Adverse Effects of Angiotensin-Converting Enzyme Inhibitors in Humans: A Systematic Review and Meta-Analysis of 378 Randomized Controlled Trials
Abstract
1. Introduction
2. Materials and Methods
2.1. Search Strategy and Eligibility Criteria
2.2. Data Extraction
2.3. Risk of Bias Assessment
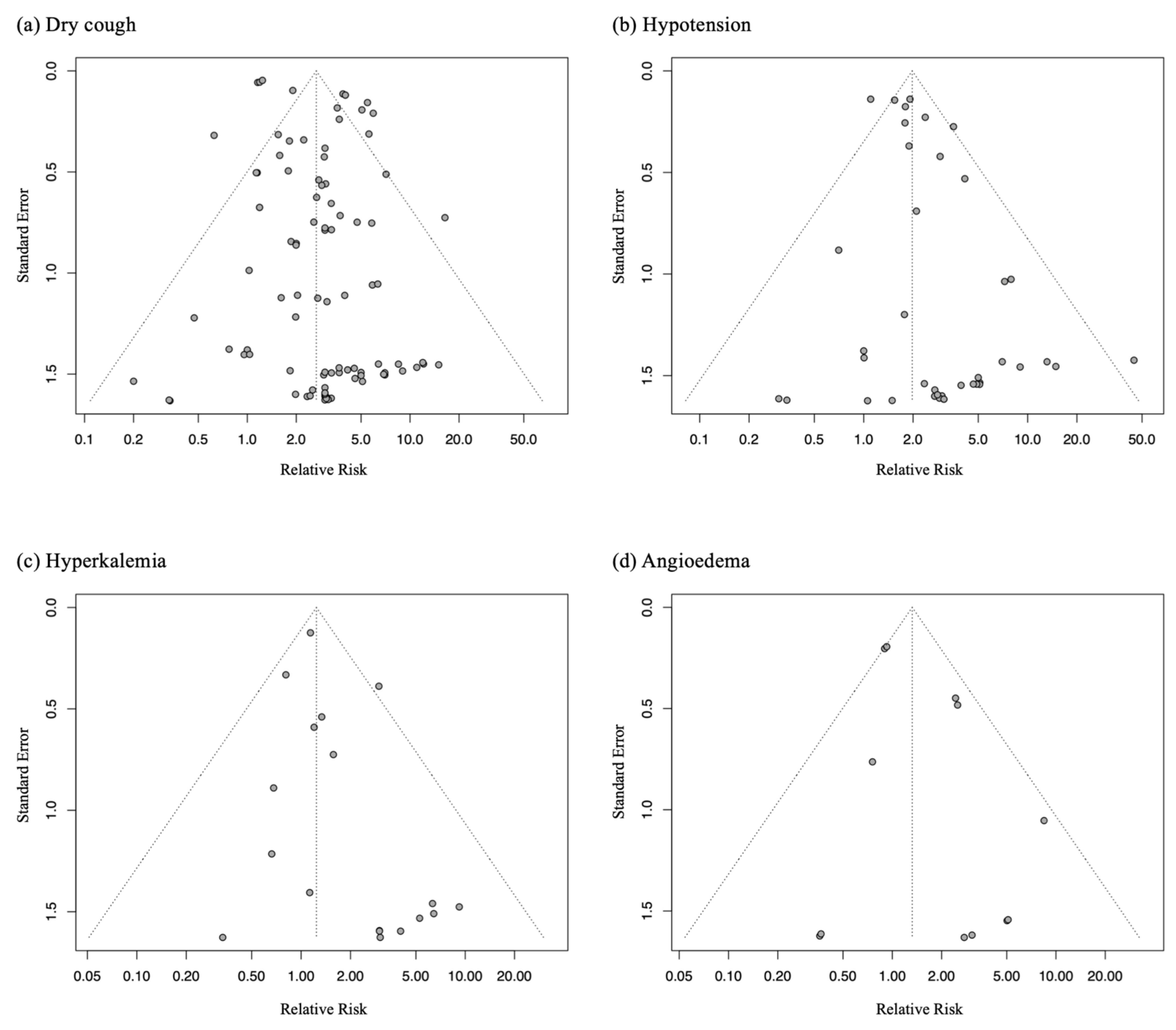
2.4. Statistical Analysis
3. Results
4. Discussion
5. Conclusions
Supplementary Materials
Author Contributions
Funding
Institutional Review Board Statement
Informed Consent Statement
Data Availability Statement
Acknowledgments
Conflicts of Interest
Abbreviations
References
- Boboia, A.; Grigorescu, M.R.; Turcu-Ştiolică, A. Marketing research on the angiotensin-converting enzyme inhibitors antihypertensive medicines. Clujul Med. 2017, 90, 86–92. [Google Scholar] [CrossRef] [PubMed]
- Mahmoudpour, S.H.; Asselbergs, F.W.; Souverein, P.C.; De Boer, A.; Maitland-van der Zee, A.H. Prescription patterns of angiotensin-converting enzyme inhibitors for various indications: A UK population-based study. Br. J. Clin. Pharmacol. 2018, 84, 2365–2372. [Google Scholar] [CrossRef] [PubMed]
- Hoorntje, S.J.; Donker, A.J. Clinical use of captopril. Hypertension 1981, 3, 507–508. [Google Scholar] [CrossRef] [PubMed][Green Version]
- Knuuti, J.; Wijns, W.; Saraste, A.; Capodanno, D.; Barbato, E.; Funck-Brentano, C.; Prescott, E.; Storey, R.F.; Deaton, C.; Cuisset, T.; et al. 2019 ESC Guidelines for the diagnosis and management of chronic coronary syndromes. Eur. Heart J. 2020, 41, 407–477. [Google Scholar] [CrossRef] [PubMed]
- Lim, A. Diabetic nephropathy—complications and treatment. Int. J. Nephrol. Renov. Dis. 2014, 7, 361–381. [Google Scholar] [CrossRef] [PubMed]
- McDonagh, T.A.; Metra, M.; Adamo, M.; Gardner, R.S.; Baumbach, A.; Böhm, M.; Burri, H.; Butler, J.; Čelutkienė, J.; Chioncel, O.; et al. 2021 ESC Guidelines for the diagnosis and treatment of acute and chronic heart failure. Eur. Heart J. 2021, 42, 3599–3726. [Google Scholar] [CrossRef] [PubMed]
- Unger, T.; Borghi, C.; Charchar, F.; Khan, N.A.; Poulter, N.R.; Prabhakaran, D.; Ramirez, A.; Schlaich, M.; Stergiou, G.S.; Tomaszewski, M.; et al. 2020 International Society of Hypertension Global Hypertension Practice Guidelines. Hypertension 2020, 75, 1334–1357. [Google Scholar] [CrossRef] [PubMed]
- Ferrario, C.M.; Mullick, A.E. Renin angiotensin aldosterone inhibition in the treatment of cardiovascular disease. Pharmacol. Res. 2017, 125, 57–71. [Google Scholar] [CrossRef]
- Ma, T.K.W.; Kam, K.K.H.; Yan, B.P.; Lam, Y.-Y. Renin-angiotensin-aldosterone system blockade for cardiovascular diseases: Current status. Br. J. Pharmacol. 2010, 160, 1273–1292. [Google Scholar] [CrossRef]
