Time Spent on Daily Activities and Its Association with Life Satisfaction among Czech Adolescents from 1992 to 2019
Abstract
1. Introduction
2. Materials and Methods
2.1. Sample and Procedure
2.2. Measures
2.2.1. Daily Activities
2.2.2. Life Satisfaction
2.3. Statistical Analysis
3. Results
3.1. Changes in Daily Activities and Life Satisfaction by Birth Cohorts from 1992 to 2019
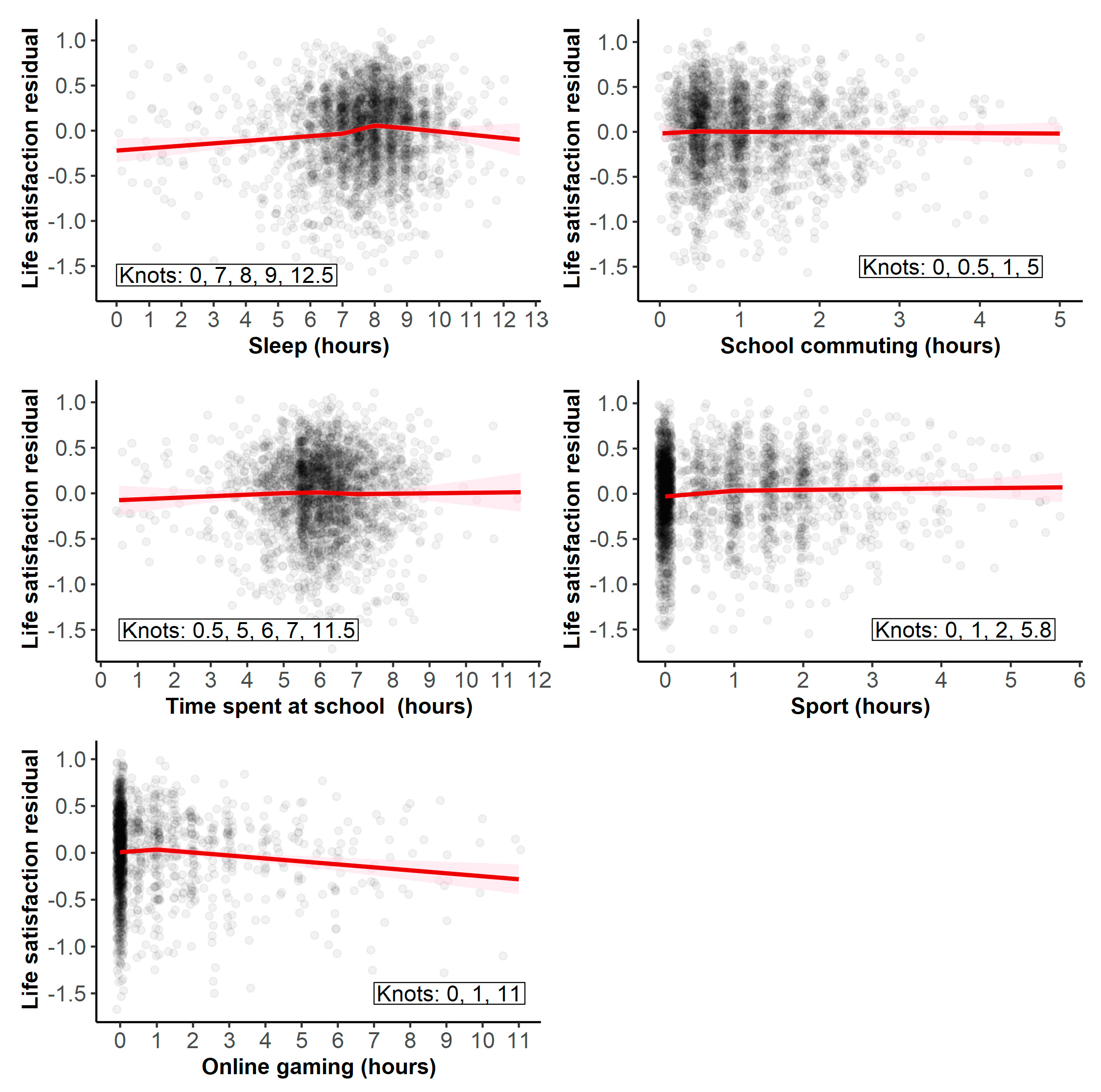
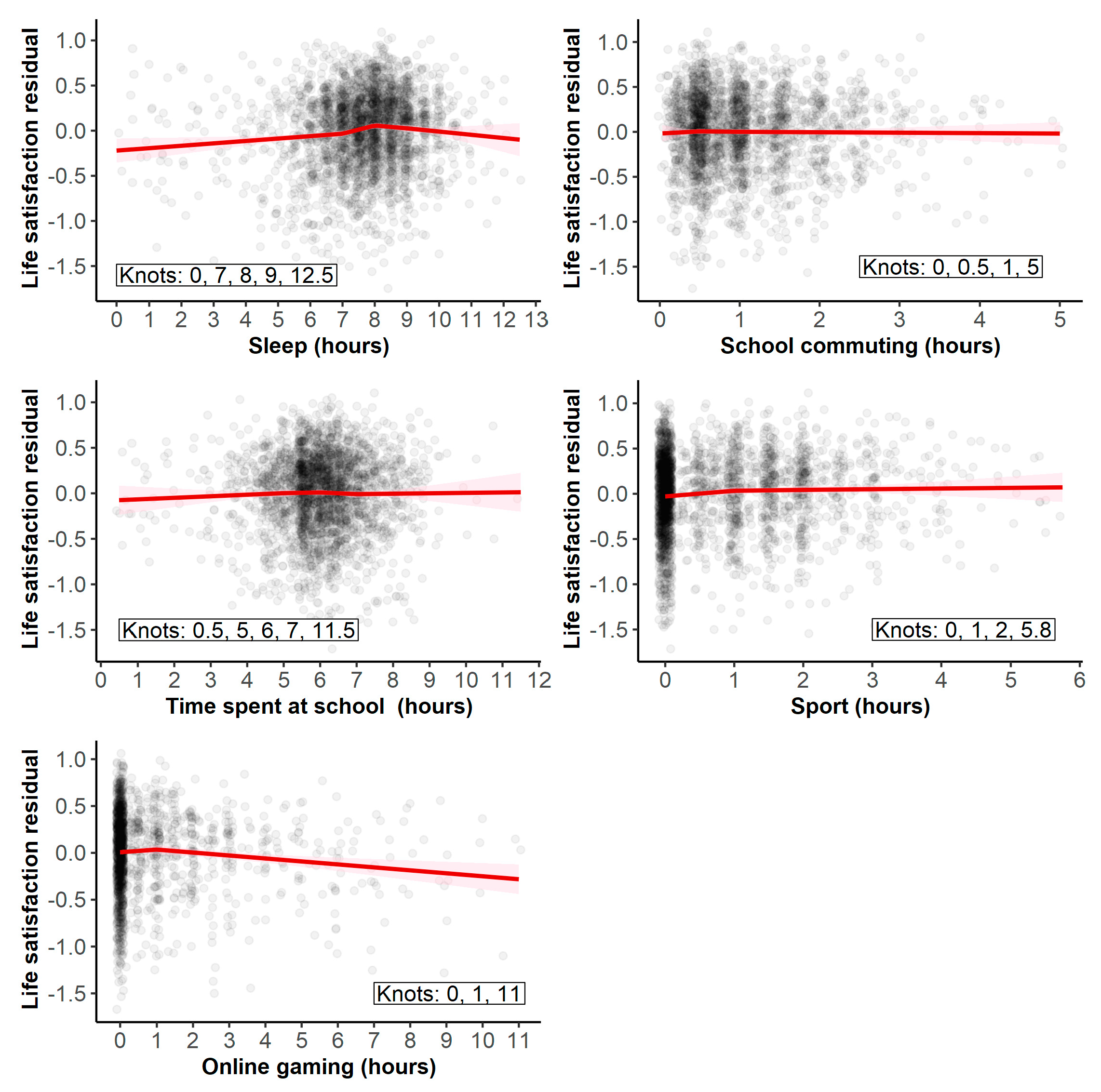
3.2. Associations between Daily Activities and Life Satisfaction
4. Discussion
5. Conclusions
Supplementary Materials
Author Contributions
Funding
Institutional Review Board Statement
Informed Consent Statement
Data Availability Statement
Acknowledgments
Conflicts of Interest
References
- Diener, E. Subjective well-being. Psychol. Bull. 1984, 95, 542–575. [Google Scholar] [CrossRef] [PubMed]
- Diener, E.; Lucas, R.E.; Oishi, S. Subjective well-being: The science of happiness and life satisfaction. In Handbook of Positive Psychology, 2nd ed.; Snyder, C.R., Lopez, S.J., Eds.; Oxford University Press: New York, NY, USA, 2002; pp. 154–196. [Google Scholar]
- Morales-Vives, F.; Duenas, J.M. Predicting suicidal ideation in adolescent boys and girls: The role of psychological maturity, personality traits, depression and life satisfaction. Span. J. Psychol. 2018, 21, 1–12. [Google Scholar] [CrossRef]
- Chen, S.; Chen, T.; Bonanno, G.A. Expressive flexibility: Enhancement and suppression abilities differentially predict life satisfaction and psychopathology symptoms. Personal. Individ. Differ. 2018, 126, 78–84. [Google Scholar] [CrossRef]
- Baile, J.I.; Guevara, R.M.; Calderón, M.J.G.; Urchaga, J.D. The Relationship between Weight Status, Health-Related Quality of Life, and Life Satisfaction in a Sample of Spanish Adolescents. Int. J. Environ. Res. Public Health 2020, 17, 3106. [Google Scholar] [CrossRef]
