What Is the Mechanism of Government Green Development Behavior Considering Multi-Agent Interaction? A Meta-Analysis
Abstract
:1. Introduction
2. Theoretical Basis and Hypothesis Development
2.1. Theoretical Basis
2.2. Hypothesis Development
2.2.1. Government Green Development Behavior and Enterprise Behavior
2.2.2. Government Green Development Behavior and Public Behavior
2.2.3. Local Government and Central Government Green Development Behavior
2.2.4. Moderating Effects of Regional Heterogeneity
3. Method and Data
3.1. Meta-Analysis
3.1.1. Data and Code
3.1.2. Publication Bias Test
3.1.3. Heterogeneity Test
3.1.4. Outlier Test
3.1.5. Sensitivity Analysis
4. Results and Discussion
4.1. Result of Meta-Analysis and Discussion
4.2. Subgroup Result and Discussion
4.3. Moderating Effects Result and Discussion
4.4. Management Implication
5. Conclusions
- (1)
- Enterprise economic behavior, enterprise environmental behavior, enterprise social behavior, and public participation are all significantly and positively influenced by the green development behavior of governments.
- (2)
- Local government green development behavior has a greater binding effect than that of central governments.
- (3)
- Regional heterogeneity moderates the relationship between government green development behavior, enterprise behavior, and public behavior.
Author Contributions
Funding
Institutional Review Board Statement
Informed Consent Statement
Data Availability Statement
Conflicts of Interest
References
- Shen, L.; Wu, Y.; Lou, Y.; Zeng, D.; Shuai, C.; Song, X. What drives the carbon emission in the Chinese cities?—A case of pilot low carbon city of Beijing. J. Clean. Prod. 2018, 174, 343–354. [Google Scholar] [CrossRef]
- International Energy Agency. Global Energy Review: CO2 Emissions in 2021. 2022. Available online: https://www.iea.org/data-and-statistics/data-product/global-energy-review-co2-emissions-in-2021 (accessed on 2 June 2022).
- BP Global. Statistical Review of World Energy. 2021. Available online: https://www.bp.com/en/global/corporate/energy-economics/statistical-review-of-world-energy.html (accessed on 2 June 2022).
- International Energy Agency. Policies Database. 2022. Available online: https://www.iea.org/policies?type=Regulation (accessed on 2 June 2022).
- World Bank Group. Wastewater a Resource That Can Pay Dividends for People, the Environment, and Economies, Says World Bank. 2020. Available online: https://www.worldbank.org/en/news/press-release/2020/03/19/wastewater-a-resource-that-can-pay-dividends-for-people-the-environment-and-economies-says-world-bank (accessed on 2 July 2022).
- Kaza, S.; Yao, L.; Perinaz, B.; Van Woerden, F. What a waste 2.0: A global snapshot of solid waste management to 2050. In Urban Development; World Bank: Washington, DC, USA, 2018; Available online: http://hdl.handle.net/10986/30317 (accessed on 2 July 2022).
- UNEP; UNEP DTU Partnership. Emissions Gap Report. Available online: https://www.unep.org/zh-hans/resources/emissions-gap-report-2021 (accessed on 2 June 2022).
