Pollution Characteristics and Spatial Distribution of Heavy Metals in Coal-Bearing Sandstone Soil: A Case Study of Coal Mine Area in Southwest China
Abstract
:1. Introduction
2. Materials and Methods
2.1. Site Description
2.2. Soil Sampling and Analysis
2.3. Evaluation of Soil Contamination
2.4. Statistical Analysis
2.5. Risk Evaluation
3. Results and Discussion
3.1. Physical and Chemical Characterization
3.2. Concentration and Speciation of Heavy Metals
3.3. Statistical Analysis
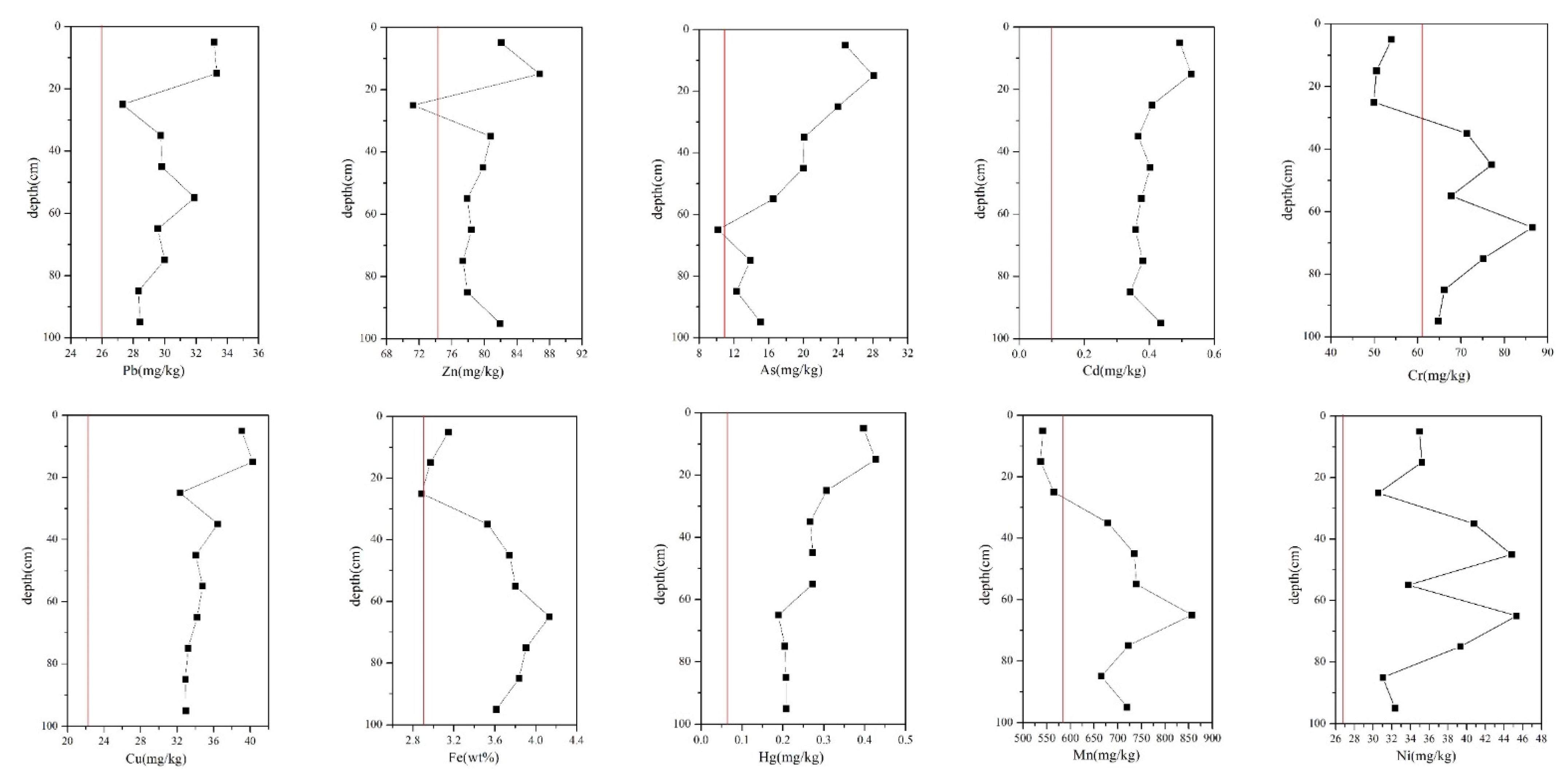
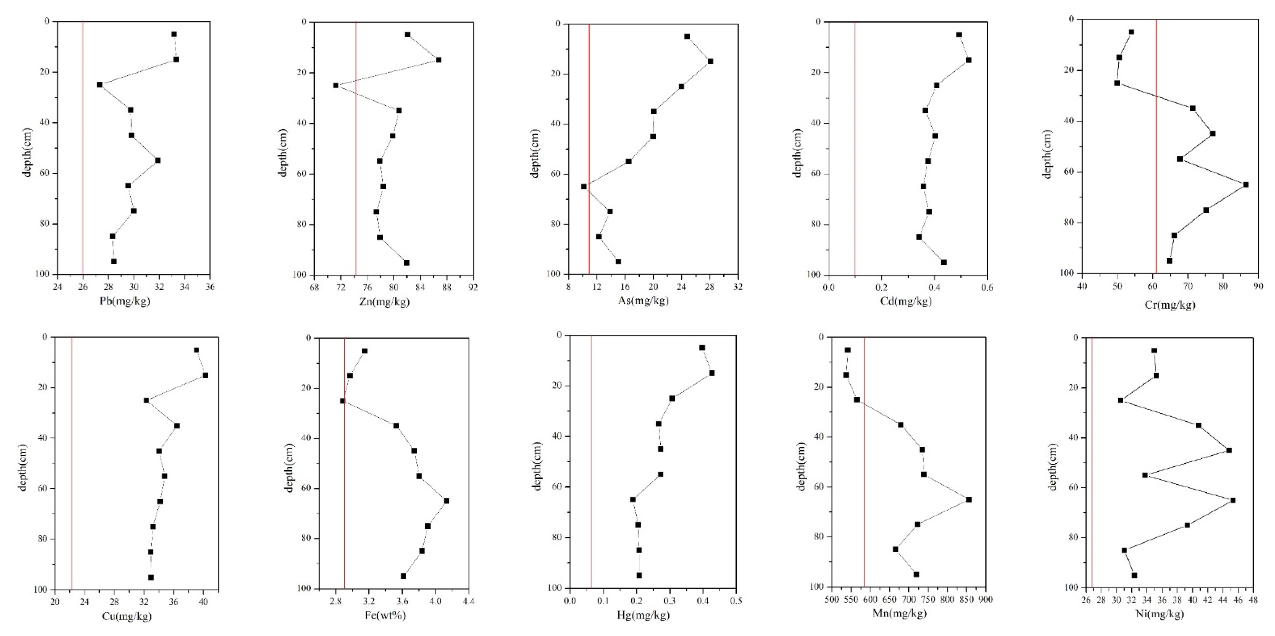
3.4. Spatial Distribution and Risk Assessment
4. Conclusions
Supplementary Materials
Author Contributions
Funding
Institutional Review Board Statement
Informed Consent Statement
Data Availability Statement
Acknowledgments
Conflicts of Interest
References
- Du, P.P. Research on Geologic Environment Effects Induced by Coal Mining in Ecological Weakness Area and Assessment Techniques: A Case Study Taking Yushenfu Mining District in Northern Shanxi Province; China University of Mining and Technology: Xuzhou, China, 2011. [Google Scholar]
- Li, M.B.; Wu, H. Coal seam physical property and coal quality characteristics of Jingang coal mine in Dazhou city, Sichuan province. Mod. Min. 2018, 34, 41–45. [Google Scholar]
- Niu, S.P.; Gao, L.M.; Zhao, J.J. Distribution and risk assessment of heavy metals in the Xinzhuangzi reclamation soil from the Huainan coal mining area, China. Hum. Ecol. Risk Assess. Int. J. 2015, 21, 900–912. [Google Scholar] [CrossRef]
- Li, Z.; Ma, Z.; van der Kuijp, T.J.; Yuan, Z.; Huang, L. A review of soil heavy metal pollution from mines in China: Pollution and health risk assessment. Sci. Total Environ. 2014, 468–469, 843–853. [Google Scholar] [CrossRef] [PubMed]
- Beane, S.J.; Comber, S.D.W.; Rieuwerts, J.; Long, P. Abandoned metal mines and their impact on receiving waters: A case study from Southwest England. Chemosphere 2016, 153, 294–306. [Google Scholar] [CrossRef] [PubMed]