- Heffner, A.L.; Antaramian, S.P. The role of life satisfaction in predicting student engagement and achievement. J. Happiness Stud. 2016, 17, 1681–1701. [Google Scholar] [CrossRef]
- Lew, D.; Xian, H.; Qian, Z.; Vaughn, M.G. Examining the relationships between life satisfaction and alcohol, tobacco and marijuana use among school-aged children. J. Public Health 2018, 41, 346–353. [Google Scholar] [CrossRef] [PubMed]
- Çakar, F.S.; Tagay, O.; Karatas, Z. Adolescents’ life satisfaction: Risky behaviors and hopelessness. IJONTE 2015, 6, 55–59. [Google Scholar]
- Lansford, J.E.; Dodge, K.A.; Pettit, G.S.; Bates, J.E. A public health perspective on school dropout and adult outcomes: A prospective study of risk and protective factors from age 5 to 27 years. J. Adolesc. Health 2016, 58, 652–658. [Google Scholar] [CrossRef]
- Musci, R.J.; Uhl, G.; Maher, B.; Ialongo, N.S. Testing gene x environment moderation of tobacco and marijuana use trajectories in adolescence and young adulthood. J. Consult. Clin. Psychol. 2015, 83, 866–874. [Google Scholar] [CrossRef] [PubMed]
- Sommer, A.; Twig, G. The impact of childhood and adolescent obesity on cardiovascular risk in adulthood: A systematic review. Curr. Diabetes Rep. 2018, 18, 91. [Google Scholar] [CrossRef]
- Alsaker, F.D.; Flammer, A. The Adolescent Experience: European and American Adolescents in the 1990s; Lawrence Erlbaum Associates: Mahwah, NJ, USA, 1999; p. 379. [Google Scholar]
- Macek, P. Czech Adolescents at the Beginning of the 90s: How they use their time. Int. J. Adolesc. Youth 1996, 6, 111–127. [Google Scholar] [CrossRef]
