Apportionment and Spatial Pattern Analysis of Soil Heavy Metal Pollution Sources Related to Industries of Concern in a County in Southwestern China
Abstract
:1. Introduction
2. Materials and Methods
2.1. Study Area and Investigation of Pollution Sources
2.2. Sample Collection and Chemical Analysis
2.3. Methodology
2.3.1. Exploratory Analysis
2.3.2. Source Apportionment via PMF Model
2.3.3. Spatial Pattern Analysis
3. Results
3.1. Descriptive Statistic and Analysis of Variance Analysis of Samples
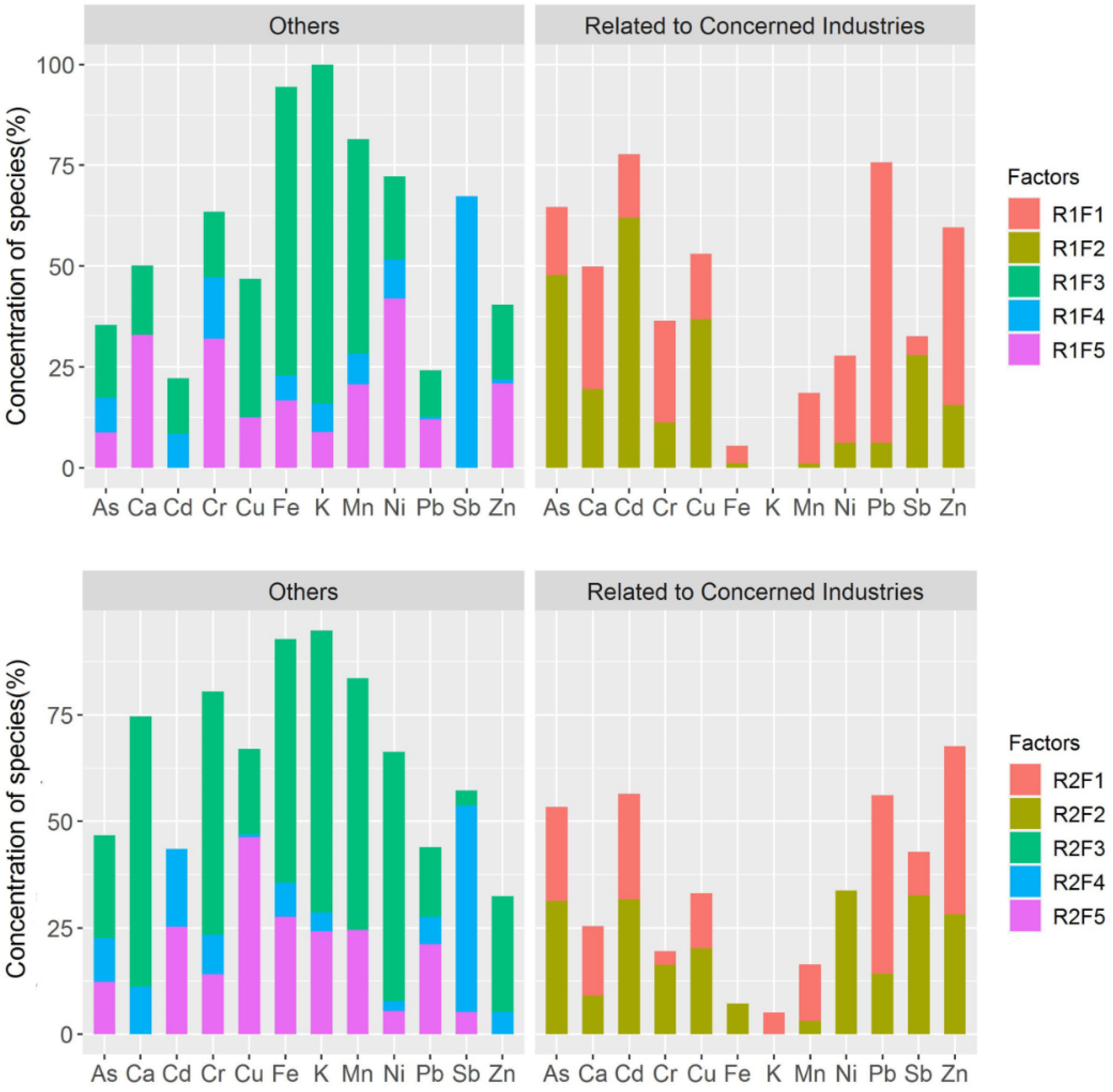
3.2. Source Identification
3.2.1. Factors Related to the Industries of Particular Concern
3.2.2. Other Factors
3.3. Spatial Pattern of Key Heavy Metals Related to Industries of Concern
4. Discussion
5. Conclusions
Supplementary Materials
Author Contributions
Funding
Institutional Review Board Statement
Informed Consent Statement
Data Availability Statement
Acknowledgments
Conflicts of Interest
References
- Li, Z.; Ma, Z.; van der Kuijp, T.J.; Yuan, Z.; Huang, L. A review of soil heavy metal pollution from mines in China: Pollution and health risk assessment. Sci. Total Env. 2014, 468–469, 843–853. [Google Scholar] [CrossRef]
 - Kossoff, D.; Hudson-Edwards, K.A.; Howard, A.J.; Knight, D. Industrial mining heritage and the legacy of environmental pollution in the Derbyshire Derwent catchment: Quantifying contamination at a regional scale and developing integrated strategies for management of the wider historic environment. J. Archaeol. Sci. Rep. 2016, 6, 190–199. [Google Scholar] [CrossRef] [Green Version]
 - Guo, L.; Zhao, W.; Gu, X.; Zhao, X.; Chen, J.; Cheng, S. Risk Assessment and Source Identification of 17 Metals and Metalloids on Soils from the Half-Century Old Tungsten Mining Areas in Lianhuashan, Southern China. Int. J. Environ. Res. Public Health 2017, 14, 1475. [Google Scholar] [CrossRef] [Green Version]
 - Gamarra, J.G.P.; Brewer, P.A.; Macklin, M.G.; Martin, K. Modelling remediation scenarios in historical mining catchments. Environ. Sci. Pollut. Res. Int. 2014, 21, 6952–6963. [Google Scholar] [CrossRef] [Green Version]
 - Wuana, R.A.; Okieimen, F.E. Heavy Metals in Contaminated Soils: A Review of Sources, Chemistry, Risks and Best Available Strategies for Remediation. Isrn Ecol. 2011, 2011, 402647. [Google Scholar] [CrossRef] [Green Version]
 - Zhang, Y.; Dore, A.J.; Ma, L.; Liu, X.; Ma, W.; Cape, J.; Zhang, F. Agricultural ammonia emissions inventory and spatial distribution in the North China Plain. Environ. Pollut. 2009, 158, 490–501. [Google Scholar] [CrossRef] [Green Version]
