Development and Psychometric Properties of a New Patient-Reported Outcome Instrument of Health-Related Quality of Life Specific to Patients with Gambling Disorder: The Gambling Quality of Life Scale (GQoLS)
Abstract
:1. Introduction
2. Methods
2.1. Development of the Hypothetical Framework of GQoLS
2.1.1. Development of the Draft of GQoLS
2.1.2. Generation of Items of the GQoLS
2.1.3. Expert Review
2.1.4. Cognitive Debriefing Interviews
2.2. Psychometric Properties of GQoLS
2.2.1. Subjects and Setting
2.2.2. Measures
2.2.3. Statistical Analysis
Distribution and Quality of GQoLS Items
Validity
- Structural Validity
- Construct Validity and Hypothesis Testing
Internal Consistency
Item–Dimension Correlation
2.3. Development of a Brief Version of GQoLS
Ethics
3. Results
3.1. Patient Sample
3.1.1. GQoLS Score Distribution
Validity
- Structural Validity
- Construct Validity
- Internal Consistency
- Item–dimension correlations
3.1.2. GQoLS-Bref
4. Discussion
5. Conclusions
Supplementary Materials
Author Contributions
Funding
Institutional Review Board Statement
Informed Consent Statement
Data Availability Statement
Acknowledgments
Conflicts of Interest
References
- Browne, M.; Langham, E.; Rawat, V.; Greer, N.; Li, E.; Rose, J.; Rockloff, M.; Donaldson, P.; Thorne, H.; Goodwin, B.; et al. Assessing Gambling-Related Harm in Victoria: A Public Health Perspective; Victorian Responsible Gambling Foundation: North Melbourne, Australia, 2016. Available online: https://www.responsiblegambling.vic.gov.au/information-and-resources/research/recent-research/assessing-gambling-related-harm-in-victoria-a-public-health-perspective (accessed on 25 May 2017).
- Langham, E.; Thorne, H.; Browne, M.; Donaldson, P.; Rose, J.; Rockloff, M. Understanding gambling related harm: A proposed definition, conceptual framework, and taxonomy of harms. BMC Public Health 2015, 16, 80. [Google Scholar] [CrossRef] [PubMed]
- Carr, A.J.; Gibson, B.; Robinson, P.G. Measuring quality of life: Is quality of life determined by expectations or experience? BMJ 2001, 322, 1240–1243. [Google Scholar] [CrossRef] [PubMed]
- Aubin, H.-J.; Luquiens, A. Patient preferences and perspectives regarding reducing alcohol consumption: Role of nalmefene. Patient Prefer. Adherence 2014, 8, 1347–1352. [Google Scholar] [CrossRef] [PubMed]
- Laudet, A.B. The Case for Considering Quality of Life in Addiction Research and Clinical Practice. Addict. Sci. Clin. Pract. 2011, 6, 44–55. [Google Scholar] [PubMed]
- Laudet, A.B.; Becker, J.B.; White, W.L. Don’t Wanna Go Through That Madness No More: Quality of Life Satisfaction as Predictor of Sustained Remission from Illicit Drug Misuse. Subst. Use Misuse 2009, 44, 227–252. [Google Scholar] [CrossRef]
- Pickering, D.; Keen, B.; Entwistle, G.; Blaszczynski, A. Measuring treatment outcomes in gambling disorders: A systematic review. Addiction 2017, 113, 411–426. [Google Scholar] [CrossRef]
- Bruneau, M.; Grall-Bronnec, M.; Vénisse, J.-L.; Romo, L.; Valleur, M.; Magalon, D.; Fatséas, M.; Chéreau-Boudet, I.; Luquiens, A.; Challet-Bouju, G.; et al. Gambling transitions among adult gamblers: A multi-state model using a Markovian approach applied to the JEU cohort. Addict. Behav. 2016, 57, 13–20. [Google Scholar] [CrossRef]
