An Interactive Online App for Predicting Diabetes via Machine Learning from Environment-Polluting Chemical Exposure Data
Abstract
:1. Introduction
2. Materials and Methods
2.1. Data
2.2. Data Processing
2.3. Discretization of Predictors
2.4. BN Structure
2.5. Feature Selection
2.6. BN Prediction Model
2.7. Online Interactive App
3. Results
3.1. Feature Selection
3.2. BN Prediction Model
3.3. Online Interactive App
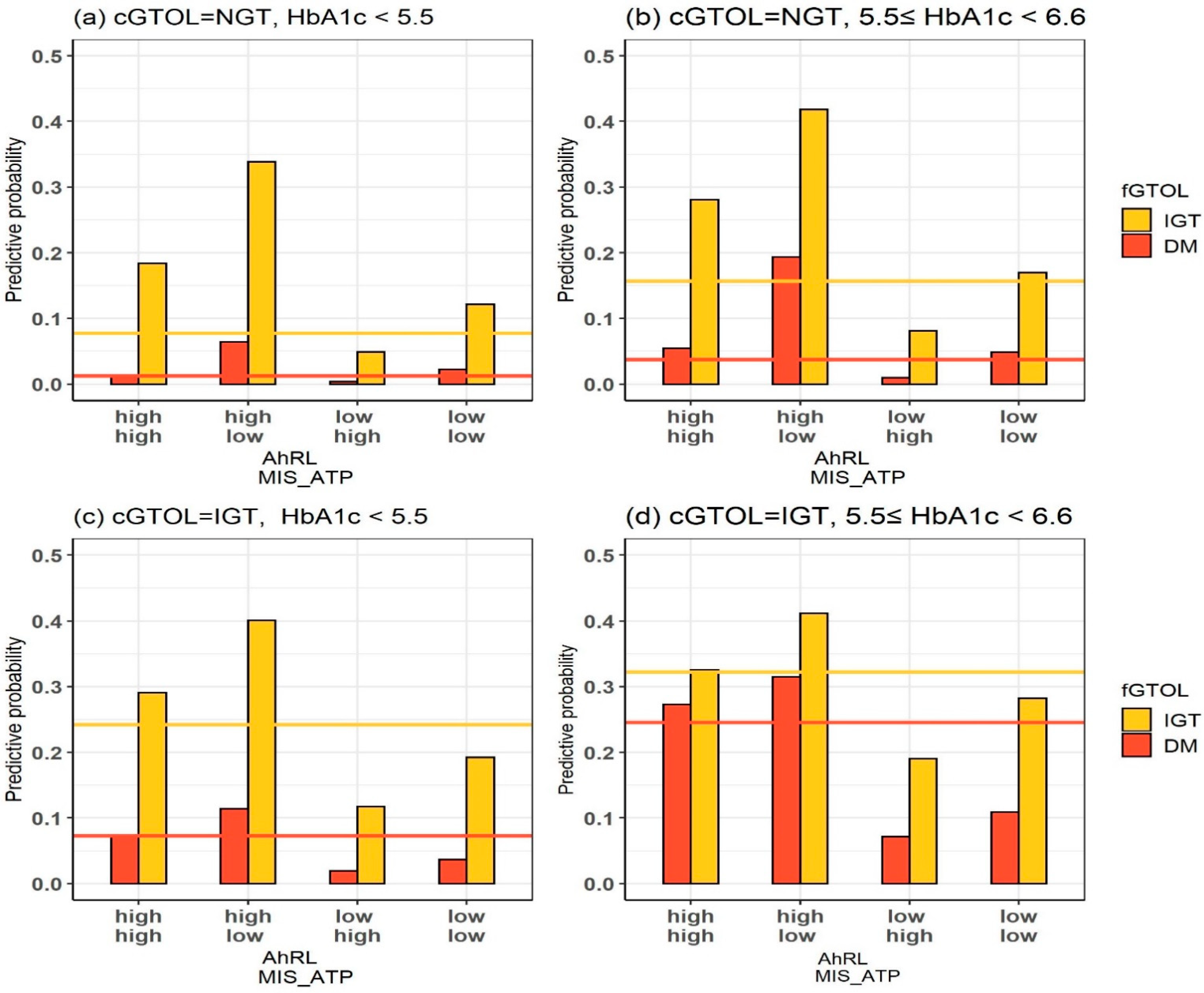
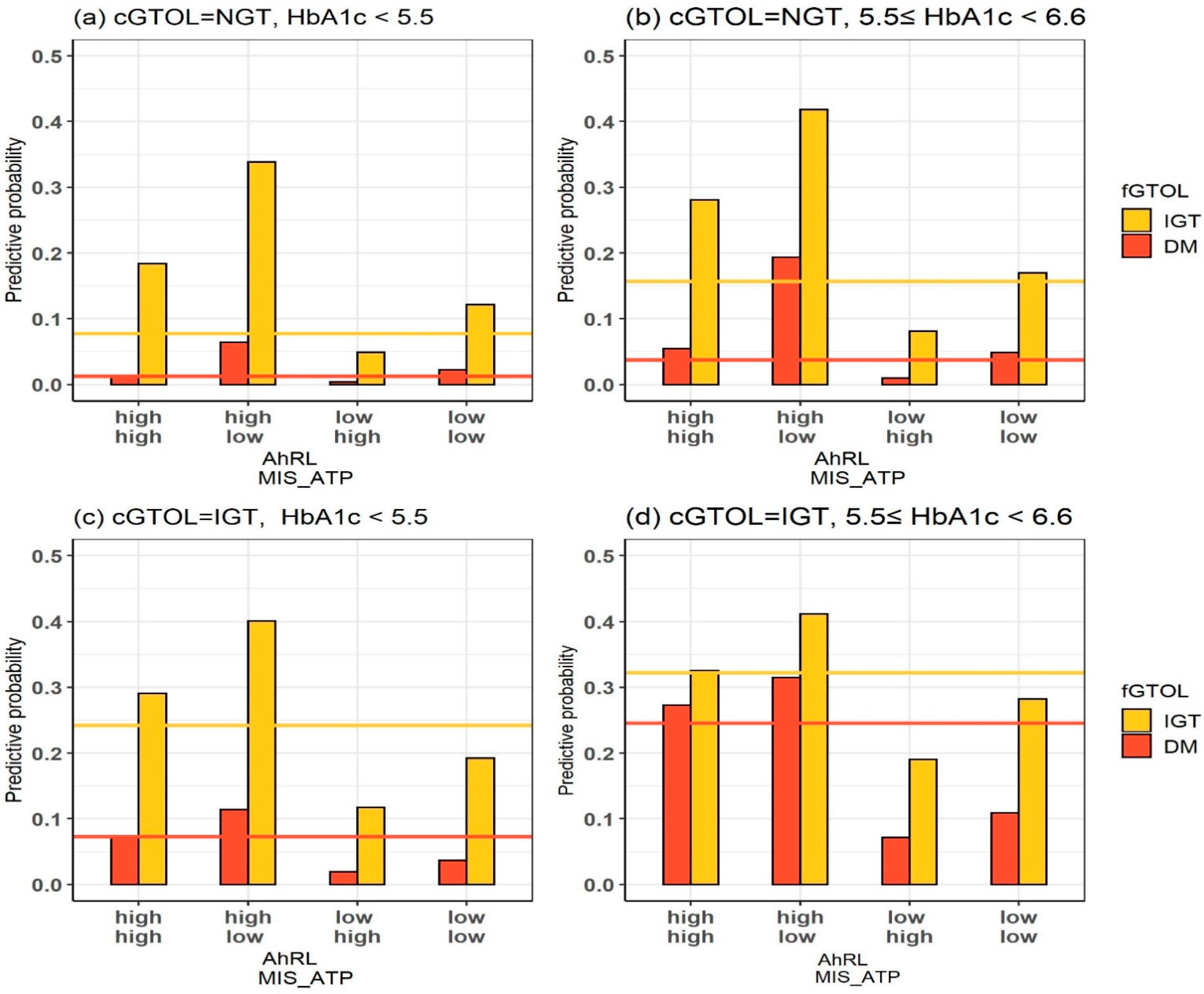
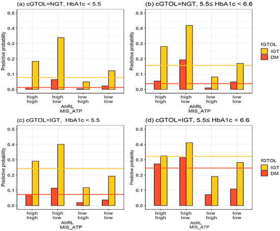
3.4. Effects of AhRL and MIS-ATP
4. Discussion
5. Conclusions
Author Contributions
Funding
Informed Consent Statement
Conflicts of Interest
References
- Sun, H.; Saeedi, P.; Karuranga, S.; Pinkepank, M.; Ogurtsova, K.; Duncan, B.B.; Stein, C.; Basit, A.; Chan, J.C.; Mbanya, J.C.; et al. IDF Diabetes Atlas: Global, regional and country-level diabetes prevalence estimates for 2021 and projections for 2045. Diabetes Res. Clin. Pract. 2022, 183, 109119. [Google Scholar] [CrossRef] [PubMed]
- Burmeister, M.A.; Delgado, E.; Virga, K.G. Growing Pains: The Type 2 Diabetes Epidemic in Youth. US Pharm. 2021, 46, 17–27. [Google Scholar]
- Lovic, D.; Piperidou, A.; Zografou, I.; Grassos, H.; Pittaras, A.; Manolis, A. The growing epidemic of diabetes mellitus. Curr. Vasc. Pharmacol. 2020, 18, 104–109. [Google Scholar] [CrossRef] [PubMed]
- Available online: who.int/health-topics/diabetes#tab=tab_1 (accessed on 9 April 2022).