- Cosma, A.; Pavelka, J.; Badura, P. Leisure Time Use and Adolescent Mental Well-Being: Insights from the COVID-19 Czech Spring Lockdown. Int. J. Environ. Res. Public Health 2021, 18, 12812. [Google Scholar] [CrossRef] [PubMed]
- Janáček, J.; Rybáček, V. Commuting time and life satisfaction of high school students in the Czech Republic, Italy and Slovenia. Prague Econ. Pap. 2020, 29, 561–574. [Google Scholar] [CrossRef]
- Liu, B.-P.; Wang, X.-T.; Liu, Z.-Z.; Wang, Z.-Y.; An, D.; Wei, Y.-X.; Jia, C.-X.; Liu, X. Depressive symptoms are associated with short and long sleep duration: A longitudinal study of Chinese adolescents. J. Affect. Disord. 2020, 263, 267–273. [Google Scholar] [CrossRef] [PubMed]
- Twenge, J.M.; Martin, G.N.; Campbell, W.K. Decreases in psychological well-being among American adolescents after 2012 and links to screen time during the rise of smartphone technology. Emotion 2018, 18, 765–780. [Google Scholar] [CrossRef]
- Keyes, K.M.; Maslowsky, J.; Hamilton, A.; Schulenberg, J. The Great Sleep Recession: Changes in sleep duration among US adolescents, 1991–2012. Pediatrics 2015, 135, 460–468. [Google Scholar] [CrossRef]
- Norell-Clarke, A.; Hagquist, C. Changes in sleep habits between 1985 and 2013 among children and adolescents in Sweden. Scand. J. Public Health 2017, 45, 869–877. [Google Scholar] [CrossRef] [PubMed]
- Inchley, J.; Currie, D.; Young, T.; Samdal, O.; Torsheim, T.; Augustson, L.; Mathison, F.; Aleman-Diaz, A.; Molcho, M.; Weber, M.; et al. Growing up Unequal: Gender and Socioeconomic Differences in Young People’s Health and Wellbeing; Health Behaviour in School-Aged Children (HBSC) Study: International Report from the 2013/2014 Survey; WHO Regional Office for Europe: Copenhagen, Denmark, 2016; Available online: http://www.euro.who.int/en/hbsc-report-2016 (accessed on 8 March 2022).
