Ischemic Preconditioning with High and Low Pressure Enhances Maximum Strength and Modulates Heart Rate Variability
Abstract
:1. Introduction
2. Materials and Methods
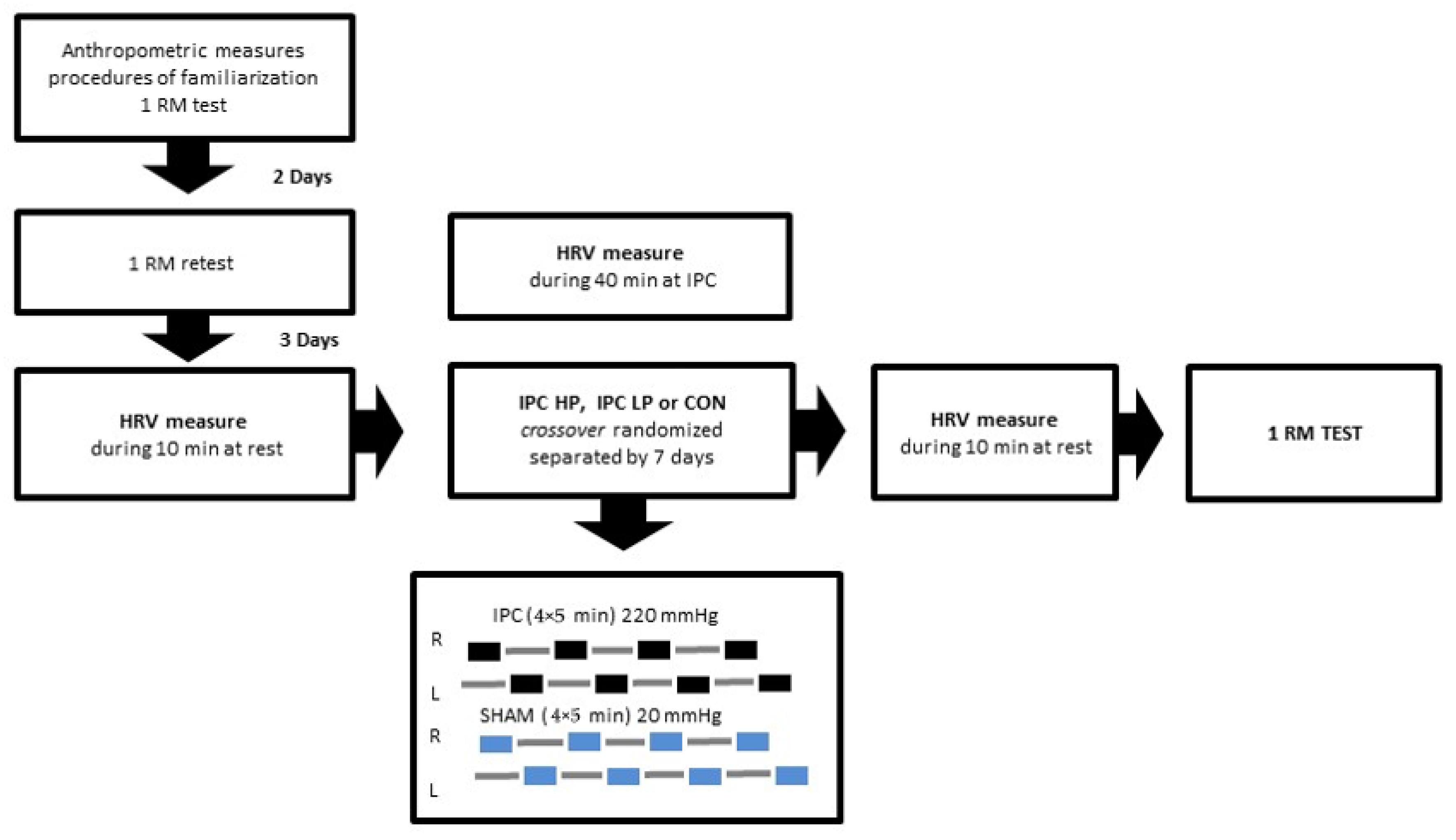
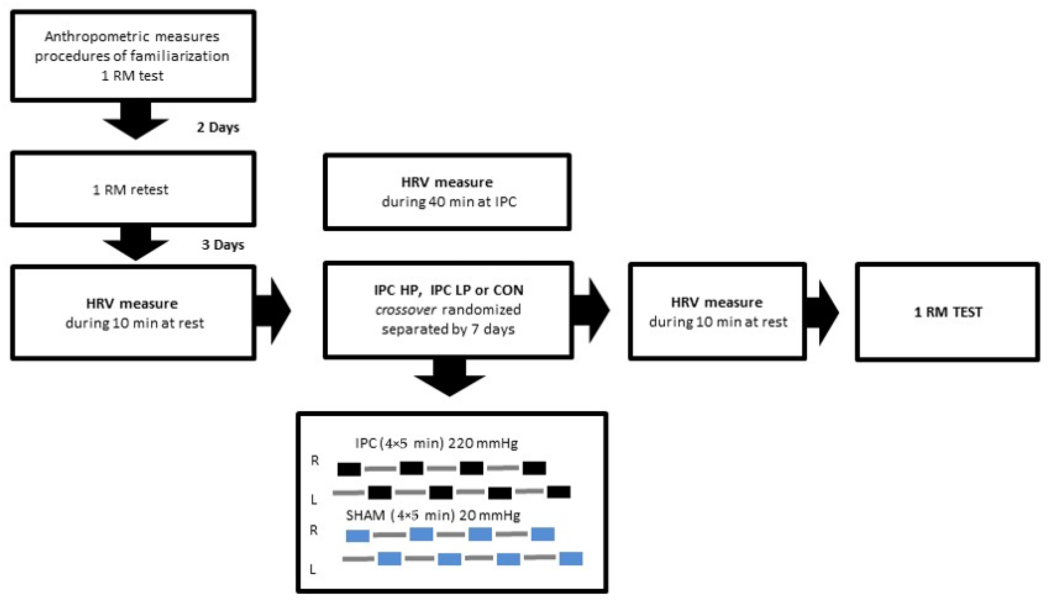
2.1. Experimental Design
2.2. Sample and Ethical Procedures
2.3. Procedures
2.3.1. Ischemic Preconditioning Protocols
2.3.2. Anthropometric Evaluation
2.3.3. One Repetition Maximum (1 RM) Testing
2.3.4. Heart Rate Variability (HRV)
2.4. Statistical Analysis
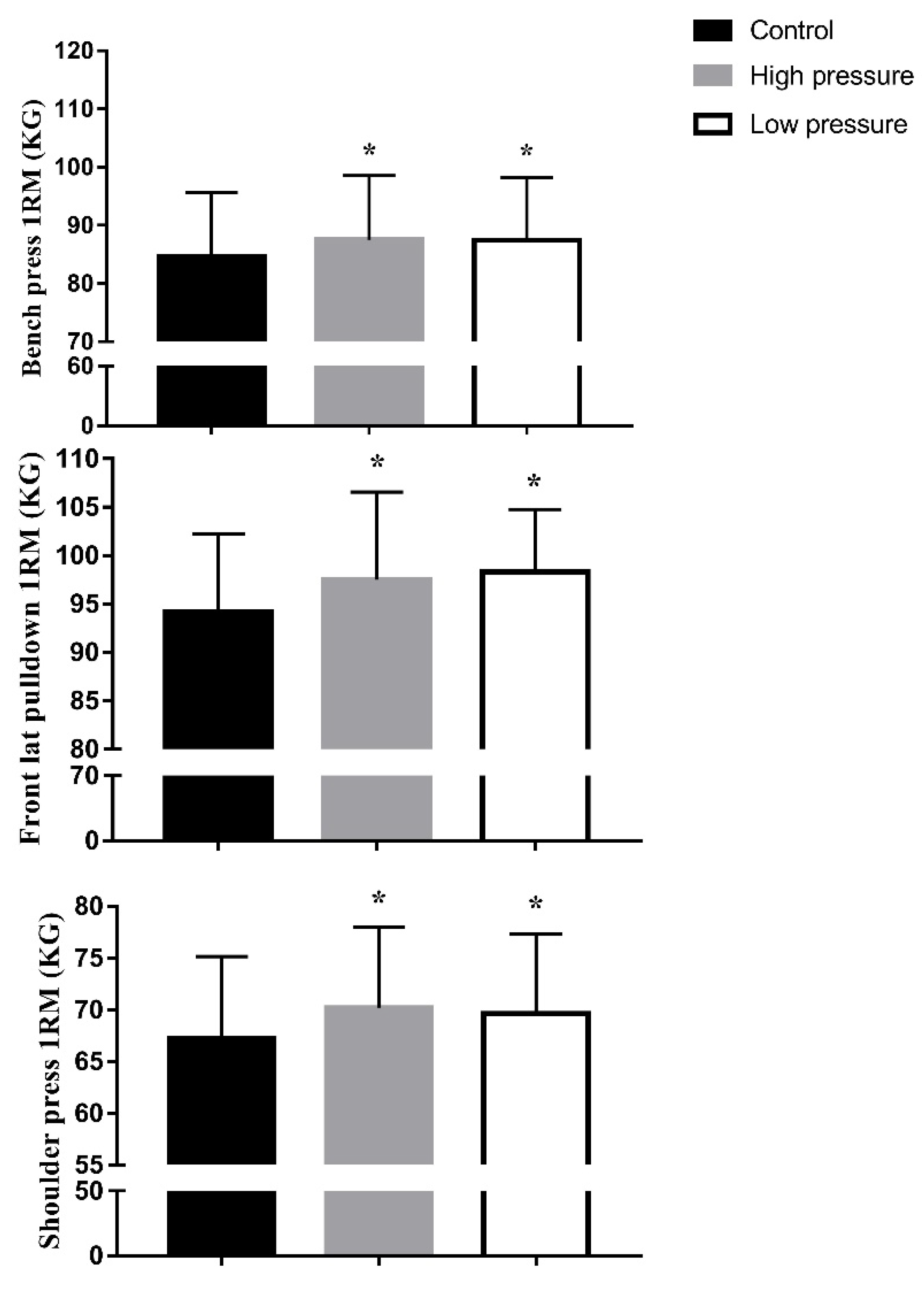
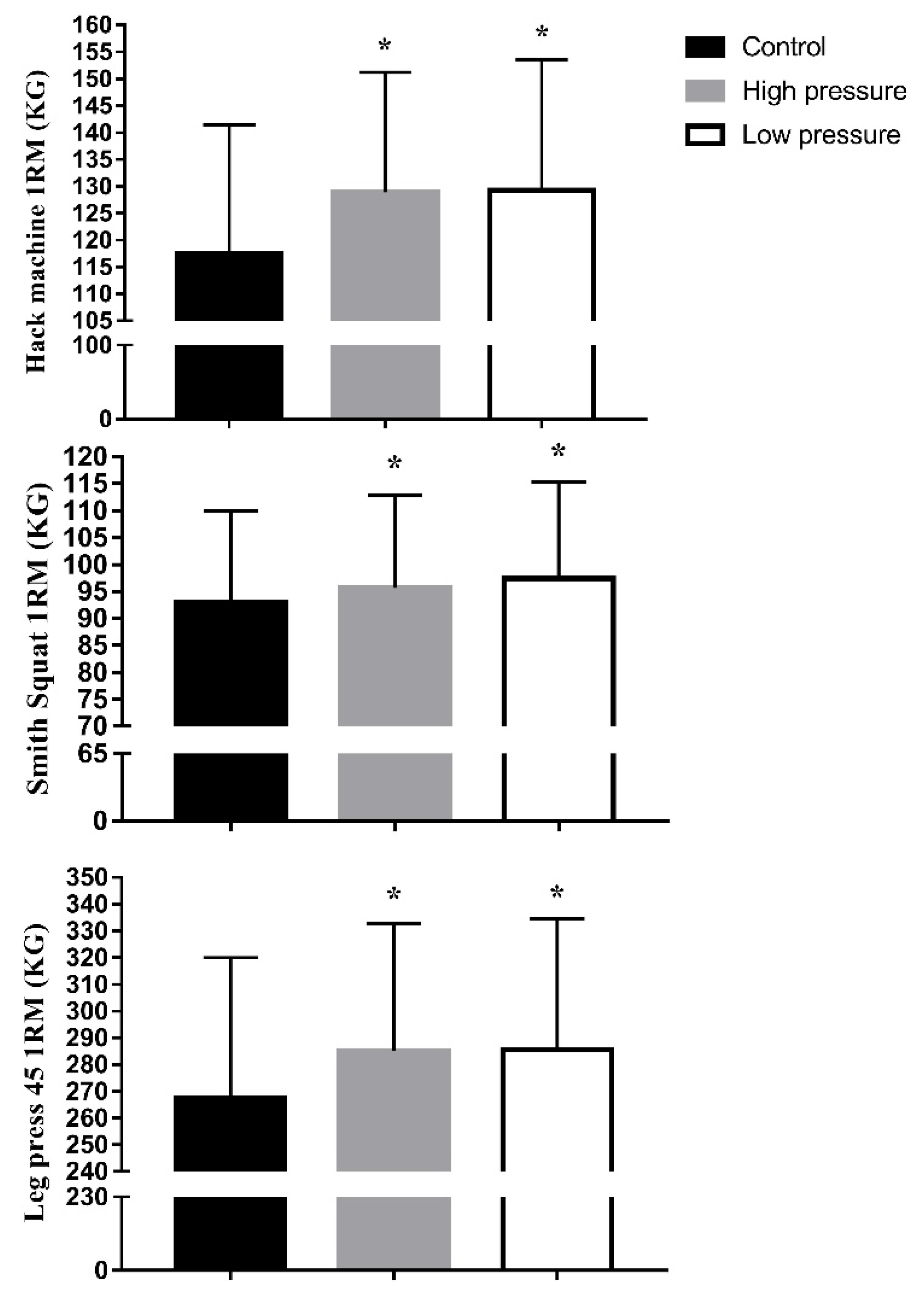
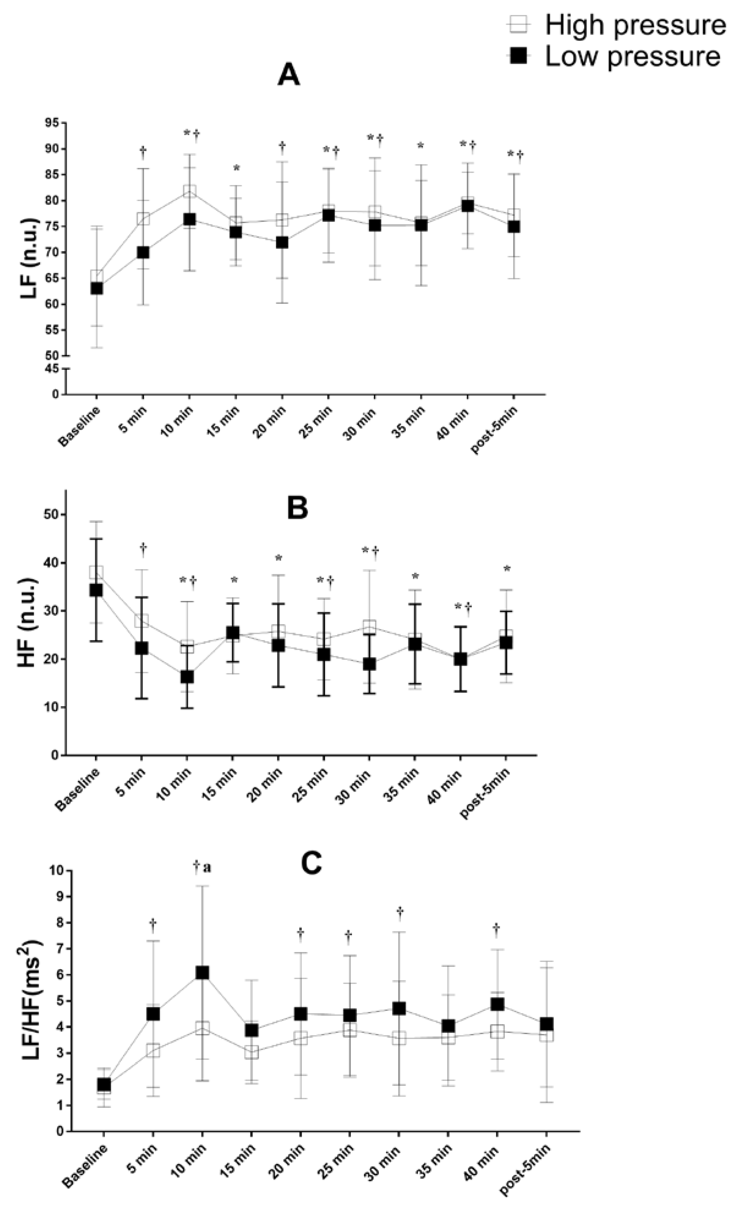
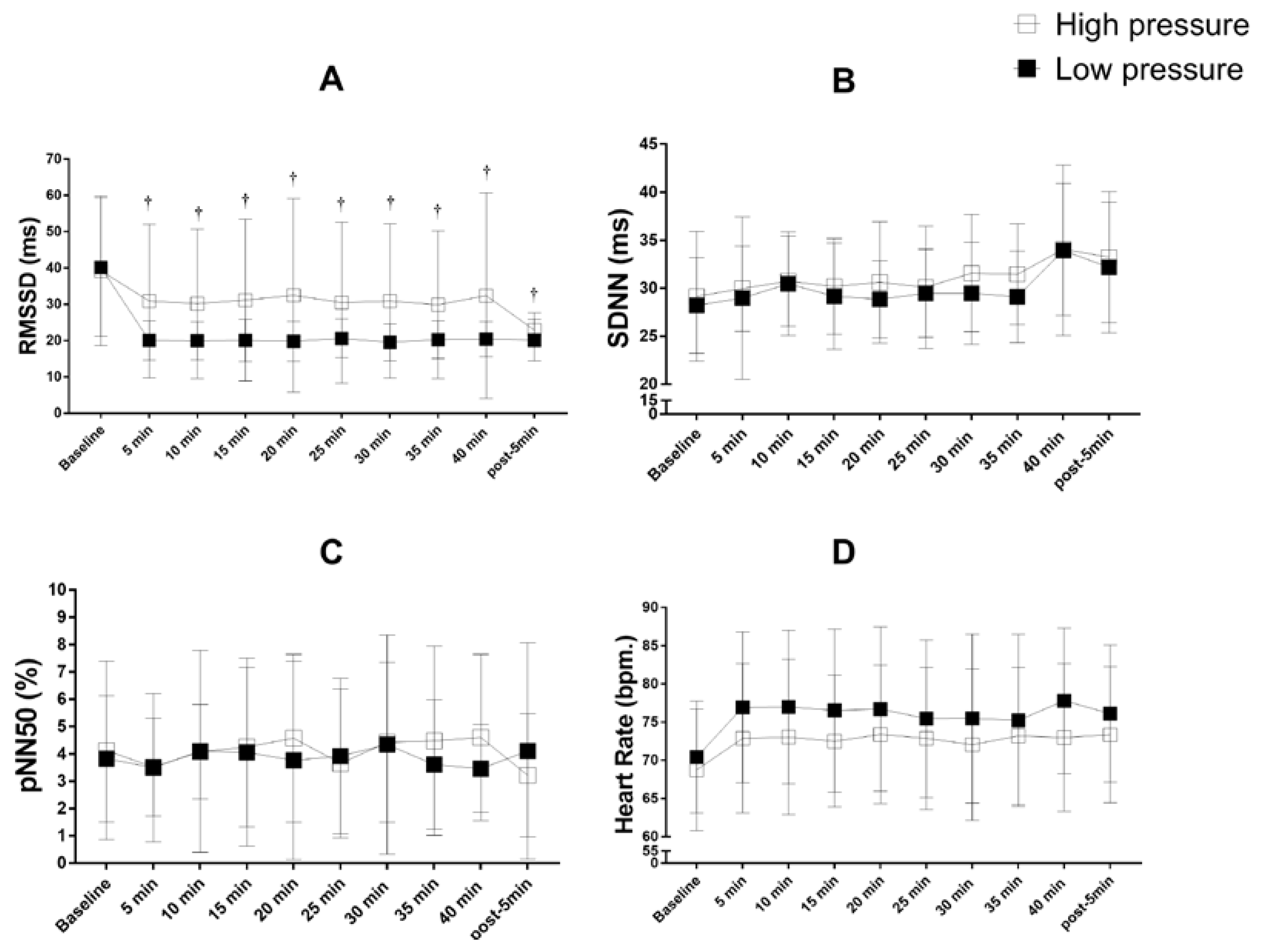
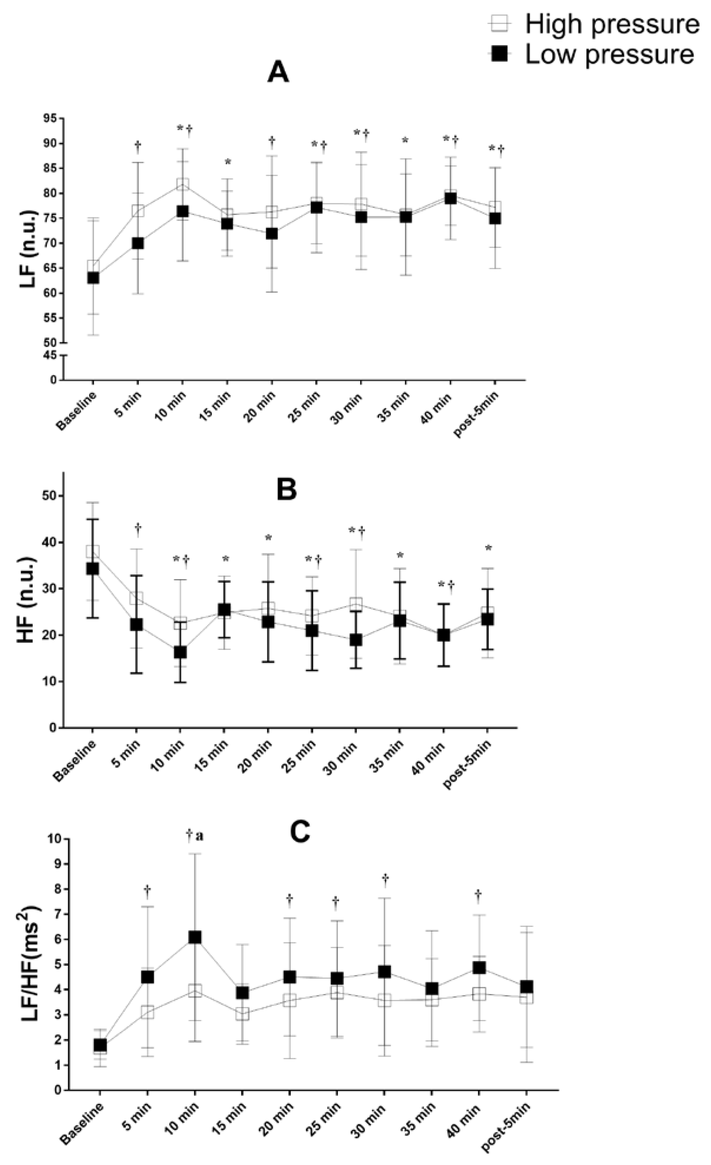
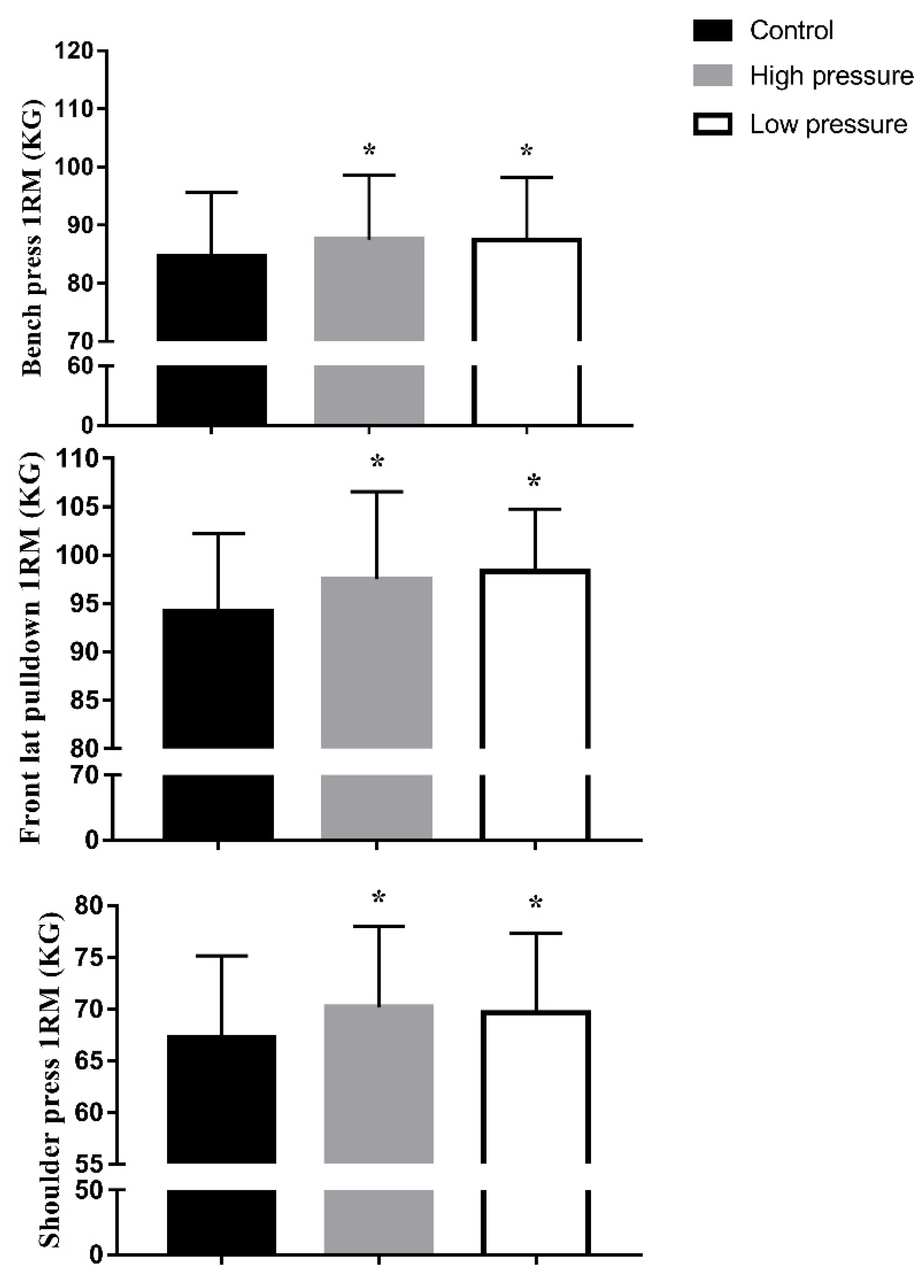
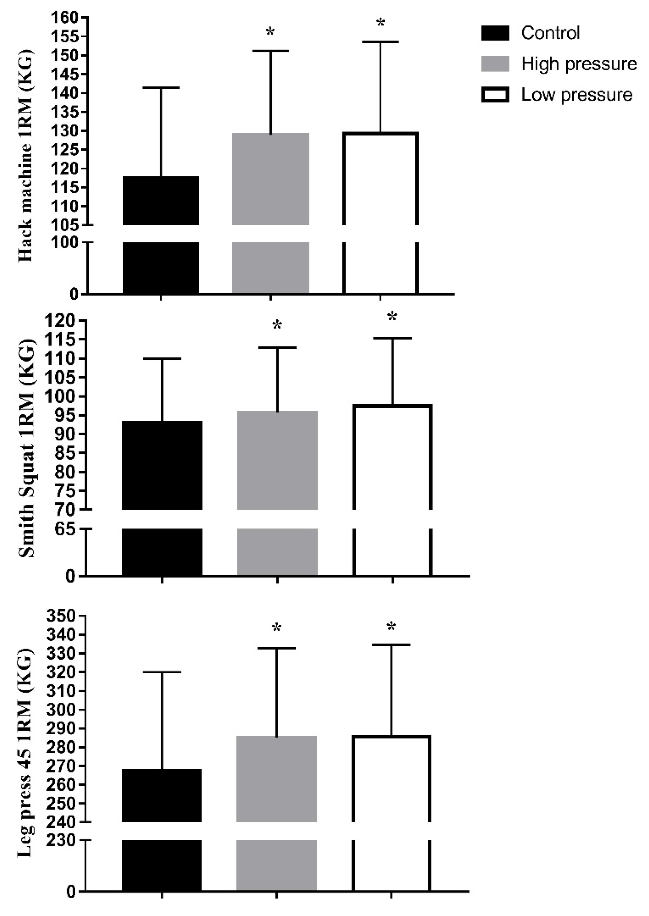
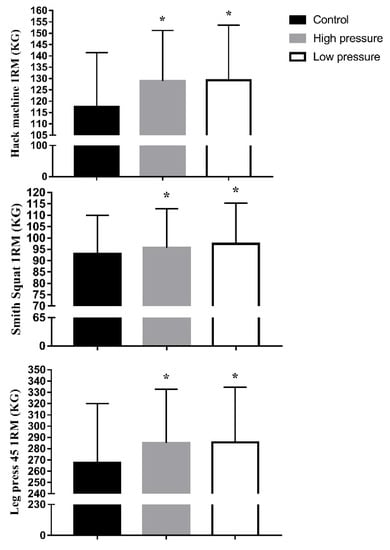
3. Results
4. Discussion
5. Conclusions
Author Contributions
Funding
Institutional Review Board Statement
Informed Consent Statement
Data Availability Statement
Acknowledgments
Conflicts of Interest
References
- Murry, C.E.; Jennings, R.B.; Reimer, K.A. Preconditioning with ischemia: A delay of lethal cell injury in ischemic myocardium. Circulation 1986, 74, 1124–1136. [Google Scholar] [CrossRef] [PubMed] [Green Version]
- De Groot, P.C.E.; Thijssen, D.H.J.; Sanchez, M.; Ellenkamp, R.; Hopman, M.T.E. Ischemic preconditioning improves maximal performance in humans. Eur. J. Appl. Physiol. 2010, 108, 141–146. [Google Scholar] [CrossRef] [PubMed] [Green Version]