- Sase, Y.; Kumagai, D.; Suzuki, T.; Yamashina, H.; Tani, Y.; Fujiwara, K.; Tanikawa, T.; Enomoto, H.; Aoyama, T.; Nagai, W.; et al. Characteristics of Type-2 Diabetics Who are Prone to High-Cost Medical Care Expenses by Bayesian Network. Int. J. Environ. Res. Public Health 2020, 17, 5271. [Google Scholar] [CrossRef]
- Cole, J.B.; Florez, J.C. Genetics of diabetes mellitus and diabetes complications. Nat. Rev. Nephrol. 2020, 16, 377–390. [Google Scholar] [CrossRef]
- Lee, S.; Liu, T.; Zhou, J.; Zhang, Q.; Wong, W.T.; Tse, G. Predictions of diabetes complications and mortality using hba1c variability: A 10-year observational cohort study. Acta Diabetol. 2021, 58, 171–180. [Google Scholar] [CrossRef]
- Monnier, L.; Colette, C.; Owens, D. Glucose variability and diabetes complications: Risk factor or biomarker? Can we disentangle the “Gordian Knot”? Diabetes Metab. 2021, 47, 101225. [Google Scholar] [CrossRef]
- Sargis, R.M.; Simmons, R.A. Environmental neglect: Endocrine disruptors as underappreciated but potentially modifiable diabetes risk factors. Diabetologia 2019, 62, 1811–1822. [Google Scholar] [CrossRef] [Green Version]
- Heindel, J.J.; Blumberg, B.; Cave, M.; Machtinger, R.; Mantovani, A.; Mendez, M.A.; Nadal, A.; Palanza, P.; Panzica, G.; Sargis, R.; et al. Metabolism disrupting chemicals and metabolic disorders. Reprod. Toxicol. 2017, 68, 3–33. [Google Scholar] [CrossRef] [Green Version]
- Lind, P.M.; Lind, L. Endocrine-disrupting chemicals and risk of diabetes: An evidence-based review. Diabetologia 2018, 61, 1495–1502. [Google Scholar] [CrossRef] [Green Version]
- Wei, H.; Sun, J.; Shan, W.; Xiao, W.; Wang, B.; Ma, X.; Hu, W.; Wang, X.; Xia, Y. Environmental chemical exposure dynamics and machine learning-based prediction of diabetes mellitus. Sci. Total Environ. 2022, 806, 150674. [Google Scholar] [CrossRef] [PubMed]
- Lee, H.K.; Park, W.H.; Kang, Y.C.; Kang, S.; Im, S.; Park, S.; Kim, J.T.; Lee, M.; Seok, J.; Oh, M.S.; et al. Serum biomarkers from cell-based assays for AhRL and MIS strongly predicted the future development of diabetes in a large community-based prospective study in Korea. Sci. Rep. 2020, 10, 6339. [Google Scholar] [CrossRef] [PubMed] [Green Version]
- Park, W.H.; Jun, D.W.; Kim, J.T.; Jeong, J.H.; Park, H.; Chang, Y.S.; Park, K.S.; Lee, H.K.; Pak, Y.K. Novel cell-based assay reveals associations of circulating serum AhR-ligands with metabolic syndrome and mitochondrial dysfunction. Biofactors 2013, 39, 494–504. [Google Scholar] [CrossRef] [PubMed]
- Park, W.H.; Kang, S.; Lee, H.K.; Salihovic, S.; Bavel, B.V.; Lind, P.M.; Pak, Y.K.; Lind, L. Relationships between serum-induced AhR bioactivity or mitochondrial inhibition and circulating polychlorinated biphenyls (PCBs). Sci. Rep. 2017, 7, 9383. [Google Scholar] [CrossRef] [PubMed] [Green Version]