- Li, X.; Huang, Y.; Li, J.; Liu, X.; He, J.; Dai, J. The mechanism of influencing green technology innovation behavior: Evidence from Chinese construction enterprises. Buildings 2022, 12, 237. [Google Scholar] [CrossRef]
- Li, X.; Dai, J.; Li, J.; He, J.; Liu, X.; Huang, Y.; Shen, Q. Research on the impact of enterprise green development behavior: A meta-analytic approach. Behav. Sci. 2022, 12, 35. [Google Scholar] [CrossRef] [PubMed]
- Li, X.; Du, J.; Long, H. Understanding the green development behavior and performance of industrial enterprises (gdbp-ie): Scale development and validation. Int. J. Environ. Res. Public Health 2020, 17, 1716. [Google Scholar] [CrossRef] [Green Version]
- Li, X.; Du, J.; Long, H. Mechanism for green development behavior and performance of industrial enterprises (gdbp-ie) using partial least squares structural equation modeling (PLS-SEM). Int. J. Environ. Res. Public Health 2020, 17, 8450. [Google Scholar] [CrossRef]
- Li, X.; Du, J.; Long, H. Dynamic analysis of international green behavior from the perspective of the mapping knowledge domain. Environ. Sci. Pollut. Res. 2019, 26, 6087–6098. [Google Scholar] [CrossRef]
- Ren, S.; Li, X.; Yuan, B.; Li, D.; Chen, X. The effects of three types of environmental regulation on eco-efficiency: A cross-region analysis in China. J. Clean. Prod. 2018, 173, 245–255. [Google Scholar] [CrossRef]
- Cheng, B.; Huang, J.; Li, J.; Chen, S.; Chen, H. Improving contractors’ participation of resource utilization in construction and demolition waste through government incentives and punishments. Environ. Manag. 2022, 1–15, online ahead of print. [Google Scholar] [CrossRef]
- Zhou, Q.; Zhong, S.; Shi, T.; Zhang, X. Environmental regulation and haze pollution: Neighbor-companion or neighbor-beggar? Energy Policy 2021, 151, 112183. [Google Scholar] [CrossRef]
- Demirel, P.; Iatridis, K.; Kesidou, E. The impact of regulatory complexity upon self-regulation: Evidence from the adoption and certification of environmental management systems. J. Environ. Manag. 2018, 207, 80–91. [Google Scholar] [CrossRef] [Green Version]
- Ji, H.; Miao, Z. Corporate social responsibility and collaborative innovation: The role of government support. J. Clean. Prod. 2020, 260, 121028. [Google Scholar] [CrossRef]
- Jiang, Z.; Wang, Z.; Lan, X. How environmental regulations affect corporate innovation? The coupling mechanism of mandatory rules and voluntary management. Technol. Soc. 2021, 65, 101575. [Google Scholar] [CrossRef]
- Xie, L.; Li, Z.; Ye, X.; Jiang, Y. Environmental regulation and energy investment structure: Empirical evidence from China’s power industry. Technol. Forecast. Soc. Chang. 2021, 167, 120690. [Google Scholar] [CrossRef]
- Freeman, R.E. Strategic Management: A Stakeholder Approach; Cambridge University Press: Cambridge, UK, 2010. [Google Scholar]
