Impact of COVID-19 by Pandemic Wave among Patients with Gastroenterology Symptoms in the Emergency Departments at a Medical Center in Taiwan
Abstract
:1. Introduction
2. Materials and Methods
2.1. Study Design
2.2. Definition of Study Periods
2.3. ED Diagnoses
2.4. Statistical Analysis
3. Results
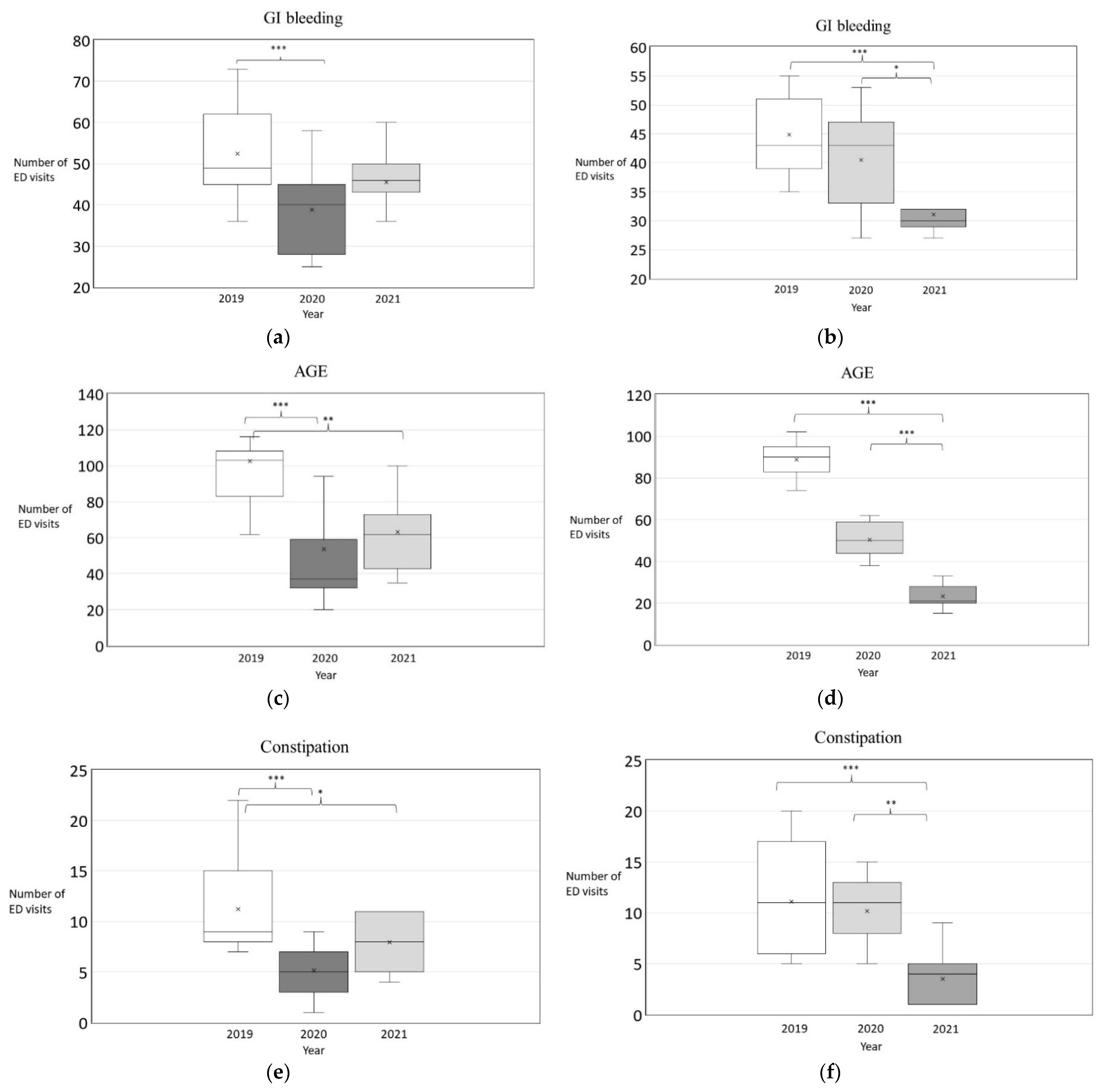
3.1. Changes in the Number of ED Visits for GI Bleeding during the Pandemic
3.2. Changes in the Number of ED Visits for AGE during the Pandemic
3.3. Changes in the Number of ED Visits for Constipation during the Pandemic
4. Discussion
5. Conclusions
Author Contributions
Funding
Institutional Review Board Statement
Informed Consent Statement
Data Availability Statement
Conflicts of Interest
References
- Hartnett, K.P.; Kite-Powell, A.; DeVies, J.; Coletta, M.A.; Boehmer, T.K.; Adjemian, J.; Gundlapalli, A.V. Impact of the COVID-19 Pandemic on Emergency Department Visits—United States, January 1, 2019–May 30, 2020. MMWR 2020, 69, 699–704. [Google Scholar] [CrossRef] [PubMed]
- Lazzerini, M.; Barbi, E.; Apicella, A.; Marchetti, F.; Cardinale, F.; Trobia, G. Delayed access or provision of care in Italy resulting from fear of COVID-19. Lancet Child Adolesc. Health 2020, 4, e10–e11. [Google Scholar] [CrossRef]
- Mantica, G.; Riccardi, N.; Terrone, C.; Gratarola, A. Non-COVID-19 visits to emergency departments during the pandemic: The impact of fear. Public Health 2020, 183, 40–41. [Google Scholar] [CrossRef] [PubMed]
- Garrafa, E.; Levaggi, R.; Miniaci, R.; Paolillo, C. When fear backfires: Emergency department accesses during the COVID-19 pandemic. Health Policy 2020, 124, 1333–1339. [Google Scholar] [CrossRef] [PubMed]
- Kugelman, N.; Lavie, O.; Assaf, W.; Cohen, N.; Sagi-Dain, L.; Bardicef, M.; Kedar, R.; Damti, A.; Segev, Y. Changes in the obstetrical emergency department profile during the COVID-19 pandemic. J. Matern. Fetal Neonatal Med. 2020, 1–7. [Google Scholar] [CrossRef] [PubMed]
- Pines, J.M.; Zocchi, M.S.; Black, B.S.; Celedon, P.; Carlson, J.N.; Moghtaderi, A.; Venkat, A. US Acute Care Solutions Research Group. The effect of the COVID-19 pandemic on emergency department visits for serious cardiovascular conditions. Am. J. Emerg. Med. 2021, 47, 42–51. [Google Scholar] [CrossRef] [PubMed]
- Boserup, B.; McKenney, M.; Elkbuli, A. The impact of the COVID-19 pandemic on emergency department visits and patient safety in the United States. Am. J. Emerg. Med. 2020, 38, 1732–1736. [Google Scholar] [CrossRef]