- Paull, E.J.; Van Guilder, G.P. Remote ischemic preconditioning increases accumulated oxygen deficit in middle-distance runners. J. Appl. Physiol. 2019, 126, 1193–1203. [Google Scholar] [CrossRef] [PubMed]
- Novaes, J.D.S.; Telles, L.G.D.S.; Monteiro, E.R.; Araujo, G.D.S.; Vingren, J.L.; Panza, P.S.; Reis, V.M.; Laterza, M.C.; Vianna, J.M. Ischemic Preconditioning Improves Resistance Training Session Performance. J. Strength Cond. Res. 2020, 35, 2993–2998. [Google Scholar] [CrossRef] [PubMed]
- De Souza, H.L.; Arriel, R.A.; Hohl, R.; da Mota, G.R.; Marocolo, M. Is ischemic preconditioning intervention occlusion-dependent to enhance resistance exercise performance. J. Strength Cond. Res. 2019, 35, 2706–2712. [Google Scholar] [CrossRef]
- Surkar, S.M.; Bland, M.D.; Mattlage, A.E.; Chen, L.; Gidday, J.M.; Lee, J.-M.; Hershey, T.; Lang, C.E. Effects of remote limb ischemic conditioning on muscle strength in healthy young adults: A randomized controlled trial. PLoS ONE 2020, 15, e0227263. [Google Scholar] [CrossRef] [Green Version]
- Barbosa, T.; Machado, A.C.; Braz, I.D.; Fernandes, I.A.; Vianna, L.; Nobrega, A.C.L.; Silva, B.M. Remote ischemic preconditioning delays fatigue development during handgrip exercise. Scand. J. Med. Sci. Sports 2014, 25, 356–364. [Google Scholar] [CrossRef]
- Tanaka, D.; Suga, T.; Tanaka, T.; Kido, K.; Honjo, T.; Fujita, S.; Hamaoka, T.; Isaka, T. Ischemic Preconditioning Enhances Muscle Endurance during Sustained Isometric Exercise. Endoscopy 2016, 37, 614–618. [Google Scholar] [CrossRef]
