Injury and Poisoning Mortality Trends in Urban and Rural China from 2006 to 2020 Based on Age-Period-Cohort Analysis
Abstract
:1. Introduction
2. Materials and Methods
2.1. Data Sources
2.2. Statistical Analysis
2.2.1. Joinpoint Regression Analysis
2.2.2. Age–Period–Cohort Model
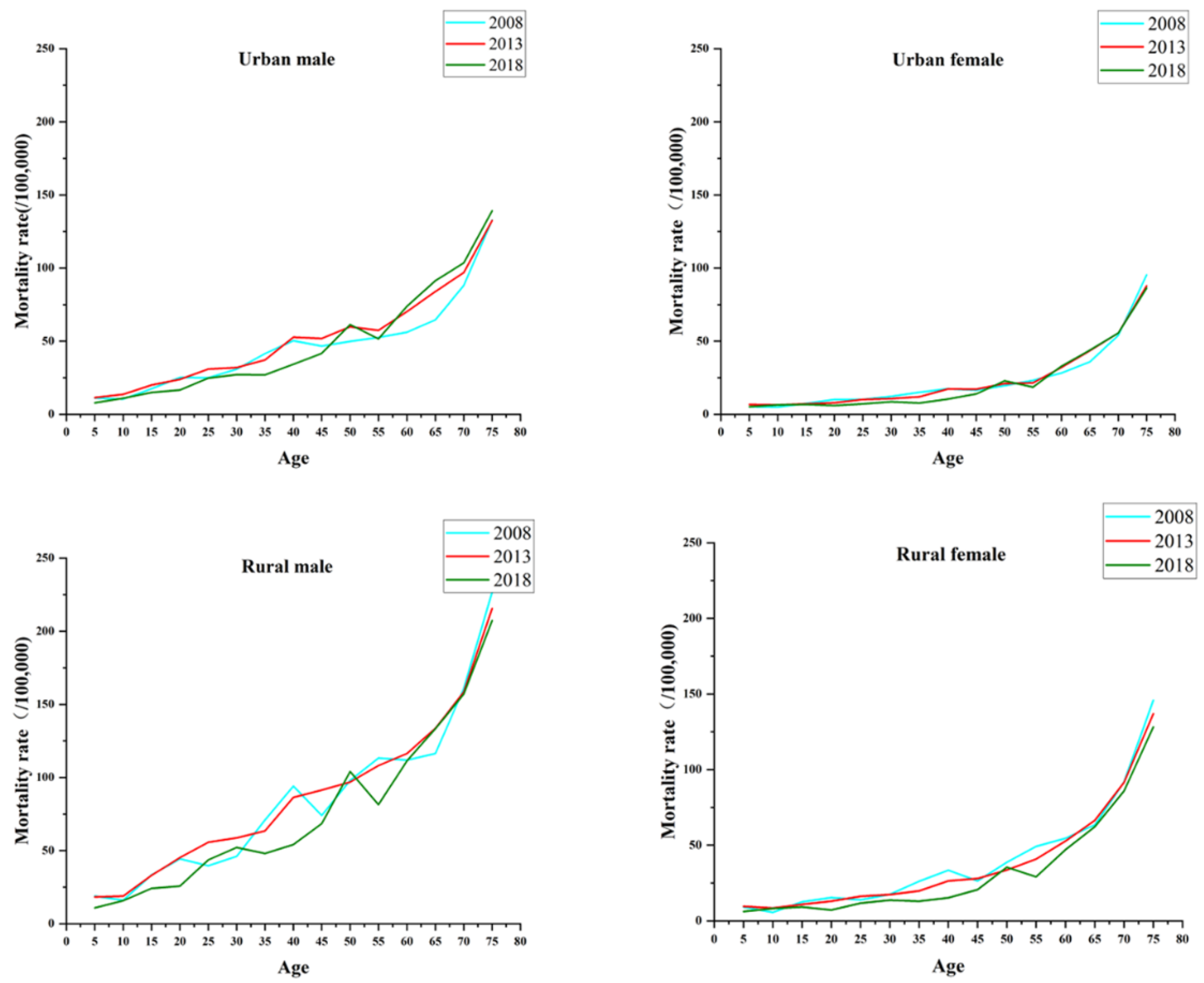
3. Results
4. Discussion
5. Conclusions
Author Contributions
Funding
Institutional Review Board Statement
Informed Consent Statement
Data Availability Statement
Acknowledgments
Conflicts of Interest
Appendix A
| Male | Female | |||||||
|---|---|---|---|---|---|---|---|---|
| Age | Range | APC (%, 95% CI) | p | AAPC (%, 95% CI) | Range | APC (%, 95% CI) | p | AAPC (%, 95% CI) |
| 5- | 2006–2014 | 1.0 (−3.0, 5.1) | 0.601 | −3.3 (−6.2, −0.4) | 2006–2008 | −23.4 (−49.8, 16.9) | 0.179 | −2.3 (−9.0, 4.9) |
| 2014–2020 | −8.8 (−14.1, −3.2) | 0.007 | 2008–2012 | 18.7 (−2.9, 45.1) | 0.083 | |||
| 2012–2020 | −5.9 (−9.0, −2.6) | 0.004 | ||||||
| 10- | 2006–2010 | −2.8 (−12.8, 8.4) | 0.559 | −0.7 (−6.8, 5.8) | 2006–2020 | 2.5 (0.4, 4.7) | 0.025 | 2.5 (0.4, 4.7) |
| 2010–2013 | 16.7 (−14.8, 59.9) | 0.284 | ||||||
| 2013–2020 | −6.2 (−9.7, −2.6) | 0.005 | ||||||
| 15- | 2006–2013 | 4.4 (−1.5, 10.7) | 0.132 | −0.9 (−4.4, 2.7) | 2006–2020 | −0.1 (−2.1, 2.0) | 0.955 | −0.1 (−2.1, 2.0) |
| 2013–2020 | −6.0 (−11.2, −0.6) | 0.034 | ||||||
| 20- | 2006–2013 | 1.6 (−3.2, 6.6) | 0.459 | −1.3 (−7.1, 4.9) | 2006–2010 | 7.3 (−7.9, 25.1) | 0.310 | −0.5 (−7.3, 6.8) |
| 2013–2017 | −15.0 (−29.1, 1.9) | 0.072 | 2010–2017 | −11.7 (−18.6, −4.1) | 0.009 | |||
| 2017–2020 | 12.6 (−9.0, 39.3) | 0.229 | 2017–2020 | 18.7 (−10.9, 58.0) | 0.201 | |||
| 25- | 2006–2011 | 0.6 (−6.7, 8.6) | 0.848 | −2.4 (−6.5, 1.8) | 2006–2015 | 0.0 (−3.3, 3.4) | 0.991 | −3.8 (−6.8, −0.7) |
| 2011–2015 | 9.7 (−3.8, 25.2) | 0.141 | 2015–2020 | −10.3 (−17.4, −2.6) | 0.015 | |||
| 2015–2020 | −13.9 (−19.1, −8.3) | 0.001 | ||||||
| 30- | 2006–2017 | −0.8 (−1.8, 3.6) | 0.501 | −2.6 (−6.3, 1.2) | 2006–2018 | −2.2 (−4.2, −0.1) | 0.040 | −4.9 (−9.4, −0.2) |
| 2017–2020 | −14.4 (−28.5, 2.5) | 0.083 | 2018–2020 | −19.6 (−44.2, 15.8) | 0.211 | |||
| 35- | 2006–2013 | −1.5 (−6.4, 1.4) | 0.270 | −4.1 (−5.9, −2.3) | 2006–2020 | −6.0 (−7.6, −4.5) | <0.001 | −6.0 (−7.6, −4.5) |
| 2013–2020 | −6.6 (−9.5, −3.6) | 0.001 | ||||||
| 40- | 2006–2008 | −11.8 (−29.6, 10.6) | 0.231 | −5.4 (−8.6, 2.0) | 2006–2008 | −12.4 (−31.9, 12.7) | 0.254 | −6.3 (−10.1, −2.4) |
| 2008–2014 | 3.5 (−1.3, 8.6) | 0.129 | 2008–2013 | 4.9 (−3.1, 13.6) | 0.197 | |||
| 2014–2020 | −11.4 (−15.0, −7.8) | <0.001 | 2013–2020 | −11.9 (−15.1, −8.5) | <0.001 | |||
| 45- | 2006–2012 | 4.6 (0.8, 8.6) | 0.023 | −0.7 (−2.4, 1.0) | 2006–2011 | 4.4 (−4.0, 13.7) | 0.278 | −1.1 (−4.2, 2.1) |
| 2012–2020 | −4.6 (−6.5, −2.6) | <0.001 | 2011–2020 | −4.1 (−6.9, −1.2) | 0.011 | |||
| 50- | 2006–2011 | −1.1 (−9.2, 7.6) | 0.762 | −1.4 (−5.5, 3.0) | 2006–2012 | −2.0 (−8.7, 5.1) | 0.519 | −1.6 (−6.2, 3.2) |
| 2011–2017 | 8.8 (1.4, 16.8) | 0.025 | 2012–2017 | 9.9 (−0.9, 22.0) | 0.069 | |||
| 2017–2020 | −19.4 (−29.8, −7.4) | 0.008 | 2017–2020 | −17.6 (−29.2, −4.1) | 0.019 | |||
| 55- | 2006–2013 | 3.4 (0.3, 6.7) | 0.036 | 1.0 (−2.2, 4.3) | 2006–2020 | −1.8 (−3.0, −0.6) | 0.007 | −1.8 (−3.0, −0.6) |
| 2013–2017 | −6.7 (−15.9, 3.6) | 0.161 | ||||||
| 2017–2020 | 6.1 (−3.1, 16.2) | 0.168 | ||||||
