The Impact of Individual Behaviors and Governmental Guidance Measures on Pandemic-Triggered Public Sentiment Based on System Dynamics and Cross-Validation
Abstract
1. Introduction
2. Materials and Methods
2.1. Cross-Validation Modeling Framework for Public Sentiment Based on System Dynamics
2.1.1. Real Scenario System Layer
2.1.2. Cross-Validation Layer
2.1.3. Simulation Decision-Making System Layer
2.2. Methodology
2.2.1. Decision Problem, Materials and Hypotheses
2.2.2. SD Modelling
- (1)
- The sharefactor values derived from different variables need to be verified against each other, and only if the trends are consistent can they be adopted;
- (2)
- Othervar variables need to contain the main factors that can influence the dependent variable except sharefactor, i.e., othervar and sharefactor variables can explain the main variance of the dependent variable;
- (3)
- Select the time period with less interference from external factors for reverse regression method, which facilitates the correct finding of sharefactor values;
- (4)
- Assuming the value range of the sharefactor in advance, it is generally 0 to 10, −1 to 1 or 0 to 100, depending on requirements
2.2.3. Cross-Validation
2.2.4. Simulating and Decision Analysis
2.3. Empirical Research
2.3.1. Data Source
2.3.2. SD Modelling
- (1)
- Public sentiment events are the first to erupt on the Internet.
- (2)
- Different public sentiment events are independent of each other.
- (3)
- When a negative event is revealed and not properly handled, the public will develop negative sentiment.
- (4)
- Positive public sentiment will arise after the government actively and properly handles negative events.
2.3.3. Cross-Validation
2.3.4. Initial Values and Dynamo Equations
3. Results
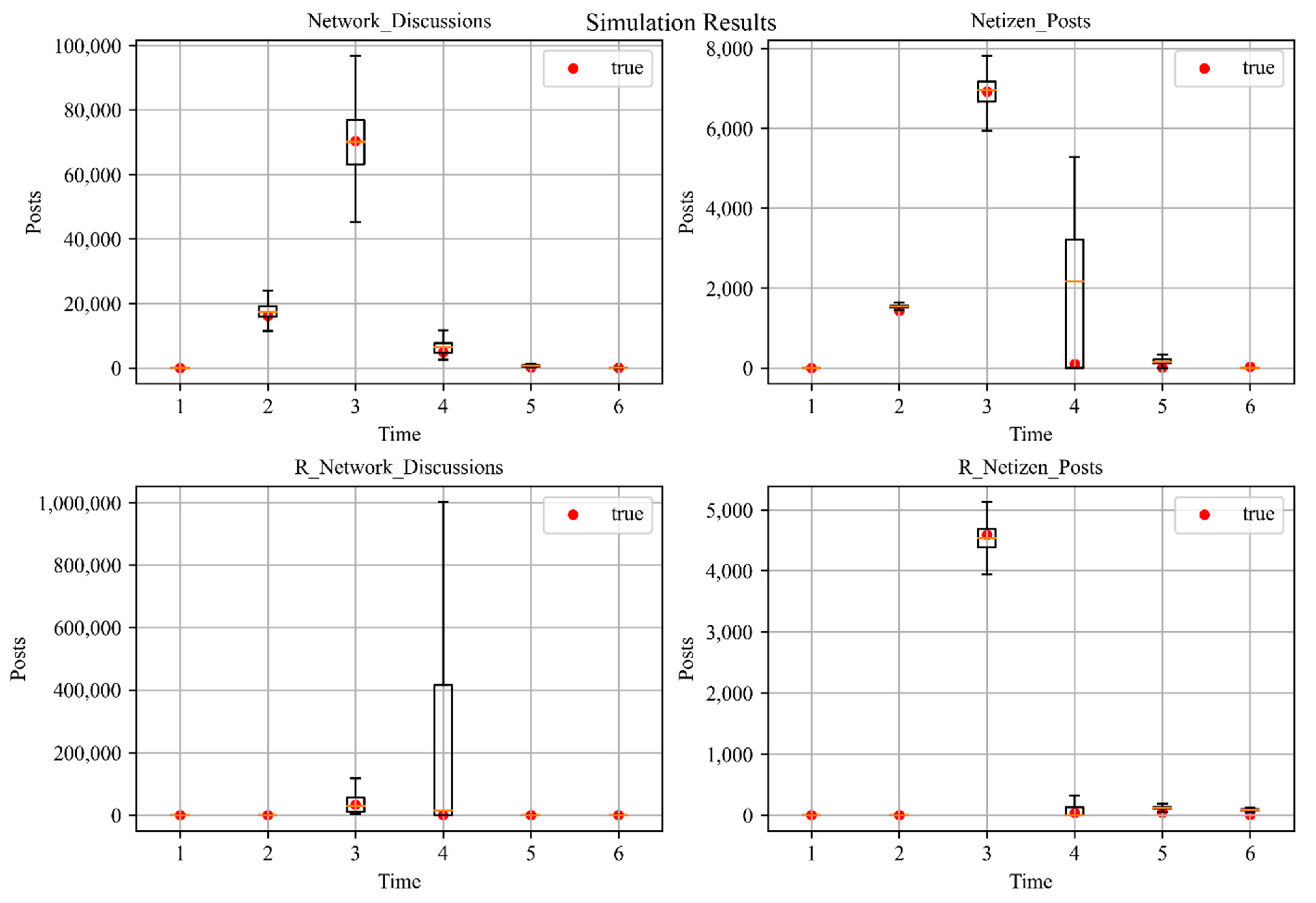
3.1. Simulating Results
3.2. Decision Analysis
4. Discussion
5. Conclusions
Author Contributions
Funding
Informed Consent Statement
Data Availability Statement
Acknowledgments
Conflicts of Interest
Appendix A
| Algorithm A1. Reverse Regression |
| Input: Dependent variables data y, other independent variables data othervar, the number of iterations NI, initial share factor data sharefactor, the number of iterations NRI, Maximum and minimum values assumed for sharefactor variable mins and maxs. LD = The number of dependent variables |
| foriin 0 to LD: for i2 in 0 to NI: for i3 in 0 to NRI: n = Generate a random number from 0 to the length of sharefactor data for i4 in mins to maxs: Convert the nth value of sharefactor to i4. Calculate the goodness-of-fit of the regression of othervar and sharefactor on the y (Equation (5)). Obtain the sharefactor with the highest r2. Obtain NI sharefactor with the highest r2. Obtain the LD * NI matrix of sharefactor with the highest r2. SFMATRIX = the LD * NI matrix of sharefactor with the highest r2 for i1 in 0 to LD: for i2 in the i1th column of SFMATRIX: for i3 in numbers from 0 to LD except i1: for i4 in the i3th column of SFMATRIX: Calculate the r2 of i2 and i4 Obtain i4 with highest r2 Obtain LD—1 sharefactor that are most similar to the trend of i2 in all columns except for column i1. Each sharefactor, in the i1th column of SFMATRIX, gets LD—1 sharefactor that are most similar to it Each sharefactor, in SFMATRIX, gets LD—1 sharefactor that are most similar to it SIMLARM = LD * NI matrix of sharefactor with similar trends among different dependent variables Choose the most similar trend in SIMLARM. |