- Forrester, S.J.; Booz, G.W.; Sigmund, C.D.; Coffman, T.M.; Kawai, T.; Rizzo, V.; Scalia, R.; Eguchi, S. Angiotensin II Signal Transduction: An Update on Mechanisms of Physiology and Pathophysiology. Physiol. Rev. 2018, 98, 1627–1738. [Google Scholar] [CrossRef]
- Alderman, C.P. Adverse Effects of the Angiotensin-Converting Enzyme Inhibitors. Ann. Pharmacother. 1996, 30, 55–61. [Google Scholar] [CrossRef] [PubMed]
- Sun, W.; Zhang, H.; Guo, J.; Zhang, X.; Zhang, L.; Li, C.; Zhang, L. Comparison of the Efficacy and Safety of Different ACE Inhibitors in Patients with Chronic Heart Failure: A PRISMA-Compliant Network Meta-Analysis. Medicine 2016, 95, e2554. [Google Scholar] [CrossRef] [PubMed]
- Elliott, W.J. Higher incidence of discontinuation of angiotensin converting enzyme inhibitors due to cough in black subjects. Clin. Pharmacol. Ther. 1996, 60, 582–588. [Google Scholar] [CrossRef]
- Qiao, Y.; Shin, J.-I.; Sang, Y.; Inker, L.A.; Secora, A.; Luo, S.; Coresh, J.; Alexander, G.C.; Jackson, J.W.; Chang, A.R.; et al. Discontinuation of Angiotensin Converting Enzyme Inhibitors and Angiotensin Receptor Blockers in Chronic Kidney Disease. Mayo Clin. Proc. 2019, 94, 2220–2229. [Google Scholar] [CrossRef]
- Bœuf-Gibot, S.; Pereira, B.; Imbert, J.; Kerroum, H.; Menini, T.; Lafarge, E.; De Carvalho, M.; Vorilhon, P.; Boussageon, R.; Vaillant-Roussel, H. Benefits and adverse effects of ACE inhibitors in patients with heart failure with reduced ejection fraction: A systematic review and meta-analysis. Eur. J. Clin. Pharmacol. 2020, 77, 321–329. [Google Scholar] [CrossRef]
- Kunimura, A.; Himuro, N.; Fujiyoshi, A.; Segawa, H.; Ohnishi, H.; Saitoh, S. The effects of renin–angiotensin system inhibitors on mortality, cardiovascular events, and renal events in hypertensive patients with diabetes: A systematic review and meta-analysis of randomized controlled trials. Hypertens. Res. 2019, 42, 669–680. [Google Scholar] [CrossRef]
- Lv, X.; Zhang, Y.; Niu, Y.; Song, Q.; Zhao, Q. Comparison of angiotensin-converting enzyme inhibitors and angiotensin II receptor blockers on cardiovascular outcomes in hypertensive patients with type 2 diabetes mellitus: A PRISMA-compliant systematic review and meta-analysis. Medicine 2018, 97, e0256. [Google Scholar] [CrossRef]
- Ohtsubo, T.; Shibata, R.; Kai, H.; Okamoto, R.; Kumagai, E.; Kawano, H.; Fujiwara, A.; Kitazono, T.; Murohara, T.; Arima, H. Angiotensin-converting enzyme inhibitors versus angiotensin receptor blockers in hypertensive patients with myocardial infarction or heart failure: A systematic review and meta-analysis. Hypertens. Res. 2019, 42, 641–649. [Google Scholar] [CrossRef]
- Pisano, A.; Bolignano, D.; Mallamaci, F.; D’Arrigo, G.; Halimi, J.-M.; Persu, A.; Wuerzner, G.; Sarafidis, P.; Watschinger, B.; Burnier, M.; et al. Comparative effectiveness of different antihypertensive agents in kidney transplantation: A systematic review and meta-analysis. Nephrol. Dial. Transplant. 2019, 35, 878–887. [Google Scholar] [CrossRef]