 - Shi, G.L.; Liu, G.R.; Peng, X.; Wang, Y.N.; Tian, Y.Z.; Wang, W.; Feng, Y.C. A Comparison of Multiple Combined Models for Source Apportionment, Including the PCA/MLR-CMB, Unmix-CMB and PMF-CMB Models. Aerosol Air Qual. Res. 2014, 14, 2040–2050. [Google Scholar] [CrossRef] [Green Version]
 - Burr, M.J.; Zhang, Y. Source apportionment of fine particulate matter over the Eastern U.S. Part I: Source sensitivity simulations using CMAQ with the Brute Force method. Atmos. Pollut. Res. 2011, 2, 300–317. [Google Scholar] [CrossRef] [Green Version]
 - Huang, Y.; Deng, M.H.; Wu, S.F.; Jan, J.P.G.; Li, T.Q.; Yang, X.E.; He, Z.L. A modified receptor model for source apportionment of heavy metal pollution in soil. J. Hazard. Mater. 2018, 354, 161–169. [Google Scholar] [CrossRef]
 - Ghosal, D.; Ghosh, S.; Dutta, T.K.; Ahn, Y. Current State of Knowledge in Microbial Degradation of Polycyclic Aromatic Hydrocarbons (PAHs): A Review. Front. Microbiol. 2016, 7, 27. [Google Scholar] [CrossRef] [Green Version]
 - Toth, G.; Hermann, T.; Da Silva, M.R.; Montanarella, L. Heavy metals in agricultural soils of the European Union with implications for food safety. Environ. Int. 2016, 88, 299–309. [Google Scholar] [CrossRef] [PubMed]
 - Chen, R.; Chen, H.; Song, L.; Yao, Z.; Meng, F.; Teng, Y. Characterization and source apportionment of heavy metals in the sediments of Lake Tai (China) and its surrounding soils. Sci. Total Environ. 2019, 694, 133819. [Google Scholar] [CrossRef] [PubMed]
 - Qu, M.; Wang, Y.; Huang, B.; Zhao, Y. Source apportionment of soil heavy metals using robust absolute principal component scores-robust geographically weighted regression (RAPCS-RGWR) receptor model. Sci. Total Environ. 2018, 626, 203–210. [Google Scholar] [CrossRef] [PubMed]
 - Salim, I.; Sajjad, R.U.; Paule-Mercado, M.C.; Memon, S.A.; Lee, B.-Y.; Sukhbaatar, C.; Lee, C.-H. Comparison of two receptor models PCA-MLR and PMF for source identification and apportionment of pollution carried by runoff from catchment and sub-watershed areas with mixed land cover in South Korea. Sci. Total Environ. 2019, 663, 764–775. [Google Scholar] [CrossRef]
 - Lv, J. Multivariate receptor models and robust geostatistics to estimate source apportionment of heavy metals in soils. Environ. Pollut. 2018, 244, 72–83. [Google Scholar] [CrossRef]
 - MEP-PRC. Ministry of Environmental Protection Detailed “Soil Ten”: Resolutely Declared War on Pollution; Ministry of Environmental Protection of the People’s Republic of China: Beijing, China, 2016. [Google Scholar]
 - Ding, G.; Xin, L.; Guo, Q.; Wei, Y.; Li, M.; Liu, X. Environmental risk assessment approaches for industry park and their applications. Resour. Conserv. Recycl. 2020, 159, 104844. [Google Scholar] [CrossRef]