- Barten, D.G.; Latten, G.H.P.; van Osch, F.H.M. Reduced Emergency Department Utilization during the Early Phase of the COVID-19 Pandemic: Viral Fear or Lockdown Effect? Disaster Med. Public Health Prep. 2020, 16, 36–39. [Google Scholar] [CrossRef]
- Bullrich, M.B.; Fridman, S.; Mandzia, J.L.; Mai, L.M.; Khaw, A.; Vargas Gonzalez, J.C.; Bagur, R.; Sposato, L.A. COVID-19: Stroke Admissions, Emergency Department Visits, and Prevention Clinic Referrals. Can. J. Neurol. Sci. 2020, 47, 693–696. [Google Scholar] [CrossRef]
- Yeh, C.C.; Chien, C.Y.; Lee, T.Y.; Liu, C.H. Effect of the COVID-19 pandemic on emergency department visits of patients with an emergent or urgent diagnosis. Int. J. Gen. Med. 2022, 15, 4657–4664. [Google Scholar] [CrossRef]
- Nab, M.; van Vehmendahl, R.; Somers, I.; Schoon, Y.; Hesselink, G. Delayed emergency healthcare seeking behaviour by Dutch emergency department visitors during the first COVID-19 wave: A mixed methods retrospective observational study. BMC Emerg. Med. 2021, 21, 56. [Google Scholar] [CrossRef] [PubMed]
- Heppner, Z.; Shreffler, J.; Polites, A.; Ross, A.; Thomas, J.J.; Huecker, M. COVID-19 and emergency department volume: The patients return but have different characteristics. Am. J. Emerg. Med. 2021, 45, 385–388. [Google Scholar] [CrossRef] [PubMed]
- Lai, A.Y.; Sit, S.M.; Wu, S.Y.; Wang, M.P.; Wong, B.Y.M.; Ho, S.Y.; Lam, T.H. Associations of Delay in Doctor Consultation with COVID-19 Related Fear, Attention to Information, and Fact-Checking. Front. Public Health 2021, 9, 797814, Erratum in Front. Public Health 2022, 10, 847603. [Google Scholar] [CrossRef] [PubMed]
- Schmiderer, A.; Schwaighofer, H.; Niederreiter, L.; Profanter, C.; Steinle, H.; Ziachehabi, A.; Tilg, H. Decline in acute upper gastrointestinal bleeding during COVID-19 pandemic after initiation of lockdown in Austria. Endoscopy 2020, 52, 1036–1038. [Google Scholar] [CrossRef]
- Duan, Z.; Duan, Q.; Liu, K.; Zhang, X.; Zhou, S.; On Behalf of Xingtai Society of Digestive Endoscopy. Impact of the COVID-19 Pandemic on Acute Upper Gastrointestinal Bleeding in Xingtai City. Gastroenterol. Res. Pract. 2021, 2021, 5586030. [Google Scholar] [CrossRef]
