Comparative Study of Algae-Based Measurements of the Toxicity of 14 Manufactured Nanomaterials
Abstract
:1. Introduction
2. Materials and Methods
2.1. Materials
2.2. Dispersion Treatment of Manufactured Nanomaterials
2.3. 72 h Chronic and 8 h Acute Toxicity Tests
3. Results and Discussion
3.1. Comparison of Manufactured Nanomaterials Using Dynamic Light Scattering
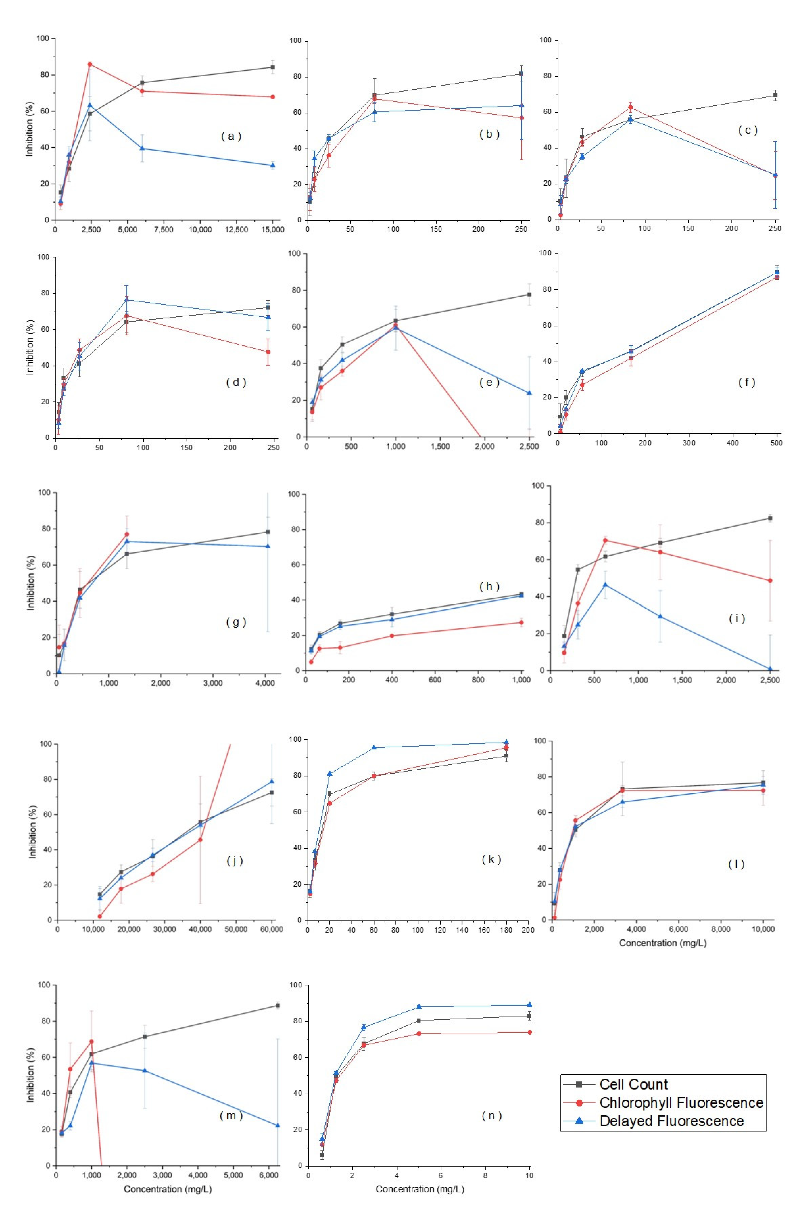
3.2. Results of 72 h Chronic Toxicity Tests
3.3. Results of 8 h Acute Toxicity Tests
4. Conclusions
Author Contributions
Funding
Conflicts of Interest
References
- OECD. Guidance Manual for the Testing of Manufactured Nanomaterials: OECD’s Sponsorship Programme; ENV/JM/MONO (2009) 20/REV; Organization for Economic Co-Operation and Development: Paris, France, 2010; p. 55. [Google Scholar]
- NIER. Evaluation of Environmental Behavior and Ecotoxicity of Manufactured Nanomaterials; TRKO201300007669; National Institute of Environmental Research: Seoul, Korea, 2011; p. 1. [Google Scholar]
- MOE. Nano-Safety Research Trend of the Organization for Economic Cooperation and Development (OECD); Ministry of Environment: Sejong, Korea, 2017; pp. 1–4. [Google Scholar]
- Zhang, B.; Misak, H.; Dhanasekaran, P.S.; Kalla, D.; Asmatulu, R. Environmental impacts of nanotechnology and its products. In Proceedings of the 2011 Midwest Section Conference of the American Society for Engineering Education, Vancouver, BC, Canada, 26 September 2011; pp. 1–9. [Google Scholar]
- Ganguly, P.; Breen, A.; Pillai, S.C. Toxicity of nanomaterials: Exposure, pathways, assessment, and recent advances. ACS Biomater. Sci. Eng. 2018, 4, 2237–2275. [Google Scholar] [CrossRef] [PubMed]
- Kim, S. Ecotoxicity Assessment and Bioassay Development of Metallic Nanomaterials in Soil Environment; Konkuk University: Seoul, Korea, 2016; pp. 3–6. [Google Scholar]
- Nizam, N.U.M.; Hanafiah, M.M.; Woon, K.S. A Content Review of Life Cycle Assessment of Nanomaterials: Current Practices, Challenges, and Future Prospects. Nanomaterials 2021, 11, 3324. [Google Scholar] [CrossRef] [PubMed]
- OECD. List of Manufactured Nanomaterials and List of Endpoints for Phase One of the OECD Testing Programme; ENV/JM/MONO (2008) 13/REV; Organization for Economic Co-Operation and Development: Paris, France, 2008; p. 13. [Google Scholar]
- Knauer, K.; Sobek, A.; Bucheli, T.D. Reduced toxicity of diuron to the freshwater green alga Pseudokirchneriella subcapitata in the presence of black carbon. Aquat. Toxicol. 2007, 83, 143–148. [Google Scholar] [CrossRef] [PubMed]
- Canesi, L.; Fabbri, R.; Gallo, G.; Vallotto, D.; Marcomini, A.; Pojana, G. Biomarkers in Mytilus galloprovincialis exposed to suspensions of selected nanoparticles (Nano carbon black, C60 fullerene, Nano-TiO2, Nano-SiO2). Aquat. Toxicol. 2010, 100, 168–177. [Google Scholar] [CrossRef]
- Bundschuh, M.; Seitz, F.; Rosenfeldt, R.R.; Schulz, R. Titanium Dioxide Nanoparticles Increase Sensitivity in the Next Generation of the Water Flea Daphnia magna. PLoS ONE 2012, 7, e48956. [Google Scholar] [CrossRef]