- Wang, K.; Hu, J.; Luo, T.; Wang, Y.; Yang, S.; Qing, H.; Cheng, Q.; Li, Q. Effects of Angiotensin-Converting Enzyme Inhibitors and Angiotensin II Receptor Blockers on All-Cause Mortality and Renal Outcomes in Patients with Diabetes and Albuminuria: A Systematic Review and Meta-Analysis. Kidney Blood Press. Res. 2018, 43, 768–779. [Google Scholar] [CrossRef]
- Bae, J.-M. Shared decision making: Relevant concepts and facilitating strategies. Epidemiol. Health 2017, 39, e2017048. [Google Scholar] [CrossRef] [PubMed]
- Page, M.J.; Moher, D.; Bossuyt, P.M.; Boutron, I.; Hoffmann, T.C.; Mulrow, C.D.; Shamseer, L.; Tetzlaff, J.M.; Akl, E.A.; Brennan, S.E.; et al. PRISMA 2020 explanation and elaboration: Updated guidance and exemplars for reporting systematic reviews. BMJ 2021, 372, n160. [Google Scholar] [CrossRef]
- Zorzela, L.; Loke, Y.K.; Ioannidis, J.P.; Golder, S.; Santaguida, P.; Altman, D.G.; Moher, D.; Vohra, S. PRISMA harms checklist: Improving harms reporting in systematic reviews. BMJ 2016, 352, i157. [Google Scholar] [CrossRef] [PubMed]
- Moher, D.; Shamseer, L.; Clarke, M.; Ghersi, D.; Liberati, A.; Petticrew, M.; Shekelle, P.; Stewart, L.A. Preferred reporting items for systematic review and meta-analysis protocols (prisma-p) 2015 statement. Syst. Rev. 2015, 4, 1. [Google Scholar] [CrossRef] [PubMed]
- Sterne, J.A.C.; Savović, J.; Page, M.J.; Elbers, R.G.; Blencowe, N.S.; Boutron, I.; Cates, C.J.; Cheng, H.Y.; Corbett, M.S.; Eldridge, S.M.; et al. RoB 2: A revised tool for assessing risk of bias in randomised trials. BMJ 2019, 366, l4898. [Google Scholar] [CrossRef]
- McGuinness, L.A.; Higgins, J.P.T. Risk-of-bias VISualization (robvis): An R package and Shiny web app for visualizing risk-of-bias assessments. Res. Synth. Methods 2021, 12, 55–61. [Google Scholar] [CrossRef]
- Sterne, J.A.C.; Egger, M.; Smith, G.D. Systematic reviews in health care: Investigating and dealing with publication and other biases in meta-analysis. BMJ 2001, 323, 101–105. [Google Scholar] [CrossRef]
- Higgins, J.P.T.; Thompson, S.G. Quantifying heterogeneity in a meta-analysis. Stat. Med. 2002, 21, 1539–1558. [Google Scholar] [CrossRef]
- Higgins, J.P.T.; Thompson, S.G.; Deeks, J.J.; Altman, D.G. Measuring inconsistency in meta-analyses. BMJ 2003, 327, 557–560. [Google Scholar] [CrossRef]
- Pinto, B.; Jadhav, U.; Singhai, P.; Sadhanandham, S.; Shah, N. ACEI-induced cough: A review of current evidence and its practical implications for optimal CV risk reduction. Indian Heart J. 2020, 72, 345–350. [Google Scholar] [CrossRef]
