Estimation of Children’s Soil and Dust Ingestion Rates and Health Risk at E-Waste Dismantling Area
Abstract
:1. Introduction
2. Materials and Methods
2.1. Study Site and Sampling
2.2. Sample Preparation and Instrumental Analysis
2.3. QA/QC Method for Analytical Data
2.4. SIR Estimates and Best Mass-Tracer Method
2.5. Human Health Risk Assessment
3. Results and Discussion
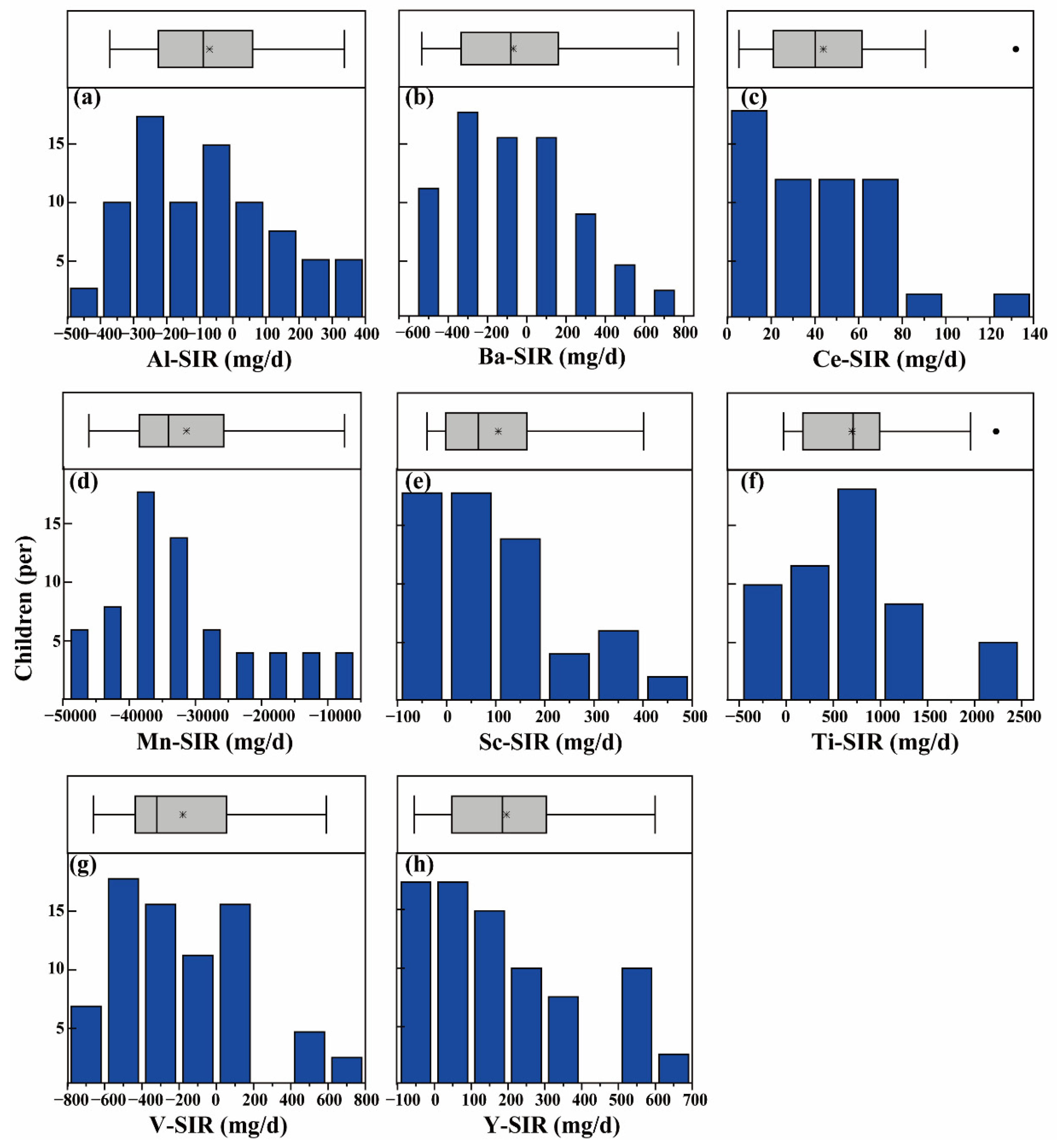
3.1. The SIR Results
3.2. Soil Ingestion Rate Based on the BTM
3.3. Comparison of SIR Results
3.4. Health Risk Assessment of Heavy Metals Based on SIR Results
4. Conclusions
Supplementary Materials
Author Contributions
Funding
Institutional Review Board Statement
Informed Consent Statement
Data Availability Statement
Acknowledgments
Conflicts of Interest
References
- Rene, E.R.; Sethurajan, M.; Ponnusamy, V.K.; Kumar, G.; Pugazhendhi, A. Electronic waste generation, recycling and resource recovery: Technological perspectives and trends. J. Hazard. Mater. 2021, 416, 125664. [Google Scholar] [CrossRef] [PubMed]
- Alabi, O.A.; Adeoluwa, Y.M.; Huo, X.; Xu, X.; Bakare, A.A. Environmental contamination and public health effects of electronic waste: An overview. J. Environ. Health Sci. Eng. 2021, 19, 1209–1227. [Google Scholar] [CrossRef] [PubMed]
- Houessionon, M.G.; Karel, O.E.D.; Bouland, C.; Takyi, S.A.; Kedote, N.M.; Fayomi, B.; Fobil, J.N.; Basu, N. Environmental Heavy Metal Contamination from Electronic Waste (E-Waste) Recycling Activities Worldwide: A Systematic Review from 2005 to 2017. Int. J. Environ. Res. Public Health 2021, 18, 3517. [Google Scholar] [CrossRef] [PubMed]
- Ngo, H.T.T.; Watchalayann, P.; Li, L.; Nguyen, D.B. Environmental health risk assessment of heavy metal exposure among children living in an informal e-waste processing village in Viet Nam. Sci. Total Environ. 2021, 763, 142982. [Google Scholar] [CrossRef]
- Janicki, T.; Długoński, J.; Krupiński, M. Detoxification and simultaneous removal of phenolic xenobiotics and heavy metals with endocrine-disrupting activity by the non-ligninolytic fungus Umbelopsis isabellina. J. Hazard. Mater. 2018, 360, 661–669. [Google Scholar] [CrossRef]
- Duan, W.W.; Xu, C.; Liu, Q.; Xu, J.; Weng, Z.K.; Zhang, X.; Basnet, T.B.; Dahal, W.; Gu, A.H. Levels of a mixture of heavy metals in blood and urine and all-cause, cardiovascular disease and cancer mortality: A population-based cohort study. Environ. Pollut. 2020, 263, 114630. [Google Scholar] [CrossRef]
- Tshala-Katumbay, D.; Mwanza, J.C.; Rohlman, D.S.; Maestre, G.; Oriá, R.B. A global perspective on the influence of environmental exposures on the nervous system. Nature 2015, 527, S187–S192. [Google Scholar] [CrossRef] [Green Version]
