An Exploratory Investigation of the Effect of a Sports Vision Program on Grade 4 and 5 Female Netball Players’ Visual Skills
Abstract
1. Introduction
2. Materials and Methods
2.1. Study Design
2.2. Participants
2.3. Measuring Instruments
2.3.1. Wayne Saccadic Fixator (WSF)
2.3.2. The Developmental Eye Movement (DEM) Test
2.3.3. Beery–Buktenica Developmental Test of Visual–Motor Integration 4th Edition (VMI-4)
2.4. Research Procedure
2.5. Intervention Program
2.6. Statistical Analysis
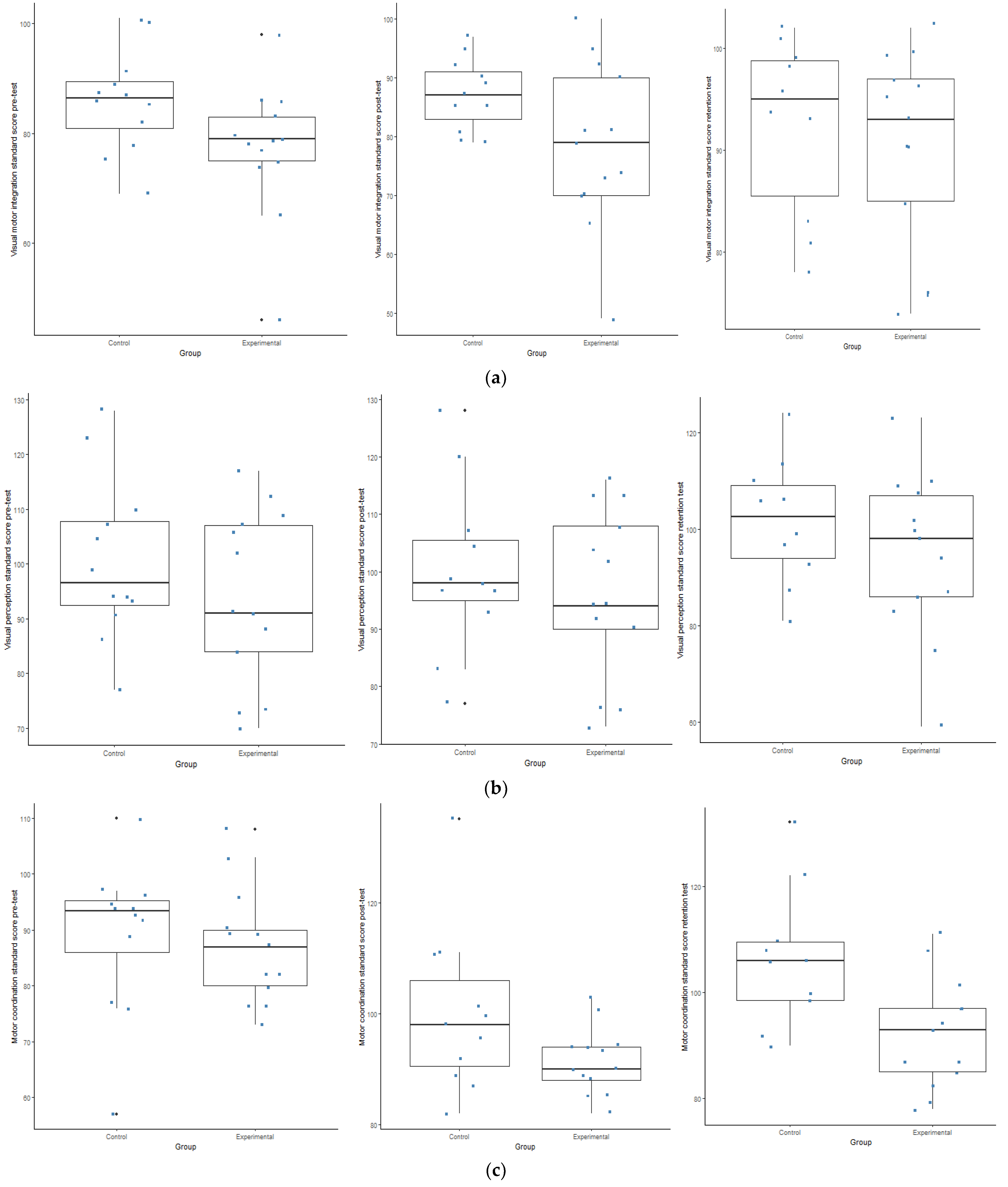
3. Results
4. Discussion
5. Conclusions
Author Contributions
Funding
Institutional Review Board Statement
Informed Consent Statement
Data Availability Statement
Acknowledgments
Conflicts of Interest
Appendix A
| Lesson plan 3 Warm up:
Activity 1
Activity 3: Balance beam
Activity 6
| Lesson plan 8 Warm up: Play Follow the Leader
Activity 1
Activity 4
Activity 6
|
References
- Maman, P.; Sandeep, K.B.; Jaspal, S.S. Role of sports vision and eye hand coordination training in performance of table tennis players. Braz. J. Biomotricity 2011, 2, 106. [Google Scholar]
- Campher, J. The Role of Visual Skills and Its Impact on Skills Performance of Cricket Players. Master’s Dissertation, University of Pretoria, Department of Biokinetics, Sport and Leisure Sciences, Pretoria, South Africa, 2008. [Google Scholar]
- Cheatum, B.A.; Hammond, A.A. Physical Activities for Improving Children’s Learning and Behavior: A Guide to Sensory Motor Development; Human Kinetics: Champaign, IL, USA, 2000; pp. 185–263. [Google Scholar]
- Lowry, S.S.; Hatton, D.D. Facilitating walking by young children with visual impairments. RE View 2002, 34, 125–133. [Google Scholar]
- Willoughby, C.; Polatajko, H.J. Motor problems in children with developmental coordination disorder: Review of the literature. Am. J. Occup. Ther. 1995, 49, 787–794. [Google Scholar] [CrossRef] [PubMed][Green Version]
- Wilson, T.A.; Falkel, J. Sportsvision: Training for Better Performance; Human Kinetics: Champaign, IL, USA, 2004; p. 166. [Google Scholar]
- Calder, S.L. Enhanced Skill Performance of Field Hockey Players Following a Program of Visual Awareness Training. Ph.D. Thesis, University of Cape Town, Sport science institute of South Africa, Cape Town, South Africa, 1999. [Google Scholar]