| Output:Sharefactor with the most similar trend among different dependent variables |
| Algorithm A2. Cross-Validation in the Selection of Linear Models |
| Input: Dependent variables data y and independent variables data id, deterministic variables DV and uncertain variables UV, the lowest goodness-of-fit (GOF) that can do cross-validation G. IN = None while GOF < G: RV = UV except IN DV = add IN to DV for i in RV: Linear regression of the DV and i on the dependent variable. Calculate the goodness-of-fit (GOF) Select the i with the highest GOF. IN = i UV = UV except DV for i in 0 to the number of UV: CV = Combine i variables from UV for i2 in CV: add i2 to DV. Separate data by 8:2 as training and validation sets. Train set train model (liner regression). Calculate the validation set error (GOF) using the trained model. Select the model with the highest GOF in the validation set. Select the model with the highest GOF in the validation set. |
| Output: The best model with the highest GOF in the validation set. |
| Name | Abbreviation | Equations | Method | Initial Value |
|---|---|---|---|---|
| Time | T | T = [1,2,3,4,5,6] | - | 0 |
| Explanation: Iteration time of the model | ||||
| R Discussions | RD | ODE | 0 | |
| Explanation: Level of network discussion after the government response | ||||
| P Discussions | PD | ODE | 0 | |
| Explanation: Level of network discussion before the government response | ||||
| R Government Speed | RGS | Constants: 2 | - | - |
| Explanation: Speed of government response, measured in days | ||||
| Epidemic Factor | EF | EF = 0.4 * (NC − 0)/(3887 − 0) + 0.6 * (NEC − 0)/(58,097 − 0) | Min-Max scaling | 0 |
| Explanation: Weighted sum of the number of new and existing infections | ||||
| Now Confirm | NC | Constants: 5691 | - | - |
| Explanation: Number of new infections | ||||
| New Confirm | NEC | Constants: 2644 | - | - |
| Explanation: Number of current infections | ||||
| Sharefactor | SF | Constants: 3.75 | Reverse Regression | - |
| Explanation: Factors that represent constants during the event, such as the nature of the event itself, the education level of netizens, etc. | ||||
| Netizen Posts | NP | NP = POISSON (1874.116 * 1 + 4554.442 * GFOC * T + 0.27 * GF * CMR − 364.268 * GFOC * RGR − 714.778 * T + 86.904 * SF − 0.097 * GF * RCMF + 54.022 * T ** 2 − 4298.99 * GFOC − 11.608 * GFOC * CMR + 1666.766 * GFOC * RCMR − 108.324 * GFOC * RCMF − 1.767 * GFOC * RNP − 5.154 * GR + 0.501 * GR ** 2 − 2.272 * BMP − 17.548 * GFOC * GF − 0.034 * RNP * RCMR) | Liner Regression & poisson | 0 |
| Explanation: Number of original postings by netizen | ||||
| Commercial Media Posts | CMP | CMP = POISSON (6.022 * 1 + 0.023 * NP * GFOC + 3.065 * SF + 21.104 * GFOC − 29.066 * T + 2.183 * T ** 2 + 15.346 * EF) | Liner Regression & poisson | 0 |
| Explanation: Number of posts in commercial media | ||||
