Does Government Intervention Ensure Food Safety? Evidence from China
Abstract
1. Introduction
2. Materials and Methods
2.1. Model Description
2.2. Data
2.2.1. Dependent Variable
2.2.2. Key Explanatory Variable
2.2.3. Control Variable
3. Results
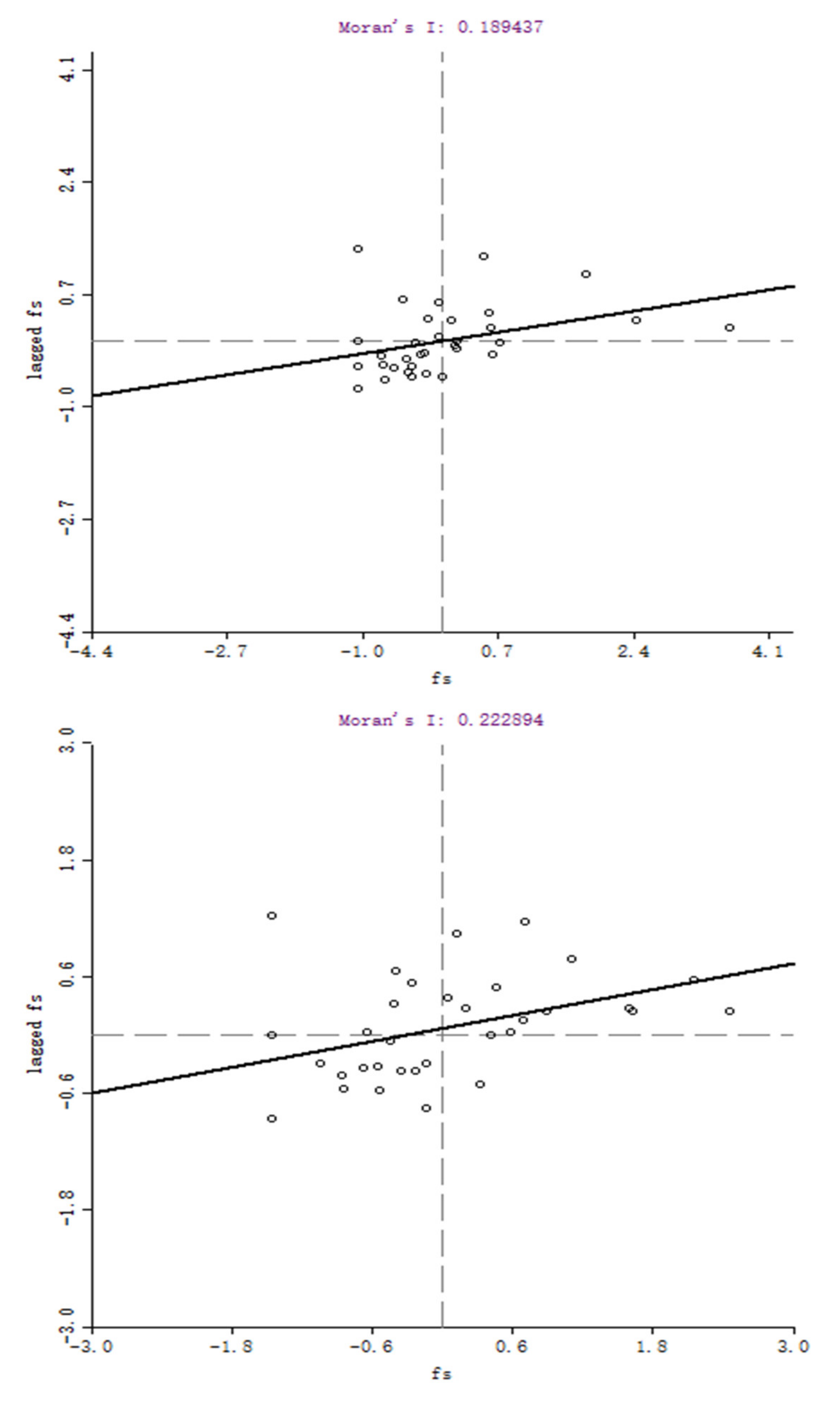
3.1. Spatial Autocorrelation Test
3.2. Effects of Government Intervention on FSP
3.2.1. OLS Fixed Effects Specification
3.2.2. Spatial Econometric Specification
3.2.3. Spatial Spillover Effect Analysis
3.3. Robustness Tests
3.3.1. Variable Displacement Effects
3.3.2. Weight Matrix Displacement Effects
3.3.3. Endogeneity Analysis
3.4. Asymmetric Response Analysis
4. Discussion and Implications
4.1. Discussion
4.2. Practical Implications
5. Conclusions
Author Contributions
Funding
Institutional Review Board Statement
Informed Consent Statement
Data Availability Statement
Acknowledgments
Conflicts of Interest
References
- Soon, J.M.; Brazier, A.K.; Wallace, C.A. Determining common contributory factors in food safety incidents–A review of global outbreaks and recalls 2008–2018. Trends Food Sci. Technol. 2020, 97, 76–87. [Google Scholar] [CrossRef]
- Lin, P.; Tsai, H.; Ho, T. Food Safety Gaps between Consumers’ Expectations and Perceptions: Development and Verification of a Gap-Assessment Tool. Int. J. Environ. Res. Public Health 2020, 17, 6328. [Google Scholar] [CrossRef] [PubMed]
- Balan, I.M.; Popescu, A.C.; Iancu, T.; Popescu, G.; Tulcan, C. Food Safety Versus Food Security in a World of Famine. SSRN Electron. J. 2020, 5, 20–30. [Google Scholar] [CrossRef]
- Ling, E.K.; Wahab, S.N. Integrity of food supply chain: Going beyond food safety and food quality. Int. J. Prod. Qual. Manag. 2020, 29, 216. [Google Scholar] [CrossRef]
- Economist Intelligence Unit (EIU). Global Food Security Index (GFSI) 2019. Available online: https://foodsecurityindex.eiu.com/ (accessed on 9 December 2019).
- Delia, G. Food Safety in low and middle income Countries. Int. J. Environ. Res. Public Health 2015, 12, 9. [Google Scholar]
- Yan, Y. Food Safety and Social Risk in Contemporary China. J. Asian Stud. 2012, 71, 705–729. [Google Scholar] [CrossRef]
- Han, G.; Yan, S.; Fan, B. Regional Regulations and Public Safety Perceptions of Quality-of-Life Issues: Empirical Study on Food Safety in China. Healthcare 2020, 8, 275. [Google Scholar] [CrossRef]
- Zhang, B.; Lin, J.; Liu, R. Factors affecting the food firm’s intention to control quality safety in China: The moderating effect of government regulation. Chinese Manag. Stud. 2016, 10, 256–271. [Google Scholar] [CrossRef]