- Zuzolo, D.; Cicchella, D.; Catani, V.; Giaccio, L.; Guagliardi, I.; Esposito, L.; De Vivo, B. Assessment of potentially harmful elements pollution in the Calore River basin (Southern Italy). Environ. Geochem. Health 2016, 39, 531–548. [Google Scholar] [CrossRef] [PubMed]
- Wang, J.; Liu, W.; Yang, R.; Zhang, L.; Ma, J. Assessment of the potential ecological risk of heavy metals in reclaimed soils at an opencast coal mine. Disaster. Adv. 2013, 6, 366–377. [Google Scholar]
- Kumar, V.; Sharma, A.; Minakshi; Bhardwaj, R.; Thukral, A.K. Temporal distribution, source apportionment, and pollution assessment of metals in the sediments of Beas river, India. Hum. Ecol. Risk Assess. 2018, 24, 2162–2181. [Google Scholar] [CrossRef]
- Dong, J.; Yang, Q.; Sun, L.; Zeng, Q.; Liu, S.; Pan, J.; Liu, X. Assessing the concentration and potential dietary risk of heavy metals in vegetables at a Pb/Zn mine site, China. Environ. Earth Sci. 2011, 64, 1317–1321. [Google Scholar] [CrossRef]
- Park, B.; Lee, J.; Ro, H.; Kim, Y.H. Effects of heavy metal contamination from an abandoned mine on nematode community structure as an indicator of soil ecosystem health. Appl. Soil Ecol. 2011, 51, 17–24. [Google Scholar] [CrossRef]
- Zhao, F.J.; Ma, Y.; Zhu, Y.G.; Tang, Z.; McGrath, S.P. Soil contamination in China: Current status and mitigation strategies. Environ. Sci. Technol. 2015, 49, 750–759. [Google Scholar] [CrossRef]
- Luo, J.; Cheng, H.; Ren, J.; Davison, W.; Zhang, H. Mechanistic insights from DGT and soil solution measurements on the uptake of Ni and Cd by radish. Environ. Sci. Technol. 2014, 48, 7305–7313. [Google Scholar] [CrossRef] [PubMed]
- Cai, L.M.; Wang, Q.S.; Luo, J.; Chen, L.G.; Zhu, R.L.; Wang, S.; Tang, C.H. Heavy metal contamination and health risk assessment for children near a large Cu-smelter in central China. Sci. Total Environ. 2019, 650, 725–733. [Google Scholar] [CrossRef] [PubMed]
- Khan, S.; Reid, B.J.; Li, G.; Zhu, Y.-G. Application of biochar to soil reduces cancer risk via rice consumption: A case study in Miaoqian village, Longyan, China. Environ. Int. 2014, 68, 154–161. [Google Scholar] [CrossRef] [PubMed] [Green Version]
