed]
- National Bureau of Statistics of China. Bulletin of the Seventh National Census. Available online: http://www.stats.gov.cn/ztjc/zdtjgz/zgrkpc/dqcrkpc/ (accessed on 14 July 2022).
- Kubzansky, L.D.; Subramanian, S.V.; Kawachi, I.; Fay, M.E.; Soobader, M.-J.; Berkman, L.F. Neighborhood Contextual Influences on Depressive Symptoms in the Elderly. Am. J. Epidemiol. 2005, 162, 253–260. [Google Scholar] [CrossRef] [PubMed]
- El Chakhtoura, N.G.; Bonomo, R.A.; Jump, R.L. Influence of aging and environment on presentation of infection in older adults. Infect. Dis. Clin. 2017, 31, 593–608. [Google Scholar] [CrossRef]
- Moses, L.; Morrissey, K.; Sharpe, R.A.; Taylor, T. Exposure to Indoor Mouldy Odour Increases the Risk of Asthma in Older Adults Living in Social Housing. Int. J. Environ. Res. Public Health 2019, 16, 2600. [Google Scholar] [CrossRef]
- Lee, D.-H.; Lind, P.M.; Jacobs, D.R.; Salihovic, S.; van Bavel, B.; Lind, L. Background exposure to persistent organic pollutants predicts stroke in the elderly. Environ. Int. 2012, 47, 115–120. [Google Scholar] [CrossRef]
- Manivannan, S.P.; Gunasekaran, D.L.; Jaganathan, G.; Natesan, S.; Muthusamy, S.M.; Kim, S.C.; Kumar, B.; Poongavanam, G.K.; Duraisamy, S. Energy and environmental analysis of a solar evacuated tube heat pipe integrated thermoelectric generator using IoT. Environ. Sci. Pollut. Res. 2022, 29, 57835–57850. [Google Scholar] [CrossRef]
- Kuppusamy, P.P.; Bhatia, A.; Verma, A.; Shah, N.R.; Pratyush, P.; Shanmugarajan, V.; Kim, S.C.; Poongavanam, G.; Duraisamy, S. Accumulation of biomedical waste during the COVID-19 pandemic: Concerns and strategies for effective treatment. Environ. Sci. Pollut. Res. 2022, 29, 55528–55540. [Google Scholar] [CrossRef]
- Prabakaran, R.; Sivalingam, V.; Kim, S.C.; Ganesh Kumar, P.; Praveen Kumar, G. Future refrigerants with low global warming potential for residential air conditioning system: A thermodynamic analysis and MCDM tool optimization. Environ. Sci. Pollut. Res. 2022. [Google Scholar] [CrossRef]
- Thakur, A.K.; Sathyamurthy, R.; Ramalingam, V.; Lynch, I.; Sharshir, S.W.; Ma, Z.; Poongavanam, G.; Lee, S.; Jeong, Y.; Hwang, J.-Y. A case study of SARS-CoV-2 transmission behavior in a severely air-polluted city (Delhi, India) and the potential usage of graphene based materials for filtering air-pollutants and controlling/monitoring the COVID-19 pandemic. Environ. Sci. Processes Impacts 2021, 23, 923–946. [Google Scholar] [CrossRef]
- Wang, Z.; Cao, B.; Lin, B.; Zhu, Y. Investigation of thermal comfort and behavioral adjustments of older people in residential environments in Beijing. Energy Build. 2020, 217, 110001. [Google Scholar] [CrossRef]
- Tejedor, B.; Casals, M.; Gangolells, M.; Macarulla, M.; Forcada, N. Human comfort modelling for elderly people by infrared thermography: Evaluating the thermoregulation system responses in an indoor environment during winter. Build. Environ. 2020, 186, 107354. [Google Scholar] [CrossRef]
- Mulliner, E.; Riley, M.; Maliene, V. Older People’s Preferences for Housing and Environment Characteristics. Sustainability 2020, 12, 5723. [Google Scholar] [CrossRef]
- Xia, L.; Lan, L.; Tang, J.; Wan, Y.; Lin, Y.; Wang, Z. Bed heating improves the sleep quality and health of the elderly who adapted to no heating in a cold environment. Energy Build. 2020, 210, 109687. [Google Scholar] [CrossRef]
- Serrano-Jiménez, A.; Lizana, J.; Molina-Huelva, M.; Barrios-Padura, Á. Indoor environmental quality in social housing with elderly occupants in Spain: Measurement results and retrofit opportunities. J. Build. Eng. 2020, 30, 101264. [Google Scholar] [CrossRef]
- Lee, K.; Jeong, G.-C.; Yim, J. Consideration of the Psychological and Mental Health of the Elderly during COVID-19: A Theoretical Review. Int. J. Environ. Res. Public Health 2020, 17, 8098. [Google Scholar] [CrossRef] [PubMed]
- Gardner, W.; States, D.; Bagley, N. The Coronavirus and the Risks to the Elderly in Long-Term Care. J. Aging Soc. Policy 2020, 32, 310–315. [Google Scholar] [CrossRef] [PubMed]