 - Teng, Y.; Zuo, R.; Xiong, Y.; Wu, J.; Zhai, Y.; Su, J. Risk assessment framework for nitrate contamination in groundwater for regional management. Sci. Total Environ. 2019, 697, 134102. [Google Scholar] [CrossRef]
 - Cheng, Q.; Xia, Q.; Li, W.; Zhang, S.; Chen, Z.; Zuo, R.; Wang, W. Density/area power-law models for separating multi-scale anomalies of ore and toxic elements in stream sediments in Gejiu mineral district, Yunnan Province, China. Biogeosciences 2010, 7, 3019–3025. [Google Scholar] [CrossRef] [Green Version]
 - Ma, J.; Lei, E.; Lei, M.; Liu, Y.; Chen, T. Remediation of Arsenic contaminated soil using malposed intercropping of Pteris vittata L. and maize. Chemosphere 2018, 194, 737–744. [Google Scholar] [CrossRef]
 - Zhan, F.; He, Y.; Zu, Y.; Zhang, N.; Yue, X.; Xia, Y.; Luo, Y. Heavy metal and sulfur concentrations and mycorrhizal colonizing status of plants from abandoned lead/zinc mine land in Gejiu, Southwest China. Afr. J. Microbiol. Res. 2013, 7, 3943–3952. [Google Scholar] [CrossRef]
 - Du, G.D.; Mei, L.; Zhou, G.D.; Chen, T.B.; Qiu, R.L. Evaluation of Field Portable X-Ray Fluorescence Performance for the Analysis of Ni in Soil. Spectrosc. Spectr. Anal. 2015, 35, 809–813. [Google Scholar] [CrossRef]
 - Woods, R.A.; Sivapalan, M.; Robinson, J.S. Modeling the spatial variability of subsurface runoff using a topographic index. Water Resour. Res. 1997, 33, 1061–1073. [Google Scholar] [CrossRef]
 - Paatero, P. Least Squares Formulation of Robust Non-Negative Factor Analysis. Chemom. Intell. Lab. Syst. 1997, 37, 23–35. [Google Scholar] [CrossRef]
 - Paatero, P. The Multilinear Engine: A Table-Driven, Least Squares Program for Solving Multilinear Problems, including the n-Way Parallel Factor Analysis Model. J. Comput. Graph. Stat. 1999, 8, 854–888. [Google Scholar] [CrossRef]
 - Emery, X. Cokriging random fields with means related by known linear combinations. Comput. Geosci. 2012, 38, 136–144. [Google Scholar] [CrossRef]
 - Wang, L.; Dai, L.; Li, L.; Liang, T. Multivariable cokriging prediction and source analysis of potentially toxic elements (Cr, Cu, Cd, Pb, and Zn) in surface sediments from Dongting Lake, China. Ecol. Indic. 2018, 94, 312–319. [Google Scholar] [CrossRef]
 - Chilès, J.P.; Delfiner, P. Geostatistics: Modeling Spatial Uncertainty; John Wiley & Sons: New York, NY, USA, 2012. [Google Scholar]
 - Zhang, H.; Wang, Y. Kriging and cross-validation for massive spatial data. Environmetrics 2009, 21, 290–304. [Google Scholar] [CrossRef]