- Rai, P.K.; Lee, S.S.; Zhang, M.; Tsang, Y.F.; Kim, K.H. Heavy metals in food crops: Health risks, fate, mechanisms, and management. Environ. Int. 2019, 125, 365–385. [Google Scholar] [CrossRef]
- He, S.; Lu, Q.; Li, W.; Ren, Z.; Zhou, Z.; Feng, X.; Zhang, Y.; Li, Y. Factors controlling cadmium and lead activities in different parent material-derived soils from the Pearl River Basin. Chemosphere 2017, 182, 509–516. [Google Scholar] [CrossRef]
- Liu, X.; Jing, M.; Bai, Z. Heavy Metal Concentrations of Soil, Rock, and Coal Gangue in the Geological Profile of a Large Open-Pit Coal Mine in China. Sustainability 2022, 14, 1020. [Google Scholar] [CrossRef]
- Sun, Z.; Xie, X.; Wang, P.; Hu, Y.; Cheng, H. Heavy metal pollution caused by small-scale metal ore mining activities: A case study from a polymetallic mine in South China. Sci. Total Environ. 2018, 639, 217–227. [Google Scholar] [CrossRef]
- Barbieri, M. The importance of enrichment factor (EF) and geoaccumulation index (igeo) to evaluate the soil contamination. J. Geol. Geophys. 2016, 5, 2. [Google Scholar] [CrossRef]
- Qiu, Y.; Guan, D.S.; Song, W.W.; Huang, K.Y. Capture of heavy metals and sulfur by foliar dustin urban Huizhou, Guangdong Province, China. Chemosphere 2009, 75, 447–452. [Google Scholar] [CrossRef]
- Zhang, X.Y.; Lin, F.F.; Wong, M.T.; Feng, X.L.; Wang, K. Identification of soil heavy metal sources from anthropogenic activities and pollution assessment of Fuyang County, China. Environ. Monit. Assess. 2009, 154, 439–449. [Google Scholar] [CrossRef]
- Gee, G.W.; Bauder, J.W. Particle-size analysis. In Methods of Soil Analysis. Part 1: Physical and Mineralogical Methods, 2nd ed.; Klute, A., Ed.; American Society of Agronomy and Soil Science Society of America: Madison, WI, USA, 1986; pp. 383–410. [Google Scholar]
- DZ/T 0279-2016; Geological and Mineral Industry Standards. Ministry of Land and Resources, PRC: Beijing, China, 2016; p. 4.