- Choi, S. Study on Characteristics of Ecologycal Toxicity in the Industrial Effluent; Dankook University: Yongin, Korea, 2011; pp. 6–11. [Google Scholar]
- Croft, H.; Chen, J.M. Leaf Pigment Content, Comprehensive Remote Sensing; Elsevier: Amsterdam, The Netherlands, 2017; Volume 3, p. 2. [Google Scholar]
- Kim, B. Biological synthesis and antibacterial activity of metal nanoparticles. BT News 2014, 21, 24–29. [Google Scholar]
- MOE. Nanomaterials Distribution Status and System Introduction Plan Research Project Final Report; Ministry of Environment: Sejong, Korea, 2008; pp. 1–30. [Google Scholar]
- MOE. Ecotoxicity Management Guidebook, KECO2016-ED02-19; Ministry of Environment Sejong: Sejong, Korea, 2016; pp. 3–4. [Google Scholar]
- OECD. Nanosafety at the OECD: The First Five Years 2006–2010; Organization for Economic Co-Operation and Development: Paris, France, 2011; pp. 4–12. [Google Scholar]
- Singh, C.; Friedrichs, S.; Ceccone, G.; Gibson, N.; Jensen, K.A.; Levin, M.; Rasmussen, K. Cerium Dioxide, NM-211, NM-212, NM-Characterisation and Test Item Preparation; Publications Office of the European Union: Luxembourg, 2014; pp. 1–3. [Google Scholar]
- Harper, S.; Usenko, C.; Hutchison, J.E.; Maddux, B.L.S.; Tanguay, R.L. In vivo biodistribution and toxicity depends on nanomaterial composition, size, surface functionalisation and route of exposure. J. Exp. Nanosci. 2008, 3, 195–206. [Google Scholar] [CrossRef]
- Li, X.; Liu, W.; Sun, L.; Aifantis, K.E.; Yu, B.; Fan, Y.; Watari, F. Effects of physicochemical properties of nanomaterials on their toxicity. J. Biomed. Mater. Res. Part A 2015, 103, 2499–2507. [Google Scholar] [CrossRef]
- Pan, J.-F.; Buffet, P.-E.; Poirier, L.; Amiard-Triquet, C.; Gilliland, D.; Joubert, Y.; Pilet, P.; Guibbolini, M.; de Faverney, C.R.; Roméo, M.; et al. Size dependent bioaccumulation and ecotoxicity of gold nanoparticles in an endobenthic invertebrate: The Tellinid clam Scrobicularia plana. Environ. Pollut. 2012, 168, 37–43. [Google Scholar] [CrossRef]
- Snousy, M.G.; Zawrah, M.F. Nanoparticles restrictions in environmental cleanup. Nano Res. Appl. 2017, 3, 1–5. [Google Scholar]
- Borode, A.O.; Ahmed, N.A.; Olubambi, P.A. Surfactant-aided dispersion of carbon nanomaterials in aqueous solution. Phys. Fluids 2019, 31, 071301. [Google Scholar] [CrossRef]
- Fallourd, M.; Viscione, L. Ingredient selection for stabilisation and texture optimisation of functional beverages and the inclusion of dietary fibre. In Functional and Speciality Beverage Technology; Woodhead Publishing: Sawston, UK, 2009; pp. 3–38. [Google Scholar] [CrossRef]
- Kahani, M.; Heris, S.Z.; Mousavi, S.M. Multiwalled Carbon Nanotube/Water Nanofluid or Helical Coiling Technique, Which of Them Is More Effective? Ind. Eng. Chem. Res. 2013, 52, 13183–13191. [Google Scholar] [CrossRef]
