Examining the Structure of Difficulties in Emotion Regulation Scale with Chinese Population: A Bifactor Approach
Abstract
1. Introduction
1.1. Factor Structure of the DERS
1.2. Bifactor Model
2. Method
2.1. Participants
2.2. Measures
2.2.1. DERS (Chinese Version)
2.2.2. Reevaluation of Life Orientation Test (Chinese Version)
2.3. The Procedure of Analyses
2.4. The Goodness-of-Fit Indices
3. Results
3.1. Descriptive Characteristics
3.2. Testing Existing Structures
3.3. EFA and CFA for Alternative Structure
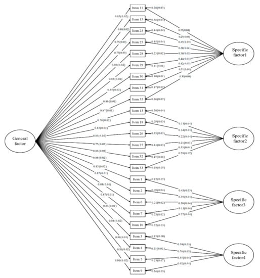
3.4. Bifactor CFA
3.5. Criterion-Related Validity
4. Discussion
5. Conclusions
Author Contributions
Funding
Institutional Review Board Statement
Informed Consent Statement
Data Availability Statement
Conflicts of Interest
References
- Campos, J.J.; Walle, E.A.; Dahl, A.; Main, A. Reconceptualizing emotion regulation. Emot. Rev. 2011, 3, 26–35. [Google Scholar] [CrossRef]
- Gross, J.J. Handbook of Emotion Regulation, 2nd ed.; Guilford Publications: New York, NY, USA, 2014. [Google Scholar]
- John, O.P.; Gross, J.J. Healthy and unhealthy emotion regulation: Personality processes, individual differences, and life span development. J. Personal. 2004, 72, 1301–1334. [Google Scholar] [CrossRef] [PubMed]
- Aldao, A.; Nolen-Hoeksema, S.; Schweizer, S. Emotion-regulation strategies across psychopathology: A meta-analytic review. Clin. Psychol. Rev. 2010, 30, 217–237. [Google Scholar] [CrossRef] [PubMed]
- Catanzaro, S.J.; Mearns, J. Measuring generalized expectancies for negative mood regulation: Initial scale development and implications. J. Personal. Assess. 1990, 54, 546–563. [Google Scholar]
- Garnefski, N.; Kraaij, V.; Spinhoven, P. Negative life events, cognitive emotion regulation and emotional problems. Personal. Individ. Differ. 2001, 30, 1311–1327. [Google Scholar] [CrossRef]
- Gross, J.J.; John, O.P. Individual differences in two emotion regulation processes: Implications for affect, relationships, and well-being. J. Personal. Soc. Psychol. 2003, 85, 348–362. [Google Scholar] [CrossRef]
- Gratz, K.L.; Roemer, L. Multidimensional assessment of emotion regulation and dysregulation: Development, factor structure, and initial validation of the difficulties in emotion regulation scale. J. Psychopathol. Behav. Assess. 2004, 26, 41–54. [Google Scholar] [CrossRef]
- Caprara, G.V.; Di Giunta, L.; Eisenberg, N.; Gerbino, M.; Pastorelli, C.; Tramontano, C. Assessing regulatory emotional self-efficacy in three countries. Psychol. Assess. 2008, 20, 227–237. [Google Scholar] [CrossRef]
- Bardeen, J.R.; Fergus, T.A.; Orcutt, H.K. An examination of the latent structure of the difficulties in emotion regulation scale. J. Psychopathol. Behav. Assess. 2012, 34, 382–392. [Google Scholar] [CrossRef]
- Giromini, L.; Velotti, P.; De Campora, G.; Bonalume, L.; Zavattini, G.C. Cultural adaptation of the difficulties in emotion regulation scale: Reliability and validity of an italian version. J. Clin. Psychol. 2012, 68, 989–1007. [Google Scholar] [CrossRef]
- Rugancı, R.N.; Gençöz, T. Psychometric properties of a Turkish version of the difficulties in emotion regulation scale. J. Clin. Psychol. 2010, 66, 442–455. [Google Scholar] [CrossRef]
- Guzmán-González, M.; Trabucco, C.; Urzúa, M.A.; Garrido, L.; Leiva, J. Validity and reliability of the adapted Spanish version of the difficulties in emotion regulation scale in Chilean population. Terap. Psicol. 2014, 32, 19–29. [Google Scholar] [CrossRef]
- Tejeda, M.M.; García, R.R.; Palos, P.A.; Gonzalez-Forteza, C. P-307—Psychometric properties of the “difficulties in emotion regulation scale” in spanish (DERS-E) in Mexican adolescents. Eur. Psychiatry 2012, 27, 1. [Google Scholar] [CrossRef]