| Commercial Media Reposts | CMR | CMR = POISSON (78.17 * 1 − 0.034 * RCMF * RCMR − 76.7 * T + 9.187 * SF + 0.324 * CMF * GFOC − 0.177 * CMF + 17.044 * EF − 2.539 * GFOC * GP + 0.001 * GF ** 2 − 0.032 * NP − 0.0 * NP ** 2 + 0.035 * GF * RCMF − 0.002 * GF * RNP − 0.017 * NP * RCMF + 0.004 * CMF * RNP + 0.154 * RNP + 0.032 * NP * T − 0.061 * NP * RCMR + 0.001 * NP * RGR + 0.001 * CMF * NP − 0.011 * CMF ** 2 + 5.016 * T ** 2 + 0.293 * CMF * RCMR + 0.003 * GP * RNP − 0.132 * GP * RCMF + 1.939 * GFOC * RGR − 41.531 * GFOC − 3.366 * GR + 1.197 * BMP − 0.001 * GF * BMP − 0.31 * BMP * T + 17.044 * EF) | Liner Regression & poisson | 0 |
| Explanation: Number of commercial media posts retweeted | ||||
| Commercial Media Followers | CMF | CMF = 65.935 * 1 − 20.438 * T + 0.416 * SF + 1.441 * T ** 2 + 0.477 * GFOC ** 2 + 0.021 * RCMR * T + 0.0 * GF ** 2 + 0.0 * RCMP * NP + 0.021 * GR * T + 0.024 * RCMP * T − 0.0 * RNP * RCMP − 0.288 * GP * T + 0.097 * GFOC * BMP + 0.023 * NP * T − 0.034 * NP − 0.0 * NP * BMP + 0.037 * GP*RCMR + 0.002 * GFOC * NP − 0.781 * RCMF − 0.037 * GFOC * RCMP + 0.8 * GFOC * T + 0.133 * RCMF * T + 0.002 * RCMF * NP − 0.656 * GFOC * GP + 1.863 * GFOC * RCMR + 0.0 * GP * RNP − 0.029 * GR * RCMR + 0.783 * EF | Liner Regression | 0 |
| Explanation: The average number of followers of commercial media involved in the event discussion, indicating the influence of commercial media | ||||
| Commercial Media Discussions | CMD | CMD = CMP * CMR | - | 0 |
| Explanation: The sum of netizens discussions within commercial media | ||||
| Government Posts | GP | GP = POISSON (20.262 * 1 − 1.483 * GFOC ** 2 − 1.384 * SF − 0.0 * BMP ** 2 + 13.428 * GFOC + 0.0 * NP * BMP + 0.215 * GFOC * BMP − 0.344 * BMP − 0.042 * NP * GFOC + 0.254 * BMP * T + −4.084 * EF) | Liner Regression & poisson | 0 |
| Explanation: Number of government media postings | ||||
| Government Reposts | GR | GR = POISSON (3.462 * 1 + 0.0 * BMP ** 2 − 1.232 * SF + 2.917 * GFOC ** 2 − 0.038 * GF * GFOC + 0.0 * NP ** 2 + 0.001 * GF * RCMF + 0.0 * GF * NP + 0.003 * BMP * RCMF − 0.028 * BMP * T + 0.317 * EF) | Liner Regression & poisson | 0 |
| Explanation: Number of government media posts retweeted | ||||
| Government Followers | GF | GF = 102.26 * 1 + 0.191 * GFOC * RNP + −9.552 * SF + 0.007 * CMR * BMP + −13.49 * T + 0.64 * T ** 2 + −0.073 * BMP * RGR + 0.001 * RGR ** 2 + −0.02 * GFOC * NP + 0.107 * GFOC * BMP + −0.003 * NP * RCMP + −1.624 * GFOC * RCMF + −0.002 * CMR * RCMF + 0.056 * RCMP * T + 0.011 * RCMP * RGR + −0.028 * RCMR ** 2 + 0.112 * RCMR * T + 1.078 * RCMR + 1.987 * GFOC * RGR + 3.286 * GFOC * RCMR + 0.012 * CMR * RCMR + 0.0 * NP * BMP + −0.45 * RNP + −0.0 * RCMP ** 2 + 0.015 * BMP * RCMP + 0.002 * RNP * RCMF | Liner Regression | 0 |
| Explanation: The average number of followers of government media involved in the event discussion, indicating the influence of government media | ||||
| Government Discussions | GD | GD = GP * GR | - | 0 |
| Explanation: The sum of netizen discussions within government media | ||||
| Network Discussions | ND | ND = NP+ BMD + GD | - | 0 |
| Explanation: Total postings by netizens, government and commercial media before government response | ||||
| R Netizen Posts | RNP | RNP = POISSON (−298.162 * 1 + 4.712 * BMP + 10.359 * SF − 0.007 * RGP * BMP − 0.017 * RGR * CMR + 3.092 * RGP * T + 0.019 * GP * GR + 56.422 * EF) | Liner Regression & poisson | 0 |
