Differences in Time Perspectives Measured under the Dramatically Changing Socioeconomic Conditions during the Ukrainian Political Crises in 2014/2015
Abstract
:1. Introduction
2. Materials and Methods
2.1. Participants
2.2. Instrument
3. Results
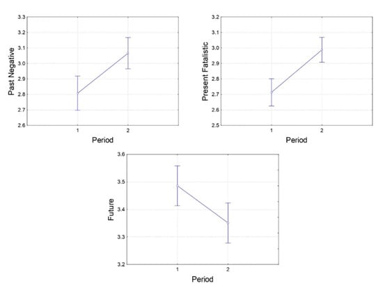
3.1. Western Region
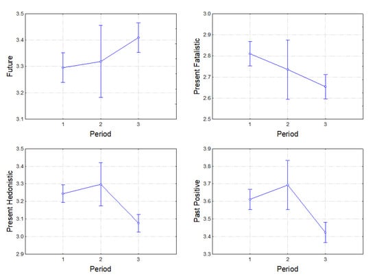
3.2. South-Eastern Region
4. Discussion
5. Conclusions
Supplementary Materials
Author Contributions
Funding
Institutional Review Board Statement
Informed Consent Statement
Data Availability Statement
Conflicts of Interest
Appendix A
| Time Orientations | Pre-Crisis Group N = 548 | Crisis Group N = 489 |
|---|---|---|
| Future | 3.305 | 3.412 |
| Present fatalistic | 2.796 | 2.675 |
| Present hedonistic | 3.272 | 3.095 |
| Past positive | 3.635 | 3.460 |
| Past negative | 2.822 | 2.826 |
| Time Orientations | Pre-Crisis Group N = 279 | Crisis Group N = 272 |
|---|---|---|
| Future | 3.445 | 3.410 |
| Present fatalistic | 2.721 | 3.011 |
| Present hedonistic | 3.556 | 3.481 |
| Past positive | 3.693 | 3.655 |
| Past negative | 2.768 | 3.056 |
References
- Zimbardo, P.G.; Boyd, J.N. Putting time in perspective: A valid, reliable individual-difference metric. J. Pers. Soc. Psychol. 1999, 77, 1271–1288. [Google Scholar] [CrossRef]
- Keough, K.A.; Zimbardo, P.G.; Boyd, J.N. Who’s smoking, drinking, and using drugs? Time perspective as a predictor of substance use. Basic Appl. Soc. Psychol. 1999, 21, 149–164. [Google Scholar] [CrossRef]
- Agerström, J.; Björklund, F. Why people with an eye toward the future are more moral: The role of abstract thinking. Basic Appl. Soc. Psychol. 2013, 35, 373–381. [Google Scholar] [CrossRef]
- Barnett, M.D.; Melugin, P.R.; Hernandez, J. Time perspective, intended academic engagement, and academic performance. Curr. Psychol. 2020, 39, 761–767. [Google Scholar] [CrossRef]
- Joireman, J.; Balliet, D.; Sprott, D.; Spangenberg, E.; Schultz, J. Consideration of future consequences, ego-depletion, and self-control: Support for distinguishing between CFC-Immediate and CFC-Future sub-scales. Personal. Individ. Differ. 2008, 45, 15–21. [Google Scholar] [CrossRef]
- Stolarski, M.; Wiberg, B.; Osin, E. Assessing temporal harmony: The issue of a balanced time perspective. In Time Perspective Theory: Review, Research and Application; Stolarski, M., Fieulaine, N., van Beek, W., Eds.; Springer: Cham, Switzerland, 2015; pp. 57–71. [Google Scholar]
- Stolarski, M.; Matthews, G. Time perspective predict mood states and satisfaction with life over and above personality. Curr. Psychol. 2016, 35, 516–526. [Google Scholar] [CrossRef] [Green Version]
- Wittmann, M.; Sircova, A. Dispositional orientation to the present and future and its role in pro-environmental behavior and sustainability. Heliyon 2018, 4, e00882. [Google Scholar] [CrossRef] [Green Version]
- Zimbardo, P.G.; Boyd, J.N. The Time Paradox: The New Psychology of Time that Will Change Your Life; Rider: London, UK, 2008. [Google Scholar]
- McKay, M.T.; Worrell, F.C.; Perry, J.L.; Chishima, Y.; Zivkovic, U.; Mello, Z.R.; Cole, J.C. “Even a broken clock is right twice a day”: The case of the Zimbardo Time Perspective Inventory. Personal. Individ. Differ. 2022, 184, 111157. [Google Scholar] [CrossRef]
- Ortuño, V.E. If it ticks like a clock, it should be time perspective: Shortcomings in the study of subjective time. In Managing Screen Time in an Online Society; Oliveira, L., Ed.; IGI Global: Hershey, PA, USA, 2019; pp. 246–265. [Google Scholar]