| 60- | 2006–2018 | 4.5 (2.8, 6.1) | <0.001 | 0.6 (−2.4, 3.7) | 2006–2018 | 3.0 (1.4, 4.5) | 0.001 | −0.5 (−3.4, 2.5) |
| 2018–2020 | −19.6 (−35.5, 0.1) | 0.051 | 2018–2020 | −18.9 (−35.1, 1.2) | 0.061 | |||
| 65- | 2006–2017 | 5.6 (3.7, 7.4) | <0.001 | 2.4 (0.2, 4.6) | 2006–2017 | 4.3 (1.9, 6.7) | 0.002 | 0.7 (−2.2, 3.6) |
| 2017–2020 | −8.5 (−16.5, 0.4) | 0.058 | 2017–2020 | −11.6 (−22.3, 0.6) | 0.060 | |||
| 70- | 2006–2020 | 1.7 (0.4, 3.0) | 0.014 | 1.7 (0.4, 3.0) | 2006–2020 | 0.3 (−1.1, 1.7) | 0.625 | 0.3 (−1.1, 1.7) |
| 75- | 2006–2020 | 0.8 (−0.4, 2.0) | 0.187 | 0.8 (−0.4, 2.0) | 2006–2020 | −0.7 (−1.8, 0.4) | 0.178 | −0.7 (−1.8, 0.4) |
| Male | Female | |||||||
|---|---|---|---|---|---|---|---|---|
| Age | Range | APC (%, 95% CI) | p | AAPC (%, 95% CI) | Range | APC (%, 95% CI) | p | AAPC (%, 95% CI) |
| 5- | 2006–2012 | 3.1 (−1.0, 7.3) | 0.124 | −5.2 (−7.3, −3.0) | 2006–2012 | 3.7 (−2.3, 10.0) | 0.201 | −3.4 (−6.3, −0.4) |
| 2012–2020 | −10.9 (−13.8, −8.0) | <0.001 | 2012–2020 | −8.4 (−12.1, −4.5) | 0.001 | |||
| 10- | 2006–2010 | −8.4 (−15.3, −0.9) | 0.034 | −2.7 (−6.6, 1.4) | 2006–2010 | −3.0 (−12.9, 8.0) | 0.523 | 1.9 (−5.0, 9.3) |
| 2010–2014 | 15.0 (0.3, 32.0) | 0.047 | 2010–2013 | 22.4 (−14.1, 74.4) | 0.220 | |||
| 2014–2020 | −9.4 (−13.7, −5.0) | 0.002 | 2013–2020 | −3.1 (−7.1, 1.1) | 0.126 | |||
| 15- | 2006–2011 | −2.9 (−5.5, −0.2) | 0.038 | −4.4 (−7.0, −1.7) | 2006–2020 | −2.7 (−4.0, −1.4) | 0.001 | −2.7 (−4.0, −1.4) |
| 2011–2014 | 7.2 (−6.4, 22.8) | 0.267 | ||||||
| 2014–2020 | −10.8 (−13.4, −8.0) | <0.001 | ||||||
| 20- | 2006–2012 | 5.4 (1.8, 9.1) | 0.009 | −2.8 (−6.5, 1.2) | 2006–2008 | 27.4 (−26.0, 119.1) | 0.344 | −4.4 (−11.2, −3.0) |
| 2012–2017 | −15.2 (−21.2, −8.7) | 0.001 | 2008–2020 | −8.8 (−12.2, −5.3) | <0.001 | |||
| 2017–2020 | 4.0 (−12.5, 23.6) | 0.606 | ||||||
| 25- | 2006–2014 | 9.3 (5.6, 13.2) | <0.001 | 0.3 (−2.4, 3.0) | 2006–2014 | 4.2 (0.9, 7.6) | 0.017 | −2.7 (−5.2, 0.0) |
| 2014–2020 | −10.7 (−15.4, −5.7) | 0.001 | 2014–2020 | −11.1 (−16.1, −5.8) | 0.001 | |||
| 30- | 2006–2009 | −7.1 (−28.4, 20.4) | 0.522 | −0.9 (−7.7, 6.3) | 2006–2015 | 0.7 (−2.8, 4.4) | 0.652 | −3.0 (−6.7, 0.8) |
| 2009–2014 | 12.6 (−2.8, 30.6) | 0.099 | 2015–2020 | −9.5 (−18.6, 0.7) | 0.063 | |||
| 2014–2020 | −8.1 (−15.6, 0.1) | 0.053 | ||||||
| 35- | 2006–2020 | −3.7 (−4.7, −2.6) | <0.001 | −3.7 (−4.7, −2.6) | 2006–2020 | −6.5 (−7.4, −5.6) | <0.001 | −6.5 (−7.4, −5.6) |
| 40- | 2006–2012 | −0.3 (−5.1, 4.9) | 0.906 | −5.4 (−8.2, −2.6) | 2006–2020 | −7.4 (−9.4, −5.3) | <0.001 | −7.4 (−9.4, −5.3) |
| 2012–2020 | −9.1 (−13.2, −4.8) | 0.001 | ||||||
| 45- | 2006–2012 | 9.1 (6.9, 11.3) | <0.001 | −0.6 (−1.6, 0.4) | 2006–2011 | 6.6 (−1.7, 15.5) | 0.110 | −2.2 (−5.2, −0.9) |
| 2012–2020 | −7.3 (−8.5, −6.1) | <0.001 | 2011–2020 | −6.8 (−9.8, −3.7) | 0.001 | |||
| 50- | 2006–2018 | 1.7 (−0.4, 3.9) | 0.109 | −1.7 (−6.8, 3.8) | 2006–2012 | −5.7 (−12.0, 1.0) | 0.084 | −3.8 (−9.0, 1.7) |
| 2018–2020 | −19.5 (−46.5, 20.9) | 0.262 | 2012–2017 | 7.5 (−4.8, 21.4) | 0.202 | |||
| 2017–2020 | −16.7 (−31.3, 0.9) | 0.059 | ||||||
| 55- | 2006–2008 | 15.6 (−23.0, 73.5) | 0.446 | −1.7 (−6.9, 3.8) | 2006–2020 | −5.0 (−7.1, −2.7) | <0.001 | −5.0 (−7.1, −2.7) |
| 2008–2020 | −4.3 (−6.6, −1.9) | 0.003 | ||||||