- Lam, H.-M.; Remais, J.; Fung, M.-C.; Xu, L.; Sun, S.S.-M. Food supply and food safety issues in China. Lancet 2013, 381, 2044–2053. [Google Scholar] [CrossRef]
- Dobuzinskis, L. Financial Regulation and Monetary Policy: The Spectre of Government Failure, 1st ed.; Palgrave Macmillan Press: London, UK, 2019; pp. 37–69. [Google Scholar]
- Wang, J. Innovation and government intervention: A comparison of Singapore and Hong Kong. Res. Policy 2018, 47, 399–412. [Google Scholar] [CrossRef]
- Fang, Y.; Nie, Y.; Penny, M. Transmission dynamics of the COVID outbreak and effectiveness of government interventions: A data riven analysis. J. Med. Virol. 2020, 92, 5. [Google Scholar] [CrossRef]
- Chen, S.; Sun, Z.; Tang, S.; Wu, D. Government intervention and investment efficiency: Evidence from China. J. Corp. Financ. 2011, 17, 259–271. [Google Scholar] [CrossRef]
- Zhang, Y.; Zhang, M.; Liu, Y.; Nie, R. Enterprise investment, local government intervention and coal overcapacity: The case of China. Energy Policy 2017, 101, 162–169. [Google Scholar] [CrossRef]
- Huang, Z.; Du, X. Government intervention and land misallocation: Evidence from China. Cities 2017, 60, 323–332. [Google Scholar] [CrossRef]
- Tu, F.; Yu, X.; Ruan, J. Industrial land use efficiency under government intervention: Evidence from Hangzhou, China. Habitat Int. 2014, 43, 1–10. [Google Scholar] [CrossRef]
- Xiong, C.; Liu, C.; Chen, F.; Zheng, L. Performance assessment of food safety management system in the pork slaughter plants of China. Food Control. 2017, 71, 264–272. [Google Scholar] [CrossRef]
- Lundén, J.; Kosola, M.; Kiuru, J.; Kaskela, J.; Inkinen, T. Disclosed restaurant inspection results on food safety show regional and local differences in Finland. Food Control. 2021, 119, 107462. [Google Scholar] [CrossRef]
- Lu, Y.; Song, S.; Wang, R.; Liu, Z.; Meng, J.; Sweetman, A.J.; Jenkins, A.; Ferrier, R.C.; Li, H.; Luo, W.; et al. Impacts of soil and water pollution on food safety and health risks in China. Environ. Int. 2015, 77, 5–15. [Google Scholar] [CrossRef]
- Zhang, X.; Zhong, T.; Liu, L.; Ouyang, X. Impact of Soil Heavy Metal Pollution on Food Safety in China. PLoS ONE 2015, 10, e0135182. [Google Scholar] [CrossRef]
- Toth, G.; Hermann, T.; Da Silva, M.R.; Montanarella, L. Heavy metals in agricultural soils of the European Union with im-plications for food safety. Environ. Int. 2016, 88, 299–309. [Google Scholar] [CrossRef] [PubMed]
- Carvalho, F.P. Pesticides, environment, and food safety. Food Energy Secur. 2017, 6, 48–60. [Google Scholar] [CrossRef]