- HJ491-2019; National Environmental Protection Standards. Ministry of Ecological Environment, PRC: Beijing, China, 2019; p. 4.
- GB/T 22105-2008; National Standard-Method for Determination of Total Mercury, Total Arsenic and Total Lead by Atomic Fluorescence. Standardization Administration of China: Beijing, China, 2008; p. 2.
- Hu, C.; Yang, X.; Dong, J.; Zhang, X. Heavy metal concentrations and chemical fractions in sediment from Swan Lagoon, China: Their relation to the physiochemical properties of sediment. Chemosphere 2018, 209, 848–856. [Google Scholar] [CrossRef] [PubMed]
- Liu, G.N.; Yu, Y.J.; Hou, J.; Xue, W.; Liu, X.; Liu, Y.; Wang, W.; Alsaedi, A.; Hayat, T.; Liu, Z. An ecological risk assessment of heavy metal pollution of the agricultural ecosystem near a lead-acid battery factory. Ecol. Indic. 2014, 47, 210–218. [Google Scholar] [CrossRef]
- Bourennane, H.; Douay, F.; Sterckeman, T.; Villanneau, E.; Ciesielski, H.; King, D.; Baize, D. Mapping of anthropogenic trace elements inputs in agricultural topsoil from Northern France using enrichment factors. Geoderma 2010, 157, 165–174. [Google Scholar] [CrossRef]
- Chen, Z.L.; Huang, Y.; Cheng, X.; Ni, S.; Wang, J.J.; Ren, B.Z.; Yu, Q.L. Assessment of toxic elements in road dust from Hutou Village, China: Implications for the highest incidence of lung cancer. Environ. Sci. Pollut. Res. 2021, 28, 1850–1865. [Google Scholar] [CrossRef]
- Sutherland, R.A. Bed sediment-associated trace metals in an urban stream, Oahu, Hawaii. Environ. Geol. 2000, 39, 611–627. [Google Scholar] [CrossRef]
- Tian, K.; Huang, B.; Xing, Z.; Hu, W.Y. Geochemical baseline establishment and ecological risk evaluation of heavy metals in greenhouse soils from Dongtai, China. Ecol. Indic. 2017, 72, 510–520. [Google Scholar] [CrossRef]
- Karim, Z.; Qureshi, B.A.; Mumtaz, M. Geochemical baseline determination and pollution assessment of heavy metals in urban soils of Karachi. Pakistan. Ecol. Indic. 2015, 48, 358–364. [Google Scholar] [CrossRef]
- China National Environmental Monitoring Center (CNEMC). The Background Values of Soil Elements in China; China Environmental Science Press: Beijing, China, 1990. (In Chinese) [Google Scholar]
- Ji, Y.Q.; Feng, Y.C.; Wu, J.H.; Wu, J.H.; Zhu, T.; Bai, Z.P.; Duan, C.Q. Using geoaccumulation index to study source profiles of soil dust in China. J. Environ. Sci. 2008, 20, 571–578. [Google Scholar] [CrossRef]
- Hou, D.Y.; O’Connor, D.; Nathanail, P.; Li, T.; Ma, Y. Integrated GIS and multivariate statistical analysis for regional scale assessment of heavy metal soil contamination: A critical review. Environ. Pollut. 2017, 231 Pt 1, 1188–1200. [Google Scholar] [CrossRef]
- Micó, C.; Recatalá, L.; Peris, M.; Sánchez, J. Assessing heavy metal sources in agricultural soils of an European Mediterranean area by multivariate analysis. Chemosphere 2006, 65, 863–872. [Google Scholar] [CrossRef]
- Rodríguez Martín, J.A.; López Arias, M.; Grau Corbí, J.M. Heavy metals contents in agricultural topsoils in the Ebro basin (Spain). Application of the multivariate geoestatistical methods to study spatial variations. Environ. Pollut. 2006, 144, 1001–1012. [Google Scholar] [PubMed]
- Franco-Uría, A.; López-Mateo, C.; Roca, E.; Fernández-Marcos, M.L. Source identification of heavy metals in pastureland by multivariate analysis in NW Spain. J. Hazard. Mater. 2009, 165, 1008–1015. [Google Scholar] [CrossRef]