| 60- | 2006–2009 | 8.9 (−7.4, 28.0) | 0.269 | 0.6 (−2.7, 4.0) | 2006–2008 | 19.6 (−12.9, 64.2) | 0.238 | −0.1 (−4.2, 4.2) |
| 2009–2020 | −1.6 (−3.5, 0.4) | 0.109 | 2008–2020 | −3.0 (−4.7, −1.3) | 0.003 | |||
| 65- | 2006–2017 | 2.5 (1.2, 3.8) | 0.002 | 0.7 (−1.1, 2.4) | 2006–2017 | 0.8 (−0.1, 1.8) | 0.079 | −0.9 (−2.2, 0.4) |
| 2017–2020 | −5.9 (−13.1, 2.1) | 0.127 | 2017–2020 | −7.0 (−12.5, −1.1) | 0.025 | |||
| 70- | 2006–2020 | −0.1 (−0.7, 0.5) | 0.712 | −0.1 (−0.7, 0.5) | 2006–2008 | 5.1 (−4.0, 15.1) | 0.247 | −0.1 (−1.3, 1.1) |
| 2008–2020 | −1.0 (−1.5, −0.4) | 0.002 | ||||||
| 75- | 2006–2009 | 6.9 (0.1, 14.1) | 0.048 | 1.4 (−0.6, 3.4) | 2006–2009 | 3.0 (−1.7, 7.8) | 0.178 | 0.3 (−1.1, 1.7) |
| 2009–2018 | −2.9 (−4.2, −1.5) | 0.002 | 2009–2018 | −2.7 (−3.7, −1.7) | <0.001 | |||
| 2018–2020 | 13.6 (1.1, 27.5) | 0.036 | 2018–2020 | 10.5 (1.4, 20.5) | 0.029 | |||
| Male | Female | |||||||||||
| Coef | Std.Err | z | p | 95% CI | Coef | Std.Err | z | p | 95% CI | |||
| Lower | Upper | Lower | Upper | |||||||||
| age | ||||||||||||
| 5–9 | 1.427 | 0.116 | 12.270 | 0.000 | 1.199 | 1.655 | 1.443 | 0.146 | 9.900 | 0.000 | 1.157 | 1.728 |
| 10–14 | 0.686 | 0.093 | 7.390 | 0.000 | 0.504 | 0.868 | 0.730 | 0.116 | 6.280 | 0.000 | 0.502 | 0.958 |
| 15–19 | 0.043 | 0.084 | 0.510 | 0.612 | −0.122 | 0.207 | 0.092 | 0.105 | 0.880 | 0.379 | −0.113 | 0.298 |
| 20–24 | 0.202 | 0.086 | 2.360 | 0.018 | 0.034 | 0.370 | 0.226 | 0.108 | 2.100 | 0.036 | 0.015 | 0.437 |
| 25–29 | −0.298 | 0.093 | −3.210 | 0.001 | −0.479 | −0.116 | −0.270 | 0.116 | −2.320 | 0.020 | −0.497 | −0.042 |
| 30–34 | −0.817 | 0.100 | −8.170 | 0.000 | −1.013 | −0.621 | −0.808 | 0.125 | −6.450 | 0.000 | −1.053 | −0.562 |
| 35–39 | −0.616 | 0.105 | −5.860 | 0.000 | −0.822 | −0.410 | −0.657 | 0.132 | −4.990 | 0.000 | −0.915 | −0.399 |
| 40–44 | −0.810 | 0.107 | −7.580 | 0.000 | −1.020 | −0.601 | −0.847 | 0.134 | −6.320 | 0.000 | −1.109 | −0.584 |
| 45–49 | −0.994 | 0.105 | −9.460 | 0.000 | −1.199 | −0.788 | −1.009 | 0.132 | −7.670 | 0.000 | −1.267 | −0.751 |
| 50–54 | −0.577 | 0.100 | −5.780 | 0.000 | −0.773 | −0.381 | −0.633 | 0.125 | −5.060 | 0.000 | −0.879 | −0.388 |
| 55–59 | −0.541 | 0.093 | −5.830 | 0.000 | −0.722 | −0.359 | −0.563 | 0.116 | −4.850 | 0.000 | −0.791 | −0.336 |
| 60–64 | −0.287 | 0.086 | −3.350 | 0.001 | −0.456 | −0.119 | −0.293 | 0.108 | −2.720 | 0.006 | −0.504 | −0.082 |
| 65–69 | 0.596 | 0.084 | 7.110 | 0.000 | 0.432 | 0.761 | 0.577 | 0.105 | 5.500 | 0.000 | 0.371 | 0.783 |
| 70–74 | 0.825 | 0.093 | 8.870 | 0.000 | 0.642 | 1.007 | 0.835 | 0.116 | 7.170 | 0.000 | 0.607 | 1.063 |
| 75–79 | 1.160 | 0.116 | 10.010 | 0.000 | 0.933 | 1.387 | 1.177 | 0.145 | 8.100 | 0.000 | 0.892 | 1.461 |
| period | ||||||||||||
| 2006–2010 | −0.109 | 0.027 | −3.980 | 0.000 | −0.163 | −0.056 | −0.040 | 0.034 | −1.180 | 0.240 | −0.108 | 0.027 |
| 2011–2015 | −0.464 | 0.026 | −17.610 | 0.000 | −0.515 | −0.412 | −0.449 | 0.033 | −13.620 | 0.000 | −0.514 | −0.384 |
| 2016–2020 | 0.573 | 0.028 | 20.710 | 0.000 | 0.519 | 0.627 | 0.490 | 0.035 | 14.120 | 0.000 | 0.422 | 0.558 |
| cohort | ||||||||||||
| 1929–1933 | −1.590 | 0.155 | −10.290 | 0.000 | −1.893 | −1.288 | −1.630 | 0.194 | −8.420 | 0.000 | −2.009 | −1.250 |
| 1934–1938 | −1.100 | 0.112 | −9.840 | 0.000 | −1.320 | −0.881 | −1.140 | 0.140 | −8.140 | 0.000 | −1.415 | −0.866 |