- Williams, P.A.; Idris, O.H.M.; Phillips, G.O. Structural analysis of gum from Acacia senegal (gum arabic). In Cell and Developmental Biology of Arabinogalactan-Proteins; Springer: Boston, MA, USA, 2000; pp. 241–251. [Google Scholar]
- OECD. OECD Guidelines for the Testing of Chemicals-Freshwater Alga and Cyanobacteria, Growth Inhibition Test; Organization for Economic Co-Operation and Development: Paris, France, 2011; pp. 1–25. [Google Scholar]
- Maxwell, K.; Johnson, G.N. Chlorophyll fluorescence—A practical guide. J. Exp. Bot. 2000, 51, 659–668. [Google Scholar] [CrossRef] [PubMed]
- Abreu, F.O.M.D.S.; Silva, N.; Sipauba, M.D.S.; Pires, T.F.M.; Bomfim, T.A.; Junior, O.A.D.C.M.; Forte, M.M.D.C. Chitosan and gum arabic nanoparticles for heavy metal adsorption. Polímeros 2018, 28, 231–238. [Google Scholar] [CrossRef] [Green Version]
- Zhong, W. Nanomaterials in fluorescence-based biosensing. Anal. Bioanal. Chem. 2009, 394, 47–59. [Google Scholar] [CrossRef] [Green Version]
- Griffitt, R.J.; Luo, J.; Gao, J.; Bonzongo, J.C.; Barber, D.S. Effects of particle composition and types on toxicity of metallic nanomaterials in aquatic organisms. Environ. Toxicol. Chem. Int. J. 2008, 27, 1972–1978. [Google Scholar] [CrossRef]
- Hund-Rinke, K.; Baun, A.; Cupi, D.; Fernandes, T.F.; Handy, R.; Kinross, J.H.; Scott-Fordsmand, J.J. Regulatory ecotoxicity testing of nanomaterials–proposed modifications of OECD test guidelines based on laboratory experience with silver and titanium dioxide nanoparticles. Nanotoxicology 2016, 10, 1442–1447. [Google Scholar] [CrossRef] [Green Version]
- Sohn, E.K.; Chung, Y.S.; Johari, S.A.; Kim, T.G.; Kim, J.K.; Lee, J.H.; Lee, Y.H.; Kang, S.W.; Yu, I.J. Acute Toxicity Comparison of Single-Walled Carbon Nanotubes in Various Freshwater Organisms. BioMed Res. Int. 2015, 2015, 323090. [Google Scholar] [CrossRef] [Green Version]
- Liu, R.; Sun, F.; Zhang, L.; Zong, W.; Zhao, X.; Wang, L.; Wu, R.; Hao, X. Evaluation on the toxicity of nanoAg to bovine serum albumin. Sci. Total Environ. 2009, 407, 4184–4188. [Google Scholar] [CrossRef]
- Casa, D.; Scariot, D.; Khalil, N.; Nakamura, C.; Mainardes, R. Bovine serum albumin nanoparticles containing amphotericin B were effective in treating murine cutaneous leishmaniasis and reduced the drug toxicity. Exp. Parasitol. 2018, 192, 12–18. [Google Scholar] [CrossRef]
- Ravindran, A.; Prathna, T.; Verma, V.K.; Chandrasekaran, N.; Mukherjee, A. Bovine serum albumin mediated decrease in silver nanoparticle phytotoxicity: Root elongation and seed germination assay. Toxicol. Environ. Chem. 2012, 94, 91–98. [Google Scholar] [CrossRef]
- Tian, R.; Long, X.; Yang, Z.; Lu, N.; Peng, Y.-Y. Formation of a bovine serum albumin diligand complex with rutin and single-walled carbon nanotubes for the reduction of cytotoxicity. Biophys. Chem. 2019, 256, 106268. [Google Scholar] [CrossRef] [PubMed]
- Farkas, J.; Booth, A.M. Are fluorescence-based chlorophyll quantification methods suitable for algae toxicity assessment of carbon nanomaterials? Nanotoxicology 2017, 11, 569–577. [Google Scholar] [CrossRef] [PubMed]



