Landscape Pattern Evolution Processes of Wetlands and Their Driving Factors in the Xiong’an New Area of China
Abstract
1. Introduction
2. Materials and Methods
2.1. Study Area
2.2. Data Sources and Processing
2.3. Research Methods
2.3.1. Remote Sensing Image Interpretation and Landscape Classification
2.3.2. Landscape Conversion Matrix
2.3.3. Landscape Pattern Index
2.3.4. Principal Component Analysis
3. Results and Discussion
3.1. Analysis of the Scale and Structural Changes
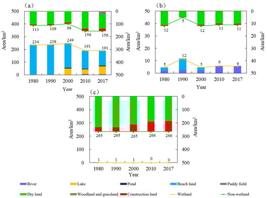
3.1.1. Landscape Scale Changes
3.1.2. Landscape Structural Change
3.2. Analysis of the Exponential Change in the Landscape Pattern
3.2.1. Spatial Granularity Effect Analysis
3.2.2. Analysis of Class Scale Wetland Landscape Pattern
3.2.3. Landscape-Scale Wetland Landscape Pattern Analysis
3.3. Driving Factor Analysis
3.3.1. Precipitation and Temperature
3.3.2. Hydrological Processes
3.3.3. Socioeconomic Factors
3.3.4. Principal Component Analysis
3.4. Uncertainty Analysis
4. Conclusions
Supplementary Materials
Author Contributions
Funding
Institutional Review Board Statement
Informed Consent Statement
Data Availability Statement
Conflicts of Interest
References
- Keryn, B.G.; Kirwan, M.L.; Wolanski, E.; Barbier, E.B.; Silliman, B.R. The present and future role of coastal wetland vegetation in protecting shorelines: Answering recent challenges to the paradigm. Clim. Chang. 2011, 106, 7–29. [Google Scholar] [CrossRef]
- Sun, N.; Zhu, W.N.; Cheng, Q. GF-1 and Landsat observed a 40-year wetland spatiotemporal variation and its coupled environmental factors in Yangtze River estuary. Estuar. Coast. Shelf Sci. 2018, 207, 30–39. [Google Scholar] [CrossRef]
- Costanza, R.; d’Arge, R.; de Groot, R.; Farber, S.; Grasso, M.; Hannon, B.; Limburg, K.; Naeem, S.; O’Neill, R.V.; Paruelo, J.; et al. The value of the world’s ecosystem services and natural capital. Ecol. Econ. 1998, 25, 3–15. [Google Scholar] [CrossRef]
- Zorrilla-Miras, P.; Palomo, I.; Gómez-Baggethun, E.; Martín-López, B.; Lomas, P.L.; Montes, C. Effects of land-use change on wetland ecosystem services: A case study in the Doñana marshes (SW Spain). Landsc. Urban Plan. 2014, 122, 160–174. [Google Scholar] [CrossRef]
- Feng, Y.G.; Liu, Y.; Tong, X.H. Spatiotemporal variation of landscape patterns and their spatial determinants in Shanghai, China. Ecol. Indic. 2018, 87, 22–32. [Google Scholar] [CrossRef]
- O’Connell, M.J. Detecting, measuring and reversing changes to wetlands. Wetl. Ecol. Manag. 2003, 11, 397–401. [Google Scholar] [CrossRef]
- Liu, H.Y.; Lv, X.G.; Zhang, S.K. Progress on the study of process of wetland landscape and cumulative environmental effeces. Prog. Geogr. 2003, 22, 60–68. (In Chinese) [Google Scholar]
- Kettlewell, C.I.; Bouchard, V.; Porej, D.; Micacchion, M.; Mack, J.J.; White, D.; Fay, L. An assessment of wetland impacts and compensatory mitigation in the Cuyahoga River Watershed, Ohio, USA. Wetlands 2008, 28, 57–67. [Google Scholar] [CrossRef]
- Jiang, J.G.; Li, A.N.; Deng, W.; Bian, J.H. Construction of a new classifier integrated multiple sources and multi-temporal remote sensing data for wetlands. Procedia Environ. Sci. 2010, 2, 302–314. [Google Scholar] [CrossRef][Green Version]
- Lin, W.P.; Cen, J.W.; Xu, D.; Du, S.Q.; Gao, J. Wetland landscape pattern changes over a period of rapid development (1985–2015) in the ZhouShan Islands of Zhejiang province, China. Estuar. Coast. Shelf Sci. 2018, 213, 148–159. [Google Scholar] [CrossRef]