| 1939–1943 | −0.428 | 0.088 | −4.840 | 0.000 | −0.602 | −0.255 | −0.498 | 0.111 | −4.500 | 0.000 | −0.716 | −0.281 |
| 1944–1948 | 0.058 | 0.084 | 0.700 | 0.486 | −0.106 | 0.222 | 0.029 | 0.105 | 0.280 | 0.781 | −0.176 | 0.235 |
| 1949–1953 | 0.286 | 0.088 | 3.240 | 0.001 | 0.113 | 0.459 | 0.317 | 0.111 | 2.870 | 0.004 | 0.100 | 0.534 |
| 1954–1958 | 0.637 | 0.097 | 6.560 | 0.000 | 0.447 | 0.827 | 0.625 | 0.122 | 5.130 | 0.000 | 0.386 | 0.863 |
| 1959–1963 | 1.146 | 0.105 | 10.880 | 0.000 | 0.939 | 1.352 | 1.190 | 0.132 | 9.010 | 0.000 | 0.931 | 1.448 |
| 1964–1968 | 1.079 | 0.111 | 9.730 | 0.000 | 0.862 | 1.296 | 1.106 | 0.140 | 7.960 | 0.000 | 0.834 | 1.378 |
| 1969–1973 | 0.837 | 0.113 | 7.420 | 0.000 | 0.616 | 1.058 | 0.862 | 0.141 | 6.100 | 0.000 | 0.585 | 1.139 |
| 1974–1978 | 1.067 | 0.111 | 9.640 | 0.000 | 0.850 | 1.284 | 1.109 | 0.139 | 8.000 | 0.000 | 0.838 | 1.381 |
| 1979–1983 | 0.920 | 0.105 | 8.770 | 0.000 | 0.715 | 1.126 | 0.937 | 0.131 | 7.130 | 0.000 | 0.679 | 1.195 |
| 1984–1988 | 0.401 | 0.096 | 4.160 | 0.000 | 0.212 | 0.589 | 0.415 | 0.121 | 3.430 | 0.001 | 0.178 | 0.651 |
| 1989–1993 | 0.138 | 0.087 | 1.580 | 0.115 | −0.033 | 0.309 | 0.123 | 0.109 | 1.120 | 0.261 | −0.091 | 0.337 |
| 1994–1998 | −0.111 | 0.082 | −1.350 | 0.177 | −0.272 | 0.050 | −0.118 | 0.103 | −1.150 | 0.251 | −0.320 | 0.084 |
| 1999–2003 | −0.643 | 0.087 | −7.400 | 0.000 | −0.814 | −0.473 | −0.628 | 0.109 | −5.760 | 0.000 | −0.842 | −0.415 |
| 2004–2008 | −1.062 | 0.110 | −9.650 | 0.000 | −1.278 | −0.846 | −1.078 | 0.138 | −7.820 | 0.000 | −1.349 | −0.808 |
| 2009–2013 | −1.632 | 0.164 | −9.980 | 0.000 | −1.953 | −1.311 | −1.620 | 0.205 | −7.900 | 0.000 | −2.021 | −1.218 |
| con | −18.082 | 0.022 | −822.780 | 0.000 | −18.125 | −18.039 | −18.068 | 0.028 | −656.130 | 0.000 | −18.122 | −18.014 |
| AIC | −1.181 | −0.731 | ||||||||||
| BIC | −49.291 | −49.181 | ||||||||||
| Male | Female | |||||||||||
|---|---|---|---|---|---|---|---|---|---|---|---|---|
| Coef | Std.Err | z | p | 95% CI | Coef | Std.Err | z | p | 95% CI | |||
| Lower | Upper | Lower | Upper | |||||||||
| age | ||||||||||||
| 5–9 | 0.628 | 0.228 | 2.760 | 0.006 | 0.181 | 1.074 | 0.670 | 0.209 | 3.210 | 0.001 | 0.261 | 1.079 |
| 10–14 | 0.321 | 0.182 | 1.760 | 0.078 | −0.036 | 0.677 | 0.369 | 0.167 | 2.210 | 0.027 | 0.042 | 0.695 |
| 15–19 | 0.139 | 0.164 | 0.85 | 0.397 | −0.183 | 0.461 | 0.151 | 0.150 | 1.000 | 0.315 | −0.144 | 0.446 |
| 20–24 | −0.153 | 0.168 | −0.910 | 0.361 | −0.483 | 0.176 | −0.145 | 0.154 | −0.940 | 0.348 | −0.446 | 0.157 |
| 25–29 | −0.228 | 0.181 | −1.260 | 0.209 | −0.584 | 0.128 | −0.214 | 0.166 | −1.280 | 0.199 | −0.539 | 0.112 |
| 30–34 | −0.340 | 0.196 | −1.740 | 0.082 | −0.723 | 0.044 | −0.332 | 0.179 | −1.850 | 0.064 | −0.684 | 0.019 |
| 35–39 | −0.518 | 0.206 | −2.52 | 0.012 | −0.921 | −0.115 | −0.525 | 0.188 | −2.790 | 0.005 | −0.894 | −0.156 |
| 40–44 | −0.413 | 0.209 | −1.970 | 0.049 | −0.823 | −0.003 | −0.413 | 0.192 | −2.160 | 0.031 | −0.789 | −0.038 |
| 45–49 | −0.391 | 0.206 | −1.900 | 0.057 | −0.794 | 0.012 | −0.397 | 0.188 | −2.110 | 0.035 | −0.766 | −0.028 |
| 50–54 | −0.330 | 0.196 | −1.690 | 0.092 | −0.713 | 0.054 | −0.392 | 0.179 | −2.190 | 0.029 | −0.744 | −0.041 |
| 55–59 | −0.316 | 0.182 | −1.740 | 0.082 | −0.671 | 0.040 | −0.313 | 0.166 | −1.880 | 0.060 | −0.639 | 0.013 |