- Arora, P.; De, Y. Environmental sustainability practices and exports: The interplay of strategy and institutions in Latin America. J. World Bus. 2020, 55, 101094. [Google Scholar] [CrossRef]
- Tapaninaho, R.; Heikkinen, A. Value creation in circular economy business for sustainability: A stakeholder relationship perspective. Bus. Strategy Environ. 2022, 1–13. [Google Scholar] [CrossRef]
- Yi, L.; Li, T.; Wang, X.; Ge, G.; Zhang, T. Corporate social responsibility performance evaluation from the perspective of stakeholder heterogeneity based on fuzzy analytical hierarchy process integrated topsis. Corp. Soc. Responsib. Environ. Manag. 2022, 1–18. [Google Scholar] [CrossRef]
- Du, L.; Feng, Y.; Lu, W.; Kong, L.; Yang, Z. Evolutionary game analysis of stakeholders’ decision-making behaviours in construction and demolition waste management. Environ. Impact Assess. Rev. 2020, 84, 106408. [Google Scholar] [CrossRef]
- Mia, P.; Rana, T.; Ferdous, L.T. Government reform, regulatory change and carbon disclosure: Evidence from Australia. Sustainability 2021, 13, 13282. [Google Scholar] [CrossRef]
- Sun, R.; Wang, H. Game analysis for stimulating the driving forces of government data open from the perspective of new institutionalism theory. J. Inf. Resour. Manag. 2020, 10, 8. [Google Scholar] [CrossRef]
- DiMaggio, P.J.; Powell, W.W. The iron cage revisited: Institutional isomorphism and collective rationality in organizational fields. Am. Sociol. Rev. 1983, 48, 147–160. [Google Scholar] [CrossRef] [Green Version]
- Pache, A.C.; Santos, F. Inside the hybrid organization: Selective coupling as a response to competing institutional logics. Acad. Manag. J. 2013, 56, 972–1001. [Google Scholar] [CrossRef] [Green Version]
- Chen, J.; Huang, J.; Huang, X.; Sun, S.; Hao, Y.; Wu, H. How does new environmental law affect public environmental protection activities in China? Evidence from structural equation model analysis on legal cognition. Sci. Total Environ. 2020, 714, 136558. [Google Scholar] [CrossRef]
- Hanim Mohamad Zailani, S.; Eltayeb, T.K.; Hsu, C.; Choon Tan, K. The impact of external institutional drivers and internal strategy on environmental performance. Int. J. Oper. Prod. Manag. 2012, 32, 721–745. [Google Scholar] [CrossRef]
- Agan, Y.; Acar, M.F.; Borodin, A. Drivers of environmental processes and their impact on performance: A study of Turkish SMEs. J. Clean. Prod. 2013, 51, 23–33. [Google Scholar] [CrossRef]
- Guo, L.; Qu, Y.; Tseng, M.-L. The interaction effects of environmental regulation and technological innovation on regional green growth performance. J. Clean. Prod. 2017, 162, 894–902. [Google Scholar] [CrossRef]
- Huang, Y.C.; Chen, C.T. Institutional pressure, firm’s green resources and green product innovation: Evidence from Taiwan’s electrical and electronics sector. Eur. J. Innov. Manag. 2021. ahead-of-print. [Google Scholar] [CrossRef]