- Rees, G. Children’s Leisure Activities and Subjective Well-Being: A Comparative Analysis of 16 Countries. In Handbook of Leisure, Physical Activity, Sports, Recreation and Quality of Life. International Handbooks of Quality-of-Life; de la Vega, L.R., Toscano, W., Eds.; Springer: Cham, Switzerland, 2018; pp. 31–49. [Google Scholar]
- Felden, É.P.G.; Leite, C.R.; Rebelatto, C.F.; Andrade, R.D.; Beltrame, T.S. Sleep in adolescents of different socioeconomic status: A systematic review. Rev. Paul. Pediatr. 2015, 33, 467–473. [Google Scholar] [CrossRef] [PubMed]
- Auhuber, L.; Vogel, M.; Grafe, N.; Kiess, W.; Poulain, T. Leisure activities of healthy children and adolescents. Int. J. Environ. Res. Public Health 2019, 16, 2078. [Google Scholar] [CrossRef] [PubMed]
- Olds, T.; Ferrar, K.E.; Gomersall, S.R.; Maher, C.; Walters, J.L. The elasticity of time: Associations between physical activity and use of time in adolescents. Health Educ. Behav. 2012, 39, 732–736. [Google Scholar] [CrossRef] [PubMed]
- Zuzanek, J. Adolescent time use and well-being from a comparative perspective. Loisir Société/Soc. Leis. 2005, 28, 379–423. [Google Scholar] [CrossRef]
- Larson, R.W.; Verma, S. How children and adolescents spent time across the world: Work, play, and developmental opportunities. Psychol. Bull. 1999, 125, 701–736. [Google Scholar] [CrossRef] [PubMed]
- Twenge, J.M.; Krizan, Z.; Hisler, G. Decreases in self-reported sleep duration among U.S. adolescents 2009–2015 and links to new media screen time. Sleep Med. 2017, 39, 47–53. [Google Scholar] [CrossRef] [PubMed]
- Sigmundová, D.; Sigmund, E.; Bucksch, J.; Baďura, P.; Kalman, M.; Hamřík, Z. Trends in screen time behaviours in Czech school children between 2002 and 2014: HBSC Study. CEJPH 2017, 25, 15–20. [Google Scholar] [CrossRef]
- Blinka, L.; Škařupová, K.; Ševčíková, A.; Wölfling, K.; Müller, K.W.; Dreier, M. Excessive internet use in European adolescents: What determines differences in severity? Int. J. Public Health 2015, 60, 249–256. [Google Scholar] [CrossRef]
- Liu, D.; Baumeister, R.F.; Yang, C.-C.; Hu, B. Digital communication media use and psychological well-being: A meta-analysis. J. Comput. Mediat. Commun. 2019, 24, 259–274. [Google Scholar] [CrossRef]
- American Psychiatric Association. Diagnostic and Statistical Manual of Mental Disorders (DSM-5®); American Psychiatric Pub.: Washington, DC, USA, 2013; ISBN 978-0-89042-557-2. [Google Scholar]
- World Health Organization. ICD-11, the 11th Revision of the International Classification of Diseases. Available online: https://www.who.int/classifications/icd/en/ (accessed on 20 March 2022).