- Marocolo, M.; Willardson, J.M.; Marocolo, I.C.; Mota, G.R.; Simão, R.; Maior, A.S. Ischemic Preconditioning and Placebo Intervention Improves Resistance Exercise Performance. J. Strength Cond. Res. 2016, 30, 1462–1469. [Google Scholar] [CrossRef]
- Marocolo, M.; Marocolo, I.C.; da Mota, G.R.; Simão, R.; Maior, A.S.; Coriolano, H.-J.A. Beneficial Effects of Ischemic Preconditioning in Resistance Exercise Fade Over Time. Endoscopy 2016, 37, 819–824. [Google Scholar] [CrossRef]
- Paradis-Deschênes, P.; Joanisse, D.R.; Billaut, F. Ischemic preconditioning increases muscle perfusion, oxygen uptake, and force in strength-trained athletes. Appl. Physiol. Nutr. Metab. 2016, 41, 938–944. [Google Scholar] [CrossRef] [PubMed] [Green Version]
- Carvalho, L.; Concon, V.; Meloni, M.; De Souza, E.O.; Barroso, R. Effects of resistance training combined with ischemic preconditioning on muscle size and strength in resistance-trained individuals. J. Sports Med. Phys. Fit. 2020, 60, 1431–1436. [Google Scholar] [CrossRef] [PubMed]
- ACSM. American College of Sports Medicine’s Guidelines for Exercise Testing and Prescription, 10th ed.; Guidelines for Exercise Testing and Prescription Description; Wolters Kluwer Health: Philadelphia, PA, USA, 2018. [Google Scholar]
- Kilduff, L.P.; Finn, C.V.; Baker, J.S.; Cook, C.; West, D. Preconditioning Strategies to Enhance Physical Performance on the Day of Competition. Int. J. Sports Physiol. Perform. 2013, 8, 677–681. [Google Scholar] [CrossRef] [PubMed]