- Hernández-Rubio, J.; Pérez-Mesa, J.C.; Piedra-Muñoz, L.; Galdeano-Gómez, E. Determinants of Food Safety Level in Fruit and Vegetable Wholesalers’ Supply Chain: Evidence from Spain and France. Int. J. Environ. Res. Public Health 2018, 15, 2246. [Google Scholar] [CrossRef] [PubMed]
- Liao, C.; Luo, Y.; Zhu, W. Food Safety Trust, Risk Perception, and Consumers’ Response to Company Trust Repair Actions in Food Recall Crises. Int. J. Environ. Res. Public Health 2020, 17, 1270. [Google Scholar] [CrossRef] [PubMed]
- Pouliot, S.; Wang, H.H. Information, Incentives, and Government Intervention for Food Safety. Annu. Rev. Resour. Econ. 2018, 10, 83–103. [Google Scholar] [CrossRef]
- Ortega, D.L.; Wang, H.H.; Wu, L.; Olynk, N.J. Modeling heterogeneity in consumer preferences for select food safety attributes in China. Food Policy 2011, 36, 318–324. [Google Scholar] [CrossRef]
- Jia, C.; Jukes, D. The national food safety control system of China – A systematic review. Food Control. 2013, 32, 236–245. [Google Scholar] [CrossRef]
- Chu, M. The limits to the internationalisation of regulation: Divergent enforcement strategies in China’s food safety regulation. Policy Politics 2020. [Google Scholar] [CrossRef]
- Lesage, J.P.; Fischer, M.M. Spatial Growth Regressions: Model Specification, Estimation and Interpretation. Spat. Econ. Anal. 2008, 3, 275–304. [Google Scholar] [CrossRef]
- Zhang, H.; Jiang, Q.; Lv, J. Economic growth and food safety: FKC hypothesis test and policy implications. Econ. Res. J. 2019, 54, 180–194. [Google Scholar]
- Shi, B.; Shen, K. The government intervention, the economic agglomeration and the energy efficiency. Manag. World 2013, 10, 6–18. [Google Scholar]
- Huang, J.; Wu, J.; Tang, Y.; Hao, Y. The influences of openness on China’s industrial CO2 intensity. Environ. Sci. Pollut. Res. 2020, 27, 15743–15757. [Google Scholar] [CrossRef]
- Wang, X.; Fan, G.; Hu, L. Marketization Index of China’s Provinces: NERI Report 2018, 1st ed.; Social Sciences Academic Press: Beijing, China, 2019; pp. 216–223. [Google Scholar]
- Cheng, Z.; Li, L.; Liu, J. Industrial structure, technical progress and carbon intensity in China’s provinces. Renew. Sust. Energy Rev. 2018, 81, 2935–2946. [Google Scholar] [CrossRef]
- Yu, Y.; Wang, Z.; Liu, D.; Fu, L. Changes in officials, total factor productivity fluctuation and government transformation: Evidence from Chinese prefecture cities. Pac. Econ. Rev. 2019, 6, 1–17. [Google Scholar] [CrossRef]
- Fredriksson, P.G.; Millimet, D.L. Strategic Interaction and the Determination of Environmental Policy across U.S. States. J. Urban Econ. 2002, 51, 101–122. [Google Scholar] [CrossRef]
- Besco, L.; Kirk, E.A. Industry perceptions of government interventions: Generating an energy efficiency norm. J. Environ. Policy Plan. 2021, 23, 130–142. [Google Scholar] [CrossRef]