- Li, A.N.; Deng, W.; Kong, B.; Lu, X.N.; Feng, W.L.; Lei, G.B.; Bai, J.H. A Study on Wetland Landscape Pattern and Its Change Process in Huang-Huai-Hai (3H) Area, China. J. Environ. Inform. 2013, 21, 23–34. [Google Scholar] [CrossRef]
- Zhang, Y.R.; Gong, Z.N.; Gong, H.L.; Zhao, W.J. Investigating the dynamics of wetland landscape pattern in Beijing from 1984 to 2008. J. Geogr. Sci. 2011, 21, 845–858. [Google Scholar] [CrossRef]
- Dong, L.Q.; Yang, W.; Zhang, K.; Zhen, S.; Cheng, X.P.; Wu, L.H. Study of marsh wetland landscape pattern evolution on the Zoigê Plateau due to natural/human dual-effects. PeerJ 2020, 8, e9904. [Google Scholar] [CrossRef] [PubMed]
- Yuan, H.; Zhang, R.Q. Changes in wetland landscape patterns on Yinchuan Plain, China. Int. J. Sustain. Dev. World Ecol. 2010, 17, 236–243. [Google Scholar] [CrossRef]
- Cong, P.F.; Chen, K.X.; Qu, L.M.; Han, J.B. Dynamic Changes in the Wetland Landscape Pattern of the Yellow River Delta from 1976 to 2016 Based on Satellite Data. Chin. Geogr. Sci. 2019, 29, 372–381. [Google Scholar] [CrossRef]
- Bai, J.H.; Ouyang, H.; Yang, Z.F. Change in wetland landscape patterns: A review. Prog. Geogr. 2005, 24, 36–45. (In Chinese) [Google Scholar]
- Thibault, P.A.; Zipperer, W.C. Temporal changes of wetlands within an urbanizing agricultural landscape. Landsc. Urban Plan. 1994, 28, 245–251. [Google Scholar] [CrossRef]
- Li, X.Z.; Jongman, R.H.G.; Hu, Y.M.; Bu, R.C.; Harms, B.; Bregt, A.K.; He, H.S. Relationship between landscape structure metrics and wetland nutrient retention function: A case study of Liaohe Delta, China. Ecol. Indic. 2005, 5, 339–349. [Google Scholar] [CrossRef]
- Xu, K. Changes of urban wetlands in Wuhan, China, from 1987 to 2005. Prog. Phys. Geogr. 2010, 34, 207–220. [Google Scholar]
- Xiao, C.; Jie, X.F.; Wu, T.; Jiang, G.J.; Bian, H.J.; Xu, W. Dynamic changes of landscape pattern and hemero by in Ximen Island wetland, Zhejiang Province, China. Chin. J. Appl. Ecol. 2014, 5, 3255–3262. [Google Scholar]
- Bai, J.H.; Lu, Q.Q.; Wang, J.J.; Zhao, Q.Q.; OuYang, H.; Deng, W.; Li, A.N. Landscape pattern evolution processes of alpine wetlands and their driving Factors in the Zoigê Plateau of China. J. Mt. Sci. 2013, 10, 54–67. [Google Scholar] [CrossRef]
- Bürgi, M.; Hersperger, A.M.; Schneeberger, N. Driving forces of landscape change—current and new directions. Landsc. Ecol. 2004, 19, 857–868. [Google Scholar] [CrossRef]
- Jiang, B.; Xiao, Y.; Ma, W.Y.; OuYang, Z.Y. Spatiotemporal characteristics of the land cover change in Baiyangdian Lake from 1974 to 2011. Wetl. Sci. Manag. 2016, 12, 38–42. (In Chinese) [Google Scholar]
- Wang, J.; Lu, S.L.; Wu, B.F.; Yan, N.N.; Pei, L. Land cover change in Baiyangdian wetland. J. Geo-Inf. Sci. 2010, 12, 292–300. (In Chinese) [Google Scholar] [CrossRef]
- Zhang, M.; Gong, Z.N.; Zhao, W.J.; Duo, A. Landscape pattern change and the driving forces in Baiyangdian wetland from 1984 to 2014. Acta Ecol. Sin. 2016, 36, 4780–4791. (In Chinese) [Google Scholar]
- Bai, J.H.; Fang, J.S.; Hang, L.B.; Deng, W.; Li, A.N.; Kong, B. Landscape pattern evolution and its driving factors of Baiyangdian lake-marsh wetland system. Geogr. Res. 2013, 32, 1634–1644. (In Chinese) [Google Scholar]
- Yang, X.; Niu, Z.G. Spatial-temporal variation characteristics of Baiyangdian from 1990 to 2017. Wetl. Sci. 2019, 17, 436–444. (In Chinese) [Google Scholar]