- Winwood, P.W.; Pritchard, H.J.; Wilson, D.; Dudson, M.; Keogh, J.W.L. The Competition-Day Preparation Strategies of Strongman Athletes. J. Strength Cond. Res. 2019, 33, 2308–2320. [Google Scholar] [CrossRef] [PubMed] [Green Version]
- Telles, L.G.D.S.; Carelli, L.C.; Bráz, I.D.; Junqueira, C.; Monteiro, E.R.; Reis, V.M.; Vianna, J.M.; Novaes, J.D.S. Effects of Ischemic Preconditioning as a Warm-Up on Leg Press and Bench Press Performance. J. Hum. Kinet. 2020, 75, 267–277. [Google Scholar] [CrossRef] [PubMed]
- Carvalho, L.; Barroso, R. Ischemic Preconditioning Improves Strength Endurance Performance. J. Strength Cond. Res. 2019, 33, 3332–3337. [Google Scholar] [CrossRef] [PubMed]
- Mouser, J.G.; Ade, C.J.; Black, C.D.; Bemben, D.A.; Bemben, M.G. Brachial blood flow under relative levels of blood flow re-striction is decreased in a nonlinear fashion. Clin. Physiol. Funct. Imaging 2018, 38, 425–430. [Google Scholar] [CrossRef]
- Incognito, A.V.; Doherty, C.J.; Lee, J.B.; Burns, M.J.; Millar, P.J. Ischemic preconditioning does not alter muscle sympathetic responses to static handgrip and metaboreflex activation in young healthy men. Physiol. Rep. 2017, 5, e13342. [Google Scholar] [CrossRef]
- Gardner, R.N.; Sabino-Carvalho, J.L.; Kim, J.; Vianna, L.C.; Lang, J.A. Two weeks of remote ischaemic preconditioning alters sympathovagal balance in healthy humans. Exp. Physiol. 2020, 105, 1500–1506. [Google Scholar] [CrossRef]