- Ng, L.P.; Goh, P.S.C. Incidence of discontinuation of angiotensin-converting enzyme inhibitors due to cough, in a primary healthcare centre in Singapore. Singap. Med. J. 2014, 55, 146–149. [Google Scholar] [CrossRef]
- Arnold, A.C.; Shibao, C. Current Concepts in Orthostatic Hypotension Management. Curr. Hypertens. Rep. 2013, 15, 304–312. [Google Scholar] [CrossRef] [PubMed]
- Raebel, M.A. Hyperkalemia Associated with Use of Angiotensin-Converting Enzyme Inhibitors and Angiotensin Receptor Blockers. Cardiovasc. Ther. 2011, 30, e156–e166. [Google Scholar] [CrossRef] [PubMed]
- Amir, O.; Hassan, Y.; Sarriff, A.; Awaisu, A.; Aziz, N.A.; Ismail, O. Incidence of risk factors for developing hyperkalemia when using ACE inhibitors in cardiovascular diseases. Pharm. World Sci. 2009, 31, 387–393. [Google Scholar] [CrossRef] [PubMed]
- Oktaviono, Y.H.; Kusumawardhani, N. Hyperkalemia Associated with Angiotensin Converting Enzyme Inhibitor or Angiotensin Receptor Blockers in Chronic Kidney Disease. Acta Med. Indones. 2020, 52, 74–79. [Google Scholar]
- Blakley, B.W.; Gulati, H. Identifying drugs that cause dizziness. J. Otolaryngol.-Head Neck Surg. 2008, 37, 11–15. [Google Scholar]
- Juraschek, S.P.; Daya, N.; Rawlings, A.M.; Appel, L.J.; Miller, E.R., 3rd; Windham, B.G.; Griswold, M.E.; Heiss, G.; Selvin, E. Association of History of Dizziness and Long-term Adverse Outcomes with Early vs Later Orthostatic Hypotension Assessment Times in Middle-aged Adults. JAMA Intern. Med. 2017, 177, 1316–1323. [Google Scholar] [CrossRef]
- Bavishi, C.; Ahmed, M.; Trivedi, V.; Khan, A.R.; Gongora, C.; Bangalore, S.; Messerli, F.H. Meta-Analysis of Randomized Trials on the Efficacy and Safety of Angiotensin-Converting Enzyme Inhibitors in Patients ≥65 Years of Age. Am. J. Cardiol. 2016, 118, 1427–1436. [Google Scholar] [CrossRef]
- Makani, H.; Messerli, F.H.; Romero, J.; Wever-Pinzon, O.; Korniyenko, A.; Berrios, R.S.; Bangalore, S. Meta-Analysis of Randomized Trials of Angioedema as an Adverse Event of Renin–Angiotensin System Inhibitors. Am. J. Cardiol. 2012, 110, 383–391. [Google Scholar] [CrossRef]
- Gibbs, C.R.; Lip, G.Y.H.; Beevers, D.G. Angioedema due to ACE inhibitors: Increased risk in patients of African origin. Br. J. Clin. Pharmacol. 1999, 48, 861–865. [Google Scholar] [CrossRef]
- Sica, D.A.; Black, H.R. Angioedema in heart failure: Occurrence with ACE inhibitors and safety of angiotensin receptor blocker therapy. Congest. Heart Fail. 2002, 8, 334–345. [Google Scholar] [CrossRef] [PubMed]
- Brown, T.; Gonzalez, J.; Monteleone, C. Angiotensin-converting enzyme inhibitor-induced angioedema: A review of the literature. J. Clin. Hypertens. 2017, 19, 1377–1382. [Google Scholar] [CrossRef] [PubMed]