- Khan, R.; Saha, S.; Gimpaya, N.; Bansal, R.; Scaffidi, M.A.; Razak, F.; Verma, A.A.; Grover, S.C. Outcomes for upper gastrointestinal bleeding during the first wave of the COVID-19 pandemic in the Toronto area. J. Gastroenterol. Hepatol. 2022, 37, 878–882. [Google Scholar] [CrossRef]
- Aguila, E.J.T.; Cua, I.H.Y.; Raymundo, N.T.V. The Dilemma in the Management of Gastrointestinal Bleeding During the COVID-19 Pandemic. Gastroenterology 2021, 160, 1889–1890. [Google Scholar] [CrossRef]
- Kim, J.; Doyle, J.B.; Blackett, J.W.; May, B.; Hur, C.; Lebwohl, B.; Faye, A.S.; Laszkowska, M.; Silver, E.R. Effect of the Coronavirus 2019 Pandemic on Outcomes for Patients Admitted with Gastrointestinal Bleeding in New York City. Gastroenterology 2020, 159, 1155–1157. [Google Scholar] [CrossRef]
- Lui, T.K.L.; Tsui, V.W.M.; Leung, W.K. Impact of first wave of COVID-19 on outcomes of hospitalization for upper gastrointestinal bleeding in Hong Kong: A population-based study. Endosc. Int. Open 2021, 9, E284–E288. [Google Scholar] [CrossRef]
- Hunt, R.H.; East, J.E.; Lanas, A.; Malfertheiner, P.; Satsangi, J.; Scarpignato, C.; Webb, G.J. COVID-19 and Gastrointestinal Disease: Implications for the Gastroenterologist. Dig. Dis. 2021, 39, 119–139. [Google Scholar] [CrossRef]
- Honeyford, K.; Coughlan, C.; Nijman, R.G.; Expert, P.; Burcea, G.; Maconochie, I.; Kinderlerer, A.; Cooke, G.S.; Costelloe, C.E. Changes in Emergency Department Activity and the First COVID-19 Lockdown: A Cross-sectional Study. West. J. Emerg. Med. 2021, 22, 603–607. [Google Scholar] [CrossRef] [PubMed]
- Kostopoulou, E.; Gkentzi, D.; Papasotiriou, M.; Fouzas, S.; Tagalaki, A.; Varvarigou, A.; Dimitriou, G. The impact of COVID-19 on paediatric emergency department visits. A one-year retrospective study. Pediatr. Res. 2021, 91, 1257–1262. [Google Scholar] [CrossRef] [PubMed]
- Armistead, I.; Tran, A.; White, A.E.; Wilson, E.; Scallan Walter, E.J. Trends in Outpatient Medical-Care Seeking for Acute Gastroenteritis During the COVID-19 Pandemic, 2020. Foodborne Pathog. Dis. 2022, 19, 290–292. [Google Scholar] [CrossRef] [PubMed]


| a | ||||||||
| Period 1 of Week 4–18 | ||||||||
| Total ED Visits | GI Bleeding | AGE | Constipation | |||||
| 2019 (baseline) | 3319 (3207, 3422) | reference | 49 (45, 62) | reference | 103 (83, 108) | reference | 9 (8, 15) | reference |
| 2020 (peak) | 2007 (1794, 2455) −39.5% | p < 0.001 | 40 (28, 45) −18.4% | p = 0.003 | 37 (32, 59) −64.1% | p = 0.001 | 5 (3, 7) −44.4% | p < 0.001 |