 - Linton, O.B. Local Regression Models. In The New Palgrave Dictionary of Economics; Palgrave Macmillan: London, UK, 2008; pp. 1–4. [Google Scholar]
 - GB15618-2018; Environmental Quality Standards for Soil. MEP-PRC: Beijing, China, 2018.
 - Chang, A.C.; Page, A.L.; Asano, T.; Hespanhol, I. Developing human health-related chemical guidelines for reclaimed wastewater irrigation. Water Sci. Technol. 1996, 33, 463–472. [Google Scholar] [CrossRef]
 - Iorio, M.D.; Muller, P.; Rosner, G.L.; Maceachern, S.N. An ANOVA model for dependent random measures. Publ. Am. Stat. Assoc. 2004, 99, 205–215. [Google Scholar] [CrossRef]
 - Schaefer, K.; Einax, J. Source Apportionment and Geostatistics: An Outstanding Combination for Describing Metals Distribution in Soil. CLEAN-Soil Air Water 2016, 44, 877–884. [Google Scholar] [CrossRef]
 - Guo, B.; Su, Y.; Pei, L.; Wang, X.F.; Zhang, B.; Zhang, D.M.; Wang, X.X. Ecological risk evaluation and source apportionment of heavy metals in park playgrounds: A case study in Xi’an, Shaanxi Province, a northwest city of China. Environ. Sci. Pollut. Res. 2020, 27, 24400–24412. [Google Scholar] [CrossRef] [PubMed]
 - Siddiqui, A.U.; Jain, M.K.; Masto, R.E. Pollution evaluation, spatial distribution, and source apportionment of trace metals around coal mines soil: The case study of eastern India. Environ. Sci. Pollut. Res. 2020, 27, 10822–10834. [Google Scholar] [CrossRef]
 - MEP-PRC. Reference of Identification of Type of Industry and Sphere of Influence for Soil Polluting Enterprises; Ministry of Environmental Protection of the People’s Republic of China: Beijing, China, 2017. [Google Scholar]
 - Martley, E.; Gulson, B.L.; Pfeifer, H.R. Metal concentrations in soils around the copper smelter and surrounding industrial complex of Port Kembla, NSW, Australia. Sci. Total Environ. 2004, 325, 113–127. [Google Scholar] [CrossRef]
 - Liu, D. Research on Environmental Protection Distance of Lead and Zinc Smelting Industry Based on Actural Measurement. Ph.D. Thesis, HeFei University of Technology, Hefei, China, 2015. [Google Scholar]
 - Jin, G.; Fang, W.; Shafi, M.; Wu, D.; Li, Y.; Zhong, B.; Ma, J.; Liu, D. Source apportionment of heavy metals in farmland soil with application of APCS-MLR model: A pilot study for restoration of farmland in Shaoxing City Zhejiang, China. Ecotoxicol. Environ. Saf. 2019, 184, 109495. [Google Scholar] [CrossRef] [PubMed]
 - Jiang, H.; Cai, L.; Wen, H.; Hu, G.; Chen, L.; Luo, j. An integrated approach to quantifying ecological and human health risks from different sources of soil heavy metals. Sci. Total Environ. 2020, 701, 134466. [Google Scholar] [CrossRef] [PubMed]