| Explanation: The number of original posts from netizens after the government response. | ||||
| R Commercial Media Posts | RCMP | RCMP = POISSON (−67.288 * 1 + 2.357 * RGP + 1.491 * SF − 0.071 * CMR * GP + 0.432 * GFOC * GF − 0.053 * RGR * RGP + 0.079 * RGR * GP + 0.063 * RGP * CMR + 14.523 * EF) | Liner Regression & poisson | 0 |
| Explanation: Number of commercial media postings after government response | ||||
| R Commercial Media Reposts | RCMR | RCMR = POISSON (−4.361 * 1 + 0.006 * RCMF * RGR + 1.129 * SF − 0.001 * RGR ** 2 + 0.013 * CMR + 0.02 * GP + 0.007 * RCMF * T − 0.041 * BMP − 0.001 * CMR * BMP + 0.046 * BMP * T − 0.0 * NP * GR) | Liner Regression & poisson | 0 |
| Explanation: Retweeted commercial media posts after government response | ||||
| R Commercial Media Followers | RCMF | RCMF = 127.299 * 1 − 0.924 * RGF + 2.676 * SF − 43.353 * T − 0.084 * CMR * GR + 0.0 * NP * GR + 0.014 * GP * GR + 0.011 * CMR * GF + 2.827 * T ** 2 + 0.157 * RGF * T − 0.245 * GF * T − 0.025 * RGR * GP + 2.698 * EF + 2.981 * GR * T + 0.003 * RGF * GR + 0.306 * GP * T + 0.29 * GFOC * RGF − 0.06 * RGR * GR − 0.089 * NP − 0.138 * GFOC * RGP + 0.007 * RGR * RGF + 2.698 * EF | Liner Regression | 0 |
| Explanation: The average followers of commercial media involved in the discussion of the event after the government response | ||||
| R Commercial Media Discussions | RCMD | RCMD = RCMP * RCMR | - | 0 |
| Explanation: Total netizen discussion within the commercial media after the government response | ||||
| R Government Posts | RGP | RGP = POISSON ([0,305,3,0,0,0]) | real data & poisson | 0 |
| Explanation: Number of government response postings after the government response | ||||
| R Government Reposts | RGR | RGR = POISSON (−23.102 * 1 − 0.0 * NP ** 2 + 3.439 * SF − 0.093 * BMP * T + 0.002 * RGF * CMR − 0.391 * GR * T − 0.0 * RGF ** 2 − 0.001 * GF ** 2 + 0.002 * RGF * GF + 0.002 * CMR * NP + 0.004 * BMP * GR + 0.174 * RGF − 26.594 * GFOC + 0.054 * NP − 0.0 * CMR ** 2 + 2.363 * EF) | Liner Regression & poisson | 0 |
| Explanation: Number of government media postings retweeted by netizens after government response | ||||
| R Government Followers | RGF | RGF = [0,444,158,0,0,0] | Real Data | 0 |
| Explanation: Average number of government media followers after government response | ||||
| R Government Discussions | RGD | RGD = RGP * RGR | - | 0 |
| Explanation: Total network discussions within government media after government response | ||||
| R Network Discussions | RND | RND = RNP+ RBMD + RGD | - | 0 |
| Explanation: Total postings and reposts by netizens, government and commercial media after the government response | ||||
| Government Focus | GFOC | GFOC = (RGP * RGF − 0)/(253,132 − 0) * 10 | Min-Max scaling | 0 |
| Explanation: The level of government media involvement in the event discussion. | ||||
| Public Sentiment | PS | PS = RD − PD | - | 0 |
| Explanation: Propagation of public sentiment before and after the response | ||||
References
- COVID-19 Weekly Epidemiological Update. Available online: https://www.who.int/publications/m/item/weekly-epidemiological-update---29-december-2020 (accessed on 30 December 2020).