- Hodge, R.D.; Atkinson, J.; Gill, B.; Crelier, G.R.; Marrett, S.; Pike, G.B. Linear coupling between cerebral blood flow and oxygen consumption in activated human cortex. Proc. Natl. Acad. Sci. USA 1999, 96, 9403–9408. [Google Scholar] [CrossRef] [PubMed]
- Nascimento, H.; Martinez-Perez, C.; Alvarez-Peregrina, C.; Sánchez-Tena, M.A. Citations Network Analysis of Vision and Sport. Int. J. Environ. Res. Public Health 2020, 17, 7574. [Google Scholar] [CrossRef] [PubMed]
- Presta, V.; Vitale, C.; Ambrosini, L.; Gobbi, G. Stereopsis in sports: Visual skills and visuomotor integration models in professional and non-professional athletes. Int. J. Environ. Res. Public Health 2021, 18, 11281. [Google Scholar] [CrossRef]
- Erickson, G. Sports Vision: Vision Care for the Enhancement of Sport Performance; Butterworth Heinemann: Oxford, UK, 2007; pp. 1–308. [Google Scholar]
- Krüger, P.E.; Capher, J.; Smit, C.E. The role of visual skills and its impact on skill performance of cricket players. Afr. J. Phys. Health Educ. Recreat. Danc. 2009, 15, 605–623. [Google Scholar] [CrossRef][Green Version]
- Pienaar, A.E. Motoriese Ontwikkeling, Groei, Motoriese Agterstande, die Assessering en Intervensie Daarvan: N Handleiding vir Nagraadse Studente in Kinderkinetika (Motor Development, Growth, Motor Delays, the Assessment and Intervention Thereof: A Guide for Post-Graduate Students); Xerox: Potchefstroom, South Africa, 2019; pp. 195–370. [Google Scholar]
- Rösblad, B.; Von Hofsten, C. Repetitive goal-directed arm movements in children with developmental coordination disorders: Role of visual information. Adapt. Phys. Activ. Q. 1994, 11, 190–202. [Google Scholar] [CrossRef]
- Bouchard, D.; Tetreault, S. The motor development of sighted children and children with moderate low vision aged 8–13. J. Vis. Impair. Blind. 2000, 94, 564–573. [Google Scholar] [CrossRef]
- Reimer, A.M.; Smits-Engelsman, B.C.M.; Siemonsma-Boom, M. Development of an instrument to measure manual dexterity in children with visual impairments aged 6–12. J. Vis. Impair. Blind. 2000, 94, 177–188. [Google Scholar] [CrossRef]
- Pyfer, J.T. Implications of the Neurological System in Motor Development; Texas Woman’s University: Denton, TX, USA, 1988; p. 207. [Google Scholar]