- Lopes, T.; Sabino-Carvalho, J.L.; Ferreira, T.H.N.; Succi, J.E.; Silva, A.C.; Silva, B. Effect of Ischemic Preconditioning on the Recovery of Cardiac Autonomic Control from Repeated Sprint Exercise. Front. Physiol. 2018, 9, 1465. [Google Scholar] [CrossRef]
- Task Force of the European Society of Cardiology the North American Society of Pacing Electrophysiology. Heart rate variability: Standards of measurement, physiological interpretation, and clinical use. Circulation 1996, 93, 1043–1065. [Google Scholar] [CrossRef] [Green Version]
- Shephard, R.J. PAR-Q, Canadian Home Fitness Test and Exercise Screening Alternatives. Sports Med. 1988, 5, 185–195. [Google Scholar] [CrossRef] [PubMed]
- Rhea, M.R. Determining the Magnitude of Treatment Effects in Strength Training Research Through the Use of the Effect Size. J. Strength Cond. Res. 2004, 18, 918–920. [Google Scholar] [CrossRef] [PubMed]
- Beck, T.W. The Importance of A Priori Sample Size Estimation in Strength and Conditioning Research. J. Strength Cond. Res. 2013, 27, 2323–2337. [Google Scholar] [CrossRef] [PubMed]
- Cruz, R.S.; Pereira, K.L.; Lisbôa, F.D.; Caputo, F. Could small-diameter muscle afferents be responsible for the ergogenic effect of limb ischemic preconditioning? J. Appl. Physiol. 2017, 122, 718–720. [Google Scholar] [CrossRef] [PubMed]