 - Qi, P.; Qu, C.; Albanese, S.; Lima, A.; Cicchella, D.; Hope, D.; Cerino, P.; Pizzolante, A.; Zheng, H.; Li, J.; et al. Investigation of polycyclic aromatic hydrocarbons in soils from Caserta provincial territory, southern Italy: Spatial distribution, source apportionment, and risk assessment. J. Hazard. Mater. 2020, 383, 121158. [Google Scholar] [CrossRef]
 - Pereira, P.A.D.P.; Lopes, W.A.; Carvalho, L.S.; Rocha, G.O.d.; Bahia, N.d.C.; Loyola, J.; Quiterio, S.L.; Escaleira, V.; Arbilla, G.; Andrade, J.B.d. Atmospheric concentrations and dry deposition fluxes of particulate trace metals in Salvador, Bahia, Brazil. Atmos. Environ. 2007, 41, 7837–7850. [Google Scholar] [CrossRef]
 - Yi, K.; Fan, W.; Chen, J.; Jiang, S.; Huang, S.; Peng, L.; Zeng, Q.; Luo, S. Annual input and output fluxes of heavy metals to paddy fields in four types of contaminated areas in Hunan Province, China. Sci. Total Environ. 2018, 634, 67–76. [Google Scholar] [CrossRef]
 - Keegan, T.J.; Farago, M.E.; Thornton, I.; Hong, B.; Colvile, R.N.; Pesch, B.; Jakubis, P.; Nieuwenhuijsen, M.J. Dispersion of As and selected heavy metals around a coal-burning power station in central Slovakia. Sci. Total Environ. 2006, 358, 61–71. [Google Scholar] [CrossRef]
 - Rogival, D.; Scheirs, J.; Blust, R. Transfer and accumulation of metals in a soil–diet–wood mouse food chain along a metal pollution gradient. Environ. Pollut. 2007, 145, 516–528. [Google Scholar] [CrossRef]
 - Mukaka, M.M. Statistics corner: A guide to appropriate use of correlation coefficient in medical research. Malawi Med. J. 2012, 24, 69–71. [Google Scholar] [CrossRef] [PubMed] [Green Version]
 




| Subregion | Element | Minimum | Maximum | Mean | SD | CV(%) | 
|---|---|---|---|---|---|---|
| Subregion 1 (R1) (n = 389) | As (mg kg−1) | 94.8 | 633.9 | 233.14 | 92.87 | 39.83 | 
| Cd (mg kg−1) | 1.33 | 11.24 | 2.77 | 1.4 | 50.51 | |
| Pb (mg kg−1) | 30.4 | 1236.4 | 322.46 | 183.5 | 56.91 | |
| Zn (mg kg−1) | 176.3 | 1134.5 | 503.72 | 139.06 | 27.61 | |
| Ni (mg kg−1) | 30.76 | 294.63 | 113.66 | 46.7 | 41.09 | |
| Cr (mg kg−1) | 14.86 | 463.4 | 154.57 | 70.68 | 45.73 | |
| Sb (mg kg−1) | 2.31 | 48.4 | 9.9 | 6.5 | 65.66 | |
| Cu (mg kg−1) | 119.42 | 897.05 | 277.29 | 119.62 | 43.14 | |
| pH | 5.42 | 8.06 | 6.52 | 1.3 | 19.94 | |
| Subregion 1 (R1) (n = 231) | As (mg kg−1) | 18.8 | 538.2 | 214.65 | 131.41 | 61.22 | 
| Cd (mg kg−1) | 0.92 | 9.3 | 3.04 | 1.77 | 58.32 | |
| Pb (mg kg−1) | 161.34 | 1353.3 | 333.31 | 198.14 | 59.45 | |
| Zn (mg kg−1) | 348.7 | 1018.7 | 528.8 | 153.79 | 29.08 | |