- Feng, L.F.; Du, J.; Yao, C.J.; Jiang, Z.Q.; Liao, T.; Zhang, Q.; Guo, X.N.; Yua, M.; Xia, H.L.; Shi, L.; et al. Ribosomal DNA copy number is associated with P53 status and levels of heavy metals in gastrectomy specimens from gastric cancer patients. Environ. Int. 2020, 138, 105593. [Google Scholar] [CrossRef]
- Yang, H.; Huo, X.; Yekeen, T.A. Effects of lead and cadmium exposure from electronic waste on child physical growth. Environ. Sci. Pollut. Res. 2013, 20, 4441–4447. [Google Scholar] [CrossRef]
- Huang, W.L.; Shi, X.L.; Wu, K.S. Human Body Burden of Heavy Metals and Health Consequences of Pb Exposure in Guiyu, an E-Waste Recycling Town in China. Int. J. Environ. Res. Public Health 2021, 18, 12428. [Google Scholar] [CrossRef]
- Wang, Y.L.; Tsou, M.C.M.; Pan, K.H.; Özkaynak, H.; Dang, W.; His, H.C.; Chien, L.C. Estimation of Soil and Dust Ingestion Rates from the Stochastic Human Exposure and Dose Simulation Soil and Dust Model for Children in Taiwan. Environ. Sci. Technol. 2021, 55, 11805–11813. [Google Scholar] [CrossRef] [PubMed]
- Moya, J.; Phillips, L. A review of soil and dust ingestion studies for children. J. Expo. Sci. Environ. Epidemiol. 2014, 24, 545–555. [Google Scholar] [CrossRef] [PubMed] [Green Version]
- Ma, J.; Pan, L.B.; Wang, Q.; Lin, C.Y.; Duan, X.L.; Hou, H. Estimation of the daily soil/dust (SD) ingestion rate of children from Gansu Province, China via hand-to-mouth contact using tracer elements. Environ. Geochem. Health 2018, 40, 295–301. [Google Scholar] [CrossRef] [PubMed]
- Lin, C.; Wang, B.; Cui, X.; Xu, D.; Cheng, H.; Wang, Q.; Ma, J.; Chai, T.; Duan, X.; Liu, X. Estimates of Soil Ingestion in a Population of Chinese Children. Environ. Health Perspect. 2017, 125, 077002. [Google Scholar] [CrossRef] [PubMed] [Green Version]
- Hogan, K.; Marcus, A.; Smith, R.; White, P. Integrated exposure uptake biokinetic model for lead in children: Empirical comparisons with epidemiologic data. Environ. Health Perspect. 1998, 106, 1557–1567. [Google Scholar] [CrossRef] [Green Version]
- Özkaynak, H.; Xue, J.; Zartarian, V.G.; Glen, G.; Smith, L. Modeled estimates of soil and dust ingestion rates for children. Risk Anal. Off. Publ. Soc. Risk Anal. 2011, 31, 592–608. [Google Scholar] [CrossRef]
- Tsou, M.C.; Özkaynak, H.; Beamer, P.; Dang, W.; Hsi, H.C.; Jiang, C.B.; Chien, L.C. Mouthing activity data for children aged 7 to 35 months in Taiwan. J. Expo. Sci. Environ. Epidemiol. 2015, 25, 388–398. [Google Scholar] [CrossRef] [Green Version]