- Enko, K.; Nakamura, K.; Yunoki, K.; Miyoshi, T.; Akagi, S.; Yoshida, M.; Toh, N.; Sangawa, M.; Nishii, N.; Nagase, S.; et al. Intermittent arm ischemia induces vasodilatation of the contralateral upper limb. J. Physiol. Sci. 2011, 61, 507–513. [Google Scholar] [CrossRef]
- Lisbôa, F.D.; Turnes, T.; Cruz, R.S.; Raimundo, J.A.; Pereira, G.S.; Caputo, F. The time dependence of the effect of ischemic preconditioning on successive sprint swimming performance. J. Sci. Med. Sport 2017, 20, 507–511. [Google Scholar] [CrossRef]
- Salvador, A.F.; de Aguiar, R.A.; Lisbôa, F.; Pereira, K.L.; Cruz, R.; Caputo, F. Ischemic Preconditioning and Exercise Performance: A Systematic Review and Meta-Analysis. Int. J. Sports Physiol. Perform. 2016, 11, 4–14. [Google Scholar] [CrossRef]





| Age (years) | 27.8 ± 3.8 |
| Height (cm) | 180.4 ± 6.1 |
| Weight (kg) | 82.6 ± 8.8 |
| BMI (kg m−2) | 25.3 ± 1.8 |
| Training history (years) | 2.4 ± 1.0 |
| Bench press 1 RM (kg) | 84.6 ± 10.6 |
| Leg Press 1 RM (kg) | 267.4 ± 50.8 |
| Lat pull down 1 RM (kg) | 94.2 ± 7.8 |
| Hack machine 1 RM (kg) | 117.5 ± 23.2 |
| Shoulder press 1 RM (kg) | 70.2 ± 7.6 |
| Back squat 1 RM (kg) | 92.9 ± 16.5 |
| LFnu | 62.5 ± 9.2 |
| HFnu | 40.2 ± 10.1 |
| LF/HF ratio | 1.6 ± 0.6 |
| RMSSD (ms) | 41.9 ± 19.6 |
| SDNN (ms) | 30.5 ± 4.0 |
| pNN50 (%) | 4.4 ± 2.9 |
| Heart rate (BPM) | 66.1 ± 11.9 |
| IPC High Pressure | IPC Low Pressure | ||||||
|---|---|---|---|---|---|---|---|
| P | ES | Δ% | P | ES | Δ% | P | |
| LF-n.u. | |||||||
| 20 min During | 0.88 | 0.80 | 14.09 | 0.19 | 1.16 | 16.55 | 0.04 |