- Liu, H.; Zhu, G.; Li, Y. Research on the impact of environmental risk perception and public participation on evaluation of local government environmental regulation implementation behavior. Environ. Chall. 2021, 5, 100213. [Google Scholar] [CrossRef]
- Bohlmann, C.; Krumbholz, L.; Zacher, H. The triple bottom line and organizational attractiveness ratings: The role of pro-environmental attitude. Corp. Soc. Responsib. Environ. Manag. 2018, 25, 912–919. [Google Scholar] [CrossRef]
- Wu, G. Environmental innovation approaches and business performance: Effects of environmental regulations and resource commitment. Innovation 2017, 19, 407–427. [Google Scholar] [CrossRef]
- Zhang, Y.; Zhao, Z. Environmental regulations and corporate social responsibility: Evidence from China’s real-time air quality monitoring policy. Financ. Res. Lett. 2022, 48, 102973. [Google Scholar] [CrossRef]
- Wu, L.; Ma, T.; Bian, Y.; Li, S.; Yi, Z. The local environmental state in China: A study of county-level cities in Suzhou. China Q. 2011, 205, 115–132. [Google Scholar] [CrossRef]
- Li, Z.; Hou, Y.; Cao, J.; Ding, Y.; Yuan, X. What drives green development in China: Public pressure or the willingness of local government? Environ. Sci. Pollut. Res. 2021, 29, 5454–5468. [Google Scholar] [CrossRef]
- Al-Swidi, A.; Saleh, R.M. How green our future would be? An investigation of the determinants of green purchasing behavior of young citizens in a developing country. Environ. Dev. Sustain. 2021, 23, 13436–13468. [Google Scholar] [CrossRef]
- Xu, J.; Byrne, J. Explaining the evolution of China’s government–environmental NGO relations since the 1990s: A conceptual framework and case study. Asian Stud. Rev. 2020, 45, 615–634. [Google Scholar] [CrossRef]
- Walther, B.A.; Yen, N.; Hu, C. Strategies, actions, and policies by Taiwan’s ENGOs, media, and government to reduce plastic use and marine plastic pollution. Mar. Policy 2021, 126, 104391. [Google Scholar] [CrossRef]
- Wu, L.; Ma, T.; Bian, Y.; Li, S.; Yi, Z. Improvement of regional environmental quality: Government environmental governance and public participation. Sci. Total Environ. 2020, 717, 137265. [Google Scholar] [CrossRef]
- Wang, Y.; Zhao, N.; Lei, X.; Long, R. Green finance innovation and regional green development. Sustainability 2021, 13, 8230. [Google Scholar] [CrossRef]
- Zhou, B.; Wang, Q.; Zhang, C. Central–local governance gaps: The evolving differentiation of climate policies in China. Sustain. Sci. 2022, 1–10. [Google Scholar] [CrossRef]
- Zou, X.; Lei, C.; Gao, K.; Hu, C. Impact of environmental decentralization on regional green development. J. Environ. Dev. 2019, 28, 412–441. [Google Scholar] [CrossRef]
- Michael Borenstein, L.V.H.; Higgins, J.P.T.; Rothstein, H.R. Front matter. In Introduction to Meta-Analysis; John Wiley & Sons: New York, NY, USA, 2009; pp. 1–29. [Google Scholar]