- Zhuang, C.W.; OuYang, Z.Y.; Xu, W.H.; Bai, Y. Landscape dynamics of Baiyangdian Lake from 1974 to 2007. Acta Ecol. Sin. 2011, 31, 839–848. (In Chinese) [Google Scholar]
- Zhu, J.F.; Zhou, Y.; Wang, S.X.; Wang, L.T.; Liu, W.L.; Li, H.T.; Mei, J.J. Analysis of changes of Baiyangdian wetland from 1975 to 2018 based on remote sensing. J. Remote Sens. 2019, 23, 971–986. (In Chinese) [Google Scholar]
- Xu, W.H.; OuYang, Z.Y.; Van, D.I.; Zheng, H.; Wang, X.K.; Miao, H.; Cao, Q.H. Reed land change and its relationship to water level in Baiyangdian Lake since 1987. J. Soil Water Conserv. 2005, 19, 181–184, 189. (In Chinese) [Google Scholar]
- Li, J.G.; Li, G.B.; Cui, H.M.; Wang, D.W. Degradation of reed wetland and protection in Baiyangdian. South-to-North Water Transf. Water Sci. Technol. 2004, 2, 35–38. (In Chinese) [Google Scholar]
- Xia, L.L.; Liu, R.Z.; Zao, Y.W. Correlation analysis of landscape pattern and water quality in Baiyangdian watershed. Procedia Environ. Sci. 2012, 13, 2188–2196. [Google Scholar] [CrossRef]
- Peng, J.; Li, H.L.; Liu, Y.X.; Hu, Y.N.; Yang, Y. Identification and optimization of ecological security pattern in Xiong’an New Area. Acta Geogr. Sin. 2018, 73, 701–710. (In Chinese) [Google Scholar]
- Yin, J.M.; Cheng, W.Q.; Yan, L.; Chen, X.F. Change of water resources in the Baiyangdian Wetland. Water Resour. Prot. 2009, 25, 52–54, 58. (In Chinese) [Google Scholar]
- Dong, W.J. Research on Baiyangdian wetland supplementing water based on the ecological water demand and ecological analysis of water rights. Nanjing Univ. Inf. Sci. Technol. 2011. (In Chinese) [Google Scholar] [CrossRef]
- Yuan, Y.; Yan, D.H.; Wang, H.; Wang, Q. Atributive analysis on evolution of inflow to Baiyangdian Wetland. Water Resour. Hydropower Eng. 2013, 44, 1–4, 23. (In Chinese) [Google Scholar]
- Yang, W.; Yang, Z.F. Effects of long-term environmental flow releases on the restoration and preservation of Baiyangdian Lake, a regulated Chinese freshwater lake. Hydrobiologia 2014, 730, 79–91. [Google Scholar] [CrossRef]
- Ren, W.; Xu, G.B. Analysis on the natural flow into Baiyangdian Lake based on the GA-grey wave forecasting model. South-to-North Water Transf. Water Sci. Technol. 2017, 15, 9–14, 79. (In Chinese) [Google Scholar]
- Cheng, W.Q.; Bo, Q.Y.; Sun, T. Baiyangdian environmental and ecological changes and impact on the construction of Xiong’an New Area. For. Ecol. Sci. 2018, 33, 113–120. (In Chinese) [Google Scholar]
- Yang, W.; Sun, L.X.; Wang, X.; Yan, S.J.; Zhao, Y.W. Changes in ecosystem services in Baiyangdian Lake driven by environmental flow releases. J. Agro-Environ. Sci. 2020, 39, 1077–1084. (In Chinese) [Google Scholar]
- Mc Garigal, K.; Marks, B.J. FRAGSTATS: Spatial Analysis Program for Quantifying Landscape Structure; USDA Forest Service General Technical Report PNW-GTR-351; USDA Forest Service: Boise, ID, USA, 1995. [Google Scholar]
- Wu, J.G. Landscape Ecology: Pattern, Process, Scale and Hierarchy, 2nd ed.; Higher Education Press: Beijing, China, 2007. (In Chinese) [Google Scholar]
- Yi, Y.J.; Lin, C.Q.; Tang, C.H. Hydrology, environment and ecological evolution of l Baiyangdian Lake since 1960s. J. Lake Sci. 2020, 32, 1333–1347. (In Chinese) [Google Scholar]
- Zhao, W.W.; Fu, B.J.; Chen, L.D. The effects of grain change on landscape indices. Quat. Sci. 2003, 3, 326–333. (In Chinese) [Google Scholar]