- Mensah, L.D.; Julien, D. Implementation of food safety management systems in the UK. Food Control. 2011, 22, 1216–1225. [Google Scholar] [CrossRef]
- Aritenang, A.F.; Chandramidi, A.N. The Impact of Special Economic Zones and Government Intervention on Firm Produc-tivity: The Case of Batam, Indonesia. Bull. Indones. Econ. Stud. 2020, 56, 225–249. [Google Scholar] [CrossRef]
- Tatlow-Golden, M.; Parker, D. The Devil is in the Detail: Challenging the UK Department of Health’s 2019 Impact Assessment of the Extent of Online Marketing of Unhealthy Foods to Children. Int. J. Environ. Res. Public Health 2020, 17, 7231. [Google Scholar] [CrossRef]
- Lv, Y.; Zafari, Z.; Jiao, B.; Chun, C.; Zhang, L.; Wang, Z.; Muennig, P.A. Should the Government Be Allowed to Take Control over Your Car as Part of a Disaster Management Plan? Int. J. Environ. Res. Public Health 2020, 17, 7780. [Google Scholar] [CrossRef] [PubMed]
- Wang, M.; Gilmour, S.; Tao, C.; Zhuang, K. Does Scale and Efficiency of Government Health Expenditure Promote Devel-opment of the Health Industry? Int. J. Environ. Res. Public Health 2020, 17, 5529. [Google Scholar] [CrossRef]
- Duan, T.; Jiang, H.; Deng, X.; Zhang, Q.; Wang, F. Government Intervention, Risk Perception, and the Adoption of Protective Action Recommendations: Evidence from the COVID-19 Prevention and Control Experience of China. Int. J. Environ. Res. Public Health 2020, 17, 3387. [Google Scholar] [CrossRef]
- Grand, J. The theory of government failure. Br. J. Polit. Sci. 1991, 21, 423–442. [Google Scholar] [CrossRef]
- Fike, R.; Gwartney, J. Public Choice, Market Failure, and Government Failure in Principles Textbooks. J. Econ. Educ. 2015, 46, 207–218. [Google Scholar] [CrossRef]
- Domitrovic, B. Does Government Intervention Retard or Foster Economic Growth? The Case of Postwar Prosperity. J. Policy Hist. 2017, 29, 289–304. [Google Scholar] [CrossRef]
- Keating, B.; Buchanan, J.M.; Tollison, R.D.; Tullock, G. Toward a Theory of the Rent-Seeking Society. South. Econ. J. 1982, 48, 823. [Google Scholar] [CrossRef]
- Sheng, J.; Qiu, W.; Han, X. China’s PES-like horizontal eco-compensation program: Combining market-oriented mechanisms and government interventions. Ecosyst. Serv. 2020, 45, 101164. [Google Scholar] [CrossRef]
- Li, J.; Shan, Y.; Tian, G.; Hao, X. Labor cost, government intervention, and corporate innovation: Evidence from China. J. Corp. Finance 2020, 64, 101668. [Google Scholar] [CrossRef]
- Deng, L.; Jiang, P.; Li, S.; Liao, M. Government intervention and firm investment. J. Corp. Finance 2017, 63, 101231. [Google Scholar] [CrossRef]