- Kiecolt-Glaser, J.K.; McGuire, L.; Robles, T.F.; Glaser, R. Emotions, morbidity, and mortality: New perspectives from psychoneuroimmunology. Annu. Rev. Psychol. 2002, 53, 83–107. [Google Scholar] [CrossRef] [PubMed]
- Schaller, M.; Murray, D.R.; Bangerter, A. Implications of the behavioral immune system for social behavior and human health in the modern world. Philos. Trans. Biol. Sci. 2015, 370, 1–10. [Google Scholar] [CrossRef]
- Kalichman, S. Denying AIDS: Conspiracy theories, pseudoscience, and human tragedy. Afr. Aff. 2009, 109, 505–506. [Google Scholar] [CrossRef]
- Farmer, P. AIDS and Accusation: Haiti and the Geography of Blame, 1st ed.; University of California Press: Berkeley, CA, USA, 2006; p. 372. [Google Scholar]
- Bogart, L.M.; Wagner, G.; Galvan, F.H.; Banks, D. Conspiracy beliefs about HIV are related to antiretroviral treatment: Nonadherence among African American men with HIV. J. Acquir. Immune. Defic. Syndr. 2010, 53, 648–655. [Google Scholar] [CrossRef] [PubMed]
- Gilles, I.; Bangerter, A.; Clémence, A.; Green, E.G.T.; Krings, F.; Staerklé, C.; Wagner-Egger, P. Trust in medical organizations predicts pandemic (H1N1) 2009 vaccination behavior and perceived efficacy of protection measures in the Swiss public. Eur. J. Epidemiol. 2011, 26, 203–210. [Google Scholar] [CrossRef] [PubMed]
- DeStefano, F.; Shimabukuro, T.T. The MMR vaccine and autism. Annu. Rev. Virol. 2019, 6, 585–600. [Google Scholar] [CrossRef] [PubMed]
- Hills, P.; Argyle, M. The oxford happiness questionnaire: A compact scale for the measurement of psychological well-being. Pers. Individ. Differ. 2002, 33, 1073–1082. [Google Scholar] [CrossRef]
- Derogatis, L.R.; Lipman, R.S.; Covi, L. SCL-90: An outpatient psychiatric rating scale--Preliminary report. Psychopharmacol. Bull. 1973, 9, 13–28. [Google Scholar] [PubMed]
- Larsen, K.S.; Cary, W.; Chaplin, B.; Deane, D.; Green, R.; Hyde, W.; Zuleger, K. Women’s liberation: The development of a likert-type scale. J. Soc. Psychol. 1976, 98, 295–296. [Google Scholar] [CrossRef]
- Hong, Y.; Lee, T.; Kim, J.S. Serial Multiple Mediation Analyses: How to Enhance Individual Public Health Emergency Preparedness and Response to Environmental Disasters. Int. J. Environ. Res. Public Health 2019, 16, 223. [Google Scholar] [CrossRef]
- Li, S.; Wang, Y.; Xue, J.; Zhao, N.; Zhu, T. The Impact of COVID-19 Epidemic Declaration on Psychological Consequences: A Study on Active Weibo Users. Int. J. Environ. Res. Public Health 2020, 17, 2032. [Google Scholar] [CrossRef]
- Apuke, O.D.; Omar, B. Fake News and COVID-19: Modelling the Predictors of Fake News Sharing Among Social Media Users. Telemat. Inform. 2020, 56, 101475. [Google Scholar] [CrossRef]
- Hong, Y.; Zhang, P. Political news and happiness: The difference between traditional media and new media use. Chin. J. Commun. 2020, 13, 370–388. [Google Scholar] [CrossRef]
- Liu, D.; Wang, W.; Li, H. Evolutionary Mechanism and Information Supervision of Public Opinions in Internet Emergency. Procedia Comput. Sci. 2013, 17, 973–980. [Google Scholar] [CrossRef]
- Naskar, D.; Singh, S.; Kumar, D.; Nandi, S.; Rivaherrera, E. Emotion Dynamics of Public Opinions on Twitter. ACM Trans. Inf. Syst. 2020, 38, 18. [Google Scholar] [CrossRef]
- Xie, T.; Wei, Y.; Chen, W.; Huang, H. Parallel evolution and response decision method for public sentiment based on system dynamics. Eur. J. Oper. Res. 2020, 287, 1131–1148. [Google Scholar] [CrossRef] [PubMed]
- Sun, W.; Zhao, C.; Wang, Y.; Cho, C.H. Corporate social responsibility disclosure and catering to investor sentiment in China. Manag. Decis. 2018, 56, 1917–1935. [Google Scholar] [CrossRef]
- Danso, A.; Lartey, T.; Amankwah-Amoah, J.; Adomako, S.; Lu, Q.; Uddin, M. Market sentiment and firm investment decision-making. Int. Rev. Financ. Anal. 2019, 66, 101369. [Google Scholar] [CrossRef]
- Geisser, S. A Predictive Approach to the Random Effect Model. Biometrika 1974, 61, 101–107. [Google Scholar] [CrossRef]
- Devroye, L.; Wagner, T.J. Distribution-Free performance bounds for potential function rules. IEEE Trans. Inf. Theory 1979, 25, 601–604. [Google Scholar] [CrossRef]
- Bañuls, V.A.; Turoff, M.; Roxanne, S. Collaborative scenario modeling in emergency management through cross-impact. Technol. Forecast. Soc. Chang. 2013, 80, 1756–1774. [Google Scholar] [CrossRef]
- Davis, J.P.; Eisenhardt, K.M.; Bingham, C.B. Developing theory through simulation methods. Acad. Manag. Rev. 2007, 32, 480–499. [Google Scholar] [CrossRef]
- Rogers, G.; Chow, J. Hands-on teaching of power system dynamics. IEEE Comput. Appl. Power 1995, 8, 12–16. [Google Scholar] [CrossRef]
- Mcquail, D.; Windahl, S. Communication Models for the Study of Mass Communications, 2nd ed.; Routledge: Oxford, UK, 1981; pp. 138–140. [Google Scholar]
- Sterman, J. System dynamics modelling: Tools for learning in a complex world. Calif. Manag. Rev. 2001, 43, 8–25. [Google Scholar] [CrossRef]
- Rahmandada, H.; Sterman, J.D. Reporting guidelines for simulation-based research in social sciences. Syst. Dyn. Rev. 2012, 28, 396–411. [Google Scholar] [CrossRef]
- Weibo Search Weibo Topic. Available online: https://s.weibo.com/ (accessed on 1 May 2020).