- Roh, E.; Kwak, S.H.; Jung, H.S.; Cho, Y.M.; Pak, Y.K.; Park, K.S.; Kim, S.Y.; Lee, H.K. Serum aryl hydrocarbon receptor ligand activity is associated with insulin resistance and resulting type 2 diabetes. Acta Diabetol. 2015, 52, 489–495. [Google Scholar] [CrossRef] [PubMed]
- Park, E.; Chang, H.J.; Nam, H.S. A Bayesian network model for predicting post-stroke outcomes with available risk factors. Front. Neurol. 2018, 9, 699. [Google Scholar] [CrossRef]
- Deberneh, H.M.; Kim, I. Prediction of Type 2 diabetes based on machine learning algorithm. Int. J. Environ. Res. Public Health 2021, 18, 3317. [Google Scholar] [CrossRef]
- Mitchell, T.M. Machine Learning; McGraw Hill: New York, NY, USA, 1997. [Google Scholar]
- Korb, K.B.; Nicholson, A.E. Bayesian Artificial Intelligence, 2nd ed.; CRC Press: Boca Raton, FL, USA, 2011. [Google Scholar]
- Sesen, M.B.; Nicholson, A.E.; Banares-Alcantara, R.; Kadir, T.; Brady, M. Bayesian networks for clinical decision support in lung cancer care. PLoS ONE 2013, 8, e82349. [Google Scholar] [CrossRef] [Green Version]
- Hong, N.; Park, H.; Rhee, Y. Machine Learning Applications in Endocrinology and Metabolism Research: An Overview. Endocrinol. Metab. 2020, 35, 71–84. [Google Scholar] [CrossRef]
- Madden, M.G. On the classification performance of TAN and general Bayesian networks. Knowl. Based Syst. 2009, 22, 489–495. [Google Scholar] [CrossRef] [Green Version]
- Liu, H.; Motoda, H. Feature Selection for Knowledge Discovery and Data Mining; Springer Science & Business Media: New York, NY, USA, 2012. [Google Scholar]
- Flores, M.J.; Nicholson, A.E.; Brunskill, A.; Korb, K.B.; Mascaro, S. Incorporating expert knowledge when learning Bayesian network structure: A medical case study. Artif. Intell. Med. 2011, 53, 181–204. [Google Scholar] [CrossRef] [PubMed]
- Kim, Y.; Han, B.G.; KoGES Group. Cohort Profile: The Korean Genome and Epidemiology Study (KoGES) Consortium. Int. J. Epidemiol. 2017, 46, e20. [Google Scholar] [CrossRef] [PubMed]
- Inza, I.; Larranaga, P.; Etxeberria, R.; Sierra, B. Feature Subset Selection by Bayesian network-based optimization. Artif. Intell. 2000, 123, 157–184. [Google Scholar] [CrossRef] [Green Version]
- Saeys, Y.; Inza, I.; Larranaga, P. A review of feature selection techniques in bioinformatics. Bioinformatics 2007, 23, 2507–2517. [Google Scholar] [CrossRef] [Green Version]
- Kuhn, M.; Kjell, J. Feature Engineering and Selection: A Practical Approach for Predictive Models; CRC Press: Boca Raton, FL, USA, 2019. [Google Scholar]
- Romanski, P.; Kotthoff, L.; Kotthoff, M.L. Package ‘FSelector’. 2013. Available online: http://cran/r-project.org/web/packages/FSelector/index.html (accessed on 4 May 2022).
- Scutari, M. Learning Bayesian Networks with the bnlearn R Package. J. Stat. Softw. 2010, 35, 1–22. [Google Scholar] [CrossRef] [Green Version]
- Available online: https://rosyoh.shinyapps.io/diabetes_bn/ (accessed on 4 May 2022).