- Auxter, D.; Pyfer, J.; Huettig, C. Principles and Methods of Adapted Physical Education and Recreation, 10th ed.; Brown Y Benchmark: Chicago, IL, USA, 2005; pp. 557–580. [Google Scholar]
- Lane, K.A. Developing Ocular Motor and Visual Perceptual Skills: An Activity Workbook; Slack Incorporated: Thorofare, NJ, USA, 2005; pp. 1–307. [Google Scholar]
- Hopfinger, J.B.; Buonocore, M.H.; Mangun, G.R. The neural mechanisms of top-down attentional control. J. Nat. Neuro. 2000, 3, 284–291. [Google Scholar] [CrossRef]
- Burris, K.; Liu, S.; Appelbaum, L. Visual-motor expertise in athletes: Insights from semiparametric modelling of 2317 athletes tested on the Nike SPARQ Sensory Station. J. Sports Sci. 2020, 38, 320–329. [Google Scholar] [CrossRef]
- Quevedo, L.; Solé, J. Visual training program applied to precision shooting. Ophthalmic Physiol. Opt. 1990, 15, 519–523. [Google Scholar] [CrossRef]
- Abernethy, B.; Wood, J.M. Do generalized visual training programs for sport really work? An experimental investigation. J. Sport Sci. 2010, 19, 203–222. [Google Scholar] [CrossRef]
- Du Toit, P.J.; Krüger, P.E.; Joubert, A.; Lunsky, J. Effects of exercise on the visual performance of female rugby players. Afr. J. Phys. Health Educ. Recreat. Danc. 2007, 13, 267–273. Available online: https://hdl.handle.net/10520/EJC19497 (accessed on 20 June 2015). [CrossRef][Green Version]
- Du Toit, P.J.; Krüger, P.E.; Chamane, N.Z.; Capher, J.; Crafford, D. Sport vision assessment in soccer players. Afr. J. Phys. Health Educ. Recreat. Danc. 2009, 15, 594–601. [Google Scholar] [CrossRef]
- Hülsdünker, T.; Strüder, H.K.; Mierau, A. The athletes’ visuomotor system—Cortical processes contributing to faster visuomotor reactions. Eur. J. Sport Sci. 2018, 18, 955–964. [Google Scholar] [CrossRef]
- Appelbaum, L.G.; Erickson, G. Sports vision training: A review of the state-of-the art in digital training techniques. Int. Rev. Sport Exerc. Psychol. 2018, 11, 160–186. [Google Scholar] [CrossRef]
- Du Toit, P.J.; Krüger, P.E.; De Wet, K.B.; Van Vuuren, B.; Joubert, A.; Lottering, M.L.; Van Wyk, G.J. Transfer effects of eye-hand co-ordination skills from the right to the left cerebral hemispheres in South-African schoolboy rugby players. Afr. J. Phys. Health Educ. Recreat. Danc. 2006, 12, 41–49. Available online: https://hdl.handle.net/10520/EJC19424 (accessed on 20 June 2015).