- Liu, S.; Li, Q.; Guo, F.F. Review of quantitative analysis methods of landscape pattern and application progress. J. Northeast. Agric. Univ. 2009, 40, 114–119. (In Chinese) [Google Scholar]
- Li, S.N.; Wang, G.X.; Deng, W. Research advances in wetland landscape pattern and hydrological process. Chin. J. Ecol. 2008, 27, 1012–1020. (In Chinese) [Google Scholar]













| Landscape Type | Major Type | Minor Type |
|---|---|---|
| Wetland | Water body | River |
| Lake | ||
| Pond | ||
| Beach land | ||
| Non-wetland | Arable land | Paddy field |
| Dry land | ||
| Woodland | Other woodland | |
| Grassland | High coverage grassland | |
| Low coverage grassland | ||
| Construction land | Land for urban residents | |
| Land for rural residents | ||
| Infrastructure land |
| Index | Expressions | Unit | Applied Scale | Ecological Meaning |
|---|---|---|---|---|
| largest patch index (LPI) | % | Patch class/landscape | Describe the dominant landscape | |
| mean patch area (MPS) | hm2 | Patch class | Describing the degree of fragmentation | |
| area weighted mean fractal dimension (FRAC_AM) | None | Patch class | Describing the degree of complexity of the patch shapes | |
| patch cohesion index (COHESION) | % | Patch class | Describe the connectivity of plaques | |
| number of patches (NP) | NP = N | Pcs | landscape | Describe the total number of landscapes |
| patch density (PD) | PD = N/A | Pcs/hm2 | landscape | Describe the degree of landscape fragmentation |
| perimeter area fractal dimension (PAFRAC) | None | landscape | Describe the complexity of landscape shape | |
| aggregation index (AI) | % | landscape | Describe the degree of landscape aggregation | |
| Shannon’s diversity index (SHDI) | None | landscape | Describing landscape diversity |
Publisher’s Note: MDPI stays neutral with regard to jurisdictional claims in published maps and institutional affiliations. |
© 2021 by the authors. Licensee MDPI, Basel, Switzerland. This article is an open access article distributed under the terms and conditions of the Creative Commons Attribution (CC BY) license (https://creativecommons.org/licenses/by/4.0/).
Share and Cite
Yang, M.; Gong, J.; Zhao, Y.; Wang, H.; Zhao, C.; Yang, Q.; Yin, Y.; Wang, Y.; Tian, B. Landscape Pattern Evolution Processes of Wetlands and Their Driving Factors in the Xiong’an New Area of China. Int. J. Environ. Res. Public Health 2021, 18, 4403. https://doi.org/10.3390/ijerph18094403
Yang M, Gong J, Zhao Y, Wang H, Zhao C, Yang Q, Yin Y, Wang Y, Tian B. Landscape Pattern Evolution Processes of Wetlands and Their Driving Factors in the Xiong’an New Area of China. International Journal of Environmental Research and Public Health. 2021; 18(9):4403. https://doi.org/10.3390/ijerph18094403
Chicago/Turabian StyleYang, Miao, Jiaguo Gong, Yong Zhao, Hao Wang, Cuiping Zhao, Qin Yang, Yingshen Yin, Ying Wang, and Bo Tian. 2021. "Landscape Pattern Evolution Processes of Wetlands and Their Driving Factors in the Xiong’an New Area of China" International Journal of Environmental Research and Public Health 18, no. 9: 4403. https://doi.org/10.3390/ijerph18094403
APA StyleYang, M., Gong, J., Zhao, Y., Wang, H., Zhao, C., Yang, Q., Yin, Y., Wang, Y., & Tian, B. (2021). Landscape Pattern Evolution Processes of Wetlands and Their Driving Factors in the Xiong’an New Area of China. International Journal of Environmental Research and Public Health, 18(9), 4403. https://doi.org/10.3390/ijerph18094403