- Banerji, A.; Blumenthal, K.G.; Lai, K.H.; Zhou, L. Epidemiology of ACE Inhibitor Angioedema Utilizing a Large Electronic Health Record. J. Allergy Clin. Immunol. Pract. 2017, 5, 744–749. [Google Scholar] [CrossRef] [PubMed]
- Weisman, D.S.; Arnouk, N.; Asghar, M.B.; Qureshi, M.R.; Kumar, A.; Desale, S.; Camire, L.; Pineda, S. ACE inhibitor angioedema: Characterization and treatment versus non-ACE angioedema in acute hospitalized patients. J. Community Hosp. Intern. Med. Perspect. 2020, 10, 16–18. [Google Scholar] [CrossRef] [PubMed]
- Jackeviciute, J.; Pilvinis, V.; Pilviniene, R. Fatal outcome of late-onset angiotensin-converting enzyme inhibitor induced angioedema: A case report. Medicine 2018, 97, e11695. [Google Scholar] [CrossRef]
- Kostis, W.J.; Shetty, M.; Chowdhury, Y.S.; Kostis, J.B. ACE Inhibitor-Induced Angioedema: A Review. Curr. Hypertens. Rep. 2018, 20, 55. [Google Scholar] [CrossRef]
- Montinaro, V.; Cicardi, M. ACE inhibitor-mediated angioedema. Int. Immunopharmacol. 2019, 78, 106081. [Google Scholar] [CrossRef]
- Leru, P.M.; Anton, V.F.; Bocsan, C.; Muntean, A.; Boda, D. Acquired angioedema induced by angiotensin-converting enzyme inhibitors—experience of a hospital-based allergy center. Exp. Ther. Med. 2020, 20, 68–72. [Google Scholar] [CrossRef]
- Golder, S.; Loke, Y.K.; Bland, M. Meta-analyses of Adverse Effects Data Derived from Randomised Controlled Trials as Compared to Observational Studies: Methodological Overview. PLoS Med. 2011, 8, e1001026. [Google Scholar] [CrossRef]
- Stoto, M.A. Drug Safety Meta-Analysis: Promises and Pitfalls. Drug Saf. 2015, 38, 233–243. [Google Scholar] [CrossRef]
- Kicinski, M.; Springate, D.A.; Kontopantelis, E. Publication bias in meta-analyses from the Cochrane Database of Systematic Reviews. Stat. Med. 2015, 34, 2781–2793. [Google Scholar] [CrossRef] [PubMed]
- Phillips, R.; Hazell, L.; Sauzet, O.; Cornelius, V. Analysis and reporting of adverse events in randomised controlled trials: A review. BMJ Open 2019, 9, e024537. [Google Scholar] [CrossRef] [PubMed]
- Saini, P.; Loke, Y.K.; Gamble, C.; Altman, D.G.; Williamson, P.R.; Kirkham, J.J. Selective reporting bias of harm outcomes within studies: Findings from a cohort of systematic reviews. BMJ 2014, 349, g6501. [Google Scholar] [CrossRef] [PubMed]
- Tang, E.; Ravaud, P.; Riveros, C.; Perrodeau, E.; Dechartres, A. Comparison of serious adverse events posted at ClinicalTrials.gov and published in corresponding journal articles. BMC Med. 2015, 13, 189. [Google Scholar] [CrossRef] [PubMed]
- Mahmoudpour, S.H.; Asselbergs, F.W.; de Keyser, C.E.; Souverein, P.C.; Hofman, A.; Stricker, B.H.; de Boer, A.; Maitland-van der Zee, A.-H. Change in prescription pattern as a potential marker for adverse drug reactions of angiotensin converting enzyme inhibitors. Int. J. Clin. Pharm. 2015, 37, 1095–1103. [Google Scholar] [CrossRef]