- Tsou, M.C.; Özkaynak, H.; Beamer, P.; Dang, W.; Hsi, H.C.; Jiang, C.B.; Chien, L.C. Mouthing activity data for children age 3 to <6 years old and fraction of hand area mouthed for children age <6 years old in Taiwan. J. Expo. Sci. Environ. Epidemiol. 2018, 28, 182–192. [Google Scholar] [CrossRef]
- Ian, V.L.; Susan, S.; Lin, S.M.; Wichers, S.L.; Casey, B. Estimating Children’s Soil/Dust Ingestion Rates through Retrospective Analyses of Blood Lead Biomonitoring from the Bunker Hill Superfund Site in Idaho. Environ. Health Perspect. 2016, 124, 1462–1470. [Google Scholar] [CrossRef] [Green Version]
- White, P.D.; Leeuwen, P.V.; Davis, B.D.; Maddaloni, M.; Hogan, K.A.; Marcus, A.H.; Elias, R.W. The conceptual structure of the integrated exposure uptake biokinetic model for lead in children. Environ. Health Perspect. 1998, 106, 1513–1530. [Google Scholar] [CrossRef] [Green Version]
- Binder, S.; David, S.; David, M. Estimating Soil Ingestion: The Use of Tracer Elements in Estimating the Amount of Soil Ingested by Young Children. Arch. Environ. Health Int. J. 1986, 41, 341–345. [Google Scholar] [CrossRef] [PubMed]
- Calabrese, E.J.; Stanek, E.J., III; Pekow, P.; Barnes, R.M. Soil Ingestion Estimates for Children Residing on a Superfund Site. Ecotoxicol. Environ. Saf. 1997, 36, 258–268. [Google Scholar] [CrossRef] [PubMed] [Green Version]
- Clausing, P.; Brunekreef, B.; Wijnen, J.H. A method for estimating soil ingestion by children. Int. Arch. Occup. Environ. Health 1987, 59, 73–82. [Google Scholar] [CrossRef] [PubMed]
- Chien, L.C.; Tsou, M.C.; His, H.C.; Beamer, P.; Bradham, K.; Hseu, Z.Y.; Jien, S.H.; Jiang, C.B.; Dang, W.; Özkaynak, H. Soil ingestion rates for children under 3 years old in Taiwan. J. Expo. Sci. Environ. Epidemiol. 2017, 27, 33–40. [Google Scholar] [CrossRef] [PubMed]
- Irvine, G.; Doyle, J.R.; White, P.A.; Blais, J.M. Soil ingestion rate determination in a rural population of Alberta, Canada practicing a wilderness lifestyle. Sci. Total Environ. 2014, 470, 138–146. [Google Scholar] [CrossRef] [PubMed] [Green Version]
- Jang, J.Y.; Kim, S.Y.; Kim, S.J.; Lee, K.E.; Cheong, H.K.; Kim, E.H.; Choi, K.H.; Kim, Y.H. General factors of the Korean exposure factors handbook. J. Prev. Med. Public Health 2014, 47, 7–17. [Google Scholar] [CrossRef]
- Wang, B.B.; Lin, C.Y.; Zhang, X.; Duan, X.L.; Xu, D.Q.; Cheng, H.G.; Wang, Q.; Liu, X.T.; Ma, J.; Ma, J.W.; et al. A soil ingestion pilot study for teenage children in China. Chemosphere 2018, 202, 40–47. [Google Scholar] [CrossRef]
- Moya, J. Exposure Factors Handbook, 2011 ed.; US EPA National Center for Environmental Assessment, Immediate Office: Washington, DC, USA, 2011.