- Sircova, A.; Van De Vijver, F.J.; Osin, E.; Milfont, T.L.; Fieulaine, N.; Kislali-Erginbilgic, A.; Zimbardo, P.G. International Time Perspective Research Project; Djarallah, S.; Chorfi, M.S.; et al. A global look at time: A 24-country study of the equivalence of the Zimbardo Time Perspective Inventory. Sage Open 2014, 4, 2158244013515686. [Google Scholar] [CrossRef]
- Davis, A.; Gardner, B.B.; Gardner, M.R. Deep South; University of Chicago Press: Chicago, IL, USA, 1941. [Google Scholar]
- Bandura, A. Social cognitive theory: An agentic perspective. Ann. Rev. Psychol. 2001, 52, 1–26. [Google Scholar] [CrossRef] [Green Version]
- Mischel, W. Processes in delay of gratification. Adv. Exp. Soc. Psychol. 1974, 7, 249–292. [Google Scholar] [CrossRef]
- Mukhina, V. Developmental Psychology: Phenomenology of Development, Childhood, Adolescence; Publishing Center “Academia”: Moscow, Russia, 1999. (In Russian) [Google Scholar]
- Rotter, J.B. Generalized expectancies for internal versus external control of reinforcement. Psychol. Monogr. 1966, 80, 1–28. [Google Scholar] [CrossRef] [PubMed] [Green Version]
- Leshan, L.L. Time orientation and social class. J. Abnorm. Soc. Psychol. 1952, 47, 589–592. [Google Scholar] [CrossRef] [PubMed]
- Prikhozhan, A.M.; Tostykh, N.N. Psychology of Orphanhood; Piter: Saint Petersburg, Russia, 2007. (In Russian) [Google Scholar]
- Tolstykh, N.N.; Prikhozhan, A.M. Peculiarities of the mental development of primary schoolchildren raised out of the family. Vopr. Psikhologii 1982, 2, 79–86. (In Russian) [Google Scholar]
- Nurmi, J.E. Age, sex, social class, and quality of family interaction as determinants of adolescents’ future orientation: A developmental task interpretation. Adolescence 1987, 22, 977–991. [Google Scholar] [PubMed]
- Nurmi, J.E.; Poole, M.E.; Kalakoski, V. Age differences in adolescent future-oriented goals, concerns and related temporal extension in different socio-cultural contexts. J. Youth Adolesc. 1994, 23, 471–487. [Google Scholar] [CrossRef]
- Seginer, R. Adolescents facing the future: Cultural and socio-political perspectives. Youth Soc. 1988, 19, 314–333. [Google Scholar] [CrossRef]
- Seginer, R. Future orientation in times of threat and challenge: How resilient adolescents construct their future. Int. J. Behav. Dev. 2008, 32, 272–282. [Google Scholar] [CrossRef]
- Seginer, R. Future Orientation: Developmental and Ecological Perspectives; Springer: New York, NY, USA, 2009. [Google Scholar]
- Trommsdorff, G. Future orientation and socialization. Int. J. Psychol. 1983, 18, 381–406. [Google Scholar] [CrossRef] [Green Version]
- Seginer, R.; Lens, W. The motivational properties of future time perspective future orientation: Different approaches, different cultures. In Time Perspective Theory: Review, Research and Application; Stolarski, M., Fieulaine, N., van Beek, W., Eds.; Springer: Cham, Switzerland, 2015; pp. 287–304. [Google Scholar]
- Fieulaine, N.; Apostolidis, T. Precariousness as a time horizon: How poverty and social insecurity shape individual’s time perspective. In Time Perspective Theory: Review, Research and Application; Stolarski, M., Fieulaine, N., van Beek, W., Eds.; Springer: Cham, Switzerland, 2015; pp. 213–228. [Google Scholar]
- Epel, E.; Bandura, A.; Zimbardo, P.G. Escaping homelessness: The influences of self-efficacy and time perspective on coping with homelessness. J. Appl. Soc. Psychol. 1999, 29, 575–596. [Google Scholar] [CrossRef]
- Kairys, A. Correlations between time perspective and personality traits in different age groups. Tiltai 2010, 2, 159–173. [Google Scholar]
- Kairys, A. Time Perspective: Its Link to Personality Traits, Age and Gender. Ph.D. Thesis, Vilnius University: Vilnius, Lithuania, 2010. [Google Scholar]