- Che, X.H.; Ip, B. Social Networks in China, 1st ed.; Chandos: Cambridge, MA, USA, 2018; pp. 87–100. [Google Scholar]
- Tencent WeChat Subscriptions Platform. Available online: https://mp.weixin.qq.com/ (accessed on 1 May 2020).
- Zhiweidata Events Library. Available online: https://ef.zhiweidata.com/library (accessed on 1 May 2020).
- Huo, L.; Huang, P.; Fang, X. An interplay model for authorities’ actions and rumor spreading in emergency event. Phys. A Stat. Mech. Appl. 2011, 390, 3267–3274. [Google Scholar] [CrossRef]
- Briones, R.L.; Kuch, B.; Liu, B.F.; Jin, Y. Keeping up with the digital age: How the American Red Cross uses social media to build relationships. Public Relat. Rev. 2011, 37, 37–43. [Google Scholar] [CrossRef]
- Coombs, W.T. Protecting Organization Reputations During a Crisis: The Development and Application of Situational Crisis Communication Theory. Corp. Reput. Rev. 2007, 10, 163–176. [Google Scholar] [CrossRef]
- Huffaker, D. Dimensions of Leadership and Social Influence in Online Communities. Hum. Commun. Res. 2010, 36, 593–617. [Google Scholar] [CrossRef]
- Yu, L.; Li, L.; Tang, L. What can mass media do to control public panic in accidents of hazardous chemical leakage into rivers? A multi-agent-based online opinion dissemination model. J. Clean. Prod. 2017, 143, 1203–1214. [Google Scholar] [CrossRef]
- Dyda, A.; Shah, Z.; Surian, D.; Martin, P.; Coiera, E.; Dey, A.; Leask, J.; Dunn, A.G. HPV vaccine coverage in Australia and associations with HPV vaccine information exposure among Australian Twitter users. Hum. Vaccines Immunother. 2019, 15, 1488–1495. [Google Scholar] [CrossRef] [PubMed]
- Blanchard-Boehm, R.D.; Cook, M.J. Risk Communication and Public Education in Edmonton, Alberta, Canada on the 10th Anniversary of the “Black Friday” Tornado. Int. Res. Geogr. Environ. Educ. 2004, 13, 38–54. [Google Scholar] [CrossRef]
- Balathé, M.; Vu, D.Q.; Khandelwal, S.; Hunter, D.R. The dynamics of health behavior sentiments on a large online social network. EPJ Data Sci. 2013, 2, 4. [Google Scholar] [CrossRef]
- Rosenbusch, H.; Evans, A.M.; Zeelenberg, M. Multilevel Emotion Transfer on YouTube: Disentangling the Effects of Emotional Contagion and Homophily on Video Audiences. Soc. Psychol. Personal. Sci. 2019, 10, 1028–1035. [Google Scholar] [CrossRef]
- Fowler, J.H.; Christakis, N.A. Dynamic spread of happiness in a large social network: Longitudinal analysis over 20 years in the Framingham Heart Study. BMJ 2008, 337, a2338. [Google Scholar] [CrossRef]
- Goldenberg, A.; Gross, J.J. Digital Emotion Contagion. Trends Cogn. Sci. 2020, 24, 316–328. [Google Scholar] [CrossRef] [PubMed]
- Kramer, A.D.I. The spread of emotion via facebook. Assoc. Comput. Mach. 2012, 767–770. [Google Scholar] [CrossRef]
- Kramer, A.D.I.; Guillory, J.E.; Hancock, J.T. Experimental evidence of massivescale emotional contagion through social networks. Proc. Natl. Acad. Sci. USA 2014, 111, 8788–8790. [Google Scholar] [CrossRef] [PubMed]
- Xiong, X.; Li, Y.; Qiao, S.; Han, N.; Wu, Y.; Peng, J.; Li, B. An emotional contagion model for heterogeneous social media with multiple behaviors. Phys. A Stat. Mech. Its Appl. 2018, 490, 185–202. [Google Scholar] [CrossRef]
- Zhao, L.; Cheng, J.; Qian, Y.; Wang, Q. USEIRS model for the contagion of individual aggressive behavior under emergencies. Simulation 2012, 88, 1456–1464. [Google Scholar] [CrossRef]