| 5 min Post | 1.00 | 1.08 | 18.92 | 0.01 | 1.26 | 17.98 | 0.03 |
| HF-n.u. | |||||||
| 20 min During | 1.00 | −1.24 | −31.10 | 0.01 | −1.13 | −36.91 | 0.07 |
| 5 min Post | 1.00 | −1.03 | −36.84 | 0.01 | −0.56 | −39.47 | 0.84 |
| LF/HF | |||||||
| 20 min During | 0.91 | 2.58 | 110.89 | 0.28 | 4.86 | 149.85 | 0.01 |
| 5 min Post | 1.00 | 2.75 | 118.53 | 0.20 | 4.14 | 127.87 | 0.07 |
| RMSSD ms. | |||||||
| 20 min During | 0.25 | −0.26 | −17.22 | 0.98 | −3.81 | −50.62 | 0.02 |
| 5 min Post | 1.00 | −3.55 | −41.61 | 0.13 | −3.62 | −49.83 | 0.02 |
| SDNN ms. | |||||||
| 20 min During | 1.00 | 0.24 | 5.08 | 1.00 | 0.16 | 2.26 | 1.00 |
| 5 min Post | 1.00 | 0.62 | 14.04 | 0.65 | 0.60 | 14.09 | 1.00 |
| pNN50 (%) | |||||||
| 20 min During | 1.00 | 0.15 | 10.74 | 1.00 | −0.02 | −1.63 | 1.00 |
| 5 min Post | 1.00 | −0.42 | −22.09 | 1.00 | 0.07 | 7.35 | 1.00 |
| Heart rate (BPM) | |||||||
| 20 min During | 1.00 | 0.60 | 6.72 | 0.94 | 0.88 | 8.91 | 0.71 |
| 5 min Post | 1.00 | 0.60 | 6.67 | 0.94 | 0.80 | 8.06 | 0.82 |
Publisher’s Note: MDPI stays neutral with regard to jurisdictional claims in published maps and institutional affiliations. |
© 2022 by the authors. Licensee MDPI, Basel, Switzerland. This article is an open access article distributed under the terms and conditions of the Creative Commons Attribution (CC BY) license (https://creativecommons.org/licenses/by/4.0/).
Share and Cite