| 60–64 | −0.047 | 0.168 | −0.280 | 0.779 | −0.377 | 0.282 | −0.019 | 0.154 | −0.120 | 0.903 | −0.321 | 0.283 |
| 65–69 | 0.282 | 0.164 | 1.720 | 0.086 | −0.040 | 0.604 | 0.237 | 0.150 | 1.570 | 0.116 | −0.058 | 0.531 |
| 70–74 | 0.592 | 0.182 | 3.250 | 0.001 | 0.235 | 0.948 | 0.555 | 0.167 | 3.330 | 0.001 | 0.228 | 0.882 |
| 75–79 | 0.774 | 0.227 | 3.410 | 0.001 | 0.330 | 1.219 | 0.768 | 0.208 | 3.700 | 0.000 | 0.361 | 1.176 |
| period | ||||||||||||
| 2006–2010 | −0.175 | 0.054 | −3.240 | 0.001 | −0.280 | −0.069 | −0.101 | 0.049 | −2.060 | 0.040 | −0.198 | −0.005 |
| 2011–2015 | −0.283 | 0.052 | −5.480 | 0.000 | −0.384 | −0.181 | −0.308 | 0.047 | −6.510 | 0.000 | −0.400 | −0.215 |
| 2016–2020 | 0.457 | 0.054 | 8.440 | 0.000 | 0.351 | 0.563 | 0.409 | 0.050 | 8.240 | 0.000 | 0.312 | 0.506 |
| cohort | ||||||||||||
| 1929–1933 | −0.680 | 0.303 | −2.250 | 0.025 | −1.273 | −0.087 | −0.735 | 0.277 | −2.650 | 0.008 | −1.278 | −0.191 |
| 1934–1938 | −0.666 | 0.219 | −3.040 | 0.002 | −1.095 | −0.237 | −0.697 | 0.201 | −3.470 | 0.001 | −1.090 | −0.303 |
| 1939–1943 | −0.137 | 0.173 | −0.790 | 0.430 | −0.476 | 0.203 | −0.173 | 0.159 | −1.090 | 0.275 | −0.484 | 0.138 |
| 1944–1948 | 0.136 | 0.164 | 0.830 | 0.408 | −0.186 | 0.457 | 0.139 | 0.150 | 0.930 | 0.354 | −0.155 | 0.433 |
| 1949–1953 | 0.297 | 0.173 | 1.720 | 0.086 | −0.042 | 0.636 | 0.258 | 0.159 | 1.620 | 0.104 | −0.053 | 0.568 |
| 1954–1958 | 0.332 | 0.190 | 1.740 | 0.081 | −0.041 | 0.705 | 0.297 | 0.174 | 1.700 | 0.088 | −0.044 | 0.638 |
| 1959–1963 | 0.651 | 0.206 | 3.160 | 0.002 | 0.247 | 1.056 | 0.689 | 0.189 | 3.640 | 0.000 | 0.318 | 1.059 |
| 1964–1968 | 0.633 | 0.217 | 2.910 | 0.004 | 0.207 | 1.058 | 0.680 | 0.199 | 3.420 | 0.001 | 0.290 | 1.070 |
| 1969–1973 | 0.316 | 0.221 | 1.430 | 0.152 | −0.116 | 0.749 | 0.331 | 0.202 | 1.640 | 0.101 | −0.065 | 0.728 |
| 1974–1978 | 0.457 | 0.217 | 2.110 | 0.035 | 0.032 | 0.882 | 0.474 | 0.199 | 2.390 | 0.017 | 0.085 | 0.864 |
| 1979–1983 | 0.589 | 0.205 | 2.870 | 0.004 | 0.187 | 0.992 | 0.638 | 0.188 | 3.390 | 0.001 | 0.269 | 1.006 |
| 1984–1988 | 0.168 | 0.189 | 0.890 | 0.373 | −0.202 | 0.538 | 0.192 | 0.173 | 1.110 | 0.266 | −0.146 | 0.531 |
| 1989–1993 | 0.012 | 0.171 | 0.070 | 0.945 | −0.323 | 0.347 | 0.019 | 0.157 | 0.120 | 0.905 | −0.288 | 0.326 |
| 1994–1998 | −0.037 | 0.161 | −0.23 | 0.820 | −0.352 | 0.279 | −0.015 | 0.148 | −0.100 | 0.920 | −0.304 | 0.274 |
| 1999–2003 | −0.358 | 0.170 | −2.100 | 0.036 | −0.692 | −0.024 | −0.349 | 0.156 | −2.240 | 0.025 | −0.655 | −0.043 |
| 2004–2008 | −0.580 | 0.216 | −2.690 | 0.007 | −1.002 | −0.157 | −0.617 | 0.198 | −3.120 | 0.002 | −1.004 | −0.230 |
| 2009–2013 | −1.135 | 0.320 | −3.540 | 0.000 | −1.762 | −0.507 | −1.132 | 0.293 | −3.860 | 0.000 | −1.707 | −0.557 |
| con | −18.843 | 0.043 | −437.820 | 0.000 | −18.927 | −18.759 | −18.803 | 0.039 | −476.970 | 0.000 | −18.880 | −18.726 |
| AIC | 0.162 | −0.013 | ||||||||||
| BIC | −48.739 | −48.859 | ||||||||||
References
- Yuan, H.; Wang, S. The main progress and outlook of injury prevention and control in China. Zhonghua Jibing Kongzhi Zazhi 2017, 21, 971–978. [Google Scholar]
- National Health Commission. China Injury Status Report 2019; People’s Medical Publishing House: Beijing, China, 2020; pp. 1–53. [Google Scholar]