- Gómez-Simón, I.; Penelo, E.; De La Osa, N. Factor structure and measurement invariance of the Difficulties Emotion Regulation Scale (DERS) in Spanish adolescents. Psicothema 2014, 26, 401–408. [Google Scholar]
- Li, J.; Han, Z.R.; Gao, M.M.; Sun, X.; Ahemaitijiang, N. Psychometric properties of the Chinese version of the Difficulties in Emotion Regulation Scale (DERS): Factor structure, reliability, and validity. Psychol. Assess. 2018, 30, e1–e9. [Google Scholar] [CrossRef]
- Gross, J.J. Emotion regulation in adulthood: Timing is everything. Curr. Dir. Psychol. Sci. 2001, 10, 214–219. [Google Scholar] [CrossRef]
- McNamara, D.S.; Healy, A.F. A procedural explanation of the generation effect: The use of an operand retrieval strategy for multiplication and addition problems. J. Mem. Lang. 1995, 34, 399–416. [Google Scholar] [CrossRef]
- Bassi, M.; Fave, A.D.; Steca, P.; Caprara, G.V. Adolescents’ regulatory emotional self-efficacy beliefs and daily affect intensity. Motiv. Emot. 2018, 42, 287–298. [Google Scholar] [CrossRef]
- Wen, S.F.; Tang, D.L.; Yu, G.L. The characteristics of regulatory emotional self-efficacy in Chinese graduate students. Psychol. Sci. (China) 2009, 32, 666–668. [Google Scholar] [CrossRef]
- Lee, D.J.; Witte, T.K.; Bardeen, J.R.; Davis, M.T.; Weathers, F.W. A factor analytic evaluation of the difficulties in emotion regulation scale. J. Clin. Psychol. 2016, 72, 933–946. [Google Scholar] [CrossRef]
- Jia, R.; Jia, H.H. Factorial validity of problematic Internet use scales. Comput. Hum. Behav. 2009, 25, 1335–1342. [Google Scholar] [CrossRef]
- Bunford, N.; Evans, S.W.; Langberg, J.M. Emotion dysregulation is associated with social impairment among young adolescents with ADHD. J. Atten. Disord. 2018, 22, 66–82. [Google Scholar] [CrossRef]
- Holzinger, K.J.; Swineford, F. The Bi-factor method. Psychometrika 1937, 2, 41–54. [Google Scholar] [CrossRef]
- Chen, F.F.; West, S.G.; Sousa, K.H. A comparison of bifactor and second-order models of quality of life. Multivar. Behav. Res. 2006, 41, 189–225. [Google Scholar] [CrossRef]
- Reise, S.P.; Morizot, J.; Hays, R.D. The role of the bifactor model in resolving dimensionality issues in health outcomes measures. Qual. Life Res. 2007, 16, 19–31. [Google Scholar] [CrossRef]
- Gibbons, R.D.; Rush, A.J.; Immekus, J.C. On the psychometric validity of the domains of the PDSQ: An illustration of the bi-factor item response theory model. J. Psychiatr. Res. 2009, 43, 401–410. [Google Scholar] [CrossRef]
- Reise, S.P.; Moore, T.M.; Haviland, M.G. Bifactor models and rotations: Exploring the extent to which multidimensional data yield univocal scale scores. J. Personal. Assess. 2010, 92, 544–559. [Google Scholar] [CrossRef]
- Scheier, M.F.; Carver, C.S. Optimism, coping, and health: Assessment and implications of generalized outcome expectancies. Health Psychol. 1985, 4, 219–247. [Google Scholar] [CrossRef]
- Scheier, M.F.; Carver, C.S.; Bridges, M.W. Distinguishing optimism from neuroticism (and trait anxiety, self-mastery, and self-esteem): A reevaluation of the Life Orientation Test. J. Personal. Soc. Psychol. 1994, 67, 1063–1078. [Google Scholar] [CrossRef]
- Li, C.-H. Validation of the Chinese version of the Life Orientation Test with a robust weighted least squares approach. Psychol. Assess. 2012, 24, 770–776. [Google Scholar] [CrossRef]
- George, D.; Mallery, P. IBM SPSS Statistics 23 Step by Step: A Simple Guide and Reference; Routledge: New York, NY, USA, 2016. [Google Scholar]
- Revelle, W.; Revelle, M.W. Package ‘Psych’. The Comprehensive R Archive Network. 2015. Available online: http://www.test.personality-project.org/r/psych/psych-manual.pdf (accessed on 20 January 2021).