- Yuxi, L.; Ingviya, T.; Sangthong, R.; Wan, C. Determinants of subjective well-being among migrant and local elderly in China: A cross-sectional study. BMJ Open 2022, 12, e060628. [Google Scholar] [CrossRef]
- Zheng, W.; Shao, T.; Lin, Y.; Wang, Y.; Dong, C.; Liu, J. A field study on seasonal adaptive thermal comfort of the elderly in nursing homes in Xi’an, China. Build. Environ. 2022, 208, 108623. [Google Scholar] [CrossRef]
- Baquero, M.T.; Forcada, N. Thermal comfort of older people during summer in the continental Mediterranean climate. J. Build. Eng. 2022, 54, 104680. [Google Scholar] [CrossRef]
- Abdel-Salam, M.M.M. Indoor exposure of elderly to air pollutants in residential buildings in Alexandria, Egypt. Build. Environ. 2022, 219, 109221. [Google Scholar] [CrossRef]
- Naghibi, M.; Faizi, M. Temporary reuse in leftover spaces through the preferences of the elderly. Cities 2022, 127, 103769. [Google Scholar] [CrossRef]
- Wang, S.; Yung, E.H.K.; Sun, Y. Effects of open space accessibility and quality on older adults’ visit: Planning towards equal right to the city. Cities 2022, 125, 103611. [Google Scholar] [CrossRef]
- Zang, P.; Lu, Y.; Ma, J.; Xie, B.; Wang, R.; Liu, Y. Disentangling residential self-selection from impacts of built environment characteristics on travel behaviors for older adults. Soc. Sci. Med. 2019, 238, 112515. [Google Scholar] [CrossRef]
- Thaithatkul, P.; Chalermpong, S.; Laosinwattana, W.; Kato, H. Mobility, Activities, and happiness in old Age: Case of the elderly in Bangkok. Case Stud. Transp. Policy 2022, 10, 1462–1471. [Google Scholar] [CrossRef]
- Hu, X. Environmental sustainability and the residential environment of the elderly: A literature review. Build. Environ. 2021, 206, 108337. [Google Scholar] [CrossRef]
- Sun, S.; Sarkar, C.; Kumari, S.; James, P.; Cao, W.; Lee, R.S.; Tian, L.; Webster, C. Air pollution associated respiratory mortality risk alleviated by residential greenness in the Chinese Elderly Health Service Cohort. Environ. Res. 2020, 183, 109139. [Google Scholar] [CrossRef]
- Marois, G.; Lord, S.; Morency, C. A mixed logit model analysis of residential choices of the young-elderly in the Montreal metropolitan area. J. Hous. Econ. 2019, 44, 141–149. [Google Scholar] [CrossRef]
- Navarro, J.; Vidaña-Vila, E.; Alsina-Pagès, R.M.; Hervás, M. Real-Time Distributed Architecture for Remote Acoustic Elderly Monitoring in Residential-Scale Ambient Assisted Living Scenarios. Sensors 2018, 18, 2492. [Google Scholar] [CrossRef]
- Zhou, K.; Tan, J.; Watanabe, K. How does perceived residential environment quality influence life satisfaction? Evidence from urban China. J. Community Psychol. 2021, 49, 2454–2471. [Google Scholar] [CrossRef]
- Wang, X.; Shi, R.; Niu, F. Optimization of furniture configuration for residential living room spaces in quality elderly care communities in Macao. Front. Archit. Res. 2022, 11, 357–373. [Google Scholar] [CrossRef]
- Mares, A.S.; Young, A.S.; McGuire, J.F.; Rosenheck, R.A. Residential Environment and Quality of Life Among Seriously Mentally Ill Residents of Board and Care Homes. Community Ment. Health J. 2002, 38, 447–458. [Google Scholar] [CrossRef] [PubMed]
- Zhang, F.; Shi, L.; Liu, S.; Shi, J.; Cheng, M. Indoor Air Quality in Tujia Dwellings in Hunan, China: Field Tests, Numerical Simulations, and Mitigation Strategies. Int. J. Environ. Res. Public Health 2022, 19, 8396. [Google Scholar] [CrossRef] [PubMed]
- Xiang, H.; Yang, Q.-Y.; Su, K.-c.; Zhang, Z.-X. Spatiotemporal Dynamics and Obstacles of the Multi-Functionality of Land Use in Xiangxi, China. Appl. Sci. 2019, 9, 3649. [Google Scholar] [CrossRef]
- Jiang, R.; Zheng, Z.; Jia, L. Distribution characteristics of provincial traditional villages and their reasons. J. Landsc. Res. 2018, 10, 37–41. [Google Scholar]
- State Administration of Cultural Heritage of China. Protection of ancient cities in Hunan Province. Available online: http://www.ncha.gov.cn/art/2014/1/17/art_1003_40364.html (accessed on 14 July 2022).