- LaPlante, D.A.; Nelson, S.E.; LaBrie, R.A.; Shaffer, H.J. Stability and Progression of Disordered Gambling: Lessons from Longitudinal Studies. Can. J. Psychiatry 2008, 53, 52–60. [Google Scholar] [CrossRef]
- Slutske, W.S.; Jackson, K.M.; Sher, K.J. The natural history of problem gambling from age 18 to 29. J. Abnorm. Psychol. 2003, 112, 263–274. [Google Scholar] [CrossRef]
- Walker, M.; Toneatto, T.; Potenza, M.N.; Petry, N.; Ladouceur, R.; Hodgins, D.C.; El-Guebaly, N.; Echeburúa, E.; Blaszczynski, A. A framework for reporting outcomes in problem gambling treatment research: The Banff, Alberta Consensus. Addiction 2006, 101, 504–511. [Google Scholar] [CrossRef]
- Szabo, S.; WHOQOL Group. The World Health Organization Quality of Life (WHOQOL) assessment instrument. Qual. Life Pharm. Clin. Trials 1996, 1996, 355–362. [Google Scholar]
- Leplège, A. Les Mesures de la Qualité de Vie; Presses Universitaires de France: Paris, France, 1999. [Google Scholar]
- Bonfils, N.A.; Aubin, H.-J.; Benyamina, A.; Limosin, F.; Luquiens, A. Quality of life instruments used in problem gambling studies: A systematic review and a meta-analysis. Neurosci. Biobehav. Rev. 2019, 104, 58–72. [Google Scholar] [CrossRef] [PubMed]
- Luquiens, A.; Whalley, D.; Crawford, S.R.; Laramée, P.; Doward, L.; Price, M.; Hawken, N.; Dorey, J.; Owens, L.; Llorca, P.M.; et al. Development of the Alcohol Quality of Life Scale (AQoLS): A new patient-reported outcome measure to assess health-related quality of life in alcohol use disorder. Qual. Life Res. 2015, 24, 1471–1481. [Google Scholar] [CrossRef] [PubMed]
- Brogly, S.; Mercier, C.; Bruneau, J.; Palepu, A.; Franco, E. Towards more effective public health programming for injection drug users: Development and evaluation of the injection drug user quality of life scale. Subst. Use Misuse 2003, 38, 965–992. [Google Scholar] [CrossRef] [PubMed]
- Bonfils, N.A.; Grall-Bronnec, M.; Caillon, J.; Limosin, F.; Benyamina, A.; Aubin, H.-J.; Luquiens, A. Giving room to subjectivity in understanding and assessing problem gambling: A patient-centered approach focused on quality of life. J. Behav. Addict. 2019, 8, 103–113. [Google Scholar] [CrossRef]
- Terwee, C.B.; Bot, S.D.M.; de Boer, M.R.; van der Windt, D.A.W.M.; Knol, D.L.; Dekker, J.; Bouter, L.M.; de Vet, H.C.W. Quality criteria were proposed for measurement properties of health status questionnaires. J. Clin. Epidemiol. 2007, 60, 34–42. [Google Scholar] [CrossRef]
- McHorney, C.A.; Tarlov, A.R. Individual-patient monitoring in clinical practice: Are available health status surveys adequate? Qual. Life Res. 1995, 4, 293–307. [Google Scholar] [CrossRef]
- Henry, C.; M’Bailara, K.; Mathieu, F.; Poinsot, R.; Falissard, B. Construction and validation of a dimensional scale exploring mood disorders: MAThyS (Multidimensional Assessment of Thymic States). BMC Psychiatry 2008, 8, 82. [Google Scholar] [CrossRef] [PubMed]
- Kaiser, H.; Rice, J. Little Jiffy, Mark IV. In Educational and Psychological Meaurement; SAGE Publications: Thousand Oaks, CA, USA, 1974; Volume 34, pp. 111–117. Available online: https://journals.sagepub.com/doi/10.1177/001316447403400115 (accessed on 25 May 2017).