- Muthén, L.K.; Muthén, B.O. Mplus Version 7 User’s Guide; Muthén and Muthén: Los Angeles, CA, USA, 2012. [Google Scholar]
- Li, Q.; Cai, Y.; Tan, Q.; Tu, D. Structure of Arabic scale of death anxiety with Chinese college students: A bifactor approach. Front. Psychol. 2018, 9, 2511. [Google Scholar] [CrossRef] [PubMed]
- Cattell, R.B. The Scree Test for the number of factors. Multivar. Behav. Res. 1966, 1, 245–276. [Google Scholar] [CrossRef] [PubMed]
- Horn, J.L. A rationale and test for the number of factors in factor analysis. Psychometrika 1965, 30, 179–185. [Google Scholar] [CrossRef] [PubMed]
- O’Connor, B.P. SPSS and SAS programs for determining the number of components using parallel analysis and Velicer’s MAP test. Behav. Res. Methods Instrum. Comput. 2000, 32, 396–402. [Google Scholar] [CrossRef] [PubMed]
- Hayton, J.C.; Allen, D.G.; Scarpello, V. Factor retention decisions in exploratory factor analysis: A tutorial on parallel analysis. Organ. Res. Methods. 2004, 7, 191–205. [Google Scholar] [CrossRef]
- Reise, S.P.; Scheines, R.; Widaman, K.F.; Haviland, M.G. Multidimensionality and structural coefficient bias in structural equation modeling: A bifactor perspective. Educ. Psychol. Meas. 2013, 73, 5–26. [Google Scholar] [CrossRef]
- Browne, M.W.; Cudeck, R. Alternative ways of assessing model fit. In Testing Structural Equation Models; SAGE: Newbury Park, CA, USA, 1993; pp. 136–162. ISBN 978-08-0394-507-4. [Google Scholar]
- Nordgren, L.; Monell, E.; Birgegård, A.; Bjureberg, J.; Hesser, H. Factor structure of the difficulties in emotion regulation scale in treatment seeking adults with eating disorders. J. Psychopathol. Behav. Assess. 2019, 42, 111–126. [Google Scholar] [CrossRef]
- Benfer, N.; Bardeen, J.R.; Fergus, T.A.; Rogers, T.A. Factor structure and incremental validity of the original and modified versions of the difficulties in emotion regulation scale. J. Personal. Assess. 2018, 101, 598–608. [Google Scholar] [CrossRef]
- Morgan, G.B.; Hodge, K.J.; Wells, K.E.; Watkins, M.W. Are fit indices biased in favor of Bi-factor models in cognitive ability research? A comparison of fit in correlated factors, higher-order, and Bi-factor models via Monte Carlo simulations. J. Intell. 2015, 3, 2–20. [Google Scholar] [CrossRef]
- Chen, F.F.; Hayes, A.M.; Carver, C.S.; Laurenceau, J.-P.; Zhang, Z. Modeling general and specific variance in multifaceted constructs: A comparison of the Bifactor model to other approaches. J. Personal. 2011, 80, 219–251. [Google Scholar] [CrossRef]
- Brown, T.A. Confirmatory Factor Analysis for Applied Research; Guilford Publications: New York, NY, USA, 2015. [Google Scholar]