- Cai, L.M.; Xu, Z.C.; Ren, M.Z.; Guo, Q.W.; Hu, X.B.; Hu, G.C.; Wang, H.F.; Peng, P.A. Source identification of eight hazardous heavy metals in agricultural soils of Huizhou, Guangdong Province, China. Ecotoxicol. Environ. Saf. 2012, 78, 2–8. [Google Scholar] [CrossRef] [PubMed]
- Cai, L.M.; Xu, Z.; Bao, P.; He, M.; Dou, L.; Chen, L.; Zhou, Y.; Zhu, Y.G. Multivariate and geostatistical analyses of the spatial distribution and source of arsenic and heavy metals in the agricultural soils in Shunde, Southeast China. J. Geochem. Explor. 2015, 148, 189–195. [Google Scholar] [CrossRef]
- Khosravi, Y.; Zamani, A.A.; Parizanganeh, A.H.; Yaftian, M.R. Assessment of spatial distribution pattern of heavy metals surrounding a lead and zinc production plant in Zanjan Province, Iran. Geoderma Reg. 2018, 12, 10–17. [Google Scholar] [CrossRef]
- Cai, S.; Zhou, S.; Wu, P.; Zhao, J. Speciation and bioavailability of metals in sediments from a stream impacted by abandoned mines in maoshi town, Southwest of China. Bull. Environ. Contam. Toxicol. 2019, 103, 302–307. [Google Scholar] [CrossRef]
- Yan, W.; Mahmood, Q.; Peng, D.; Fu, W.; Chen, T.; Wang, Y.; Li, S.; Chen, J.; Liu, D. The spatial distribution pattern of heavy metals and risk assessment of moso bamboo forest soil around lead–zinc mine in Southeastern China. Soil Tillage Res. 2015, 153, 120–130. [Google Scholar] [CrossRef]
- Wang, L.; Guo, Z.; Xiao, X.; Chen, T.; Liao, X.; Song, J.; Wu, B. Heavy metal pollution of soils and vegetables in the midstream and downstream of the Xiangjiang River, Hunan Province. J. Geogr. Sci. 2008, 18, 353–362. [Google Scholar] [CrossRef]
- GB15618-2018; Soil Environment Quality Risk Control Standard for Soil Contamination of Agricultural Land. PRC: Beijing, China, 2018; p. 2.
- Li, Y.; Wang, Y.; Gou, X.; Su, Y.; Wang, G. Risk assessment of heavy metals in soils and vegetables around non-ferrous metals mining and smelting sites, Baiyin, China. J. Environ. Sci. 2006, 18, 1124–1134. [Google Scholar] [CrossRef]
- Li, Y.J. Sequence-Palaeogeography and Coal Accumulation of the Late Triassic Xujiahe Formation in the Sichuan Basin; China University of Mining and Technology: Beijing, China, 2014. [Google Scholar]
- Liu, X.; Shi, H.; Bai, Z.; Zhou, W.; Liu, K.; Wang, M.; He, Y. Heavy metal concentrations of soils near the large opencast coal mine pits in China. Chemosphere 2019, 244, 125360. [Google Scholar] [CrossRef]
- Amari, K.E.; Valera, P.; Hibti, M.; Pretti, S.; Marcello, A.; Essarraj, S. Impact of mine tailings on surrounding soils and ground water: Case of Kettara old mine, Morocco. J. Afr. Earth Sci. 2014, 100, 437–449. [Google Scholar] [CrossRef]
- Neiva, A.M.R.; Carvalho, P.C.S.; Antunes, I.M.H.R.; Silva, M.M.V.G.; Santos, A.C.T.; Cabral Pinto, M.M.S.; Cunha, P.P. Contaminated water, stream sediments and soils close to the abandoned Pinhal do Souto uranium mine, Central Portugal. J. Geochem. Explor. 2014, 136, 102–117. [Google Scholar] [CrossRef] [Green Version]
- Zhao, K.; Fu, W.; Liu, X.; Huang, D.; Zhang, C.; Ye, Z.; Xu, J. Spatial variations of concentrations of copper and its speciation in the soil–rice system in Wenling of southeastern China. Environ. Sci. Pollut. Res. 2014, 21, 7165–7176. [Google Scholar] [CrossRef] [PubMed]