- Pearl, J. Probabilistic Reasoning in Intelligent Systems: Networks of Plausible Inference; Morgan Kaufmann Publishers: San Mateo, CA, USA, 1988. [Google Scholar]
- Cover, T.M. Elements of Information Theory; John Wiley & Sons: Hoboken, NJ, USA, 1999. [Google Scholar]
- De Campos, L.M. A scoring function for learning Bayesian networks based on mutual information and conditional independence tests. J. Mach. Learn. Res. 2006, 7, 2149–2187. [Google Scholar]
- Park, S.; Chon, S.; Park, S.Y.; Yun, S.; Baik, S.H.; Woo, J.T.; Rhee, S.Y.; Pak, Y.K.; Kim, S.H. Association of aryl hydrocarbon receptor transactivating activity, a potential biomarker for persistent organic pollutants, with the risk of gestational diabetes mellitus. Sci. Rep. 2021, 11, 3185. [Google Scholar] [CrossRef]
- Pak, Y.K.; Choi, H.S.; Park, W.H.; Im, S.; Lind, P.M.; Lind, L.; Lee, H.K. High Serum-Induced AhRL Is Associated with Prevalent Metabolic Syndrome and Future Impairment of Glucose Tolerance in the Elderly. Endocrinol. Metab. 2021, 36, 436. [Google Scholar] [CrossRef]
- Choi, H.S.; Kim, J.T.; Lee, H.K.; Park, W.H.; Pak, Y.K.; Lee, S.W. Clinical Value of Serum Mitochondria-Inhibiting Substances in Assessing Renal Hazards: A Community-Based Prospective Study in Korea. Endocrinol. Metab. 2021, 36, 1298. [Google Scholar] [CrossRef]
- Duncan, B.B.; Castilhos, C.D.; Bracco, P.A.; Schmidt, M.I.; Kang, S.; Im, S.; Lee, H.K.; Vigo, Á.; Pak, Y.K. Aryl-hydrocarbon receptor binding and the incidence of type 2 diabetes: The Brazilian Longitudinal Study of Adult Health (ELSA-Brasil). Environ. Health 2020, 19, 1–8. [Google Scholar] [CrossRef]
- Weiss, G.M.; McCarthy, K.; Zabar, B. Cost-sensitive learning vs. sampling: Which is best for handling unbalanced classes with unequal error costs? IEEE Int. Conf. Data Min. 2007, 35–41. Available online: https://storm.cis.fordham.edu/gweiss/papers/dmin07-weiss.pdf (accessed on 4 May 2022).
- Flores, M.J.; Gamez, J.A. Impact on Bayesian Networks Classifiers When Learning from Imbalanced Datasets. ICAART 2015, 2, 382–389. [Google Scholar]
- He, H.; Ma, Y. Imbalanced Learning: Foundations, Algorithms, and Applications; Wiley-IEEE Press: New York, NY, USA, 2013. [Google Scholar]
- Heckerman, D. A Tutorial on Learning with Bayesian Networks. Innovations in Bayesian Networks: Theory and Applications; Holmes, D.E., Jain, L.C., Eds.; Springer: Berlin/Heidelberg, Germany, 2008; Volume 156, pp. 33–82. [Google Scholar] [CrossRef]
- Spirtes, P.; Glymour, C.N.; Scheines, R.; Heckerman, D. Causation, Prediction, and Search; MIT Press: Cambridge, MA, USA, 2000. [Google Scholar]
- Scutari, M.; Denis, J.B. Bayesian Networks: With Examples in R; Chapman and Hall/CRC: Boca Raton, FL, USA, 2021. [Google Scholar]






| Variable | Description | Class |
|---|---|---|
| fGTOL | Glucose tolerance at 4-year follow-up | NGT, IGT, DM |
| cGTOL | Glucose tolerance at the time of data collection | NGT, IGT, DM |
| Sex | Sex | Male, Female |