- Lonigan, C.J.; Carey, M.P.; Finch, A.J. Anxiety and depression in children and adolescents: Negative affectivity and the utility of self-reports. J. Consult. Clin. Psychol. 1994, 62, 1000–1008. [Google Scholar] [CrossRef] [PubMed]


| Standard | χ2/df | RMSEA | SRMR | CFI | TLI |
|---|---|---|---|---|---|
| an acceptable fit | <5 | <0.08 | ≤0.10 | ≥0.90 | ≥0.90 |
| a close fit | <3 | ≤0.05 | ≤0.08 | ≥0.95 | ≥0.95 |
| Item | M(SD) Total | M(SD) Male | M(SD) Female | Skewness | Kurtosis |
|---|---|---|---|---|---|
| Y1 | 3.35 (1.04) | 3.50 (1.03) | 3.25 (1.04) | −0.29 | −0.69 |
| Y2 | 3.36 (1.14) | 3.53 (1.12) | 3.24 (1.13) | −0.34 | −0.84 |
| Y3 | 2.86 (1.00) | 2.87 (0.96) | 2.85 (1.02) | −0.03 | −0.62 |
| Y4 | 3.83 (0.85) | 3.89 (0.86) | 3.79 (0.85) | −0.59 | 0.33 |
| Y5 | 3.50 (1.20) | 3.52 (1.17) | 3.49 (1.22) | −0.28 | −0.96 |
| Y6 | 3.38 (1.05) | 3.51 (1.04) | 3.30 (1.04) | −0.41 | −0.50 |
| Y7 | 3.46 (0.99) | 3.57 (0.98) | 3.39 (0.99) | −0.64 | 0.05 |
| Y8 | 3.56 (0.93) | 3.63 (0.91) | 3.51 (0.94) | −0.36 | −0.43 |
| Y9 | 2.88 (0.95) | 3.00 (1.00) | 2.81 (0.91) | −0.13 | −0.63 |
| Y10 | 3.50 (0.91) | 3.56 (0.92) | 3.46 (0.91) | −0.36 | −0.20 |
| Y11 | 2.62 (0.91) | 2.66 (0.93) | 2.60 (0.90) | 0.11 | −0.28 |
| Y12 | 3.36 (1.10) | 3.45 (1.14) | 3.30 (1.07) | −0.33 | −0.38 |
| Y13 | 3.47 (1.03) | 3.56 (1.04) | 3.41 (1.02) | −0.53 | −0.25 |
| Y14 | 3.02 (0.99) | 3.06 (0.96) | 3.00 (1.00) | −0.01 | −0.39 |
| Y15 | 3.22 (0.92) | 3.29 (0.94) | 3.17 (0.90) | −0.26 | 0.31 |
| Y16 | 3.10 (1.16) | 3.19 (1.15) | 3.04 (1.16) | −0.10 | −0.68 |
| Y17 | 3.04 (1.04) | 3.02 (0.98) | 3.05 (1.08) | 0.10 | −0.51 |
| Y18 | 3.29 (1.01) | 3.30 (0.96) | 3.28 (1.05) | −0.05 | −0.45 |
| Y19 | 3.22 (1.01) | 3.23 (0.98) | 3.22 (1.04) | −0.02 | −0.43 |
| Y20 | 2.96 (0.85) | 3.01 (0.88) | 2.93 (0.84) | −0.04 | −0.32 |
| Y21 | 3.25 (0.89) | 3.28 (0.99) | 3.22 (0.82) | −0.07 | −0.40 |
| Y22 | 3.05 (1.05) | 3.10 (1.03) | 3.01 (1.07) | −0.13 | −0.47 |
| Y23 | 2.85 (0.88) | 2.88 (0.94) | 2.83 (0.83) | 0.09 | −0.02 |
| Y24 | 3.15 (0.99) | 3.11 (0.93) | 3.17 (1.02) | 0.02 | −0.48 |
| Y25 | 3.13 (0.93) | 3.17 (0.96) | 3.10 (0.91) | 0.01 | −0.44 |
| Y26 | 3.21 (0.99) | 3.24 (0.98) | 3.19 (1.00) | 0.08 | −0.35 |
| Y27 | 3.29 (1.08) | 3.40 (1.05) | 3.23 (1.10) | 0.01 | −0.73 |
| Y28 | 3.35 (1.22) | 3.60 (1.20) | 3.19 (1.20) | −0.45 | −0.69 |
| Y29 | 3.30 (1.26) | 3.50 (1.25) | 3.17 (1.25) | −0.39 | −0.85 |
| Y30 | 3.31 (1.16) | 3.42 (1.22) | 3.24 (1.12) | −0.27 | −0.74 |
| Y31 | 3.46 (1.15) | 3.54 (1.08) | 3.42 (1.19) | −0.59 | −0.35 |
| Y32 | 3.42 (0.89) | 3.45 (0.90) | 3.39 (0.88) | −0.27 | −0.03 |
| Y33 | 3.07 (0.93) | 3.07 (0.91) | 3.06 (0.95) | −0.08 | −0.20 |
| Y34 | 3.21 (0.89) | 3.22 (0.92) | 3.21 (0.87) | 0.00 | −0.38 |
| Y35 | 3.10 (1.22) | 3.27 (1.28) | 2.99 (1.16) | 0.18 | −0.86 |