- Horn, J.L. A rationale and test for the number of factors in factor analysis. Psychometrika 1965, 30, 179–185. [Google Scholar] [CrossRef]
- Von Hammerstein, C.; Cornil, A.; Rothen, S.; Romo, L.; Khazaal, Y.; Benyamina, A.; Billieux, J.; Luquiens, A. Psychometric properties of the transaddiction craving triggers questionnaire in alcohol use disorder. Int. J. Methods Psychiatr. Res. 2020, 29, e1815. [Google Scholar] [CrossRef]
- Widaman, K.F.; Little, T.D.; Preacher, K.J.; Sawalani, G.M. On creating and using short forms of scales in secondary research. In Secondary Data Analysis: An Introduction for Psychologists; American Psychological Association: Washington, DC, USA, 2011. [Google Scholar] [CrossRef]
- Lindner, P.; Andersson, G.; Ost, L.-G.; Carlbring, P. Validation of the Internet-Administered Quality of Life Inventory (QOLI) in Different Psychiatric Conditions. Cogn. Behav. Ther. 2013, 42, 315–327. [Google Scholar] [CrossRef]
- McHorney, C.A.; Ware, J.E.; Raczek, A.E. The MOS 36-Item Short-Form Health Survey (SF-36): II. Psychometric and clinical tests of validity in measuring physical and mental health constructs. Med. Care 1993, 31, 247–263. [Google Scholar] [CrossRef]
- American Psychiatric Association. Diagnostic and Statistical Manual of Mental Disorders, 5th ed.; American Psychiatric Association: Washington, DC, USA, 2013. [Google Scholar]
- Cacioppo, J.T.; Cacioppo, S.; Boomsma, D.I. Evolutionary mechanisms for loneliness. Cogn. Emot. 2014, 28, 3–21. [Google Scholar] [CrossRef]
- Perlman, D.; Peplau, L. Personal Relationships: 3 Relationships in Disorder; Academic Press: London, UK, 1981; pp. 31–56. [Google Scholar]
- Dyal, S.R.; Valente, T.W. A Systematic Review of Loneliness and Smoking: Small Effects, Big Implications. Subst. Use Misuse 2015, 50, 1697–1716. [Google Scholar] [CrossRef]
- Åkerlind, I.; Hörnquist, J.O. Stability and change in feelings of loneliness: A two-year prospective longitudinal study of advanced alcohol abusers. Scand. J. Psychol. 1989, 30, 102–112. [Google Scholar] [CrossRef]
- Ingram, I.; Kelly, P.J.; Deane, F.P.; Baker, A.L.; Raftery, D.K. Loneliness in Treatment-Seeking Substance-Dependent Populations: Validation of the Social and Emotional Loneliness Scale for Adults–Short Version. J. Dual Diagn. 2018, 14, 211–219. [Google Scholar] [CrossRef]
- Brown, K.L.; Russell, A.M.T. What Can be Done to Reduce the Public Stigma of Gambling Disorder? Lessons from Other Stigmatised Conditions. J. Gambl. Stud. 2020, 36, 23–38. [Google Scholar] [CrossRef]