- Ferrara, E.; Yang, Z. Measuring emotional contagion in social media. PLoS ONE 2015, 10, e0142390. [Google Scholar] [CrossRef] [PubMed]
- Del Vicario, M.; Vivaldo, G.; Bessi, A.; Zollo, F.; Scala, A.; Caldarelli, G.; Quattrociocchi, W. Echo Chambers: Emotional Contagion and Group Polarization on Facebook. Sci. Rep. 2016, 6, 1–12. [Google Scholar] [CrossRef] [PubMed]
- Diaz, A.; Eisenberg, N. The Process of Emotion Regulation Is Different From Individual Differences in Emotion Regulation: Conceptual Arguments and a Focus on Individual Differences. Psychol. Inq. 2015, 26, 37–47. [Google Scholar] [CrossRef]
- Eachempati, P.; Srivastava, P.R.; Zhang, Z.J. Gauging opinions about the COVID-19: A multi-channel social media approach. Enterp. Inf. Syst. 2020, 1–35. [Google Scholar] [CrossRef]
- Zhu, B.; Zheng, X.; Liu, H.; Li, J.; Wang, P. Analysis of spatiotemporal characteristics of big data on social media sentiment with COVID-19 epidemic topics. Chaos Solitons Fractals 2020, 140, 110123. [Google Scholar] [CrossRef] [PubMed]
- Li, Q.; Wei, C.; Dang, J.; Cao, L.; Liu, L. Tracking and Analyzing Public Emotion Evolutions During COVID-19: A Case Study from the Event-Driven Perspective on Microblogs. Int. J. Environ. Res. Public Health 2020, 17, 6888. [Google Scholar] [CrossRef]
- Bertot, J.C.; Jaeger, P.T.; Grimes, J.M. Using ICTs to create a culture of transparency: E-government and social media as openness and anti-corruption tools for societies. Gov. Inf. Q. 2010, 27, 264–271. [Google Scholar] [CrossRef]
- Jung, J.-Y.; Moro, M. Multi-level functionality of social media in the aftermath of the Great East Japan Earthquake. Disasters 2014, 38, s123–s143. [Google Scholar] [CrossRef] [PubMed]
- Branicki, L.J.; Agyei, D.A. Unpacking the Impacts of Social Media Upon Crisis Communication and City Evacuation. In City Evacuations: An Interdisciplinary Approach; Springer: Berlin, Germany, 2015; pp. 21–37. [Google Scholar] [CrossRef]
- Hong, Y.; Kim, J.-S.; Xiong, L. Media Exposure and Individuals’ Emergency Preparedness Behaviors for Coping with Natural and Human-Made Disasters. J. Environ. Psychol. 2019, 63, 82–91. [Google Scholar] [CrossRef]
- Stokes, C.; Senkbeil, J.C. Facebook and Twitter, communication and shelter, and the 2011 Tuscaloosa tornado. Disasters 2016, 41, 194–208. [Google Scholar] [CrossRef]









| Data Name | Pre-Response n (%) | Post-Response n (%) |
|---|---|---|
| Total posts | 1,242,287 (57) | 935,790 (43) |
| Total original posts | 136,197 (56) | 105,969 (44) |
| Total reposts | 1,106,090 (57) | 829,821 (43) |
| Total followers | 197 billion (31) | 439 billion (69) |
| Government original posts | 3368 (30) | 7944 (70) |
| Government reposts | 295,853 (44) | 382,303 (56) |
| Government followers | 93 billion (27) | 253 billion (73) |
| Commercial media original posts | 15,003 (35) | 28,032 (65) |
| Commercial media reposts | 810,237 (64) | 447,518 (36) |
| Commercial media followers | 104 billion (36) | 186 billion (64) |
| Netizen original posts | 117,826 (63) | 69,993 (37) |
| Name | Outcomes | othervar |
|---|---|---|
| Netizen Posts | [4,1,6,6,5,4,2,1,3,5,4.5,4,3,8,3] | RND, RS, EF |
| Commercial Media Posts | [3,1,7,6,5,4,3,2,4,6,5,4,3,6,2] | RND, RS, EF |
| Commercial Media Reposts | [4,3,5,3,2.5,2,1.5,1,3,5,4,3,2,9,2] | RND, RS, EF, CMF |
| Government Reposts | [4,1,7,6,5,4,2,1,3,5,4.5,4,3,6,4] | RND, RS, EF, GF |
| Mean err | 1.85 | - |
| Mean sharefactor | [3.75,1.5,6.25,5.25,4.375,3.5,2.125,1.25,3.25,5.25,4.5,3.75,2.75,7.25,2.75] | - |