- Palumbo, S.A.; Robishaw, J.D.; Krasnoff, J.; Hennekens, C.H. Different biases in meta-analyses of case-control and cohort studies: An example from genomics and precision medicine. Ann. Epidemiol. 2021, 58, 38–41. [Google Scholar] [CrossRef]
- Zhao, G.; Geng, Y.; Sun, H.; Tian, X.; Chen, W.; Wu, D. Correction to: Mapping the knowledge of green consumption: A meta-analysis. Environ. Sci. Pollut. Res. 2022, 29, 27608. [Google Scholar] [CrossRef] [PubMed]
- Michael Borenstein, L.V.H.; Higgins, J.P.T.; Rothstein, H.R. How a meta-analysis works. In Introduction to Meta-Analysis; John Wiley & Sons: New York, NY, USA, 2009; pp. 1–7. [Google Scholar]
- Fisher, R.A. Frequency distribution of the values of the correlation coeffients in samples from an indefinitely large population. Biometrika 1915, 10, 507–521. [Google Scholar] [CrossRef] [Green Version]
- Jiménez-Parra, B.; Alonso-Martínez, D.; Godos-Díez, J.L. The influence of corporate social responsibility on air pollution: Analysis of environmental regulation and eco-innovation effects. Corp. Soc. Responsib. Environ. Manag. 2018, 25, 1363–1375. [Google Scholar] [CrossRef]
- Zhang, W.; Sun, B.; Xu, F. Promoting green product development performance via leader green transformationality and employee green self-efficacy: The moderating role of environmental regulation. Int. J. Environ. Res. Public Health 2020, 17, 6678. [Google Scholar] [CrossRef]
- Aboelmaged, M. The drivers of sustainable manufacturing practices in Egyptian SMEs and their impact on competitive capabilities: A pls-sem model. J. Clean. Prod. 2018, 175, 207–221. [Google Scholar] [CrossRef]
- Ramírez, R.R.; Palos-Sánchez, P.R. Environmental firms’ better attitude towards nature in the context of corporate compliance. Sustainability 2018, 10, 3321. [Google Scholar] [CrossRef] [Green Version]
- Khan, S.A.R.; Ponce, P.; Thomas, G.; Yu, Z.; Al-Ahmadi, M.S.; Tanveer, M. Digital technologies, circular economy practices and environmental policies in the era of COVID-19. Sustainability 2021, 13, 12790. [Google Scholar] [CrossRef]
- Pham, H.; Pham, T.; Dang, C. Barriers to corporate social responsibility practices in construction and roles of education and government support. Eng. Constr. Arch. Manag. 2021. ahead-of-print. [Google Scholar] [CrossRef]
- Shahzad, M.; Qu, Y.; Zafar, A.U.; Ding, X.; Rehman, S.U. Translating stakeholders’ pressure into environmental practices—The mediating role of knowledge management. J. Clean. Prod. 2020, 275, 124163. [Google Scholar] [CrossRef]
- Al-Kumaim, N.H.; Shabbir, M.S.; Alfarisi, S.; Hassan, S.H.; Alhazmi, A.K.; Hishan, S.S.; Al-Shami, S.; Gazem, N.A.; Mohammed, F.; Abu Al-Rejal, H.M. Fostering a clean and sustainable environment through green product purchasing behavior: Insights from Malaysian consumers’ perspective. Sustainability 2021, 13, 12585. [Google Scholar] [CrossRef]
- Xue, J.; He, Y.; Liu, M.; Tang, Y.; Xu, H. Incentives for corporate environmental information disclosure in China: Public media pressure, local government supervision and interactive effects. Sustainability 2021, 13, 10016. [Google Scholar] [CrossRef]