| Drink | Alcohol intake | Non-drinker, Ex-drinker, Current drinker |
| Smoke | Smoking status | Non-smoker, Ex-smoker, Current smoker |
| Exercise | Exercise | No, Yes |
| DMFMY | DM family history | No, Yes |
| Age | Age (years) | <50; 50–60; 60–70; 70 |
| Waist | Waist circumference (cm) | <85; 85 (female), <90; 90 (male) |
| BMI | Body mass index (kg = m2) | <23; 23–25; 25–30; 30–35; 35 |
| sysBP | Systolic blood pressure (mm Hg) | <120; 120–130; 130–140; 140 |
| HbA1c | Glycated haemoglobin A1c | <5.5; 5.5–6.6; 6.6 |
| HOMA-β | Homeostasis model assessment of β-cell function | <76; 76–114; 114 |
| HOMA-IR | Homeostasis model assessment for insulin resistance | <1.6; 1.6–2.5; 2.5 |
| TCHL | Total cholesterol (mg/dL) | <200; 200–230; 230 |
| HDL | High-density lipoprotein cholesterol (mg/dL) | <40; 40–60; 60 |
| TG | Triglycerides (mg/dL) | <150; 150–200; 200 |
| ALT | Alanine aminotransferase (IU/L) | <40; 40 |
| AST | Aspartate aminotransferase (IU/L) | <40; 40 |
| hsCRP | High-sensitivity C-reactive protein (mg/L) | <1; 1–3; 3 |
| AhRL | Aryl hydrocarbon receptor ligands (pM, TCDDeq) | <2.7; 2.7 |
| MIS-ATP | Mitochondria-inhabiting substances determined by ATP contents (%) | <88.07; 88.07 |
| MIS-ROS | Mitochondria-inhabiting substances determined by ROS levels (%) | <120; 120 |
| fGTOL | |||||||
|---|---|---|---|---|---|---|---|
| Total (N = 1159) | NGT (N = 907) | IGT (N = 183) | DM (N = 69) | Assoc p-Value | Post Hoc (Tukey) | ||
| Variable | Mean ± SD or N (%) | ||||||
| Age | 59.74 ± 8.34 | 59.0 ± 8.32 | 62.54 ± 7.98 | 61.6 ± 8.43 | <0.001 | a,b | |
| Sex | <0.001 | ||||||
| Male | 499 (43.1%) | 401 (55.8%) | 58 (31.7%) | 40 (58.0%) | |||
| Female | 660 (56.9%) | 506 (44.2%) | 125 (68.3%) | 29 (42.0%) | |||
| BMI | 24.13 ± 3.13 | 23.90 ± 3.05 | 25.08 ± 3.30 | 24.58 ± 3.19 | <0.001 | a | |
| Waist | 87.57 ± 8.50 | 86.80 ± 8.35 | 90.08 ± 8.26 | 91.09 ± 8.92 | <0.001 | a,b | |
| sysBP | 119.77 ± 15.74 | 118.34 ± 15.13 | 123.90 ± 16.20 | 127.72 ± 18.04 | <0.001 | a,b | |
| HbA1c | 5.50 ± 0.39 | 5.44 ± 0.36 | 5.62 ± 0.41 | 5.89 ± 0.42 | <0.001 | a,b,c | |
| HOMA-β | 112.86 ± 67.21 | 113.88 ± 69.07 | 116.88 ± 62.10 | 88.77 ± 49.00 | 0.007 | b,c | |
| HOMA-IR | 2.12 ± 1.30 | 2.03 ± 1.27 | 2.50 ± 1.48 | 2.20 ± 0.95 | <0.001 | a | |
| TCHL | 191.75 ± 32.91 | 190.65 ± 31.97 | 195.57 ± 34.79 | 195.99 ± 38.91 | 0.099 | ||
| HDL | 46.10 ± 10.68 | 46.72 ± 10.74 | 44.38 ± 10.61 | 42.39 ± 8.73 | <0.001 | a,b | |
| TG | 132.15 ± 80.21 | 124.82 ± 69.82 | 150.48 ± 90.67 | 179.80 ± 136.70 | <0.001 | a,b,c | |
| ALT | 22.01 ± 15.40 | 21.27 ± 12.97 | 23.08 ± 21.10 | 28.84 ± 23.44 | <0.001 | b,c | |
| AST | 24.64 ± 10.81 | 24.28 ± 88.99 | 24.61 ± 10.36 | 29.38 ± 24.51 | <0.001 | b,c | |
| hsCRP | 1.61 ± 5.08 | 1.63 ± 5.60 | 1.44 ± 2.29 | 3.55 ± 2.71 | 0.863 | ||
| DMFMY | 0.332 | ||||||
| No | 1052 (90.8%) | 827 (91.2%) | 161(88.0%) | 64 (92.8%) | |||
| Yes | 107 (9.2%) | 80 (8.8%) | 22 (12.0%) | 5 (7.2%) | |||
| Smoke | <0.001 | ||||||