- Averitt, A.J.; Weng, C.; Ryan, P.; Perotte, A. Translating evidence into practice: Eligibility criteria fail to eliminate clinically significant differences between real-world and study populations. NPJ Digit. Med. 2020, 3, 67. [Google Scholar] [CrossRef]
- Monti, S.; Grosso, V.; Todoerti, M.; Caporali, R.F. Randomized controlled trials and real-world data: Differences and similarities to untangle literature data. Rheumatology 2018, 57, vii54–vii58. [Google Scholar] [CrossRef]
- Oussalah, A.; Gleye, S.; Urmes, I.C.; Laugel, E.; Callet, J.; Barbé, F.; Orlowski, S.; Malaplate, C.; Aimone-Gastin, I.; Caillierez, B.M.; et al. Long-term ACE Inhibitor/ARB Use Is Associated with Severe Renal Dysfunction and Acute Kidney Injury in Patients With Severe COVID-19: Results From a Referral Center Cohort in the Northeast of France. Clin. Infect. Dis. 2020, 71, 2447–2456. [Google Scholar] [CrossRef]
- Suissa, S.; Hutchinson, T.; Brophy, J.; Kezouh, A. ACE-inhibitor use and the long-term risk of renal failure in diabetes. Kidney Int. 2006, 69, 913–919. [Google Scholar] [CrossRef]
- Wynckel, A.; Ebikili, B.; Melin, J.-P.; Randoux, C.; Lavaud, S.; Chanard, J. Long-term follow-up of acute renal failure caused by angiotensin converting enzyme inhibitors. Am. J. Hypertens. 1998, 11, 1080–1086. [Google Scholar] [CrossRef]




| Adverse Outcome | Number of Studies | Intervention | Heterogeneity | Effect Estimates | ||||
|---|---|---|---|---|---|---|---|---|
| ACE Inhibitor (Events/Total) | Placebo (Events/Total) | Chi | I2 (%) | RR | 95% CI | p-Value | ||
| Confirmatory approach | ||||||||
| Cough | 99 | 4352/54,518 | 2112/53,220 | <0.001 | 81.5 | 2.66 | 2.20–3.20 | <0.001 |
| Hypotension | 40 | 780/16,634 | 341/14,944 | 0.172 | 17.4 | 1.98 | 1.66–2.35 | <0.001 |
| Hyperkalemia | 18 | 140/6331 | 96/6140 | 0.571 | 0.0 | 1.24 | 1.01–1.52 | 0.037 |
| Angioedema | 12 | 143/16,695 | 122/16,642 | 0.164 | 28.7 | 1.32 | 0.90–1.95 | 0.160 |
| Exploratory approach | ||||||||
| Cardiovascular problems | ||||||||
| Cardiac arrhythmia | 8 | 99/3562 | 96/3311 | 0.498 | 0.0 | 0.99 | 0.75–1.29 | 0.915 |
| Chest pain | 29 | 289/8522 | 294/8360 | 0.606 | 0.0 | 0.96 | 0.82–1.11 | 0.559 |
| Congestive heart failure | 11 | 184/3767 | 209/3788 | 0.793 | 0.0 | 0.88 | 0.74–1.05 | 0.169 |
| Flushing | 5 | 21/444 | 11/425 | 0.017 | 66.6 | 3.18 | 0.49–20.48 | 0.223 |
| Hypertension | 14 | 316/16,701 | 523/16,615 | 0.232 | 20.4 | 0.60 | 0.50–0.73 | <0.001 |
| Myocardial infarction | 21 | 68/6398 | 57/5491 | 0.906 | 0.0 | 0.87 | 0.60–1.26 | 0.463 |
| Palpitation or tachycardia | 7 | 40/666 | 4/438 | 0.352 | 10.1 | 2.14 | 0.72–6.34 | 0.169 |
| Reinfarction | 4 | 15/472 | 15/473 | 0.271 | 23.4 | 0.87 | 0.27–2.81 | 0.820 |