- Thege, B.K.; Colman, I.; El-Guebaly, N.; Hodgins, D.C.; Patten, S.B.; Schopflocher, D.; Wolfe, J.; Wild, T.C. Social judgments of behavioral versus substance-related addictions: A population-based study. Addict. Behav. 2015, 42, 24–31. [Google Scholar] [CrossRef]
- Evans, L.; Delfabbro, P.H. Motivators for Change and Barriers to Help-Seeking in Australian Problem Gamblers. J. Gambl. Stud. 2005, 21, 133–155. [Google Scholar] [CrossRef]
- Lee, Y.M.; Hyun, M.Y.; Choi, S.; Aquino, E. The Mediating Role of Spirituality on Depression, Alcohol Use Disorder, and Problem Gambling Among Korean College Students: A Multiple-Mediation Analysis. J. Addict. Nurs. 2021, 32, 79–87. [Google Scholar] [CrossRef]
- Grant, J.E.; Odlaug, B.L.; Chamberlain, S.R. Gambling disorder, DSM-5 criteria and symptom severity. Compr. Psychiatry 2017, 75, 1–5. [Google Scholar] [CrossRef] [Green Version]
- Falissard, B. Mesurer la Subjectivité en Santé: Perspective Méthodologique et Statistique; Masson: Paris, France, 2008. [Google Scholar]

| Characteristics | Cognitive Debriefing Interview Sample (n = 11) |
|---|---|
| Age (years) (mean, sd) | 43.6 (11.2) |
| Sex [n (%)] | |
| Male | 9 (82) |
| Female | 2 (18) |
| Relationship status [n (%)] | |
| Married or cohabiting | 8 (73) |
| Single | 3 (27) |
| Children [n (%)] | |
| Yes | 6 (55) |
| No | 5 (45) |
| Employment status [n (%)] | |
| Working | 7 (64) |
| Not working | 4 (36) |
| Financial difficulties [n (%)] | |
| Yes | 7 (64) |
| No | 4 (36) |
| Lifetime CPGI score (mean, sd) | 20.3 (2.5) |
| Previous 12 months CPGI score (mean, sd) | 12.6 (8.3) |
| Age of first gambling experience (years)(mean, sd) | 17.1 (6.9) |
| Age at the beginning of gambling problem (years)(mean, sd) | 30.1 (12.9) |
| Time since the beginning of gambling problem (years) (mean, sd) | 13.5 (10.3) |
| Gambling frequency n (%)] | |
| No gambling session | 6 (55) |
| <3 gambling sessions a week | 1 (9) |
| ≥3 gambling sessions a week | 4 (36) |
| Current gambler [n (%)] | |
| Yes | 6 (55) |
| No | 5 (45) |
| Months since first contact with health services (mean, sd) | 49 (82) |
| Types of gambling [n (%)] | |
| Scratch cards | 5 (45) |
| Lottery | 5 (45) |
| Horse racing betting | 5 (45) |
| Sports betting | 3 (27) |
| Poker (excluding online) | 1 (9) |
| Slot machines | 1 (9) |
| Other casino gambling | 1 (9) |
| Online horse racing betting | 0 |
| Online sports betting | 1 (9) |
| Online poker | 2 (18) |
| Other online gambling | 1 (9) |
| Past substance use disorder (Yes) [n (%)] | |
| Alcohol | 2 (18) |
| Opiate | 0 |
| Cocaine | 1 (9) |
| Cannabis | 2 (18) |
| Sedative | 0 |
| Tobacco | 2 (18) |
| (n = 98) | |
|---|---|
| Sex (n, %) | |
| Female | 21 (21%) |
| Male | 77 (79%) |