- Doyle, J.R.; Blais, J.M.; White, P.A. Mass balance soil ingestion estimating methods and their application to inhabitants of rural and wilderness areas: A critical review. Sci. Total Environ. 2010, 408, 2181–2188. [Google Scholar] [CrossRef]
- Doyle, J.R.; Blais, J.M.; White, P.A. A soil ingestion pilot study of a population following a traditional lifestyle typical of rural or wilderness areas. Sci. Total Environ. 2021, 424, 110–120. [Google Scholar] [CrossRef] [Green Version]
- Calabrese, E.J.; Barnes, R.; Stanek, E.J.; Pastides, H.; Gilbert, C.E.; Veneman, P.; Wang, X.R.; Lasztity, A.; Kostecki, P.T. How much soil do young children ingest: An epidemiologic study. Regul. Toxicol. Pharmacol. 1989, 10, 123–137. [Google Scholar] [CrossRef]
- Davis, S.; Mirick, D.K. Soil ingestion in children and adults in the same family. J. Expo. EnceEnviron. Epidemiol. 2006, 16, 63–75. [Google Scholar] [CrossRef] [PubMed] [Green Version]
- Ackah, M. Soil elemental concentrations, geoaccumulation index, non–carcinogenic and carcinogenic risks in functional areas of an informal e–waste recycling area in Accra, Ghana. Chemosphere 2019, 235, 908–917. [Google Scholar] [CrossRef] [PubMed]
- Zheng, L.; Wu, K.; Li, Y.; Qi, Z.; Han, D.; Zhang, B.; Gu, C.; Chen, G.; Liu, J.; Chen, S.; et al. Blood lead and cadmium levels and relevant factors among children from an e–waste recycling town in China. Environ. Res. 2008, 108, 15–20. [Google Scholar] [CrossRef] [PubMed]



| Al | Ba | Ce | Mn | Sc | Ti | Y | V | |
|---|---|---|---|---|---|---|---|---|
| Max | 228.2 | 273.8 | 106.0 | −6215.9 | 268.0 | 1040.7 | 284.0 | 132.3 |
| 99.50% | 224.8 | 267.3 | 101.0 | −6438.2 | 261.5 | 988.2 | 269.5 | 131.6 |
| 97.50% | 211.4 | 241.2 | 80.8 | −7327.3 | 235.3 | 778.2 | 211.2 | 128.7 |
| 95.00% | 183.9 | 213.5 | 61.4 | −9089.1 | 201.0 | 579.2 | 150.1 | 125.0 |
| 90.00% | 96.5 | 156.8 | 56.4 | −14,893.6 | 128.9 | 537.3 | 104.7 | 99.0 |
| 75.00% | −12.8 | 1.5 | 48.5 | −20,144.1 | 79.4 | 439.6 | 92.9 | −32.6 |
| Median | −124.3 | −210.2 | 27.1 | −22,532.8 | 23.9 | 175.5 | 39.2 | −263.2 |
| 25.00% | −183.8 | −363.4 | 13.5 | −24,985.0 | −15.8 | 13.7 | −1.0 | −333.3 |
| 10.00% | −233.3 | −427.7 | 6.3 | −27,811.6 | −25.5 | −24.0 | −17.4 | −414.1 |
| 2.50% | −243.7 | −437.9 | 4.4 | −28,870.4 | −30.4 | −30.2 | −28.6 | −443.8 |
| 0.50% | −274.2 | −484.3 | 0.9 | −29,391.0 | −43.6 | −53.5 | −35.7 | −486.3 |
| Min | −278.0 | −490.1 | 0.4 | −29,443.8 | −45.3 | −56.4 | −36.4 | −491.4 |
| Mean | 112.5 | 192.6 | 18.8 | 4282.5 | 57.5 | 227.9 | 53.0 | 166.4 |