| Revascularization | 5 | 258/4702 | 130/4006 | 0.061 | 55.7 | 0.82 | 0.55–1.25 | 0.358 |
| Worsening heart failure | 5 | 28/346 | 87/355 | 0.348 | 10.2 | 0.36 | 0.23–0.56 | <0.001 |
| Gastrointestinal problems | ||||||||
| Abdominal pain | 10 | 37/507 | 7/334 | 0.480 | 0.0 | 1.65 | 0.74–3.67 | 0.220 |
| Constipation | 5 | 5/484 | 3/184 | 0.730 | 0.0 | 0.96 | 0.26–3.51 | 0.952 |
| Diarrhea | 9 | 70/3440 | 60/31 | 0.276 | 18.8 | 1.10 | 0.68–1.78 | 0.708 |
| Flatulence | 3 | 2/80 | 2/83 | 0.364 | 1.1 | 0.89 | 0.15–5.38 | 0.903 |
| Gastroenteritis | 4 | 4/301 | 6/182 | 0.316 | 15.3 | 0.61 | 0.16–2.33 | 0.467 |
| Indigestion | 3 | 5/233 | 2/148 | 0.106 | 55.4 | 1.29 | 0.09–17.68 | 0.847 |
| Nausea & vomiting | 22 | 102/2118 | 94/1437 | 0.744 | 0.0 | 0.82 | 0.63–1.07 | 0.139 |
| Nonspecific gastrointestinal symptom | 5 | 19/370 | 18/360 | 0.792 | 0.0 | 0.98 | 0.54–1.78 | 0.955 |
| Integumentary problems | ||||||||
| Allergy | 6 | 9/511 | 5/493 | 0.944 | 0.0 | 1.47 | 0.56–3.89 | 0.432 |
| Cramp | 4 | 3/369 | 2/158 | 0.298 | 18.5 | 0.91 | 0.17–4.87 | 0.910 |
| Joint & muscle pain | 6 | 33/457 | 10/255 | 0.254 | 24.0 | 1.87 | 0.79–4.45 | 0.154 |
| Skin infection | 4 | 23/267 | 26/256 | 0.248 | 27.3 | 1.04 | 0.32–3.37 | 0.947 |
| Skin rash | 23 | 52/2264 | 34/1734 | 0.970 | 0.0 | 1.20 | 0.79–1.83 | 0.394 |
| Neuropsychiatry problems | ||||||||
| Anxiety | 3 | 6/242 | 10/250 | 0.285 | 20.4 | 0.80 | 0.20–3.18 | 0.753 |
| Dizziness | 59 | 566/37,879 | 267/35,753 | 0.481 | 0.0 | 1.46 | 1.26–1.70 | <0.001 |
| Headache | 66 | 857/383,551 | 726/35,699 | 0.293 | 8.1 | 0.95 | 0.82–1.09 | 0.460 |
| Sleep disturbance | 5 | 19/134 | 8/132 | 0.432 | 0.0 | 1.77 | 0.80–3.91 | 0.159 |
| Stroke | 6 | 7/1391 | 9/1282 | 0.772 | 0.0 | 0.73 | 0.27–1.93 | 0.522 |
| Syncope | 10 | 40/1630 | 21/1371 | 0.608 | 0.0 | 1.49 | 0.89–2.49 | 0.134 |
| Respiratory problems | ||||||||
| Dyspnea | 4 | 2/342 | 17/285 | 0.358 | 7.0 | 0.28 | 0.06–1.25 | 0.095 |
| Respiratory infection | 9 | 100/1366 | 58/949 | 0.306 | 15.3 | 1.27 | 0.89–1.81 | 0.194 |
| Respiratory problems | 10 | 46/1158 | 20/671 | 0.563 | 0.0 | 1.33 | 0.77–2.29 | 0.303 |
| Renal problems & electrolyte imbalance | ||||||||
| Edema | 11 | 67/4104 | 77/3978 | 0.348 | 10.1 | 0.81 | 0.54–1.19 | 0.281 |
| Hypokalemia | 5 | 7/309 | 24/307 | 0.106 | 47.5 | 0.47 | 0.11–2.00 | 0.307 |
| Proteinuria | 7 | 75/11,824 | 88/11,818 | 0.302 | 16.8 | 0.76 | 0.48–1.20 | 0.243 |
| Renal impairment | 19 | 432/43,013 | 314/42,851 | <0.001 | 63.3 | 1.13 | 0.72–1.75 | 0.598 |
| Urination | 4 | 5/482 | 3/270 | 0.162 | 41.61 | 0.92 | 0.14–6.11 | 0.933 |
| Miscellaneous | ||||||||
| Cancer | 11 | 76/4833 | 68/4707 | 0.468 | 0.0 | 1.09 | 0.79–1.52 | 0.588 |
| Erectile dysfunction or impotence | 4 | 3/776 | 5/322 | 0.485 | 0.0 | 0.36 | 0.09–1.45 | 0.151 |