- Su, L. Western Hunan Houses; China Construction Industry Press: Beijing, China, 2008; pp. 61–95. (In Chinese) [Google Scholar]
- Zhang, Y.; Chen, G.; He, Y.; Jiang, X.; Xue, C. Social Interaction in Public Spaces and Well-Being among Elderly Women: Towards Age-Friendly Urban Environments. Int. J. Environ. Res. Public Health 2022, 19, 746. [Google Scholar] [CrossRef]
- Zhong, W.; Suo, J.; Ren, X.; Li, G. The Influence of Emotional Health on the Activity Characteristics of the Elderly and the Selection of Environmental Quality Factors in Residential Areas. Int. J. Environ. Res. Public Health 2021, 18, 2618. [Google Scholar] [CrossRef]
- Ribeiro, F.; Oliveira, J. Aging effects on joint proprioception: The role of physical activity in proprioception preservation. Eur. Rev. Aging Phys. Act. 2007, 4, 71–76. [Google Scholar] [CrossRef]
- Qiong, W. Planning Design of Nursing Homes Based on the Physiological and Psychological Characteristics and Demands of the Elderly; Southeastern University, Jiangsu Province: Nanjing, China, 2018. [Google Scholar]
- Zhang, H.; Wang, Y.; Wu, D.; Chen, J. Evolutionary Path of Factors Influencing Life Satisfaction among Chinese Elderly: A Perspective of Data Visualization. Data 2018, 3, 35. [Google Scholar] [CrossRef]
- Ao, C.-K.; Dong, Y.; Kuo, P.-F. Industrialization, indoor and ambient air quality, and elderly mental health. China Econ. Rev. 2021, 69, 101676. [Google Scholar] [CrossRef]
- Liao, C.; Akimoto, M.; Bivolarova, M.P.; Sekhar, C.; Laverge, J.; Fan, X.; Lan, L.; Wargocki, P. A survey of bedroom ventilation types and the subjective sleep quality associated with them in Danish housing. Sci. Total Environ. 2021, 798, 149209. [Google Scholar] [CrossRef]
- Hong, T. A close look at the China Design Standard for Energy Efficiency of Public Buildings. Energy Build. 2009, 41, 426–435. [Google Scholar] [CrossRef]
- JGJ/T 177; Standard for Energy Efficiency Test of Public Buildings. Ministry of Housing and Urban-Rural Development of the People’s Republic of China; China Construction Industry Press: Beijing, China, 2009. (In Chinese)
- Zhang, S.-C.; Wang, H.; Liu, Z.; Zeng, S.; Jin, Y.; Baležentis, T. A Comprehensive Evaluation of the Community Environment Adaptability for Elderly People Based on the Improved TOPSIS. Information 2019, 10, 389. [Google Scholar] [CrossRef] [Green Version]
- Ministry of Housing and Urban-Rural Development of the People’s Republic of China. Ministry of Housing, Urban and Rural Construction “Announcement on Publishing National Standard ‘Code for Design of Residential Buildings for the Elderly’”. Available online: https://www.mohurd.gov.cn/gongkai/fdzdgknr/tzgg/201702/20170227_231094.html (accessed on 14 July 2022).