Telles, L.G.; Billaut, F.; de Souza Ribeiro, A.; Junqueira, C.G.; Leitão, L.; Barreto, A.C.; Panza, P.; Vianna, J.M.; da Silva Novaes, J. Ischemic Preconditioning with High and Low Pressure Enhances Maximum Strength and Modulates Heart Rate Variability. Int. J. Environ. Res. Public Health 2022, 19, 7655. https://doi.org/10.3390/ijerph19137655
Telles LG, Billaut F, de Souza Ribeiro A, Junqueira CG, Leitão L, Barreto AC, Panza P, Vianna JM, da Silva Novaes J. Ischemic Preconditioning with High and Low Pressure Enhances Maximum Strength and Modulates Heart Rate Variability. International Journal of Environmental Research and Public Health. 2022; 19(13):7655. https://doi.org/10.3390/ijerph19137655
Chicago/Turabian StyleTelles, Luiz Guilherme, François Billaut, Aline de Souza Ribeiro, Christian Geórgea Junqueira, Luís Leitão, Ana Cristina Barreto, Patricia Panza, Jeferson Macedo Vianna, and Jefferson da Silva Novaes. 2022. "Ischemic Preconditioning with High and Low Pressure Enhances Maximum Strength and Modulates Heart Rate Variability" International Journal of Environmental Research and Public Health 19, no. 13: 7655. https://doi.org/10.3390/ijerph19137655
APA StyleTelles, L. G., Billaut, F., de Souza Ribeiro, A., Junqueira, C. G., Leitão, L., Barreto, A. C., Panza, P., Vianna, J. M., & da Silva Novaes, J. (2022). Ischemic Preconditioning with High and Low Pressure Enhances Maximum Strength and Modulates Heart Rate Variability. International Journal of Environmental Research and Public Health, 19(13), 7655. https://doi.org/10.3390/ijerph19137655