| sharefactor equation 1 | NP = a + b * EF + c * SF + d * (RGP + RGR) a = −23328.98463791, b = 3273.79176234, c = 2080.23327003, d = 1002.55401367 | - |
| Dependent | Independent 1 | Train Set R2 | Validation Set R2 | Equations |
|---|---|---|---|---|
| NP | [RCMR, CMR, GF, RCMF, RNP, CMP, T, SF, RGR, GR, GFOC] | 0.84 | 0.99 | Table A1 |
| CMP | [T, NP, SF, EF, GFOC] | 0.99 | 0.97 | |
| CMR | [T, BMP, RCMF, GP, GR, NP, CMF, SF, RGR, RNP, GF, RCMR, EF, GFOC] | 0.86 | 0.97 | |
| CMF | [T, BMP, GP, RCMF, GR, NP, SF, RCMP, RNP, GF, RCMR, EF, GFOC] | 0.91 | 0.99 | |
| GP | [BMP, T, NP, SF, EF, GFOC] | 0.97 | 0.99 | |
| GR | [BMP, T, RCMF, NP, SF, GF, EF, GFOC] | 0.98 | 0.99 | |
| GF | [BMP, T, RCMF, NP, SF, RCMP, RGR, CMR, RNP, RCMR, GFOC] | 0.89 | 0.99 | |
| RNP | [BMP, T, GP, GR, SF, RGR, RGP, CMR, EF] | 0.97 | 0.99 | |
| RCMP | [GP, SF, RGR, CMR, RGP, GF, EF, GFOC] | 0.98 | 0.99 | |
| RCMR | [T, BMP, RCMF, GP, GR, NP, SF, RGR, CMR] | 0.86 | 0.98 | |
| RCMF | [T, GP, GR, RGF, NP, SF, RGR, CMR, RGP, GF, EF, GFOC] | 0.84 | 0.95 | |
| RGR | [BMP, T, GR, NP, RGF, SF, CMR, GF, EF, GFOC] | 0.95 | 0.99 |
| Strategies | Network Discussions | R Network Discussions | Public Sentiment | |||
|---|---|---|---|---|---|---|
| Simulation | Change | Simulation | Change | Simulation | Change | |
| baseline | 91,660 | 0 | 30,920 | 0 | −60,771 | 0 |
| Government Strategy | 143,961 | +52,300 | 610,239 | +579,318 | 466,247 | + 527,018 |
| Positive Netizen Strategy | 79,075 | −12,585 | 237,957 | +207,036 | 158,789 | +219,561 |
| Negative Netizen Strategy | 109,953 | +18,292 | 6623 | −24,297 | −103,345 | −42,574 |
| Epidemic Strategy | 110,011 | +18,351 | 29,415 | −1504 | −80,819 | −20,047 |
Publisher’s Note: MDPI stays neutral with regard to jurisdictional claims in published maps and institutional affiliations. |
© 2021 by the authors. Licensee MDPI, Basel, Switzerland. This article is an open access article distributed under the terms and conditions of the Creative Commons Attribution (CC BY) license (https://creativecommons.org/licenses/by/4.0/).
Share and Cite
Huang, H.; Chen, W.; Xie, T.; Wei, Y.; Feng, Z.; Wu, W. The Impact of Individual Behaviors and Governmental Guidance Measures on Pandemic-Triggered Public Sentiment Based on System Dynamics and Cross-Validation. Int. J. Environ. Res. Public Health 2021, 18, 4245. https://doi.org/10.3390/ijerph18084245
Huang H, Chen W, Xie T, Wei Y, Feng Z, Wu W. The Impact of Individual Behaviors and Governmental Guidance Measures on Pandemic-Triggered Public Sentiment Based on System Dynamics and Cross-Validation. International Journal of Environmental Research and Public Health. 2021; 18(8):4245. https://doi.org/10.3390/ijerph18084245
Chicago/Turabian StyleHuang, Hainan, Weifan Chen, Tian Xie, Yaoyao Wei, Ziqing Feng, and Weijiong Wu. 2021. "The Impact of Individual Behaviors and Governmental Guidance Measures on Pandemic-Triggered Public Sentiment Based on System Dynamics and Cross-Validation" International Journal of Environmental Research and Public Health 18, no. 8: 4245. https://doi.org/10.3390/ijerph18084245
APA StyleHuang, H., Chen, W., Xie, T., Wei, Y., Feng, Z., & Wu, W. (2021). The Impact of Individual Behaviors and Governmental Guidance Measures on Pandemic-Triggered Public Sentiment Based on System Dynamics and Cross-Validation. International Journal of Environmental Research and Public Health, 18(8), 4245. https://doi.org/10.3390/ijerph18084245