| Basic Features | Comment | Question |
|---|---|---|
| Physical Condition | Body disease | Cervical spondylosis, lumbar spondylosis, knee arthropathy, shoulder joint disease, other diseases, no such disease |
| Ability to act | Walking freely, crutches, wheelchair, mobility aid | |
| Exercise | 5 min, 15 min, half an hour, over an hour | |
| Daily work | Farming, work, household chores, caring for grandchildren, selling | |
| Sensory ability | Hearing | Severe hearing loss, affecting life, severe loss, not affecting life, no significant |
| Smell | Difficult to distinguish gas, significant recession, able to distinguish odors, no significant | |
| Sight | Seeing things blurry, seeing colors blurred, easy eye fatigue, discomfort with variations in light and darkness | |
| Tactile | Thermosensory recession, tactile recession, piezosensory recession, nociceptive recession | |
| Psychological characteristics | Security | Very lonely, a little lonely, not lonely at all |
| Loneliness | Extremely lacking, normal, very good | |
| Belongingness | Yes, no, not sure | |
| Negative frustration | Becoming a burden to children, physical condition, respect from others, having nothing to do, other |
| Functional Space | Question |
|---|---|
| Entrance gate | Safety, convenience, satisfaction, size |
| Hall | Light environment, floor plan, functional rationality, satisfaction |
| Store | Furniture, functional rationality, environment, size, decoration |
| Traffic space | Safety and convenience of stairs and corridors |
| Bedroom | Sound environment, light environment, furniture, plumbing, and electrical facilities, functional layout, indoor traffic, decoration |
| Storage room | Location, size, convenience, security, furniture |
| Toilet | Location, decoration, equipment, environment |
| Fire pit | Safety, pollution situation, functional rationality |
| Patio | Water tanks, equipment, communication spaces, storage spaces |
| Num | Comment | Question |
|---|---|---|
| 1 | Quality of life | Bathing space, storage space, companion space, medical space, activity space, entertainment space, sacrificial space |
| 2 | Cultural identity | Traditional structure, fire pit, sacrificial space, patio, fun space |
| 3 | Social respect | Private bedroom and bathroom, cook on your own, vending activities, neighborhood communication, suitable furniture. |
| 4 | Impact of entrance on daily life | Availability of door thresholds for accessibility, availability of gutters for traffic, size of the entrance buffer space, door opening difficulty, levelness of the floor |
| 5 | Impact of the hall on daily life | Dimension, ground, equipment, plan layout, storage space |
| 6 | Hall satisfaction | Light environment, wind environment, thermal environment, acoustic environment, air quality |
| 7 | Stores satisfaction | Recognition of signs, reasonableness of plan layout, openness of view, length of traffic flow lines, ease of operation of equipment |
| 8 | Impact of traffic space on daily activities | Dimension of traffic space, the material of stairs, illumination of the traffic space, height and position of handrails, complexity of traffic flow |
| 9 | Impact of traffic space on daily activities | Layout, hygiene, ease of operation of household appliances, availability of auxiliary facilities, opening or not of windows |
| 10 | Bedroom environment | Light environment, thermal environment, wind environment, sound environment, air quality |
| 11 | Toilet | Traffic flow, materials, with or without barrier-free design, odor, privacy |
| 12 | Fire pit | Light environment, wind environment, thermal environment, sound environment, thermal insulation performance, air quality |
| Residence Type | Construction Time | Building Material | Living Conditions |
|---|---|---|---|
| Zuozi dwelling | 1980s | Wood, green tiles | 2 seniors |
| L-shaped dwelling | 1980s | Wood, green tiles | 2 seniors, 1 child |
| lower store and upper house dwelling | 1980s | Wood, green tiles | 2 seniors, 2 children |
| front store and back house dwelling | 1980s | Wood, green tiles | 2 seniors, 2 children |
Publisher’s Note: MDPI stays neutral with regard to jurisdictional claims in published maps and institutional affiliations. |
© 2022 by the authors. Licensee MDPI, Basel, Switzerland. This article is an open access article distributed under the terms and conditions of the Creative Commons Attribution (CC BY) license (https://creativecommons.org/licenses/by/4.0/).
Share and Cite
Zhang, F.; Shi, L.; Liu, S.; Shi, J.; Cheng, M.; Xiang, T. The Ancient Town Residential Environment of the Elderly in Xiangxi Tujia: Survey, Questions, and Recommendations. Int. J. Environ. Res. Public Health 2022, 19, 10820. https://doi.org/10.3390/ijerph191710820
Zhang F, Shi L, Liu S, Shi J, Cheng M, Xiang T. The Ancient Town Residential Environment of the Elderly in Xiangxi Tujia: Survey, Questions, and Recommendations. International Journal of Environmental Research and Public Health. 2022; 19(17):10820. https://doi.org/10.3390/ijerph191710820
Chicago/Turabian StyleZhang, Fupeng, Lei Shi, Simian Liu, Jiaqi Shi, Mengfei Cheng, and Tansheng Xiang. 2022. "The Ancient Town Residential Environment of the Elderly in Xiangxi Tujia: Survey, Questions, and Recommendations" International Journal of Environmental Research and Public Health 19, no. 17: 10820. https://doi.org/10.3390/ijerph191710820
APA StyleZhang, F., Shi, L., Liu, S., Shi, J., Cheng, M., & Xiang, T. (2022). The Ancient Town Residential Environment of the Elderly in Xiangxi Tujia: Survey, Questions, and Recommendations. International Journal of Environmental Research and Public Health, 19(17), 10820. https://doi.org/10.3390/ijerph191710820