| Y36 | 3.21 (1.20) | 3.38 (1.25) | 3.10 (1.16) | 0.05 | −0.93 |
| Total | 116.31 (18.62) | 118.98 (18.80) | 114.63 (18.32) | 0.22 | −0.59 |
| Model | No. of Factors | No. of Items | df | χ2/df | RMSEA [90% CI] | SRMR | CFI | TLI | |
|---|---|---|---|---|---|---|---|---|---|
| A (Marin Tejeda et al., 2012) [13] | 4 | 24 | 2827.43 | 246 | 11.49 | 0.10 [0.09, 0.11] | 0.04 | 0.91 | 0.90 |
| B (Bardeen et al., 2012) [17] | 5 | 30 | 4476.45 | 395 | 11.33 | 0.10 [0.09, 0.11] | 0.05 | 0.89 | 0.88 |
| C (Guzmán-González et al., 2014) [12] | 5 | 25 | 3585.68 | 265 | 13.53 | 0.11 [0.10, 0.12] | 0.03 | 0.89 | 0.88 |
| D (Gómez-Simón et al., 2014) [14] | 6 | 36 | 6383.28 | 579 | 11.02 | 0.09 [0.08, 0.10] | 0.05 | 0.88 | 0.87 |
| E (Gratz & Roemer, 2004) [8] | 6 | 36 | 6213.31 | 579 | 10.73 | 0.10 [0.09, 0.11] | 0.05 | 0.88 | 0.87 |
| F (Li et al., 2018) [15] | 6 | 32 | 5095.30 | 449 | 11.35 | 0.10 [0.09, 0.11] | 0.04 | 0.88 | 0.87 |
| Items | 9-Factor Solution | h2 | 10-Factor Solution | h2 | |||||||||||||||||
|---|---|---|---|---|---|---|---|---|---|---|---|---|---|---|---|---|---|---|---|---|---|
| 1 | 2 | 3 | 4 | 5 | 6 | 7 | 8 | 9 | 1 | 2 | 3 | 4 | 5 | 6 | 7 | 8 | 9 | 10 | |||
| Y1 | 0.51 | 0.09 | 0.02 | 0.08 | 0.07 | −0.06 | −0.03 | 0.04 | 0.11 | 0.30 | 0.38 | 0.08 | 0.01 | 0.06 | 0.03 | 0.00 | 0.02 | 0.06 | 0.05 | 0.63 | 0.56 |
| Y2 | 0.66 | 0.03 | 0.10 | 0.16 | 0.27 | 0.06 | −0.05 | 0.01 | 0.15 | 0.57 | 0.53 | 0.01 | 0.10 | 0.14 | 0.26 | 0.14 | −0.01 | 0.11 | 0.01 | 0.60 | 0.77 |
| Y3 | −0.03 | 0.21 | 0.27 | 0.03 | 0.01 | 0.00 | 0.79 | 0.03 | 0.06 | 0.75 | −0.02 | 0.22 | 0.27 | 0.02 | 0.02 | −0.01 | 0.76 | 0.06 | 0.05 | −0.04 | 0.71 |
| Y4 | 0.34 | 0.18 | 0.19 | 0.13 | 0.09 | 0.21 | 0.16 | −0.04 | 0.02 | 0.28 | 0.36 | 0.19 | 0.20 | 0.14 | 0.12 | 0.18 | 0.14 | 0.03 | −0.05 | −0.03 | 0.30 |
| Y5 | 0.10 | 0.11 | 0.09 | −0.01 | 0.09 | 0.03 | 0.64 | 0.04 | 0.02 | 0.45 | 0.09 | 0.11 | 0.08 | −0.02 | 0.09 | 0.04 | 0.67 | 0.02 | 0.04 | 0.04 | 0.49 |
| Y6 | 0.73 | −0.05 | 0.05 | 0.04 | 0.11 | 0.09 | 0.04 | 0.09 | 0.02 | 0.57 | 0.70 | −0.04 | 0.06 | 0.04 | 0.12 | 0.09 | 0.03 | 0.03 | 0.09 | 0.17 | 0.56 |
| Y7 | 0.61 | 0.03 | 0.04 | 0.15 | 0.15 | 0.24 | 0.09 | 0.04 | 0.05 | 0.49 | 0.62 | 0.03 | 0.05 | 0.16 | 0.18 | 0.21 | 0.08 | 0.07 | 0.03 | 0.05 | 0.50 |
| Y8 | 0.76 | −0.02 | −0.03 | −0.03 | 0.05 | 0.02 | 0.04 | 0.01 | 0.03 | 0.59 | 0.78 | −0.01 | −0.02 | −0.01 | 0.08 | −0.03 | 0.02 | 0.06 | 0.00 | 0.06 | 0.62 |
| Y9 | 0.08 | 0.13 | 0.41 | 0.09 | 0.15 | 0.03 | 0.19 | 0.17 | 0.07 | 0.29 | 0.10 | 0.14 | 0.41 | 0.10 | 0.16 | 0.01 | 0.18 | 0.07 | 0.18 | −0.07 | 0.31 |
| Y10 | 0.55 | 0.04 | 0.00 | 0.00 | −0.02 | 0.13 | 0.00 | 0.02 | −0.03 | 0.32 | 0.59 | 0.06 | 0.00 | 0.01 | 0.01 | 0.08 | −0.03 | −0.01 | 0.00 | −0.01 | 0.36 |