| Age (mean, sd) | 43.1 (12.6) |
| Professional activity (n, %) | |
| Employed | 63 (64%) |
| Retired | 8 (8%) |
| Unemployed | 23 (24%) |
| Student | 3 (3%) |
| PGSI (mean, sd) | 15.3 (5.0) |
| Did not seek care (n, %) | 56 (57%) |
| Duration of gambling problem (years) (mean, sd) | 9.5 (7.6) |
| Type of online gambling in the past 12 months (n, %) | |
| Online lottery | 26 (27%) |
| Online scratch cards | 24 (25%) |
| Online horse racing betting | 23 (23%) |
| Online sports betting | 39 (40%) |
| Online poker | 26 (27%) |
| Online slot machines and other online casino gambling | 26 (27%) |
| Other online gambling | 3 (3%) |
| None | 28 (29%) |
| Type of offline gambling in the past twelve months (n, %) | |
| Lottery | 66 (67%) |
| Scratch cards | 73 (75%) |
| Horse racing betting | 43 (44%) |
| Sports betting | 42 (43%) |
| Poker | 13 (13%) |
| Slot machines and other casino gambling | 49 (50%) |
| Other gambling | 0 |
| None | 4 (4%) |
| Online: offline gambling (n, %) | |
| Offline < Online | 44 (45%) |
| Online > Offline | 54 (55%) |
| Total loss in the last 28 days (in euros) | |
| Mean (sd) | 975.6 (1818.5) |
| Min | −3984.0 |
| Max | 9996.0 |
| Time gambled per day (hours) | |
| Mean (sd) | 1.3 (1.5) |
| Min | 0 |
| Max | 5.5 |
| AUDIT-C (mean, sd) | 4.1 (2.5) |
| Female | 3.1 (2.3) |
| Male | 4.3 (2.5) |
| Tobacco (n, %) | |
| No | 55 (56%) |
| Yes | 43 (44%) |
| Current major depressive disorder (MINI) | |
| No | 95 (97%) |
| Yes | 3 (3%) |
| EQ-5D VAS score (mean, sd) | 68.7 (20.5) |
| Item Number | Percentage of Missing Data | Response Option (n (%)) | Mean (SD) | |
|---|---|---|---|---|
| Floor Effect | Ceiling Effect | |||
| Item 1 | 2.0 | 17 (17.0) | 9 (9.2) | 1.34 (0.9) |
| Item 2 | 3.1 | 11 (11.2) | 10 (10.2) | 1.50 (0.8) |
| Item 3 | 2.0 | 22 (22.5) | 6 (6.1) | 1.22 (0.9) |
| Item 4 | 2.0 | 9 (9) | 24 (24.5) | 1.83 (0.9) |
| Item 5 | 3.1 | 29 (29.6) | 7 (7.1) | 1.1 (0.9) |
| Item 6 | 2.1 | 5 (5.1) | 25 (25.5) | 1.9 (0.9) |
| Item 7 | 2.0 | 10 (10.2) | 30 (30.6) | 1.9 (1.0) |
| Item 8 | 3.1 | 4 (4.1) | 39 (39.8) | 2.2 (0.9) |
| Item 9 | 4.1 | 47 (48.0) | 13 (13.3) | 0.9 (1.1) |
| Item 10 | 4.1 | 1 (1.0) | 42 (43.0) | 2.3 (0.7) |
| Item 11 | 4.1 | 12 (12.2) | 25 (25.5) | 1.8 (1.0) |
| Item 12 | 4.1 | 41 (41.2) | 15 (15.3) | 1.1 (1.0) |
| Item 13 | 4.1 | 74 (75.5) | 3 (3.1) | 0.3 (0.7) |
| Item 14 | 4.1 | 0 (0) | 45 (45.6) | 2.4 (0.7) |
| Item 15 | 3.1 | 69 (70.4) | 4 (4.1) | 0.4 (0.8) |
| Item 16 | 4.1 | 15 (15.3) | 32 (32.7) | 1.8 (1.1) |
| Item 17 | 3.1 | 57 (58.2) | 7 (7.1) | 0.7 (1.0) |
| Item 18 | 4.1 | 50 (51.0) | 8 (8.2) | 0.8 (1.0) |
| Item 19 | 3.1 | 9 (9.2) | 15 (15.3) | 1.7 (0.9) |