- Kairys, A.; Liniauskaite, A. Time perspective and personality. In Time Perspective Theory: Review, Research and Application; Stolarski, M., Fieulaine, N., van Beek, W., Eds.; Springer: Cham, Switzerland, 2015; pp. 213–228. [Google Scholar]
- Kelly, W.E.; Johnson, J.L. Time use efficiency and the five-factor model of personality. Education 2005, 125, 511–515. [Google Scholar]
- Kolesovs, A. The relation between time perspective and locus of control in high school students. Balt. J. Psychol. 2002, 3, 7–19. [Google Scholar]
- Stolarski, M.; Zajenkowski, M.; Zajenkowska, A. Aggressive? From time to time ... Uncovering the complex associations between time perspective and aggression. Curr. Psychol. 2016, 35, 506–515. [Google Scholar] [CrossRef]
- Witowska, J.; Zajenkowski, M.; Wittmann, M. Integration of balanced time perspective and time perception: The role of executive control and neuroticism. Personal. Individ. Differ. 2020, 163, 110061. [Google Scholar] [CrossRef]
- Luyckx, K.; Lens, W.; Smits, I.; Goossens, L. Time perspective and identity formation: Short-term longitudinal dynamics in college students. Int. J. Behav. Dev. 2010, 34, 238–247. [Google Scholar] [CrossRef]
- Earl, J.K.; Bednall, T.C.; Muratore, A.M. A matter of time: Why some people plan for retirement and others do not. Work Aging Retire. 2015, 1, 181–189. [Google Scholar] [CrossRef] [Green Version]
- Wiberg, B.; Sircova, A.; Wiberg, M.; Carelli, M.G. Balanced time perspective: Developing empirical profile and exploring its stability over time. In Time Perspective: Theory and Practice; Kostic, A., Chadee, D., Eds.; Palgrave Macmillan: London, UK, 2017; pp. 63–95. [Google Scholar]
- Boniwell, I.; Zimbardo, P. Balancing time perspective in pursuit of optimal functioning. In Positive Psychology in Practice; Linley, P.A., Joseph, S., Eds.; Wiley: Hoboken, NJ, USA, 2004; pp. 165–178. [Google Scholar]
- Papastamatelou, J.; Unger, A.; Zachariadis, A. Time perspectives and proneness to PTSD among Syrian refugees in Greece. J. Loss Trauma 2021, 26, 375–388. [Google Scholar] [CrossRef]
- Olivera-Figueroa, L.A.; Muro, A.; Feliu-Soler, A.; Chishima, Y.; Jankowski, K.S.; Allen, M.T.; Servatius, R.J.; Unger, A.; Papastamatelou, J. The role of time perspective and mindfulness on life satisfaction in the United States of America, Spain, Poland and Japan: A cross-cultural study. Curr. Psychol. 2022. [Google Scholar] [CrossRef]
- Agarwal, A.; Tripathi, K.K.; Srivastava, M. Social roots and psychological implications of time perspective. Int. J. Psychol. 1983, 18, 367–380. [Google Scholar] [CrossRef]
- Democratic Initiatives Foundation. The Anniversary of Maidan—Inquiry of Public and Experts’ Opinion. Report of Research by Ilko Kucheriv Democratic Initiatives Foundation and Kyiv International Institute of Sociology. 9 November 2014. Available online: https://dif.org.ua/article/richnitsya-maydanu-opituvannya-gromadskoi-ta-ekspertnoi-dumki (accessed on 12 April 2022). (In Ukrainian).
- Democratic Initiatives Foundation. Two Months of Protests in Ukraine: What’s Next? Report of Research by Ilko Kucheriv Democratic Initiatives Foundation and Razumkov Centre Sociological Service. 21 January 2014. Available online: https://dif.org.ua/article/dva-misyatsi-protestiv-v-ukraini-shcho-dali (accessed on 12 April 2022). (In Ukrainian).
- Democratic Initiatives Foundation. To the Independence Day: What Ukrainians Think about Ukraine? Report of Research by Institute of Sociology of Ukrainian National Academy of Sciences and Charity Foundation “Intellectual Perspective”. 21 August 2015. Available online: http://dif.org.ua/article/do-dnya-nezalezhnosti-shcho-ukraintsi-dumayut-pro-ukrainu (accessed on 12 April 2022). (In Ukrainian).