- Wu, X.L.; Huang, X.F.; Li, C.C.; Hu, J.W.; Tang, F.H.; Zhang, Z.D. Soil heavy metal pollution degrees and metal chemical forms around the coal mining area in western Guizhou. Res. Soil Water Conserv. 2018, 25, 335–341. [Google Scholar]
- Wang, H.; Wu, Q.; Hu, W.; Huang, B.; Dong, L.; Liu, G. Using multi-medium factors analysis to assess heavy metal health risks along the Yangtze River in Nanjing, Southeast China. Environ. Pollut. 2018, 243, 1047–1056. [Google Scholar] [CrossRef]
- Ge, F.F.; Wang, X.F.; Fu, W.J.; Wang, L.L.; Jin, C.X.; Lv, J.H.; Cao, Z.G.; Yan, G.X.; Zhang, X. A Review of Cadmium Polluted Agricultural Soils and Phytoremediation in China. Environ. Prot. Sci. 2017, 43, 105–110. [Google Scholar]
- Ren, B.Z.; Wu, Y.; Deng, D.P.; Tang, X.F.; Li, H.T. Effect of multiple factors on the adsorption of Cd in an alluvial soil from Xiba, China. J. Contam. Hydrol. 2020, 232, 103605. [Google Scholar] [CrossRef]
- Bin, H.; Zhaojun, Y.; Jianbo, S.; Guibin, J. Research progress of heavy metal pollution in China: Sources, analytical methods, status, and toxicity. Chin. Sci. Bull. 2013, 58, 134–140. [Google Scholar]
- Guo, J.K.; Zhao, J.; Wei, T.; Li, Y.P.; Lü, X.; Ren, Q.; Wang, X.H. Speciation and pollution assessment of cadmium and lead in vegetable greenhouse soil from a Xi’an Suburb with different cultivating years. J. Agro-Environ. Sci. 2018, 37, 2570–2577. [Google Scholar]
- Kassir, L.N.; Darwish, T.; Shaban, A.; Olivier, G.; Ouaini, N. Mobility and bioavailability of selected trace elements in Mediterranean red soil amended with phosphate fertilizers: Experimental study. Geoderma 2012, 189–190, 357–368. [Google Scholar] [CrossRef]
- Huang, Y.; Li, Y.X.; Gao, F.W.; Xu, M.M.; Sun, B.; Wang, N.; Yang, J. Speciation and Risk Assessment of Heavy Metals in Surface Sediments from the Heavily Polluted Area of Xiaoqing River. Environ. Sci. 2015, 36, 2046–2053. [Google Scholar]
- Zhang, K.; Chai, F.; Zheng, Z.; Yang, Q.; Zhong, X.; Fomba, K.W.; Zhou, G. Size distribution and source of heavy metals in particulate matter on the lead and zinc smelting affected area. J. Environ. Sci. 2018, 71, 188–196. [Google Scholar] [CrossRef] [PubMed]
- Davidson, C.M.; Urquhart, G.J.; Ajmone-Marsan, F.; Biasioli, M.; da Costa Duarte, A.; Díaz-Barrientos, E.; Grčman, H.; Hossack, I.; Hursthouse, A.S.; Madrid, L.; et al. Fractionation of potentially toxic elements in urban soils from five European cities by means of a harmonised sequential extraction procedure. Anal. Chim. Acta 2006, 565, 63–72. [Google Scholar] [CrossRef] [Green Version]
- Ma, X.L.; Zuo, H.; Tian, M.J.; Zhang, L.Y.; Meng, J.; Zhou, X.; Min, N.; Chang, X.; Liu, Y. Assessment of heavy metals contamination in sediments from three adjacent regions of the Yellow River using metal chemical fractions and multivariate analysis techniques. Chemosphere 2016, 144, 264–272. [Google Scholar] [CrossRef]
- Acosta, J.A.; Gabarrón, M.; Faz, A.; Martínez-Martínez, S.; Zornoza, R.; Arocena, J.M. Influence of population density on the concentration and speciation of metals in the soil and street dust from urban areas. Chemosphere. 2015, 134, 328–337. [Google Scholar] [CrossRef]
- Adriano, D. Trace Elements in Terrestrial Environments. In Biogeochemistry, Bioavailability and Risks of Metals; Springer: New York, NY, USA, 2001; 866p. [Google Scholar]