| Item 20 | 4.1 | 62 (63.3) | 5 (5.1) | 0.5 (0.9) |
| Item 21 | 4.1 | 45 (49.6) | 8 (8.2) | 0.9 (1.0) |
| Item 22 | 4.1 | 14 (14.3) | 15 (15.3) | 1.5 (0.9) |
| Item 23 | 4.1 | 38 (38.8) | 9 (91.2) | 1.0 (1.0) |
| Item 24 | 5.1 | 25 (25.5) | 11 (11.2) | 1.2 (1.0) |
| Item 25 | 4.1 | 49 (50.0) | 9 (9.2) | 0.8 (1.0) |
| Item 26 | 4.1 | 12 (12.2) | 34 (34.7) | 1.9 (1.1) |
| Item 27 | 4.1 | 30 (30.6) | 18 (18.3) | 1.3 (1.1) |
| Item 28 | 4.1 | 21 (21.4) | 19 (19.4) | 1.5 (1.1) |
| Item 29 | 4.1 | 43 (43.4) | 7 (7.1) | 0.8 (0.9) |
| Item 30 | 4.1 | 4 (5.1) | 31 (31.6) | 2.1 (0.8) |
| Item 31 | 3.1 | 11 (11.2) | 10 (10.2) | 1.6 (0.8) |
| Item 32 | 3.1 | 16 (16.3) | 16 (16.3) | 1.6 (1.0) |
| Item 33 | 3.1 | 55 (56.1) | 4 (4.8) | 0.6 (0.8) |
| Item 34 | 4.1 | 44 (44.9) | 4 (4.1) | 0.8 (0.9) |
| Item 35 | 3.1 | 9 (9.2) | 23 (23.6) | 1.8 (0.9) |
| Item 36 | 3.1 | 9 (9.2) | 25 (25.5) | 1.8 (0.9) |
| Item 37 | 4.1 | 30 (30.7) | 7 (7.1) | 1.1 (0.9) |
| Item 38 | 3.1 | 6 (6.1) | 31 (31.7) | 1.9 (0.9) |
| Item 39 | 4.1 | 2 (2.0) | 54 (55.1) | 2.4 (0.8) |
| Item 40 | 4.1 | 11 (11.2) | 47 (48.0) | 2.1 (1.0) |
| Item 41 | 4.1 | 29 (29.6) | 17 (17.3) | 1.3 (1.1) |
| Item 42 | 3.1 | 16 (16.3) | 10 (10.2) | 1.4 (0.9) |
| Item 43 | 3.1 | 5 (5.1) | 32 (32.7) | 2.1 (0.9) |
| Item 44 | 4.1 | 6 (6.1) | 38 (38.8) | 2.1 (0.9) |
| Item 45 | 3.1 | 1 (1.0) | 49 (50.0) | 2.4 (0.8) |
| Item 46 | 4.1 | 38 (38.8) | 2 (2.0) | 0.8 (0.8) |
| Item 47 | 4.1 | 11 (11.2) | 11 (11.2) | 1.5 (0.9) |
| Item 48 | 3.1 | 21 (21.4) | 7 (7.1) | 1.2 (0.9) |
| Item 49 | 3.1 | 40 (40.8) | 9 (9.2) | 1.0 (1.0) |
| Item 50 | 4.1 | 11 (11.2) | 35 (35.7) | 1.9 (1.1) |
| GQoLS total score | 6.1 | NA | NA | 69.9 (29.1) |
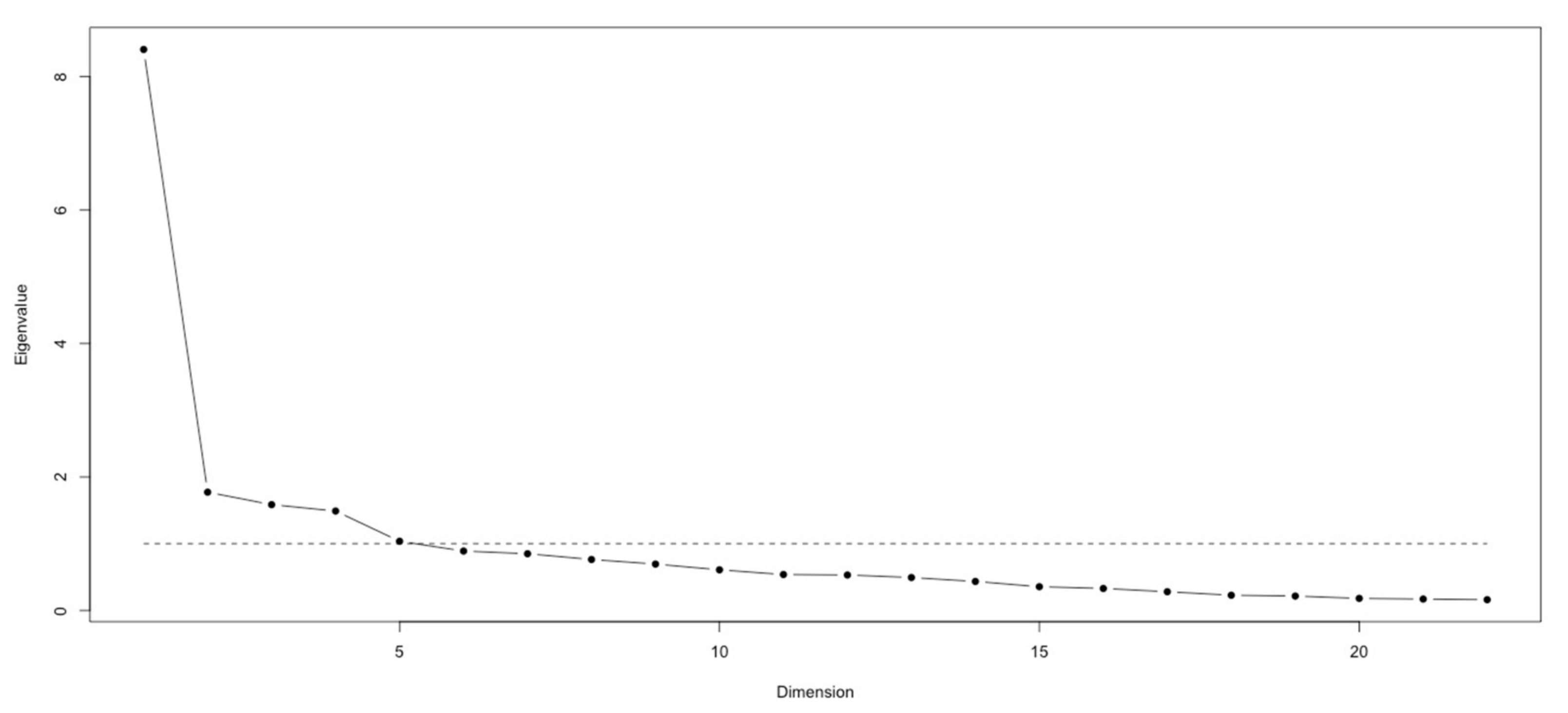
| Dimension | Eigenvalues | Proportion of Variance | Cumulative Variance |
|---|---|---|---|
| 1 | 8.21 | 0.17 | 0.17 |
| 2 | 1.66 | 0.16 | 0.33 |
| 3 | 1.52 | 0.08 | 0.42 |
| 4 | 1.47 | 0.08 | 0.50 |
| 5 | 1.03 | 0.07 | 0.57 |
| 6 | 0.87 | 0.05 | 0.60 |
| Factor 1 EMOTION | Factor 2 LIFESTYLE | Factor 3 LONELINESS | Factor 4 TABOO | Factor 5 PREOCCUPATION | |
|---|---|---|---|---|---|
| 2. Gambling has an impact on my relationships | 0.58 | ||||
| 4. Hiding distress | 0.56 | ||||
| 6. Feeling alone in the face of gambling | 0.43 | 0.40 | |||
| 7. Feeling bad because of craving | 0.62 | ||||
| 8. Difficulty not gambling when alone | 0.67 | ||||
| 10. Gambling expenses | 0.65 | ||||
| 11. Financial difficulties | 0.75 | ||||
| 16. Deprivations | 0.65 | ||||
| 19. Sleep disturbance due to gambling-related financial problems | 0.68 | ||||
| 22. Lying about gambling | 0.42 | ||||