| Non- | 777 (67.1%) | 614 (67.7%) | 133 (72.7%) | 30 (33.3%) | |||
| Ex- | 194 (16.7%) | 146 (16.1%) | 32 (17.5%) | 16 (23.2%) | |||
| Current | 188 (16.2%) | 147 (16.2%) | 18 (9.8%) | 23 (43.5%) | |||
| Drink | 0.041 | ||||||
| Non- | 587 (50.6%) | 454 (50.0%) | 106 (57.9%) | 27 (39.1%) | |||
| Ex- | 61 (5.3%) | 45 (5.0%) | 9 (4.9%) | 7 (10.1%) | |||
| Current | 511 (44.1%) | 408 (45.0%) | 68 (37.2%) | 35 (50.7%) | |||
| Exercise | 0.216 | ||||||
| No | 788 (68.0%) | 623 (68.7%) | 115 (62.8%) | 50 (72.5%) | |||
| Yes | 371 (32.0%) | 284 (31.3%) | 68 (37.2%) | 19 (27.5%) | |||
| cGTOL | <0.001 | ||||||
| NGT | 917 (79.1%) | 783 (86.3%) | 109 (59.6%) | 25 (36.2%) | |||
| IGT | 242 (20.9%) | 124 (13.7%) | 74 (40.4%) | 44 (63.8%) | |||
| AhRL (pM) | 2.03 ± 1.24 | 1.73 ± 1.02 | 2.96 ± 1.27 | 3.55 ± 1.42 | <0.001 | a,b,c | |
| MIS-ATP (%) | 91.99 ± 12.06 | 93.79 ± 11.94 | 86.53 ± 10.07 | 82.76 ± 9.66 | <0.001 | a,b | |
| MIS-ROS (%) | 112.31 ± 11.91 | 111.12 ± 10.69 | 116.2 ± 14.17 | 117.46 ± 16.35 | <0.001 | a,b | |
| All variables | Classifier | ||
|---|---|---|---|
| TAN | GBN | ||
| All variables | Accuracy (%) | 77.68 ± 2.60 | 76.35 ± 1.81 |
| AUC | 0.7459 ± 0.0570 | 0.7868 ± 0.0528 | |
| Filter | Accuracy (%) | 78.02 ± 2.64 | 77.77 ± 2.61 |
| AUC | 0.7740 ± 0.0505 | 0.7618 ± 0.0513 | |
| Wrapper | Accuracy (%) | 79.43 ± 2.94 | 78.23 ± 0.42 |
| AUC | 0.8120 ± 0.0436 | 0.7886 ± 0.0384 | |
Publisher’s Note: MDPI stays neutral with regard to jurisdictional claims in published maps and institutional affiliations. |
© 2022 by the authors. Licensee MDPI, Basel, Switzerland. This article is an open access article distributed under the terms and conditions of the Creative Commons Attribution (CC BY) license (https://creativecommons.org/licenses/by/4.0/).
Share and Cite
Oh, R.; Lee, H.K.; Pak, Y.K.; Oh, M.-S. An Interactive Online App for Predicting Diabetes via Machine Learning from Environment-Polluting Chemical Exposure Data. Int. J. Environ. Res. Public Health 2022, 19, 5800. https://doi.org/10.3390/ijerph19105800
Oh R, Lee HK, Pak YK, Oh M-S. An Interactive Online App for Predicting Diabetes via Machine Learning from Environment-Polluting Chemical Exposure Data. International Journal of Environmental Research and Public Health. 2022; 19(10):5800. https://doi.org/10.3390/ijerph19105800
Chicago/Turabian StyleOh, Rosy, Hong Kyu Lee, Youngmi Kim Pak, and Man-Suk Oh. 2022. "An Interactive Online App for Predicting Diabetes via Machine Learning from Environment-Polluting Chemical Exposure Data" International Journal of Environmental Research and Public Health 19, no. 10: 5800. https://doi.org/10.3390/ijerph19105800
APA StyleOh, R., Lee, H. K., Pak, Y. K., & Oh, M.-S. (2022). An Interactive Online App for Predicting Diabetes via Machine Learning from Environment-Polluting Chemical Exposure Data. International Journal of Environmental Research and Public Health, 19(10), 5800. https://doi.org/10.3390/ijerph19105800