| Y11 | −0.06 | 0.11 | 0.52 | 0.09 | −0.04 | −0.06 | 0.11 | 0.11 | 0.15 | 0.35 | −0.06 | 0.11 | 0.51 | 0.09 | −0.04 | −0.06 | 0.11 | 0.14 | 0.13 | 0.01 | 0.34 |
| Y12 | 0.25 | 0.09 | 0.23 | 0.14 | 0.39 | 0.21 | 0.00 | −0.06 | 0.05 | 0.35 | 0.25 | 0.09 | 0.24 | 0.14 | 0.31 | 0.19 | −0.01 | 0.06 | −0.07 | 0.02 | 0.29 |
| Y13 | 0.44 | −0.02 | 0.06 | −0.03 | 0.08 | −0.06 | 0.00 | −0.08 | −0.03 | 0.22 | 0.43 | −0.03 | 0.07 | −0.02 | 0.10 | −0.08 | −0.01 | −0.02 | −0.07 | 0.06 | 0.22 |
| Y14 | 0.05 | 0.93 | 0.19 | 0.06 | 0.04 | 0.12 | 0.09 | 0.17 | 0.03 | 0.96 | 0.04 | 0.93 | 0.29 | 0.05 | 0.04 | 0.12 | 0.09 | 0.03 | 0.17 | 0.04 | 1.01 |
| Y15 | 0.11 | 0.13 | 0.15 | 0.13 | 0.11 | 0.13 | 0.02 | 0.00 | 0.49 | 0.34 | 0.08 | 0.13 | 0.15 | 0.13 | 0.11 | 0.15 | 0.02 | 0.46 | 0.01 | 0.10 | 0.32 |
| Y16 | 0.07 | 0.06 | 0.11 | 0.00 | 0.04 | 0.04 | 0.05 | 0.15 | 0.77 | 0.64 | 0.06 | 0.07 | 0.11 | 0.00 | 0.05 | 0.03 | 0.04 | 0.83 | 0.14 | 0.00 | 0.73 |
| Y17 | 0.04 | 0.50 | 0.18 | −0.08 | 0.06 | −0.09 | 0.10 | 0.04 | 0.26 | 0.38 | 0.03 | 0.51 | 0.18 | −0.07 | 0.07 | −0.11 | 0.09 | 0.26 | 0.03 | 0.02 | 0.39 |
| Y18 | −0.04 | 0.62 | 0.19 | 0.05 | 0.03 | 0.14 | 0.20 | 0.19 | −0.01 | 0.52 | −0.05 | 0.62 | 0.19 | 0.04 | 0.02 | 0.14 | 0.21 | −0.01 | 0.19 | 0.02 | 0.53 |
| Y19 | 0.04 | 0.75 | 0.21 | 0.09 | 0.08 | 0.09 | 0.04 | 0.08 | 0.05 | 0.64 | 0.04 | 0.74 | 0.21 | 0.09 | 0.08 | 0.09 | 0.04 | 0.05 | 0.08 | 0.03 | 0.63 |
| Y20 | 0.11 | 0.22 | 0.02 | −0.03 | 0.03 | 0.02 | 0.01 | 0.45 | 0.10 | 0.28 | 0.11 | 0.23 | 0.01 | −0.03 | 0.04 | 0.02 | 0.01 | 0.11 | 0.44 | 0.01 | 0.27 |
| Y21 | 0.10 | 0.19 | 0.67 | 0.02 | −0.01 | 0.15 | 0.01 | −0.09 | 0.04 | 0.53 | 0.10 | 0.19 | 0.68 | 0.02 | 0.00 | 0.13 | 0.01 | 0.05 | −0.09 | 0.01 | 0.54 |
| Y22 | 0.18 | 0.13 | 0.01 | 0.07 | −0.07 | 0.11 | 0.15 | 0.32 | 0.23 | 0.25 | 0.31 | 0.15 | 0.00 | 0.07 | −0.05 | 0.29 | 0.14 | 0.24 | 0.29 | −0.02 | 0.37 |
| Y23 | −0.10 | 0.14 | 0.54 | 0.08 | 0.06 | −0.02 | 0.15 | 0.15 | 0.12 | 0.39 | −0.13 | 0.14 | 0.53 | 0.07 | 0.05 | 0.01 | 0.16 | 0.11 | 0.17 | 0.06 | 0.40 |
| Y24 | 0.23 | 0.20 | −0.02 | 0.04 | 0.11 | 0.00 | 0.06 | 0.21 | 0.35 | 0.28 | 0.35 | 0.22 | −0.03 | 0.04 | 0.12 | 0.23 | 0.05 | 0.02 | 0.19 | −0.01 | 0.28 |
| Y25 | 0.16 | 0.18 | 0.70 | −0.01 | 0.04 | 0.09 | 0.01 | −0.05 | −0.04 | 0.56 | 0.15 | 0.18 | 0.70 | −0.01 | 0.05 | 0.08 | 0.01 | −0.04 | −0.04 | 0.03 | 0.56 |
| Y26 | 0.18 | −0.08 | −0.28 | 0.05 | 0.07 | 0.49 | −0.09 | −0.40 | 0.07 | 0.54 | 0.18 | −0.08 | −0.27 | 0.04 | 0.07 | 0.48 | −0.09 | 0.07 | −0.43 | 0.03 | 0.55 |
| Y27 | 0.13 | 0.18 | 0.21 | 0.04 | 0.22 | 0.63 | 0.02 | 0.05 | 0.08 | 0.55 | 0.14 | 0.19 | 0.21 | 0.03 | 0.22 | 0.64 | 0.02 | 0.07 | 0.04 | 0.00 | 0.57 |