| SD | 138.0 | 225.9 | 24.3 | 5907.3 | 77.8 | 274.6 | 71.0 | 193.5 |
| CV% | 1.2 | 1.2 | 1.3 | 1.4 | 1.4 | 1.2 | 1.3 | 1.2 |
| n | 62 | 62 | 62 | 62 | 62 | 62 | 62 | 62 |
| Reference | Age (Years) | n | Region | Tracer Element | Mean | Median | SD | SIR Recommended |
|---|---|---|---|---|---|---|---|---|
| Calabrese et al., 1989 [31] | 1–4 | 64 | America | Al | 154.0 | 30.0 | 629.0 | 154.0 |
| Ti | 170.0 | 30.0 | 691.0 | |||||
| Ba | 29.0 | −19.0 | 868.0 | |||||
| Mn | −496.0 | −340.0 | 1974.0 | |||||
| V | 456.0 | 123.0 | 1013.0 | |||||
| Y | 65.0 | 11.0 | 717.0 | |||||
| Calabrese et al., 1997 [22] | 1–4 | 10 | America | Al | 2.7 | −3.3 | 95.8 | |
| Ti | −544.4 | 11.9 | 2509.0 | |||||
| La | 8.6 | 84.5 | 1377.2 | |||||
| BTM | 6.8 | −2.4 | 74.5 | |||||
| Davis, et al., 2006 [32] | 3–8 | 12 | Canada | Al | 36.7 | 33.3 | 35.4 | |
| Ti | 206.9 | 46.7 | 277.5 | |||||
| Irvine et al., 2014 [25] | Adult | 9 | Canada | Al | 33.0 | 32.0 | 55.0 | 32.0 |
| Ti | 3368.0 | 1861.0 | 4277.0 | |||||
| Ba | 368.0 | 394.0 | 725.0 | |||||
| Ce | 11.0 | 10.0 | 34.0 | |||||
| La | 12.0 | 11.0 | 36.0 | |||||
| Mn | 1363.0 | 1408.0 | 5359.0 | |||||
| V | −182.0 | −185.0 | 144.0 | |||||
| Y | −13.0 | 1.0 | 67.0 | |||||
| Chien et al., 2017 [24] | 0.5–3 | 66 | Taiwan, China | Ti | 957.1 | 477.0 | ||
| Si | 9.6 | 19.2 | ||||||
| Lin et al., 2017 [14] | 2.5–11.9 | 177 | China | Al | 47.7 | 27.8 | 59.8 | 60.8 |
| Ti | 81.9 | 36.7 | 177.6 | |||||
| Ba | 63.1 | 36.5 | 125.9 | |||||
| Ce | 53.5 | 34.8 | 48.8 | |||||
| Mn | 230.8 | 146.6 | 617.6 | |||||
| Sc | 77.7 | 54.8 | 68.8 | |||||
| V | 106.4 | 92.1 | 64.6 | |||||
| Y | 79.8 | 59.1 | 68.3 | |||||
| BTM | 73.5 | 51.7 | 63.7 | |||||
| This study | 2–16 | 61 | China | Al | 112.5 | −124.3 | 138.0 | 383.3 |
| Ba | 192.6 | −210.2 | 225.9 | |||||
| Ce | 18.8 | 27.1 | 24.3 | |||||
| Mn | 4282.5 | −22532.8 | 5907.3 | |||||
| Sc | 57.5 | 23.9 | 77.8 | |||||
| Ti | 227.9 | 175.5 | 274.6 | |||||
| V | 166.4 | −263.2 | 193.5 | |||||
| Y | 53.0 | 39.2 | 71.0 | |||||
| BTM | 148.3 | 47.9 | 306.5 |
| Non-Carcinogenic Risk | Carcinogenic Risk (×10−6) | ||||||||
|---|---|---|---|---|---|---|---|---|---|
| Cr | Ni | Cu | Zn | As | Cd | Pb | Cr | As | |
| Max | 1.42 | 0.275 | 0.278 | 0.120 | 1.83 | 0.045 | 2.87 | 168 | 65.0 |
| 99.50% | 1.24 | 0.240 | 0.243 | 0.105 | 1.60 | 0.039 | 2.50 | 146 | 56.7 |
| 97.50% | 0.512 | 0.099 | 0.101 | 0.043 | 0.661 | 0.016 | 1.04 | 60.6 | 23.5 |
| 95.00% | 0.315 | 0.061 | 0.062 | 0.027 | 0.406 | 0.010 | 0.637 | 37.3 | 14.4 |