- Twenge, J.M.; Campbell, W.K. Media Use Is Linked to Lower Psychological Well-Being: Evidence from Three Datasets. Psychiatr. Q. 2019, 90, 311–331. [Google Scholar] [CrossRef]
- Twenge, J.M.; Sherman, R.A.; Lyubomirsky, S. More happiness for young people and less for mature adults: Time period differences in subjective well-being in the United States, 1972–2014. Soc. Psychol. Personal. Sci. 2016, 7, 131–141. [Google Scholar] [CrossRef]
- Twenge, J.M.; Campbell, W.K.; Carter, N.T. Age, time period, and birth cohort differences in self-esteem: Reexamining a cohort sequential longitudinal study. J. Personal. Soc. Psychol. 2017, 112, 9–17. [Google Scholar] [CrossRef]
- Suchert, V.; Hanewinkel, R.; Isensee, B. Sedentary behavior and indicators of mental health in school-aged children and adolescents: A systematic review. Prev. Med. 2015, 76, 48–57. [Google Scholar] [CrossRef]
- McMahon, E.M.; Corcoran, P.; O’Regan, G.; Keeley, H.; Cannon, M.; Carli, V.; Wasserman, C.; Hadlaczky, G.; Sarchiapone, M.; Apter, A.; et al. Physical activity in European adolescents and associations with anxiety, depression and well-being. Eur. Child Adolesc. Psychiatry 2017, 26, 111–122. [Google Scholar] [CrossRef] [PubMed]
- Chaput, J.P.; Willumsen, J.; Bull, F.; Chou, R.; Ekelund, U.; Firth, J.; Jago, R.; Ortega, F.B.; Katzmarzyk, P.T. 2020 WHO guidelines on physical activity and sedentary behaviour for children and adolescents aged 5–17 years: Summary of the evidence. Int. J. Behav. Nutr. Phys. Act. 2020, 17, 141. [Google Scholar] [CrossRef]
- Yang, S.J.; Cha, H.S. Retrospective cohort study on Korean adolescents’ sleep, depression, school adjustment, and life satisfaction. Nurs. Health Sci. 2018, 20, 422–430. [Google Scholar] [CrossRef]
- Yeo, S.C.; Jos, A.M.; Erwin, C.; Lee, S.M.; Lee, X.K.; Lo, J.C.; Chee, M.W.L.; Gooley, J.J. Associations of sleep duration on school nights with self-rated health, overweight, and depression symptoms in adolescents: Problems and possible solutions. Sleep Med. 2019, 60, 96–108. [Google Scholar] [CrossRef]
- Paruthi, S.; Brooks, L.J.; D’Ambrosio, C.; Hall, W.A.; Kotagal, S.; Lloyd, R.M.; Malow, B.A.; Maski, K.; Nichols, C.; Quan, S.F.; et al. Recommended amount of sleep for pediatric populations: A consensus statement of the American Academy of Sleep Medicine. J. Clin. Sleep Med. 2016, 12, 785–786. [Google Scholar] [CrossRef] [PubMed]
- Gariepy, G.; Danna, S.; Gobiņa, I.; Rasmussen, M.; de Matos, M.G.; Tynjälä, J.; Janssen, I.; Kalman, M.; Villeruša, A.; Husarova, D.; et al. How are adolescents sleeping? Adolescent sleep patterns and sociodemographic differences in 24 European and North American countries. J. Adolesc. Health 2020, 66, 81–88. [Google Scholar] [CrossRef] [PubMed]
- Vazsonyi, A.T.; Liu, D.; Javakhishvili, M.; Beier, J.J.; Blatny, M. Sleepless: The developmental significance of sleep quality and quantity among adolescents. Dev. Psychol. 2021, 57, 1018–1024. [Google Scholar] [CrossRef]
- Compulsory Education in Europe 2021/22. Available online: https://www.uhr.se/globalassets/_uhr.se/internationellt/eurydike/2021-10-07-eurydike-x-2/compulsory_education_in_europe_2021_22.pdf (accessed on 10 April 2022).
- Hunt, E.; McKay, E.A.; Dahly, D.L.; Fitzgerald, A.P.; Perry, I.J. A person-centred analysis of the time-use, daily activities and health-related quality of life of Irish school-going late adolescents. Qual. Life Res. 2015, 24, 1303–1315. [Google Scholar] [CrossRef][Green Version]
- Hofferth, S.L.; Sandberg, J.F. How American children spend their time. J. Marriage Fam. 2001, 63, 295–308. [Google Scholar] [CrossRef]
- Chatterjee, K.; Chng, S.; Clark, B.; Davis, A.; De Vos, J.; Ettema, D.; Handy, S.; Martinf, A.; Reardon, L. Commuting and wellbeing: A critical overview of the literature with implications for policy and future research. Transp. Rev. 2020, 40, 5–34. [Google Scholar] [CrossRef]
- Nie, P.; Sousa-Poza, A. Commute time and subjective well-being in urban China. China Econ. Rev. 2018, 48, 188–204. [Google Scholar] [CrossRef]
- Department for Transport. National Travel Survey: England 2013. 2013. Available online: https://assets.publishing.service.gov.uk/government/uploads/system/uploads/attachment_data/file/342160/nts2013-01.pdf (accessed on 11 April 2022).