| Y28 | 0.06 | 0.07 | 0.11 | 0.43 | 0.15 | 0.17 | 0.07 | 0.08 | 0.10 | 0.28 | 0.03 | 0.07 | 0.11 | 0.42 | 0.14 | 0.22 | 0.09 | 0.08 | 0.08 | 0.09 | 0.29 |
| Y29 | 0.11 | 0.03 | 0.09 | 0.84 | 0.15 | 0.09 | 0.02 | −0.02 | 0.00 | 0.76 | 0.10 | 0.03 | 0.09 | 0.84 | 0.16 | 0.10 | 0.02 | 0.00 | −0.02 | 0.01 | 0.76 |
| Y30 | 0.12 | 0.02 | 0.05 | 0.93 | 0.14 | −0.02 | −0.03 | 0.00 | 0.08 | 0.91 | 0.09 | 0.02 | 0.05 | 0.93 | 0.16 | 0.00 | −0.04 | 0.08 | 0.01 | 0.06 | 0.91 |
| Y31 | 0.17 | 0.06 | 0.18 | 0.15 | 0.19 | 0.32 | −0.01 | −0.02 | 0.08 | 0.23 | 0.16 | 0.06 | 0.18 | 0.24 | 0.29 | 0.33 | −0.01 | 0.07 | −0.02 | 0.06 | 0.32 |
| Y32 | 0.06 | 0.14 | 0.17 | 0.01 | 0.08 | 0.20 | 0.45 | 0.26 | 0.09 | 0.38 | 0.06 | 0.45 | 0.24 | 0.01 | 0.09 | 0.20 | 0.17 | 0.09 | 0.26 | −0.01 | 0.42 |
| Y33 | 0.01 | 0.19 | 0.23 | 0.05 | 0.12 | −0.05 | 0.05 | 0.56 | 0.07 | 0.43 | −0.02 | 0.19 | 0.21 | 0.04 | 0.11 | 0.00 | 0.06 | 0.06 | 0.59 | 0.10 | 0.46 |
| Y34 | 0.48 | 0.00 | −0.05 | 0.04 | −0.02 | 0.10 | 0.01 | 0.10 | 0.03 | 0.26 | 0.48 | 0.01 | −0.04 | 0.04 | −0.01 | 0.08 | 0.00 | 0.04 | 0.08 | 0.07 | 0.25 |
| Y35 | 0.20 | 0.06 | 0.00 | 0.18 | 0.87 | 0.15 | 0.10 | 0.09 | 0.06 | 0.88 | 0.17 | 0.07 | 0.00 | 0.17 | 0.86 | 0.16 | 0.10 | 0.06 | 0.09 | 0.08 | 0.86 |
| Y36 | 0.24 | 0.10 | 0.06 | 0.19 | 0.77 | 0.13 | 0.08 | 0.05 | 0.09 | 0.73 | 0.22 | 0.10 | 0.06 | 0.19 | 0.79 | 0.12 | 0.07 | 0.09 | 0.05 | 0.05 | 0.75 |
| Model | No. of Factors | No. of Items | df | χ2/df | RMSEA [90% CI] | SRMR | CFI | TLI | |
|---|---|---|---|---|---|---|---|---|---|
| Bi-A (based on Marin Tejeda et al. 2012) [13] # | 4 | 24 | 606.35 * | 228 | 2.66 | 0.04 [0.03, 0.05] | 0.02 | 0.97 | 0.96 |
| Bi-B (based on Bardeen et al. 2012) [17] | 5 | 30 | 1624.76 * | 375 | 4.33 | 0.05 [0.04, 0.06] | 0.03 | 0.93 | 0.92 |
| Bi-C (based on Guzmán-González et al. 2014) [12] | 5 | 25 | 1000.98 * | 250 | 4.00 | 0.05 [0.04, 0.06] | 0.03 | 0.94 | 0.93 |
| Bi-D (based on Gómez-Simón et al. 2014) [14] | 6 | 36 | 2299.44 * | 558 | 4.12 | 0.05 [0.04, 0.06] | 0.03 | 0.92 | 0.91 |
| Bi-E (based on Gratz and Roemer 2004) [8] | 6 | 36 | 2408.538 * | 558 | 4.32 | 0.05 [0.04, 0.06] | 0.03 | 0.91 | 0.90 |
| Bi-F (based on Li et al. 2018) [15] | 6 | 32 | 1996.571 * | 432 | 4.62 | 0.05 [0.04, 0.06] | 0.03 | 0.91 | 0.90 |
| Mean | SD | α [90%CI] | Subscale1 | Subscale2 | Subscale3 | Subscale4 | LOT-R | |
|---|---|---|---|---|---|---|---|---|
| Full sample (N = 1036) | ||||||||
| Total scale | 54.19 | 13.01 | 0.89 [0.87,0.90] | 0.92 ** | 0.73 ** | 0.80 ** | 0.72 ** | 0.92 ** |
| Subscale1 | 19.33 | 6.24 | 0.82 [0.80,0.84] | – | 0.56 ** | 0.63 ** | 0.56 ** | 0.90 ** |
| Subscale2 | 13.74 | 3.04 | 0.63 [0.58,0.68] | – | – | 0.43 ** | 0.45 ** | 0.72 ** |