| Manufactured Nanomaterials | Molecular Weight (g/mol) | Density (g/cm3) | Size | Solubility |
|---|---|---|---|---|
| Al2O3 | 101.96 | 3.987 | 20 nm | Insoluble |
| Carbon black | 12.01 | 1.7 | 30 nm | Insoluble |
| SWCNT | N/A | 1.3–1.4 | D: 1–2 nm L: −10 μm | Insoluble |
| MWCNT | N/A | 2.1 | D: 5–50 L: 5–15 μm | Insoluble |
| CeO2 | 172.12 | 7.22 | 10–30 nm | Insoluble |
| Dendrimers | 14,214.2 | 0.813 | 10 nm | Soluble |
| Fullerene | 720.65 | 1.7–1.9 | 30 nm | Insoluble |
| Gold | 196.97 | 19.3 | 15 nm | Insoluble |
| Iron | 55.85 | 7.874 | 25 nm | Insoluble |
| Nanoclays | 180.1 | 2.4 | 100 nm | Insoluble |
| Silver | 107.87 | 10.49 | 20 nm | Insoluble |
| SiO2 | 60.084 | 2.1 | 15–20 nm | Insoluble |
| TiO2 | 79.87 | 4.23 | 21 nm | Insoluble |
| ZnO | 81.38 | 5.61 | 35–45 nm | Insoluble |
| Manufactured Nanomaterials | Average Particle Size (nm) | Manufactured Nanomaterials | Average Particle Size (nm) | ||
|---|---|---|---|---|---|
| Before | After | Before | After | ||
| Al2O3 | 46.4 ± 2.3 | 2979.7 ± 29.8 | Gold | 30.4 ± 2.0 | 430.3 ± 11.1 |
| Carbon black | 93.1 ± 3.7 | 357.7 ± 56.7 | Iron | 30.4 ± 3.3 | 1664.7 ± 96.6 |
| SWCNT | 342.5 ± 34.3 | 973.8 ± 53.2 | Nanoclays | 149.8 ± 12.2 | 4058.0 ± 338.0 |
| MWCNT | 277.5 ± 30.5 | 1062.8 ± 78.8 | Silver | 30.2 ± 6.8 | 271.7 ± 18.3 |
| CeO2 | 33.2 ± 0.3 | 212.9 ± 7.4 | SiO2 | 30.5 ± 1.1 | 1719.8 ± 81.3 |
| Dendrimers | 8.8 ± 0.8 | 207.3 ± 6.0 | TiO2 | 60.3 ± 0.8 | 300.1 ± 23.5 |
| Fullerene | 193.4 ± 16.4 | 593.1 ± 28.9 | ZnO | 31.8 ± 0.8 | 643.9 ± 86.8 |
Publisher’s Note: MDPI stays neutral with regard to jurisdictional claims in published maps and institutional affiliations. |
© 2022 by the authors. Licensee MDPI, Basel, Switzerland. This article is an open access article distributed under the terms and conditions of the Creative Commons Attribution (CC BY) license (https://creativecommons.org/licenses/by/4.0/).
Share and Cite
Lee, S.-H.; Jung, K.; Chung, J.; Lee, Y.-W. Comparative Study of Algae-Based Measurements of the Toxicity of 14 Manufactured Nanomaterials. Int. J. Environ. Res. Public Health 2022, 19, 5853. https://doi.org/10.3390/ijerph19105853
Lee S-H, Jung K, Chung J, Lee Y-W. Comparative Study of Algae-Based Measurements of the Toxicity of 14 Manufactured Nanomaterials. International Journal of Environmental Research and Public Health. 2022; 19(10):5853. https://doi.org/10.3390/ijerph19105853
Chicago/Turabian StyleLee, Seung-Hun, Kiyoon Jung, Jinwook Chung, and Yong-Woo Lee. 2022. "Comparative Study of Algae-Based Measurements of the Toxicity of 14 Manufactured Nanomaterials" International Journal of Environmental Research and Public Health 19, no. 10: 5853. https://doi.org/10.3390/ijerph19105853
APA StyleLee, S.-H., Jung, K., Chung, J., & Lee, Y.-W. (2022). Comparative Study of Algae-Based Measurements of the Toxicity of 14 Manufactured Nanomaterials. International Journal of Environmental Research and Public Health, 19(10), 5853. https://doi.org/10.3390/ijerph19105853