- Havitz, M.E.; Mannell, R.C. Enduring involvement, situational involvement, and flow in leisure and non-leisure activities. J. Leis. Res. 2005, 37, 152–177. [Google Scholar] [CrossRef]
- Graham, J.W. Missing Data Theory. In Missing Data: Analysis and Design; Springer: New York, NY, USA, 2012; pp. 3–46. [Google Scholar]
- Flammer, A.; Grob, A.; Nurmi, J.-E. Euronet Questionnaire; University of Berne: Berne, Switzerland, 1991. [Google Scholar]
- Grob, A.; Lüthi, R.; Kaiser, F.G.; Flammer, A.; Mackinnon, A.; Wearing, A.J. Berner Fragebogen zum Wohlbefinden Jugendlicher (BFW) [Berne questionnaire of adolescents’ subjective well-being (BSW-Y)]. Diagnostica 1991, 37, 66–75. [Google Scholar]
- R: A Language and Environment for Statistical Computing; R Foundation for Statistical Computing: Vienna, Austria. Available online: https://www.R-project.org (accessed on 10 March 2022).
- Wickham, H.; Averick, M.; Bryan, J.; Chang, W.; McGowan, L.; François, R.; Grolemund, G.; Hayes, A.; Henry, L.; Hester, J.; et al. Welcome to the tidyverse. J. Open Source Softw. 2019, 4, 1686. [Google Scholar] [CrossRef]
- The WRS Package for Robust Statistics in, R. Available online: https://github.com/nicebread/WRS (accessed on 12 March 2022).
- Lspline: Linear Splines with Convenient Parametrisations. Available online: https://CRAN.R-project.org/package=lspline (accessed on 10 March 2022).
- Wilcox, R. Modern Statistics for the Social and Behavioral Sciences: A Practical Introduction, 2nd ed.; CRC Press/Taylor & Francis Group: New York, NY, USA, 2017; p. 754. [Google Scholar]
- Tashjian, S.M.; Mullins, J.L.; Galván, A. Bedtime autonomy and cellphone use influence sleep duration in adolescents. J. Adolesc Health 2019, 64, 124–130. [Google Scholar] [CrossRef]
- Uchino, B.N.; Cribbet, M.; de Grey, R.G.K.; Cronan, S.; Trettevik, R.; Smith, T.W. Dispositional optimism and sleep quality: A test of mediating pathways. J. Behav. Med. 2017, 40, 360–365. [Google Scholar] [CrossRef] [PubMed]
- Bull, F.C.; Al-Ansari, S.S.; Biddle, S.; Borodulin, K.; Buman, M.P.; Cardon, G.; Carty, C.; Chaput, J.P.; Chastin, S.; Chou, R. World Health Organization 2020 guidelines on physical activity and sedentary behaviour. Br. J. Sports Med. 2020, 54, 1451–1462. [Google Scholar] [CrossRef]
- Király, O.; Tóth, D.; Urbán, R.; Demetrovics, Z.; Maraz, A. Intense video gaming is not essentially problematic. Psychol. Addict. Behav. 2017, 31, 807–817. [Google Scholar] [CrossRef]
- Sirard, J.R.; Bruening, M.; Wall, M.M.; Eisenberg, M.E.; Kim, S.K.; Neumark-Sztainer, D. Physical activity and screen time in adolescents and their friends. Am. J. Prev. Med. 2013, 44, 48–55. [Google Scholar] [CrossRef]
- Garcia, J.M.; Agaronov, A.; Sirard, J.R.; Whaley, D.; Rice, D.J.; Weltman, A. Psychosocial and Friend Influences on Objective Sedentary Behavior and Screen Time: A Mixed Methods Analysis. J. Phys. Act. Health 2017, 14, 213–221. [Google Scholar] [CrossRef] [PubMed]
- Martins, P.C.; Oliveira, V.H.; Mendes, S.M.; Fernández-Pacheco, G. After-school time use of urban adolescents: Effects on achievement, problem behaviors, and happiness. J. Leis. Res. 2021, 52, 286–306. [Google Scholar] [CrossRef]
- Cho, E.Y.-N. A multilevel analysis of life satisfaction among secondary school students: Do school-level factors matter? Child Youth Serv. Rev. 2019, 102, 231–242. [Google Scholar] [CrossRef]