- Jun, W.; Ali, W.; Bhutto, M.Y.; Hussain, H.; Khan, N.A. Examining the determinants of green innovation adoption in SMEs: A pls-sem approach. Eur. J. Innov. Manag. 2019, 24, 67–87. [Google Scholar] [CrossRef]
- Michael Borenstein, L.V.H.; Higgins, J.P.T.; Rothstein, H.R. Identifying and quantifying heterogeneity. In Introduction to Meta-Analysis; John Wiley & Sons: New York, NY, USA, 2009; pp. 107–125. [Google Scholar]
- Sun, T.; Feng, Q. Evolutionary game of environmental investment under national environmental regulation in China. Environ. Sci. Pollut. Res. 2021, 28, 53432–53443. [Google Scholar] [CrossRef]
- Wang, Y.; Hu, J.; Hu, Y.; Wang, Y. Which is more effective: The carrot or the stick? Environmental policy, green innovation and enterprise energy efficiency—A quasi-natural experiment from China. Front. Environ. Sci. 2022, 10, 293. [Google Scholar] [CrossRef]
- Liu, Q.; Li, L. Spatial heterogeneity of government regulation, spatial distance and enterprise carbon information disclosure: An analysis based on the heavy pollution industry in China. Int. J. Environ. Res. Public Health 2019, 16, 4777. [Google Scholar] [CrossRef] [Green Version]
- Tang, Y.; Zhu, J.; Ma, W.; Zhao, M. A study on the impact of institutional pressure on carbon information disclosure: The mediating effect of enterprise peer influence. Int. J. Environ. Res. Public Health 2022, 19, 4174. [Google Scholar] [CrossRef]
- Ministry of Ecology and Environment of the People’s Republic of China. Eco-Environmental Statistics Annual Report. 2022. Available online: https://www.mee.gov.cn/hjzl/sthjzk/zghjzkgb/202205/P020220608338202870777.pdf (accessed on 2 June 2022).
- Horváthová, E. The impact of environmental performance on firm performance: Short-term costs and long-term benefits? Ecol. Econ. 2012, 84, 91–97. [Google Scholar] [CrossRef]
- Lu, Y.; Abeysekera, I. Stakeholders’ power, corporate characteristics, and social and environmental disclosure: Evidence from China. J. Clean. Prod. 2014, 64, 426–436. [Google Scholar] [CrossRef] [Green Version]
- Chu, Z.; Bian, C.; Yang, J. How can public participation improve environmental governance in China? A policy simulation approach with multi-player evolutionary game. Environ. Impact Assess. Rev. 2022, 95, 106782. [Google Scholar] [CrossRef]






| Researcher | Central Government Green Development Behavior | Local Government Green Development Behavior | Enterprise Economic Behavior | Enterprise Environmental Behavior | Enterprise Social Behavior | Public Participation |
|---|---|---|---|---|---|---|
| Zailani et al. (2012) [30] | √ | √ | √ | |||
| Agan et al. (2013) [31] | √ | √ | √ | √ | √ | |
| Guo et al. (2017) [32] | √ | √ | ||||
| Chen et al. (2020) [29] | √ | √ | ||||
| Huang et al. (2021) [33] | √ | √ | ||||
| Liu et al. (2021) [34] | √ | √ | ||||