| 2021 (slack) | 2573 (2484, 2700) −22.5% | p < 0.001 | 46 (43, 50) −6.1% | p = 0.081 | 62 (43, 73) −39.8% | p < 0.001 | 8 (5, 11) −11.1% | p = 0.049 |
| b | ||||||||
| Period 2 of Week 21–31 | ||||||||
| Total ED Visits | GI Bleeding | AGE | Constipation | |||||
| 2019 (baseline) | 3465 (3292, 3567) | reference | 43 (39, 51) | reference | 90 (83, 95) | reference | 11 (6, 17) | reference |
| 2020 (slack) | 2582 (2448, 2658) −25.5% | p < 0.001 | 43 (33, 47) 0% | p = 0.308 | 50 (44, 59) −44.4% | p < 0.001 | 11 (8, 13) 0% | p = 0.842 |
| 2021 (peak) | 2543 (2211, 2780) −26.6% | p < 0.001 | 30 (29, 32) −30.2% | p = 0.001 | 21 (20, 28) −76.7% | p < 0.001 | 4 (1, 5) −63.6% | p < 0.001 |
Publisher’s Note: MDPI stays neutral with regard to jurisdictional claims in published maps and institutional affiliations. |
© 2022 by the authors. Licensee MDPI, Basel, Switzerland. This article is an open access article distributed under the terms and conditions of the Creative Commons Attribution (CC BY) license (https://creativecommons.org/licenses/by/4.0/).
Share and Cite
Kuo, T.; Liu, C.-H.; Chien, C.-Y.; Yeh, C.-C. Impact of COVID-19 by Pandemic Wave among Patients with Gastroenterology Symptoms in the Emergency Departments at a Medical Center in Taiwan. Int. J. Environ. Res. Public Health 2022, 19, 7516. https://doi.org/10.3390/ijerph19127516
Kuo T, Liu C-H, Chien C-Y, Yeh C-C. Impact of COVID-19 by Pandemic Wave among Patients with Gastroenterology Symptoms in the Emergency Departments at a Medical Center in Taiwan. International Journal of Environmental Research and Public Health. 2022; 19(12):7516. https://doi.org/10.3390/ijerph19127516
Chicago/Turabian StyleKuo, Tony, Chun-Hao Liu, Cheng-Yu Chien, and Chung-Cheng Yeh. 2022. "Impact of COVID-19 by Pandemic Wave among Patients with Gastroenterology Symptoms in the Emergency Departments at a Medical Center in Taiwan" International Journal of Environmental Research and Public Health 19, no. 12: 7516. https://doi.org/10.3390/ijerph19127516
APA StyleKuo, T., Liu, C.-H., Chien, C.-Y., & Yeh, C.-C. (2022). Impact of COVID-19 by Pandemic Wave among Patients with Gastroenterology Symptoms in the Emergency Departments at a Medical Center in Taiwan. International Journal of Environmental Research and Public Health, 19(12), 7516. https://doi.org/10.3390/ijerph19127516