- Beckerman, S.; Hitzeman, S. Vision Evaluation Protocols for the 2010 AAU Junior Olympic Games; American Optometric Association: St. Louis, MO, USA, 2010. [Google Scholar]
- Vogel, G.L.; Hale, R.E. Does participation in organized athletics increase a child’s scoring ability on the Wayne saccadic fixator. J. Behav. Optom. 1992, 3, 66–69. [Google Scholar]
- Vogel, G.L.; Hale, R.E. Initial norms using the Wayne saccadic fixator: Eye hand coordination and visual reaction times. J. Behav. Optom. 1990, 1, 206–211. [Google Scholar]
- Richmann, E.J. The Developmental Eye Movement Test; American Academy of Optometry: South Bend IN: Bernell Corp: Mishawaka, IN, USA, 2009; pp. 1–82. [Google Scholar]
- Beery, K.E.; Buktenica, N.A. The Beery-Buktenica Developmental Test of Visual-Motor Integration: Administration, Scoring and Teaching Manual, 4th ed.; Modern Curriculum Press: Parsippany, NJ, USA, 1997; pp. 1–209. [Google Scholar]
- Adler, A. Efficacy of treatment for convergence insufficiency using vision therapy. Ophthalmic Physiol. Opt. 2002, 22, 565–571. [Google Scholar] [CrossRef]
- Scheiman, M.; Mitchell, G.L.; Cotter, S.; Kulp, M.T.; Cooper, J.; Rouse, M.; Borsting, E.; London, R.; Wensveen, J. A randomized clinical trial of vision therapy/orthoptics versus pencil pushups for the treatment of convergence insufficiency in young adults. Optom. Vis. Sci. 2005, 82, 583–593. [Google Scholar] [CrossRef]
- IBM Corp, Released. IBM SPSS Statistics for Windows; Version 27.0; Armonk; IBM Corp: New York, NY, USA, 2020. [Google Scholar]
- Cohen, J. Statistical Power Analysis for the Behavioural Sciences, 2nd ed.; Routledge: New York, NY, USA, 1988. [Google Scholar]
- Khanal, S. Impact of visual skills training on sports performance: Current and future perspectives. Adv. Ophthalmol. Vis. Sys. 2015, 2, 00032. [Google Scholar] [CrossRef][Green Version]






| Variables | Experimental Group (n = 13) | Control Group (n = 11) |
|---|---|---|
| Average age in years | 10.22 | 9.97 |
| Minimum age in years | 9.50 | 9.10 |
| Maximum age in years | 11.30 | 11.00 |
| Standard deviation (SD) | 0.65 | 0.67 |
| Variable | df | Mean2 | F-Value | p-Value |
|---|---|---|---|---|
| Visual–Motor Integration (VMI-4) | ||||
| Interaction effect | 1 | 492,544.92 | 2335.20 | ≤0.001 * |
| Time effect | 1.90 | 689.94 | 11.35 | ≤0.001 * |
| Time × Group effect | 1.90 | 79.06 | 1.30 | 0.283 |
| Group effect | 1 | 701.79 | 3.33 | 0.082 |
| Visual Perception (VMI-4) | ||||
| Interaction effect | 1 | 658,185.57 | 1283.19 | ≤0.001 * |
| Time effect | 1.73 | 7.21 | 0.07 | 0.912 |
| TimexGroup effect | 1.73 | 9.96 | 0.09 | 0.885 |
| Group effect | 1 | 810.90 | 1.58 | 0.222 |
| Motor Coordination (VMI-4) | ||||
| Interaction effect | 1 | 607,019.41 | 2396.27 | ≤0.001 * |
| Time effect | 1.86 | 728.54 | 8.77 | 0.001 * |