- Zong, Y.T.; Xiao, Q.; Lu, S.G. Distribution, bioavailability, and leachability of heavy metals in soil particle size fractions of urban soils (northeastern China). Environ Sci Pollut Res. 2016, 23, 14600–14607. [Google Scholar]
- Huang, Q.; Tang, S.; Huang, X.; Zhang, F.; Yi, Q.; Li, P.; Fu, H. Influence of rice cultivation on the abundance and fractionation of Fe, Mn, Zn, Cu, and Al in acid sulfate paddy soils in the Pearl River Delta. Chem. Geol. 2017, 448, 93–99. [Google Scholar] [CrossRef]
- Li, H.X.; Ji, H.B. Chemical speciation, vertical profile and human health risk assessment of heavy metals in soils from coal-mine brownfield, Beijing, China. J. Geochem. Explor. 2017, 183, 22–32. [Google Scholar] [CrossRef]
- Davis, J.C.; Sampson, R.J. Statistics and Data Analysis in Geology; John Wiley & Sons, Inc.: New York, NY, USA, 1986; pp. 166–171. [Google Scholar]
- Jiao, W.; Chen, W.; Chang, A.C.; Page, A.L. Environmental risks of trace elements associated with long-term phosphate fertilizers applications: A review. Environ. Pollut. 2012, 168, 44–53. [Google Scholar] [CrossRef]
- Wang, Y.; Duan, X.; Wang, L. Spatial distribution and source analysis of heavy metals in soils influenced by industrial enterprise distribution: Case study in Jiangsu Province. Sci. Total Environ. 2020, 710, 134953. [Google Scholar] [CrossRef]
- Lv, J.; Liu, Y.; Zhang, Z.; Dai, J. Factorial kriging and stepwise regression approach to identify environmental factors influencing spatial multi-scale variability of heavy metals in soils. J. Hazard Mater. 2013, 261, 387–397. [Google Scholar] [CrossRef] [PubMed]
- Dou, W.Q.; An, Y.; Qin, L.; Lin, D.S.; Dong, M.M. Characteristics of vertical distribution and migration of heavy metals in farmland soils and ecological risk assessment. Environ. Eng. 2021, 39, 166–172. [Google Scholar]
- Shi, R.; Yue, R.; Zhang, H. Research on Vertical Distribution of Heavy Metal in Soil around Non-ferrous Metal Industry Area. Chin. J. Soil Sci. 2016, 47, 186–191. [Google Scholar]
- Heydarnejad, M.S.; Khosravian-Hemamai, M.; Nematollahi, A. Effects of cadmium at sub-lethal concentration on growth and biochemical parameters in rainbow trout (Oncorhynchus mykiss). Ir. Vet. J. 2013, 66, 11. [Google Scholar] [CrossRef] [Green Version]
- Van Ginneken, M.; Blust, R.; Bervoets, L. How lethal concentration changes over time: Toxicity of cadmium, copper, and lead to the freshwater isopod Asellus aquaticus. Environ. Toxicol. Chem. 2017, 36, 10. [Google Scholar] [CrossRef]










| Item | pH | Cr | Ni | Cu | Zn | As | Cd | Hg | Pb | Mn | Fe |
|---|---|---|---|---|---|---|---|---|---|---|---|
| mg/kg | mg/kg | mg/kg | mg/kg | mg/kg | mg/kg | mg/kg | mg/kg | mg/kg | wt% | ||
| N a | 44 | 44 | 44 | 44 | 44 | 44 | 44 | 44 | 44 | 44 | 44 |
| Minimum a | 4.88 | 34.52 | 15.36 | 7.66 | 39.04 | 5.03 | 0.21 | 0.06 | 16.80 | 258.39 | 2.19 |
| Maximum a | 9.01 | 85.37 | 471.61 | 59.11 | 346.68 | 29.27 | 2.51 | 0.31 | 91.01 | 14314.45 | 6.18 |
| Mean a | 7.22 | 58.19 | 34.85 | 26.38 | 89.07 | 8.51 | 0.41 | 0.14 | 28.47 | 956.27 | 3.55 |
| Median a | 7.28 | 56.20 | 23.39 | 24.26 | 78.77 | 6.96 | 0.33 | 0.13 | 25.15 | 622.01 | 3.49 |
| 25th a | 6.07 | 47.45 | 20.43 | 20.52 | 72.10 | 6.20 | 0.28 | 0.1 | 22.16 | 460.06 | 3 |
| 75th a | 8.4 | 64.81 | 28.72 | 32.05 | 94.81 | 8.51 | 0.41 | 0.15 | 28.51 | 780.32 | 3.99 |
| Skewness a | −0.14 | 0.45 | 6.53 | 0.87 | 4.27 | 2.94 | 5.21 | 1.74 | 3.14 | 6.44 | 0.84 |