- Moksnes, U.K.; Lohre, A.; Lillefjell, M.; Byrne, D.G.; Haugan, G. The association between school stress, life satisfaction and depressive symptoms in adolescents: Life satisfaction as a potential mediator. Soc. Indic. Res. 2016, 125, 339–357. [Google Scholar] [CrossRef]
- Shek, D.T.L.; Li, X. Perceived school performance, life satisfaction, and hopelessness: A 4-year longitudinal study of adolescents in Hong Kong. Soc. Indic. Res. 2016, 126, 921–934. [Google Scholar] [CrossRef] [PubMed]
- Rahmann, K.; Herke, M.G.; Hurrelmann, K.; Richter, M.; van Wouwe, J.P. Perceived class climate and school-aged children’s life satisfaction: The role of the learning environment in classrooms. PLoS ONE 2018, 13, e0189335. [Google Scholar] [CrossRef]
- Leung, K.Y.K.; Loo, B.P.Y. Association of Children’s Mobility and Wellbeing: A Case Study in Hong Kong. Travel. Behav. Soc. 2017, 9, 95–104. [Google Scholar] [CrossRef]
- Chen, X.; Cai, Z.; He, J.; Fan, X. Gender differences in life satisfaction among children and adolescents: A meta-analysis. J. Happiness Stud. 2019, 21, 2279–2307. [Google Scholar] [CrossRef]
- Yan, W.; Yang, K.; You, X.; Kong, F. Subjective family socioeconomic status and life satisfaction in Chinese adolescents: The mediating role of self–esteem and social support. Youth Soc. 2021, 53, 1047–1065. [Google Scholar] [CrossRef]
- Boost Your Mental Health and Mental Fitness and Share It with Your Students on Mental Health Day. Available online: http://www.inkluzevpraxi.cz/kategorie-reditel/2135-posilte-svoje-dusevni-zdravi-a-mentalni-kondici-a-sdilejte-ho-se-svymi-zaky-na-dni-dusevniho-zdravi (accessed on 11 July 2022).
- On My Mind. Available online: https://vsechpetpohromade.cz/ (accessed on 11 July 2022).


| Variable | Category | Cohort | Total | ||||||||
|---|---|---|---|---|---|---|---|---|---|---|---|
| 1992 | 2001 | 2011 | 2019 | ||||||||
| n | % | n | % | n | % | n | % | n | % | ||
| Gender | Boys | 141 | 56 | 148 | 49 | 183 | 54 | 744 | 41 | 1216 | 45 |
| Girls | 112 | 44 | 156 | 51 | 155 | 46 | 1058 | 58 | 1481 | 55 | |
| No response | 0 | 0 | 1 | 0.3 | 0 | 0 | 17 | 1 | 18 | 0.7 | |
| Age | 13–15 years | 99 | 39 | 129 | 42 | 79 | 23 | 466 | 26 | 773 | 28 |
| 16–18 years | 154 | 61 | 174 | 57 | 258 | 76 | 1345 | 74 | 1931 | 71 | |
| No response | 0 | 0 | 2 | 0.7 | 1 | 0 | 8 | 0 | 11 | 0.4 | |
| Parents’ | Same as other parents | 187 | 74 | 196 | 64 | 224 | 66 | 1217 | 67 | 1824 | 67 |
| earnings | Less than other parents | 39 | 15 | 53 | 17 | 57 | 17 | 221 | 12 | 370 | 14 |
| More than other parents | 25 | 10 | 48 | 16 | 54 | 16 | 328 | 18 | 455 | 17 | |
| No response | 2 | 0.8 | 8 | 3 | 3 | 0.9 | 53 | 3 | 66 | 2.4 | |
| Variables | Cohort | ||||||||||
| 1992 | 2001 | 2011 | 2019 | ||||||||
| Mtr | SDw | Mtr | SDw | Mtr | SDw | Mtr | SDw | ||||
| Sleep | 8.60 | 0.89 | 8.32 | 1.08 | 7.84 | 1.32 | 7.46 | 1.12 | |||
| [8.48, 8.72] | [8.19, 8.46] | [7.68, 8.00] | [7.40, 7.52] | ||||||||
| School commuting | 1.02 | 0.64 | 1.04 | 0.66 | 1.04 | 0.76 | 0.91 | 0.63 | |||
| [0.93, 1.11] | [0.95, 1.12] | [0.94, 1.13] | [0.88, 0.95] | ||||||||
| Time spent at school | 5.99 | 1.06 | 5.81 | 0.91 | 5.82 | 1.54 | 6.09 | 0.95 | |||