| This research | √ | √ | √ | √ | √ | √ |
| Author Year | Outcome | Sample Size | Fisher’s Z | Standard Error | Subject | Region | |
|---|---|---|---|---|---|---|---|
| 1 | Wu (2017) [36] | EEnvB 1 | 227 | 0.388 | 0.067 | local | China |
| 2 | Jiménez-Parra et al. (2018) [52] | ESB 2 | 213 | 0.104 | 0.069 | central | various |
| 3 | Guo et al. (2017) [32] | EEnvB | 60 | 0.822 | 0.132 | local | China |
| 4 | Zhang et al. (2020) [53] | EEnvB | 298 | 0.873 | 0.058 | central | China |
| 5 | Liu et al. (2021) [34] | PP 3 | 6309 | 0.519 | 0.013 | local | China |
| 6 | Aboelmaged (2017) [54] | EEconB 4, EEnvB | 238 | 0.182, 0.090 | 0.065, 0.065 | various | Egypt |
| 7 | Chen et al. (2020) [29] | PP | 544 | 0.121 | 0.043 | central | China |
| 8 | Ramírez et al. (2018) [55] | EEconB | 407 | 0.587 | 0.050 | central | Spain |
| 9 | Khan et al. (2021) [56] | EEconB | 214 | 0.267 | 0.069 | central | USA |
| 10 | Zailani et al. (2012) [30] | EEnvB | 132 | 0.393 | 0.088 | central | Malaysia |
| 11 | Agan et al. (2013) [31] | ESB, EEconB, EEnvB | 500 | 0.102, 0.329, 0.300 | 0.045, 0.045, 0.045 | central | Turkey |
| 12 | Huang et al. (2021) [33] | EEnvB | 270 | 0.331 | 0.061 | local | China |
| 13 | Li et al. (2020) [11] | EEnvB | 615 | 0.511 | 0.040 | central | China |
| 14 | Pham et al. (2021) [57] | ESB | 137 | 0.210 | 0.086 | central | Vietnam |
| 15 | Shahzad et al. (2020) [58] | ESB | 318 | 0.353 | 0.056 | central | Pakistan |
| 16 | Al-Kumaim et al. (2021) [59] | PP | 300 | 0.499 | 0.058 | central | Malaysia |
| 17 | Xue et al. (2021) [60] | ESB | 360 | 0.081 | 0.053 | central | China |
| 18 | Wen et al. (2019) [61] | EEnvB | 288 | 0.968 | 0.059 | central | Pakistan |
| Outcome | Rosenthal’s Fail-Safe N | Begg and Mazumdar Rank Correlation p-Value | Egger’s Regression (2-Tailed) | ||||
|---|---|---|---|---|---|---|---|
| z-Value | p-Value | α | p-Value | Low Limit | Upper Limit | ||
| Enterprise economic behavior | 12.910 | <0.001 | 0.050 | 0.497 | 0.484 | −48.758 | 32.631 |
| Enterprise environmental behavior | 24.648 | <0.001 | 0.050 | 0.835 | 0.782 | −12.253 | 15.654 |
| Enterprise social behavior | 6.271 | <0.001 | 0.050 | 0.327 | 0.687 | −13.169 | 17.437 |
| Public participation | 30.379 | <0.001 | 0.050 | 0.602 | 0.535 | −90.684 | 78.732 |
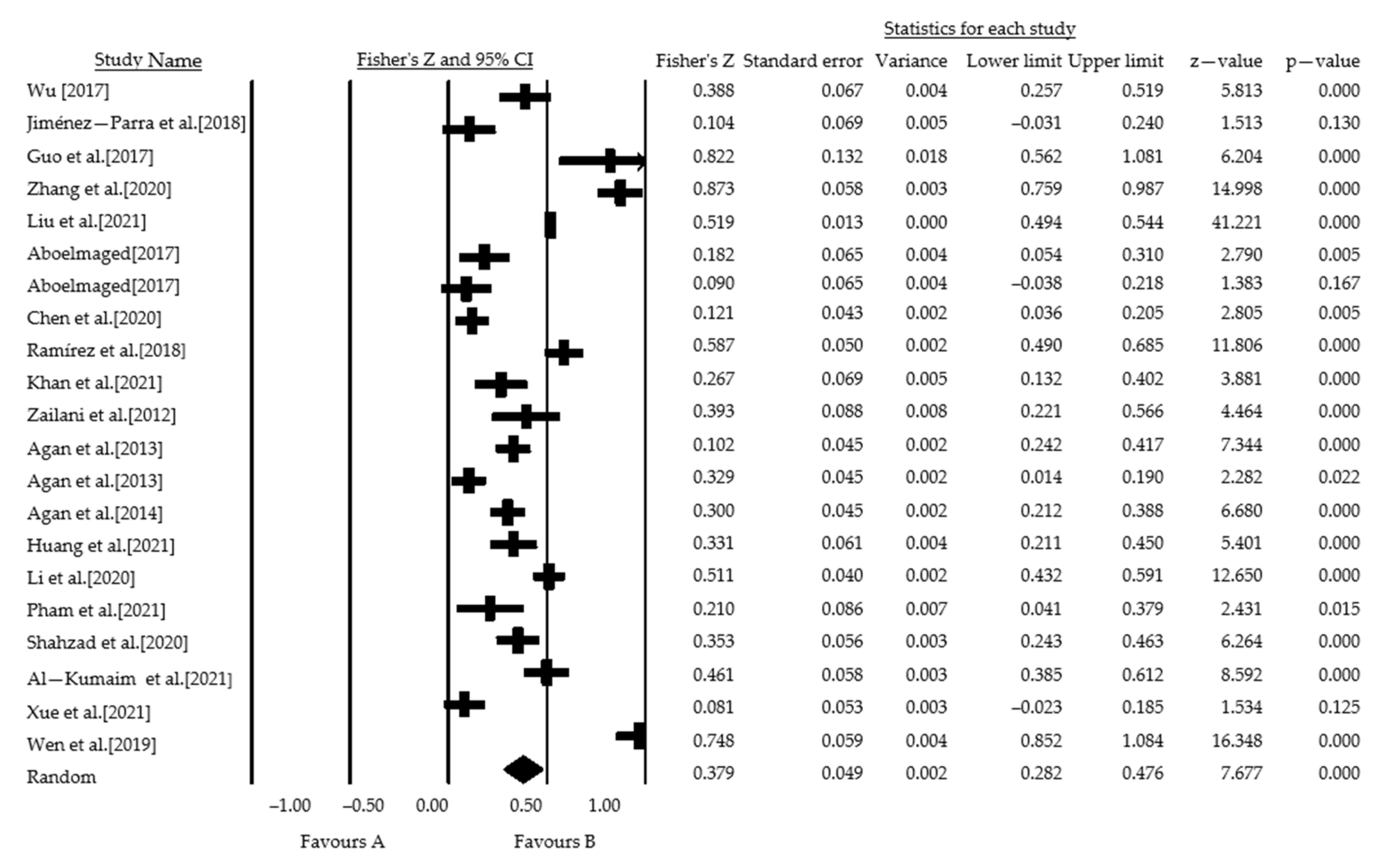
| Model | k | Combined Effect Size | 95% Confidence Interval | Q-Value | df | p-Value | I2 | τ2 | |
|---|---|---|---|---|---|---|---|---|---|
| Low Limit | Upper Limit | ||||||||
| fixed | 21 | 0.438 | 0.420 | 0.455 | 457.122 | 20 | <0.001 | 95.625 | 0.047 |
| random | 21 | 0.379 | 0.282 | 0.476 | |||||
| Category | Outcome | k | Combined Effect Size | 95% CI | p-Value | Total Effect Size | |
|---|---|---|---|---|---|---|---|
| Low Limit | Upper Limit | ||||||
| Enterprise behavior | enterprise economic behavior | 3 | 0.411 | 0.353 | 0.470 | <0.001 | |