| Fatigue | 36 | 194/3542 | 105/2307 | 0.430 | 2.3 | 1.18 | 0.94–1.49 | 0.162 |
| Flu symptoms | 3 | 11/119 | 3/93 | 0.165 | 44.5 | 0.81 | 0.08–8.16 | 0.861 |
| Inflammation | 5 | 24/250 | 13/219 | 0.816 | 0.0 | 1.68 | 0.94–3.01 | 0.082 |
| Malaise | 4 | 9/149 | 4/118 | 0.780 | 0.0 | 1.64 | 0.54–4.92 | 0.381 |
| Neutropenia | 4 | 17/761 | 21/754 | 0.834 | 0.0 | 0.80 | 0.44–1.46 | 0.464 |
| Stress | 3 | 8/127 | 5/116 | 0.539 | 0.0 | 1.31 | 0.43–3.97 | 0.629 |
| Sweating | 3 | 1/223 | 4/110 | 0.428 | 0.0 | 0.31 | 0.06–1.68 | 0.172 |
Publisher’s Note: MDPI stays neutral with regard to jurisdictional claims in published maps and institutional affiliations. |
© 2022 by the authors. Licensee MDPI, Basel, Switzerland. This article is an open access article distributed under the terms and conditions of the Creative Commons Attribution (CC BY) license (https://creativecommons.org/licenses/by/4.0/).
Share and Cite
Na Takuathung, M.; Sakuludomkan, W.; Khatsri, R.; Dukaew, N.; Kraivisitkul, N.; Ahmadmusa, B.; Mahakkanukrauh, C.; Wangthaweesap, K.; Onin, J.; Srichai, S.; et al. Adverse Effects of Angiotensin-Converting Enzyme Inhibitors in Humans: A Systematic Review and Meta-Analysis of 378 Randomized Controlled Trials. Int. J. Environ. Res. Public Health 2022, 19, 8373. https://doi.org/10.3390/ijerph19148373
Na Takuathung M, Sakuludomkan W, Khatsri R, Dukaew N, Kraivisitkul N, Ahmadmusa B, Mahakkanukrauh C, Wangthaweesap K, Onin J, Srichai S, et al. Adverse Effects of Angiotensin-Converting Enzyme Inhibitors in Humans: A Systematic Review and Meta-Analysis of 378 Randomized Controlled Trials. International Journal of Environmental Research and Public Health. 2022; 19(14):8373. https://doi.org/10.3390/ijerph19148373
Chicago/Turabian StyleNa Takuathung, Mingkwan, Wannachai Sakuludomkan, Rapheephorn Khatsri, Nahathai Dukaew, Napatsorn Kraivisitkul, Balqis Ahmadmusa, Chollada Mahakkanukrauh, Kachathip Wangthaweesap, Jirakit Onin, Salin Srichai, and et al. 2022. "Adverse Effects of Angiotensin-Converting Enzyme Inhibitors in Humans: A Systematic Review and Meta-Analysis of 378 Randomized Controlled Trials" International Journal of Environmental Research and Public Health 19, no. 14: 8373. https://doi.org/10.3390/ijerph19148373
APA StyleNa Takuathung, M., Sakuludomkan, W., Khatsri, R., Dukaew, N., Kraivisitkul, N., Ahmadmusa, B., Mahakkanukrauh, C., Wangthaweesap, K., Onin, J., Srichai, S., Buawangpong, N., & Koonrungsesomboon, N. (2022). Adverse Effects of Angiotensin-Converting Enzyme Inhibitors in Humans: A Systematic Review and Meta-Analysis of 378 Randomized Controlled Trials. International Journal of Environmental Research and Public Health, 19(14), 8373. https://doi.org/10.3390/ijerph19148373