| 90.00% | 0.279 | 0.054 | 0.055 | 0.024 | 0.361 | 0.009 | 0.565 | 33.1 | 12.8 |
| 75.00% | 0.209 | 0.041 | 0.041 | 0.018 | 0.270 | 0.007 | 0.423 | 24.8 | 9.59 |
| Median | 0.087 | 0.017 | 0.017 | 0.007 | 0.113 | 0.003 | 0.177 | 10.4 | 4.01 |
| 25.00% | 0.018 | 0.003 | 0.003 | 0.001 | 0.023 | 0.001 | 0.036 | 2.091 | 0.810 |
| 10.00% | −0.020 | −0.004 | −0.004 | −0.001 | −0.026 | −0.001 | −0.041 | −2.41 | −0.934 |
| 5.00% | −0.034 | −0.007 | −0.007 | −0.003 | −0.043 | −0.001 | −0.068 | −3.98 | −1.54 |
| 2.50% | −0.044 | −0.009 | −0.009 | −0.004 | −0.057 | −0.001 | −0.089 | −5.20 | −2.02 |
| 0.50% | −0.059 | −0.012 | −0.012 | −0.005 | −0.076 | −0.002 | −0.120 | −7.01 | −2.72 |
| Min | −0.063 | −0.012 | −0.012 | −0.005 | −0.081 | −0.002 | −0.128 | −7.47 | −2.89 |
| Mean | 0.141 | 0.027 | 0.028 | 0.012 | 0.182 | 0.004 | 0.285 | 16.7 | 6.46 |
| SD | 0.252 | 0.049 | 0.049 | 0.021 | 0.325 | 0.008 | 0.509 | 29.8 | 11.5 |
| n | 62 | 62 | 62 | 62 | 62 | 62 | 62 | 62 | 62 |
Publisher’s Note: MDPI stays neutral with regard to jurisdictional claims in published maps and institutional affiliations. |
© 2022 by the authors. Licensee MDPI, Basel, Switzerland. This article is an open access article distributed under the terms and conditions of the Creative Commons Attribution (CC BY) license (https://creativecommons.org/licenses/by/4.0/).
Share and Cite
Yang, Y.; Zhang, M.; Chen, H.; Qi, Z.; Liu, C.; Chen, Q.; Long, T. Estimation of Children’s Soil and Dust Ingestion Rates and Health Risk at E-Waste Dismantling Area. Int. J. Environ. Res. Public Health 2022, 19, 7332. https://doi.org/10.3390/ijerph19127332
Yang Y, Zhang M, Chen H, Qi Z, Liu C, Chen Q, Long T. Estimation of Children’s Soil and Dust Ingestion Rates and Health Risk at E-Waste Dismantling Area. International Journal of Environmental Research and Public Health. 2022; 19(12):7332. https://doi.org/10.3390/ijerph19127332
Chicago/Turabian StyleYang, Yan, Mengdi Zhang, Haojia Chen, Zenghua Qi, Chengcheng Liu, Qiang Chen, and Tao Long. 2022. "Estimation of Children’s Soil and Dust Ingestion Rates and Health Risk at E-Waste Dismantling Area" International Journal of Environmental Research and Public Health 19, no. 12: 7332. https://doi.org/10.3390/ijerph19127332
APA StyleYang, Y., Zhang, M., Chen, H., Qi, Z., Liu, C., Chen, Q., & Long, T. (2022). Estimation of Children’s Soil and Dust Ingestion Rates and Health Risk at E-Waste Dismantling Area. International Journal of Environmental Research and Public Health, 19(12), 7332. https://doi.org/10.3390/ijerph19127332