| [5.85, 6.14] | [5.70, 5.93] | [5.63, 6.01] | [6.04, 6.13] | ||||||||
| Sports | 0.71 | 1.03 | 0.44 | 0.86 | 0.54 | 0.88 | 0.66 | 0.93 | |||
| [0.57, 0.85] | [0.34, 0.55] | [0.44, 0.65] | [0.61, 0.71] | ||||||||
| Online gaming | 0,52 | 1.27 | |||||||||
| [0.45, 0.58] | |||||||||||
| Life satisfaction | 2.91 | 0.33 | 2.97 | 0.39 | 2.93 | 0.42 | 3.00 | 0.41 | |||
| [2.86, 2.95] | [2.92, 3.02] | [2.88, 2.98] | [2.98, 3.02] | ||||||||
| Variables | Robust ANOVA | Post Hoc Tests(Mean Differences with 95% Confidence Intervals Corrected for Multiple Testing) | |||||||||
| F | dfM | dfR | p | η2 | 1992 vs. 2001 | 1992 vs. 2011 | 1992 vs. 2019 | 2001 vs. 2011 | 2001 vs. 2019 | 2011 vs. 2019 | |
| Sleep | 118.7 | 3 | 563.6 | <0.001 | 0.159 | 0.27 * | 0.76 *** | 1.14 *** | 0.48 *** | 0.86 *** | 0.38 *** |
| [0.03, 0.52] | [0.49, 1.03] | [0.96, 1.32] | [0.20, 0.76] | [0.67, 1.06] | [0.15, 0.61] | ||||||
| School commuting | 2.0 | 3 | 548.0 | 0.115 | 0.004 | −0.02 | −0.02 | 0.11 | 0.00 | 0.12 | 0.13 |
| [−0.18, 0.15] | [−0.19, 0.16] | [−0.02, 0.24] | [−0.17, 0.17] | [0.00, 0.25] | [−0.01, 0.26] | ||||||
| Time spent at school | 14.2 | 3 | 521.9 | <0.001 | 0.048 | 0.18 | 0.18 | −0.09 | 0.00 | −0.27 *** | −0.27 * |
| [−0.07, 0.42] | [−0.14, 0.49] | [−0.30, 0.11] | [−0.30, 0.29] | [−0.44, −0.10] | [−0.53, −0.01] | ||||||
| Sports | 5.3 | 3 | 553.4 | 0.001 | 0.012 | 0.27 * | 0.17 | 0.05 | −0.10 | −0.22 ** | −0.12 |
| [0.03, 0.50] | [−0.07, 0.40] | [−0.15, 0.25] | [−0.30, 0.10] | [−0.37, −0.06] | [−0.27, 0.04] | ||||||
| Online gaming | |||||||||||
| Life satisfaction | 6.1 | 3 | 565.9 | <0.001 | 0.010 | −0.06 | −0.02 | −0.10 ** | 0.04 | −0.04 | −0.07 * |
| [−0.15, 0.03] | [−0.12, 0.07] | [−0.16, −0.03] | [−0.06, 0.13] | [−0.11, 0.03] | [−0.15, 0.00] | ||||||
Publisher’s Note: MDPI stays neutral with regard to jurisdictional claims in published maps and institutional affiliations. |
© 2022 by the authors. Licensee MDPI, Basel, Switzerland. This article is an open access article distributed under the terms and conditions of the Creative Commons Attribution (CC BY) license (https://creativecommons.org/licenses/by/4.0/).
Share and Cite
Kvasková, L.; Rečka, K.; Ježek, S.; Macek, P. Time Spent on Daily Activities and Its Association with Life Satisfaction among Czech Adolescents from 1992 to 2019. Int. J. Environ. Res. Public Health 2022, 19, 9422. https://doi.org/10.3390/ijerph19159422
Kvasková L, Rečka K, Ježek S, Macek P. Time Spent on Daily Activities and Its Association with Life Satisfaction among Czech Adolescents from 1992 to 2019. International Journal of Environmental Research and Public Health. 2022; 19(15):9422. https://doi.org/10.3390/ijerph19159422
Chicago/Turabian StyleKvasková, Lucia, Karel Rečka, Stanislav Ježek, and Petr Macek. 2022. "Time Spent on Daily Activities and Its Association with Life Satisfaction among Czech Adolescents from 1992 to 2019" International Journal of Environmental Research and Public Health 19, no. 15: 9422. https://doi.org/10.3390/ijerph19159422
APA StyleKvasková, L., Rečka, K., Ježek, S., & Macek, P. (2022). Time Spent on Daily Activities and Its Association with Life Satisfaction among Czech Adolescents from 1992 to 2019. International Journal of Environmental Research and Public Health, 19(15), 9422. https://doi.org/10.3390/ijerph19159422