- Lewin, K. Field Theory in the Social Sciences: Selected Theoretical Papers; Harper: New York, NY, USA, 1951. [Google Scholar]
- Senyk, O. Adaptation of Zimbardo Time Perspective Inventory (ZTPI). Sotsialna Psykholohiia 2012, 1/2, 153–168. (In Ukrainian) [Google Scholar]
- Mitina, O.; Sircova, A. Zimbardo Time Perspective Inventory (ZTPI): Results of psychometric analysis of Russian version. Vestn. Mosk. Univ. 2008, 4, 67–89. (In Russian) [Google Scholar]
- Senyk, O.; Abramov, V.; Ruzhytska, M.; Babatina, S.; Bedan, V.; Bunas, A.; Dvornik, M.; Yevchenko, I.; Klymenko, O.; Kuzmenko, Y.; et al. Zimbardo Time Perspective Inventory: Results of validation of Russian version in Russian-speaking Ukrainians and revision of keys for Ukrainian version. Humanit. Visnyk DVNZ Pereiaslav-Khmelnytskyi Derzhavnyi Pedahohichnyi Univ. Im. Hryhoriia Skovorody 2017, 37, 428–449. (In Ukrainian) [Google Scholar]
- Muzdybayev, K. Experience of time in the period of crisis. Psikholologicheskiy Zhurnal 2000, 21, 5–21. (In Russian) [Google Scholar]


| Period | Number | Mean Age [Years] | Males N | Females N | Gender Unknown N | |
|---|---|---|---|---|---|---|
| 1 | Pre-crisis subgroup 1 June 2010–March 2011 | 432 | 19.58 SD = 1.72 | 189 44% | 243 56% | 0 |
| 2 | Pre-crisis subgroup 2 December 2012–October 2013 | 116 | 19.18 SD = 1.52 | 33 28% | 39 34% | 44 38% |
| 3 | Crisis group March 2015–April 2016 | 489 | 20.19 SD = 1.93 | 200 41% | 229 47% | 60 12% |
| 4 | Total June 2010–April 2016 | 1037 | 19.83 SD = 1.84 | 422 41% | 511 49% | 104 10% |
| Period | Number | Mean Age [Years] | Males N | Females N | Gender Unknown N | |
|---|---|---|---|---|---|---|
| 1 | Pre-crisis March 2013–November 2013 | 279 | 19.05 SD = 1.34 | 77 28% | 202 72% | 0 |
| 2 | Crisis April 2014–May 2015 | 272 | 19.19 SD = 1.71 | 77 28% | 195 72% | 0 |
| 3 | Total March 2013–May 2015 | 551 | 19.35 SD = 1.76 | 154 28% | 397 72% | 0 |
Publisher’s Note: MDPI stays neutral with regard to jurisdictional claims in published maps and institutional affiliations. |
© 2022 by the authors. Licensee MDPI, Basel, Switzerland. This article is an open access article distributed under the terms and conditions of the Creative Commons Attribution (CC BY) license (https://creativecommons.org/licenses/by/4.0/).
Share and Cite
Senyk, O.; Abramov, V.; Bedan, V.; Bunas, A.; Hrechkosii, M.; Lutsenko, O.; Mandzyk, T.; Wittmann, M. Differences in Time Perspectives Measured under the Dramatically Changing Socioeconomic Conditions during the Ukrainian Political Crises in 2014/2015. Int. J. Environ. Res. Public Health 2022, 19, 7465. https://doi.org/10.3390/ijerph19127465
Senyk O, Abramov V, Bedan V, Bunas A, Hrechkosii M, Lutsenko O, Mandzyk T, Wittmann M. Differences in Time Perspectives Measured under the Dramatically Changing Socioeconomic Conditions during the Ukrainian Political Crises in 2014/2015. International Journal of Environmental Research and Public Health. 2022; 19(12):7465. https://doi.org/10.3390/ijerph19127465
Chicago/Turabian StyleSenyk, Oksana, Volodymyr Abramov, Viktoriia Bedan, Alina Bunas, Marharyta Hrechkosii, Olena Lutsenko, Tetiana Mandzyk, and Marc Wittmann. 2022. "Differences in Time Perspectives Measured under the Dramatically Changing Socioeconomic Conditions during the Ukrainian Political Crises in 2014/2015" International Journal of Environmental Research and Public Health 19, no. 12: 7465. https://doi.org/10.3390/ijerph19127465
APA StyleSenyk, O., Abramov, V., Bedan, V., Bunas, A., Hrechkosii, M., Lutsenko, O., Mandzyk, T., & Wittmann, M. (2022). Differences in Time Perspectives Measured under the Dramatically Changing Socioeconomic Conditions during the Ukrainian Political Crises in 2014/2015. International Journal of Environmental Research and Public Health, 19(12), 7465. https://doi.org/10.3390/ijerph19127465