| Kurtosis a | −1.32 | −0.43 | 43.10 | 1.66 | 22.64 | 9.89 | 30.43 | 4.84 | 10.75 | 42.2 | 1.55 |
| SD a | 1.27 | 12.51 | 67.70 | 9.72 | 46.44 | 4.60 | 0.35 | 0.04 | 13.99 | 2080.77 | 0.8 |
| CV a | 0.18 | 0.22 | 1.94 | 0.37 | 0.52 | 0.54 | 0.85 | 0.33 | 0.49 | 2.18 | 0.22 |
| TY40-49 b | 8.8 | 66.3 | 36.81 | 35.02 | 79.43 | 18.48 | 0.41 | 0.28 | 30.15 | 676.18 | 3.56 |
| Background values c | - | 61 | 26.9 | 22.60 | 74.2 | 11.2 | 0.1 | 0.065 | 26 | 583 | 2.94 |
| Limit value d | - | 200 | 100 | 100 | 250 | 30 | 0.3 | 2.4 | 120 | - | - |
| Cr | Ni | Cu | Zn | As | Cd | Hg | Pb | Fe | |
|---|---|---|---|---|---|---|---|---|---|
| Cr | 1 | ||||||||
| Ni | −0.128 | 1 | |||||||
| Cu | 0.506 ** | 0.132 | 1 | ||||||
| Zn | 0.055 | 0.882 ** | 0.511 ** | 1 | |||||
| As | 0.166 | 0.007 | 0.633 ** | 0.259 | 1 | ||||
| Cd | −0.183 | 0.921 ** | 0.340 * | 0.927 ** | 0.18 | 1 | |||
| Hg | 0.251 | −0.094 | 0.604 ** | 0.186 | 0.636 ** | 0.143 | 1 | ||
| Pb | −0.031 | 0.005 | 0.727 ** | 0.389 ** | 0.659 ** | 0.326 * | 0.596 ** | 1 | |
| Fe | 0.543 ** | 0.568 ** | 0.331 * | 0.606 ** | −0.022 | 0.473 ** | −0.025 | −0.05 | 1 |
| F1 | F2 | F3 | Communalities | |
|---|---|---|---|---|
| Ni | 0.975 | −0.102 | 0.019 | 0.962 |
| Cd | 0.964 | 0.192 | −0.084 | 0.962 |
| Zn | 0.934 | 0.275 | 0.146 | 0.879 |
| Pb | 0.167 | 0.885 | −0.147 | 0.969 |
| As | 0.043 | 0.856 | 0.024 | 0.735 |
| Hg | −0.047 | 0.831 | 0.112 | 0.972 |
| Cu | 0.233 | 0.8 | 0.43 | 0.705 |
| Cr | −0.152 | 0.169 | 0.954 | 0.832 |
| Fe | 0.589 | −0.099 | 0.734 | 0.896 |
| Eigenvalues | 0.975 | −0.102 | 0.019 | |
| % of variance explained | 43.106 | 27.906 | 16.906 | |
| Cumulative % of variance | 43.106 | 71.012 | 87.918 |
Publisher’s Note: MDPI stays neutral with regard to jurisdictional claims in published maps and institutional affiliations. |
© 2022 by the authors. Licensee MDPI, Basel, Switzerland. This article is an open access article distributed under the terms and conditions of the Creative Commons Attribution (CC BY) license (https://creativecommons.org/licenses/by/4.0/).
Share and Cite
Deng, D.; Wu, Y.; Sun, Y.; Ren, B.; Song, L. Pollution Characteristics and Spatial Distribution of Heavy Metals in Coal-Bearing Sandstone Soil: A Case Study of Coal Mine Area in Southwest China. Int. J. Environ. Res. Public Health 2022, 19, 6493. https://doi.org/10.3390/ijerph19116493
Deng D, Wu Y, Sun Y, Ren B, Song L. Pollution Characteristics and Spatial Distribution of Heavy Metals in Coal-Bearing Sandstone Soil: A Case Study of Coal Mine Area in Southwest China. International Journal of Environmental Research and Public Health. 2022; 19(11):6493. https://doi.org/10.3390/ijerph19116493
Chicago/Turabian StyleDeng, Dongping, Yong Wu, Yi Sun, Bangzheng Ren, and Lei Song. 2022. "Pollution Characteristics and Spatial Distribution of Heavy Metals in Coal-Bearing Sandstone Soil: A Case Study of Coal Mine Area in Southwest China" International Journal of Environmental Research and Public Health 19, no. 11: 6493. https://doi.org/10.3390/ijerph19116493
APA StyleDeng, D., Wu, Y., Sun, Y., Ren, B., & Song, L. (2022). Pollution Characteristics and Spatial Distribution of Heavy Metals in Coal-Bearing Sandstone Soil: A Case Study of Coal Mine Area in Southwest China. International Journal of Environmental Research and Public Health, 19(11), 6493. https://doi.org/10.3390/ijerph19116493