| Subscale3 | 12.04 | 3.90 | 0.82 [0.80,0.84] | – | – | – | 0.44 ** | 0.79 ** |
| Subscale4 | 9.07 | 2.75 | 0.72 [0.68,0.76] | – | – | – | – | 0.76 ** |
| Male (N = 400) | ||||||||
| Total scale | 56.3 | 12.97 | 0.88 [0.86,0.90] | 0.92 ** | 0.69 ** | 0.80 ** | 0.70 ** | 0.91 ** |
| Subscale1 | 20.32 | 6.44 | 0.83 [0.80,0.86] | – | 0.52 ** | 0.63 ** | 0.54 ** | 0.90 ** |
| Subscale2 | 14.03 | 2.97 | 0.62 [0.53,0.71] | – | – | 0.40 ** | 0.39 ** | 0.67 ** |
| Subscale3 | 12.67 | 3.92 | 0.83 [0.80,0.86] | – | – | – | 0.45 ** | 0.79 ** |
| Subscale4 | 9.28 | 2.69 | 0.69 [0.62,0.76] | – | – | – | – | 0.74 ** |
| Female (N = 636) | ||||||||
| Total scale | 52.86 | 12.88 | 0.88 [0.87,0.89] | 0.91 ** | 0.75 ** | 0.78 ** | 0.72 ** | 0.92 ** |
| Subscale1 | 18.71 | 6.03 | 0.81 [0.79,0.83] | – | 0.58 ** | 0.62 ** | 0.57 ** | 0.90 ** |
| Subscale2 | 13.57 | 3.08 | 0.63 [0.56,0.70] | – | – | 0.44 ** | 0.47 ** | 0.73 ** |
| Subscale3 | 11.64 | 3.84 | 0.80 [0.78,0.82] | – | – | – | 0.42 ** | 0.78 ** |
| Subscale4 | 8.94 | 2.78 | 0.63 [0.58,0.68] | – | – | – | – | 0.76 ** |
Publisher’s Note: MDPI stays neutral with regard to jurisdictional claims in published maps and institutional affiliations. |
© 2021 by the authors. Licensee MDPI, Basel, Switzerland. This article is an open access article distributed under the terms and conditions of the Creative Commons Attribution (CC BY) license (https://creativecommons.org/licenses/by/4.0/).
Share and Cite
Xu, L.; Li, J.; Yin, L.; Jin, R.; Xue, Q.; Liang, Q.; Zhang, M. Examining the Structure of Difficulties in Emotion Regulation Scale with Chinese Population: A Bifactor Approach. Int. J. Environ. Res. Public Health 2021, 18, 4208. https://doi.org/10.3390/ijerph18084208
Xu L, Li J, Yin L, Jin R, Xue Q, Liang Q, Zhang M. Examining the Structure of Difficulties in Emotion Regulation Scale with Chinese Population: A Bifactor Approach. International Journal of Environmental Research and Public Health. 2021; 18(8):4208. https://doi.org/10.3390/ijerph18084208
Chicago/Turabian StyleXu, Lingling, Jialing Li, Li Yin, Ruyi Jin, Qi Xue, Qianyi Liang, and Minqiang Zhang. 2021. "Examining the Structure of Difficulties in Emotion Regulation Scale with Chinese Population: A Bifactor Approach" International Journal of Environmental Research and Public Health 18, no. 8: 4208. https://doi.org/10.3390/ijerph18084208
APA StyleXu, L., Li, J., Yin, L., Jin, R., Xue, Q., Liang, Q., & Zhang, M. (2021). Examining the Structure of Difficulties in Emotion Regulation Scale with Chinese Population: A Bifactor Approach. International Journal of Environmental Research and Public Health, 18(8), 4208. https://doi.org/10.3390/ijerph18084208