- Wang, L.; Liu, Y.; Liu, S.; Yin, P.; Liu, J.; Zeng, X.; Zhou, M.; Wang, L. Analysis of the disease burden of injury in Chinese population in 1990 and 2010. Zhonghua Yufang Yixue Zazhi 2015, 49, 321–326. [Google Scholar]
- Statistical Information Center of the National Health and Planning Commission. China Cause of Death Surveillance Dataset (2015); China Science and Technology Press: Beijing, China, 2016; pp. 60–62. [Google Scholar]
- Ko, S.K.; Yoon, S.J.; Oh, I.H.; Seo, H.Y.; Kim, E.J. The economic burden of inflammatory heart disease in Korea. Korean Circ. J. 2011, 41, 712–717. [Google Scholar] [CrossRef] [PubMed]
- China Ministry of Health. China Report on Injury Prevention (Chinese); People’s Medical Publishing House: Beijing, China, 2007; pp. 2–3.
- Yang, J.; Zhou, J.; Qin, Y.; Han, R.; Wang, P.; Wu, M. Analysis of injury and poisoning death levels among residents of Jiangsu Province from 2003 to 2005. Zhonghua Jibing Kongzhi Zazhi 2010, 14, 1115–1118. [Google Scholar]
- Ilic, M.; Ilic, I. Suicide in Serbia. J. Affect. Disord. 2016, 193, 187–193. [Google Scholar] [CrossRef] [PubMed]
- Yang, Y. Trends in US adult acute disease mortality, 1960–1999: Age, period, and cohort variations. Demography 2008, 45, 387–416. [Google Scholar] [CrossRef] [PubMed]
- Cameron, N.A.; Molsberry, R.; Pierce, J.B.; Perak, A.M.; Grobman, W.A.; Allen, N.B.; Greenland, P.; Lloyd-Jones, D.M.; Khan, S.S. Pre-Pregnancy Hypertension Among Women in Rural and Urban Areas of the United States. J. Am. Coll. Cardiol. 2020, 76, 2611–2619. [Google Scholar] [CrossRef] [PubMed]
- Mesceriakova-Veliuliene, O.; Kalediene, R. Changes in Mortality Inequalities in Urban and Rural Populations during 1990–2018: Lithuanian Experience. Medicina 2021, 57, 750. [Google Scholar] [CrossRef]
- Krzyżak, M.; Maślach, D.; Piotrowska, K.; Charkiweicz, A.E.; Szpak, A.; Karczewski, J. Perinatal mortality in urban and rural areas in Poland in 2002–2012. Przegl Epidemiol. 2014, 68, 675–679. [Google Scholar]
- Vallejo, K.; Tapias, J.; Arroyave, I. Trends of Rural/Urban Homicide in Colombia, 1992–2015: Internal Armed Conflict and Hints for Postconflict. Biomed. Res. Int. 2018, 2018, 6120909. [Google Scholar] [CrossRef]
- Gao, K.; Wu, J. National trend of gastric cancer mortality in China (2003–2015): A population-based study. Cancer Commun. 2019, 39, 24. [Google Scholar] [CrossRef] [PubMed]
- Su, B.; Wang, Y.; Dong, Y.; Hu, G.; Xu, Y.; Peng, X.; Wang, Q.; Zheng, X. Trends in Diabetes Mortality in Urban and Rural China, 1987–2019: A Joinpoint Regression Analysis. Front. Endocrinol. 2022, 12, 777654. [Google Scholar] [CrossRef] [PubMed]
- Sun, W.; Zhou, Y.; Zhang, Z.; Cao, L.; Chen, W. The Trends in Cardiovascular Diseases and Respiratory Diseases Mortality in Urban and Rural China, 1990–2015. Int. J. Environ. Res. Public Health 2017, 14, 1391. [Google Scholar] [CrossRef] [PubMed]
- Smith, K.C.; Debinski, B.; Pollack, K.; Vernick, J.; Bowman, S.; Samuels, A.; Gielen, A. Research-informed evidence and support for road safety legislation: Findings from a national survey. Accid. Anal. Prev. 2014, 73, 109–115. [Google Scholar] [CrossRef]
- World Health Organization Strengthening Road Safety Legislation: A Practice and Resource Manual for Countries. Available online: https://www.who.int/publications/i/item/strengthening-road-safety-legislation (accessed on 10 February 2017).