| 27. Hiding gambling problem from relatives | 0.89 | ||||
| 31. Gambling thoughts | 0.94 | ||||
| 32. Concentration | 0.43 | ||||
| 37. Not feeling oneself because of gambling | 0.46 | 0.45 | |||
| 39. Suffering from not understanding one’s own gambling behavior | 0.61 | ||||
| 41. Shame | 0.73 | ||||
| 44. Anxiety | 0.67 | ||||
| 45. Feeling loosy | 0.68 | ||||
| 46. Angry | 0.67 | ||||
| 48. Irritability | 0.48 | ||||
| 50. Difficulty discussing my gambling problem with relatives | 0.56 |
Publisher’s Note: MDPI stays neutral with regard to jurisdictional claims in published maps and institutional affiliations. |
© 2022 by the authors. Licensee MDPI, Basel, Switzerland. This article is an open access article distributed under the terms and conditions of the Creative Commons Attribution (CC BY) license (https://creativecommons.org/licenses/by/4.0/).
Share and Cite
Bonfils, N.A.; Aubin, H.-J.; Grall-Bronnec, M.; Caillon, J.; Perney, P.; Limosin, F.; Luquiens, A. Development and Psychometric Properties of a New Patient-Reported Outcome Instrument of Health-Related Quality of Life Specific to Patients with Gambling Disorder: The Gambling Quality of Life Scale (GQoLS). Int. J. Environ. Res. Public Health 2022, 19, 10806. https://doi.org/10.3390/ijerph191710806
Bonfils NA, Aubin H-J, Grall-Bronnec M, Caillon J, Perney P, Limosin F, Luquiens A. Development and Psychometric Properties of a New Patient-Reported Outcome Instrument of Health-Related Quality of Life Specific to Patients with Gambling Disorder: The Gambling Quality of Life Scale (GQoLS). International Journal of Environmental Research and Public Health. 2022; 19(17):10806. https://doi.org/10.3390/ijerph191710806
Chicago/Turabian StyleBonfils, Nicolas A., Henri-Jean Aubin, Marie Grall-Bronnec, Julie Caillon, Pascal Perney, Frédéric Limosin, and Amandine Luquiens. 2022. "Development and Psychometric Properties of a New Patient-Reported Outcome Instrument of Health-Related Quality of Life Specific to Patients with Gambling Disorder: The Gambling Quality of Life Scale (GQoLS)" International Journal of Environmental Research and Public Health 19, no. 17: 10806. https://doi.org/10.3390/ijerph191710806
APA StyleBonfils, N. A., Aubin, H.-J., Grall-Bronnec, M., Caillon, J., Perney, P., Limosin, F., & Luquiens, A. (2022). Development and Psychometric Properties of a New Patient-Reported Outcome Instrument of Health-Related Quality of Life Specific to Patients with Gambling Disorder: The Gambling Quality of Life Scale (GQoLS). International Journal of Environmental Research and Public Health, 19(17), 10806. https://doi.org/10.3390/ijerph191710806