| enterprise environmental behavior | 8 | 0.536 | 0.496 | 0.576 | <0.001 | 0.433 | |
| enterprise social behavior | 3 | 0.201 | 0.137 | 0.265 | <0.001 | ||
| Public behavior | public participation | 2 | 0.518 | 0.494 | 0.542 | <0.001 | 0.518 |
| Group | k | Effect Size | 95% CI | Q-Value | df | p-Value | I2 | τ2 | |
|---|---|---|---|---|---|---|---|---|---|
| Low Limit | Upper Limit | ||||||||
| Central | 12 | 0.441 | 0.411 | 0.472 | 236.421 | 11 | <0.001 | 95.347 | 0.060 |
| Local | 4 | 0.510 | 0.486 | 0.534 | 17.970 | 3 | <0.001 | 83.306 | 0.01 |
| Region | k | Effect Size | 95% CI | Q-Value | df | p-Value | I2 | τ2 | Qw | Qb | |
|---|---|---|---|---|---|---|---|---|---|---|---|
| Low Limit | Upper Limit | ||||||||||
| China | 6 | 0.524 | 0.502 | 0.546 | 55.387 | 5 | <0.001 | 90.973 | 0.020 | 128.198 | 138.408 |
| Malaysia | 2 | 0.467 | 0.372 | 0.562 | 1.001 | 1 | >0.050 | 0.130 | 0 | *** 1 | *** 1 |
| Pakistan | 2 | 0.645 | 0.565 | 0.725 | 56.672 | 1 | <0.001 | 98.235 | 0.186 | ||
| Spain | 1 | 0.587 | 0.490 | 0.685 | 0 | 0 | >0.050 | 0 | 0 | ||
| Turkey | 3 | 0.244 | 0.193 | 0.295 | 15.137 | 2 | <0.001 | 86.788 | 0.013 | ||
| USA | 1 | 0.267 | 0.132 | 0.402 | 0 | 0 | >0.050 | 0 | 0 | ||
| Vietnam | 1 | 0.210 | 0.041 | 0.379 | 0 | 0 | >0.050 | 0 | 0 | ||
Publisher’s Note: MDPI stays neutral with regard to jurisdictional claims in published maps and institutional affiliations. |
© 2022 by the authors. Licensee MDPI, Basel, Switzerland. This article is an open access article distributed under the terms and conditions of the Creative Commons Attribution (CC BY) license (https://creativecommons.org/licenses/by/4.0/).
Share and Cite
Li, X.; Dai, J.; Zhu, X.; He, J.; Li, J.; Liu, X.; Huang, Y.; Shen, Q. What Is the Mechanism of Government Green Development Behavior Considering Multi-Agent Interaction? A Meta-Analysis. Int. J. Environ. Res. Public Health 2022, 19, 8263. https://doi.org/10.3390/ijerph19148263
Li X, Dai J, Zhu X, He J, Li J, Liu X, Huang Y, Shen Q. What Is the Mechanism of Government Green Development Behavior Considering Multi-Agent Interaction? A Meta-Analysis. International Journal of Environmental Research and Public Health. 2022; 19(14):8263. https://doi.org/10.3390/ijerph19148263
Chicago/Turabian StyleLi, Xingwei, Jiachi Dai, Xiaowen Zhu, Jinrong He, Jingru Li, Xiang Liu, Yicheng Huang, and Qiong Shen. 2022. "What Is the Mechanism of Government Green Development Behavior Considering Multi-Agent Interaction? A Meta-Analysis" International Journal of Environmental Research and Public Health 19, no. 14: 8263. https://doi.org/10.3390/ijerph19148263
APA StyleLi, X., Dai, J., Zhu, X., He, J., Li, J., Liu, X., Huang, Y., & Shen, Q. (2022). What Is the Mechanism of Government Green Development Behavior Considering Multi-Agent Interaction? A Meta-Analysis. International Journal of Environmental Research and Public Health, 19(14), 8263. https://doi.org/10.3390/ijerph19148263