- Dai, M.N.; Yan, Z.; Yin, W.Q.; Chen, Z.M.; Feng, C.Q.; Tang, C.H. Analysis of the current situation and trend of drowning deaths among children aged 0–14 years in China from 1990–2019. Zhongguo Xuexiao Weisheng 2022, 43, 256–259, 264. [Google Scholar]
- Ding, X.; Jiao, Y.; Gao, Y.; Yang, Y.; Shu, Q. Accidental poisoning disease burden and its changing trend in Chongqing from 2012–2018. Zhiye Yu Jiankang 2020, 36, 993–996. [Google Scholar]
- National Health and Wellness Commission. China Health Statistics Yearbook; China Union Medical University Press: Beijing, China, 2021; pp. 2003–2021. [Google Scholar]
- Li, Y.; Kou, C.; Bai, W.; Hua, W.; Yu, W.; Song, Y.; Liu, X.; Li, W. Trends in Diabetes Mortality by Gender in Urban and Rural Areas in China From 2003 to 2012: An Age-Period-Cohort Analysis. Asia Pac. J. Public Health 2019, 31, 238–245. [Google Scholar] [CrossRef]
- Liu, Z.; Huang, Y.; Ma, C.; Shang, L.; Zhang, T.; Chen, H. Trends in suicide rates in China from 2002–2015. Zhongguo Xinli Weisheng Zazhi 2017, 31, 756–767. [Google Scholar]
- Kim, H.J.; Fay, M.P.; Feuer, E.J.; Midthune, D.N. Permutation tests for joinpoint regression with applications to cancer rates. Stat. Med. 2000, 19, 335–351. [Google Scholar] [CrossRef]
- Sasieni, P.D. Age-period-cohort models in Stata. Stata J. 2012, 12, 45–60. [Google Scholar] [CrossRef]
- Fu, W.J.; Land, K.C. A Methodological Comparison of Age-Period-Cohort Models: The intrinsic Estimator and Conventional Generalized Linear Models. Sociol. Methodol. 2004, 34, 75–110. [Google Scholar]
- Rutherford, M.J.; Lambert, P.C.; Thompson, J.R. Age-period-cohort modeling. Stata J. 2010, 10, 606–627. [Google Scholar] [CrossRef]
- Wang, J. Analysis of the causes of death of Beijing residents in 2015. Shoudu Gonggong Weisheng 2016, 10, 148–150. [Google Scholar]
- Lei, J.; Cui, P.; Li, X.; Zhang, Y.; Hu, H. Analysis of causes of injury and poisoning death and loss of life expectancy among residents of Yinchuan City from 2007 to 2011. Ningxia Yike Daxue Xuebao 2015, 37, 296–298. [Google Scholar]
- Zhong, E.D.; Huang, J.P.; Gu, Z.L. Analysis of injury and poisoning deaths among residents of Gangzha District, Nantong City, 2007–2011. Jiangsu Yufang Yixue 2014, 25, 67–69. [Google Scholar]
- Chen, T.; Zhao, Y.; Li, Y. 2012–2016 Analysis of injury deaths among residents of Pinggu District, Beijing. Zhongguo Manxingbing Yufang Yu Kongzhi 2018, 26, 474–476. [Google Scholar]
- Lin, C.; Liu, G. Analysis of causes of injury and poisoning death and life expectancy reduction in residents of Pidu District, Chengdu, 2012–2015. Jishengchongbing Yu Ganranxingjibing 2017, 15, 145–148. [Google Scholar]
- Tao, C.Y.; Ni, C.J.; Xiao, J. Injury and poisoning deaths among residents of Haimen City from 2003 to 2012 and the changing trends. Zhiye Yu Jiankang 2014, 30, 3546–3548, 3551. [Google Scholar]
- Liang, T. An analysis of the application of basic public health service funds in urban and rural primary medical and health institutions—A case study of primary medical and health institutions in Xinhui District. Zhongguo Waizi 2021, 4, 125–126. [Google Scholar]
- Anand, S.; Fan, V.Y.; Zhang, J.; Zhang, L.; Ke, Y.; Dong, Z.; Chen, L.C. China’s human resources for health: Quantity, quality, and distribution. Lancet 2008, 372, 1774–1781. [Google Scholar] [CrossRef]
- Qi, S.; Wang, Z.H.; Wang, L.M.; Zhang, M. Analysis of the prevalence of fall injuries among elderly residents in China in 2013. Zhonghua Liuxingbingxue Zazhi 2018, 39, 439–442. [Google Scholar]
- Guo, Y.F.; Ma, W.J.; Zhang, Q.J.; Yu, M.; Xiao, Y.; Guo, X.; Zhu, Y.; Liu, F.; Ruan, Y.; Sun, S.; et al. A cross-sectional study of fall injuries and their risk factors among people aged 50 years and older in eight provinces of China. Zhonghua Liuxingbingxue Zazhi 2018, 39, 258–263. [Google Scholar] [PubMed]
- Zhao, Q. Analysis of depressive symptoms and influencing factors among elderly people in the community. Xinli Yuekan 2019, 14, 24–25. [Google Scholar]