| Time × Group effect | 1.86 | 183.14 | 2.21 | 0.127 |
| Group effect | 1 | 1311.58 | 5.18 | 0.033 * |
| Procedure 1 (WSF) | ||||
| Interaction effect | 1 | 68,729.14 | 2923.76 | ≤0.001 * |
| Time effect | 1.95 | 142.97 | 25.14 | ≤0.001 * |
| TimexGroup effect | 1.95 | 117.80 | 20.72 | ≤0.001 * |
| Group effect | 1 | 290.02 | 12.34 | 0.002 |
| Procedure 21 (WSF) | ||||
| Interaction effect | 1 | 27,356.12 | 967.75 | ≤0.001 * |
| Time effect | 1.42 | 182.16 | 8.02 | 0.004 * |
| Time × Group effect | 1.42 | 156.73 | 6.90 | 0.007 * |
| Group effect | 1 | 104.31 | 3.69 | 0.068 |
| Procedure 18 (WSF) | ||||
| Interaction effect | 1 | 38.00 | 1629.75 | ≤0.001 * |
| Time effect | 1.98 | 0.05 | 6.14 | 0.005 * |
| Time × Group effect | 1.98 | 0.16 | 18.04 | ≤0.001 * |
| Group effect | 1 | 0.61 | 26.02 | ≤0.001 * |
| Vertical Visual Tracking (DEM) | ||||
| Interaction effect | 1 | 769,758.38 | 1128.22 | ≤0.001 * |
| Time effect | 1.39 | 492.71 | 6.59 | 0.009 * |
| Time × Group effect | 1.39 | 80.64 | 1.08 | 0.332 |
| Group effect | 1 | 1106.26 | 1.62 | 0.217 |
| Horizontal Visual Tracking (DEM) | ||||
| Interaction effect | 1 | 689,061.601 | 751.560 | ≤0.001 * |
| Time effect | 1.37 | 344.42 | 2.27 | 0.137 |
| Time × Group effect | 1.37 | 21.34 | 0.14 | 0.789 |
| Group effect | 1 | 1156.15 | 1.26 | 0.275 |
Publisher’s Note: MDPI stays neutral with regard to jurisdictional claims in published maps and institutional affiliations. |
© 2022 by the authors. Licensee MDPI, Basel, Switzerland. This article is an open access article distributed under the terms and conditions of the Creative Commons Attribution (CC BY) license (https://creativecommons.org/licenses/by/4.0/).
Share and Cite
Coetzee, D.; de Waal, E. An Exploratory Investigation of the Effect of a Sports Vision Program on Grade 4 and 5 Female Netball Players’ Visual Skills. Int. J. Environ. Res. Public Health 2022, 19, 9864. https://doi.org/10.3390/ijerph19169864
Coetzee D, de Waal E. An Exploratory Investigation of the Effect of a Sports Vision Program on Grade 4 and 5 Female Netball Players’ Visual Skills. International Journal of Environmental Research and Public Health. 2022; 19(16):9864. https://doi.org/10.3390/ijerph19169864
Chicago/Turabian StyleCoetzee, Dané, and Elna de Waal. 2022. "An Exploratory Investigation of the Effect of a Sports Vision Program on Grade 4 and 5 Female Netball Players’ Visual Skills" International Journal of Environmental Research and Public Health 19, no. 16: 9864. https://doi.org/10.3390/ijerph19169864
APA StyleCoetzee, D., & de Waal, E. (2022). An Exploratory Investigation of the Effect of a Sports Vision Program on Grade 4 and 5 Female Netball Players’ Visual Skills. International Journal of Environmental Research and Public Health, 19(16), 9864. https://doi.org/10.3390/ijerph19169864