| Ni (mg kg−1) | 32.41 | 220.9 | 92.05 | 40.58 | 44.08 | |
| Cr (mg kg−1) | 47.1 | 356.9 | 134.81 | 66.12 | 49.05 | |
| Sb (mg kg−1) | 0.27 | 19.18 | 6.04 | 5.08 | 84.19 | |
| Cu (mg kg−1) | 28.32 | 715.57 | 237.41 | 178.23 | 75.07 | |
| pH | 5.13 | 7.92 | 6.32 | 1.1 | 17.41 | 
| Title 1 | As | Cd | Cu | |||
|---|---|---|---|---|---|---|
| entry 1 | CK with Cd and Cu | UK | CK with As | UK | CK with Sb | UK | 
| z-score | 7.57 × 10−4 | 1.74 × 10−3 | 6.77 × 10−3 | 7.09 × 10−3 | 5.25 × 10−3 | 4.54 × 10−3 | 
| RMSE (mg/kg) | 79.74 | 83.38 | 0.95 | 1.01 | 50.51 | 53.55 | 
| entry 2 | Pb | Zn | Sb | |||
| CK with Zn | UK | CK with Pb | UK | UK with Cu | UK | |
| z-score | 1.05 × 10−2 | 1.08 × 10−2 | 1.30 × 10−2 | 1.35 × 10−2 | −1.25 × 10−3 | −1.46 × 10−3 | 
| RMSE (mg/kg) | 90.42 | 102.19 | 113.18 | 127.22 | 1.39 | 1.48 | 
Publisher’s Note: MDPI stays neutral with regard to jurisdictional claims in published maps and institutional affiliations.  | 
© 2022 by the authors. Licensee MDPI, Basel, Switzerland. This article is an open access article distributed under the terms and conditions of the Creative Commons Attribution (CC BY) license (https://creativecommons.org/licenses/by/4.0/).
Share and Cite
Chen, X.; Lei, M.; Zhang, S.; Zhang, D.; Guo, G.; Zhao, X. Apportionment and Spatial Pattern Analysis of Soil Heavy Metal Pollution Sources Related to Industries of Concern in a County in Southwestern China. Int. J. Environ. Res. Public Health 2022, 19, 7421. https://doi.org/10.3390/ijerph19127421
Chen X, Lei M, Zhang S, Zhang D, Guo G, Zhao X. Apportionment and Spatial Pattern Analysis of Soil Heavy Metal Pollution Sources Related to Industries of Concern in a County in Southwestern China. International Journal of Environmental Research and Public Health. 2022; 19(12):7421. https://doi.org/10.3390/ijerph19127421
Chicago/Turabian StyleChen, Xiaohui, Mei Lei, Shiwen Zhang, Degang Zhang, Guanghui Guo, and Xiaofeng Zhao. 2022. "Apportionment and Spatial Pattern Analysis of Soil Heavy Metal Pollution Sources Related to Industries of Concern in a County in Southwestern China" International Journal of Environmental Research and Public Health 19, no. 12: 7421. https://doi.org/10.3390/ijerph19127421
APA StyleChen, X., Lei, M., Zhang, S., Zhang, D., Guo, G., & Zhao, X. (2022). Apportionment and Spatial Pattern Analysis of Soil Heavy Metal Pollution Sources Related to Industries of Concern in a County in Southwestern China. International Journal of Environmental Research and Public Health, 19(12), 7421. https://doi.org/10.3390/ijerph19127421
        
                                                