- Ge, D. Study on the Difference of Suicidal Ideation between Urban and Rural Elderly in Shandong Province; Shandong University: Jinan, China, 2018; pp. 1–68. [Google Scholar]
- Zhou, J. Research on urban and rural health human resources allocation after the new medical reform. Zhongwai Qiye Wenhua 2021, 6, 41–42. [Google Scholar]
- Zhu, W.; Xiao, Y. Research on the fairness of health human resources allocation in China since the new medical reform. Zhongguo Weisheng Jingji 2020, 39, 51–54. [Google Scholar]
- Li, G.; Sun, X. Analysis of the changing trend of health resource allocation in urban and rural primary care institutions in China. Weisheng Ruan Kexue 2020, 34, 20–25. [Google Scholar]
- Wang, S. Progress in injury research and injury control in China. Shanghai Yixue 2012, 1, 1–6. [Google Scholar]
- Xia, Q.; Jiang, Y.; Niu, C.; Tang, C.; Xia, S. Study on the Effectiveness of a Comprehensive Community Intervention for Falls in the Elderly. Zhongguo Manxingbing Yufang Yu Kongzhi 2010, 18, 515–517. [Google Scholar]



| Urban | Rural | ||||
|---|---|---|---|---|---|
| Male | Female | Male | Female | ||
| segment | range | 2006–2016 | 2006–2020 | 2006–2012 | 2006–2008 |
| APC (%) | 1.7 | −0.7 | 2.5 | 5.8 | |
| APC 95% CI (%) | (−0.0, 3.4) | (−1.7, 0.2) | (0.2, 4.8) | (−6.7, 19.9) | |
| t | 2.2 | −1.7 | 2.5 | 1.0 | |
| p | 0.0052 | 0.119 | 0.034 | 0.341 | |
| segment | range | 2016–2020 | 2012–2020 | 2008–2020 | |
| APC (%) | −6.3 | −2.8 | −2.0 | ||
| APC 95% CI (%) | (−11.8, −0.4) | (−4.3, −1.3) | (−2.8, −1.2) | ||
| t | −2.4 | −4.2 | −5.6 | ||
| p | 0.038 | 0.002 | <0.001 | ||
| AAPC (%) | −0.7 | −0.7 | −0.6 | −0.9 | |
| AAPC 95% CI (%) | (−2.5, 1.2) | (−1.7, 0.2) | (−1.7, 0.6) | (−2.6, 0.8) | |
| Z | −0.7 | −1.7 | −1.0 | −1.1 | |
| P | <0.1 | <0.1 | <0.1 | <0.1 | |
| Urban | Rural | ||||
|---|---|---|---|---|---|
| Male | Female | Male | Female | ||
| segment | range | 2006–2020 | 2006–2020 | 2006–2012 | 2006–2008 |
| APC (%) | −0.4 | −1.2 | 2.4 | 6.8 | |
| APC 95% CI (%) | (−1.8, 1.0) | (−2.3, −0.1) | (0.3, 4.4) | (−4.8, 19.9) | |
| t | −0.7 | −2.3 | 2.6 | 1.3 | |
| p | 0.502 | 0.042 | 0.026 | 0.230 | |
| segment | range | 2012–2020 | 2008–2020 | ||
| APC (%) | −3.4 | −2.9 | |||
| APC 95% CI (%) | (−4.6, −2.1) | (−3.6, −2.2) | |||
| t | −5.8 | −9.3 | |||
| p | <0.001 | <0.001 | |||
| AAPC (%) | −0.4 | −1.2 | −1.0 | −1.6 | |
| AAPC 95% CI (%) | (−1.8, 1.0) | (−2.3, −0.1) | (−1.9, 0.0) | (−3.1, −0.1) | |
| Z | −0.7 | −2.3 | −1.9 | −2.0 | |
| P | <0.1 | <0.1 | <0.1 | <0.1 | |
Publisher’s Note: MDPI stays neutral with regard to jurisdictional claims in published maps and institutional affiliations. |
© 2022 by the authors. Licensee MDPI, Basel, Switzerland. This article is an open access article distributed under the terms and conditions of the Creative Commons Attribution (CC BY) license (https://creativecommons.org/licenses/by/4.0/).
Share and Cite
Yuan, X.; Kou, C.; Zhang, M.; Ma, W.; Tang, Z.; Sun, H.; Li, W. Injury and Poisoning Mortality Trends in Urban and Rural China from 2006 to 2020 Based on Age-Period-Cohort Analysis. Int. J. Environ. Res. Public Health 2022, 19, 7172. https://doi.org/10.3390/ijerph19127172
Yuan X, Kou C, Zhang M, Ma W, Tang Z, Sun H, Li W. Injury and Poisoning Mortality Trends in Urban and Rural China from 2006 to 2020 Based on Age-Period-Cohort Analysis. International Journal of Environmental Research and Public Health. 2022; 19(12):7172. https://doi.org/10.3390/ijerph19127172
Chicago/Turabian StyleYuan, Xin, Changgui Kou, Min Zhang, Wenyuan Ma, Zhitao Tang, Haiyan Sun, and Wenjun Li. 2022. "Injury and Poisoning Mortality Trends in Urban and Rural China from 2006 to 2020 Based on Age-Period-Cohort Analysis" International Journal of Environmental Research and Public Health 19, no. 12: 7172. https://doi.org/10.3390/ijerph19127172
APA StyleYuan, X., Kou, C., Zhang, M., Ma, W., Tang, Z., Sun, H., & Li, W. (2022). Injury and Poisoning Mortality Trends in Urban and Rural China from 2006 to 2020 Based on Age-Period-Cohort Analysis. International Journal of Environmental Research and Public Health, 19(12), 7172. https://doi.org/10.3390/ijerph19127172