- Richards, T.J.; Acharya, N.R.N. Public Goods, Hysteresis, and Underinvestment in Food Safety. J. Agric. Resour. Econ. 2009, 34, 464–482. [Google Scholar]
- Da, C.F.T.; Menasche, R. Tradition and diversity jeopardised by food safety regulations? The Serrano Cheese case, Campos de Cima da Serra region, Brazil. Food Policy 2014, 45, 116–124. [Google Scholar]
- Wilson, N.L.; Worosz, M.R. Zero tolerance rules in food safety and quality. Food Policy 2014, 45, 112–115. [Google Scholar] [CrossRef]
- Matsuo, M.; Yoshikura, H. “Zero” in terms of food policy and risk perception. Food Policy 2014, 45, 132–137. [Google Scholar] [CrossRef]
- Tobler, W. On the First Law of Geography: A Reply. Ann. Assoc. Am. Geogr. 2004, 94, 304–310. [Google Scholar] [CrossRef]
- Shen, W.; Hu, Q.; Yu, X.; Imwa, B.T. Does Coastal Local Government Competition Increase Coastal Water Pollution? Evidence from China. Int. J. Environ. Res. Public Health 2020, 17, 6862. [Google Scholar] [CrossRef] [PubMed]
- De Krom, M.P. Understanding Consumer Rationalities: Consumer Involvement in European Food Safety Governance of Avian Influenza. Social. Rural. 2010, 49, 1–19. [Google Scholar] [CrossRef]




| Variable Type | Symbol | Variable Name | Definition | Reference |
|---|---|---|---|---|
| Dependent variable | FSP | Food safety performance | 1/number of food safety incidents | Zhang et al. [31] |
| Independent variable | Govern | Government intervention | General budget expenditure of local finance×(output value of national food industry/GDP)/regional GDP | Shi and Shen [32] |
| Control variable | Pergdp | Economic development level | Regional GDP/total population | Cheng et al., Wang et al., Yu et al., and Huang et al. [33,34,35,36] |
| Open | Openness degree | (The actual utilization of FDI in the region/regional GDP) × 100% | ||
| Market | Degree of marketization | Refer to the “general index of marketization” of each province, compiled by Wang et al. | ||
| Industry | Industrial structure | (Added value of secondary industry in the region/regional GDP) × 100% | ||
| Population | Population growth rate | [(Total population at the end of current year/total population at the end of last year) − 1] × 100% | ||
| Innovate | Technological innovation | (Number of regional patent applications authorized/total population) × 10,000 | ||
| Urbanization | Urbanization level | (Urban population/total population) × 100% | ||
| Education | Education level | (Number of primary school graduates × 6 + number of junior high school graduates × 9 + number of senior high school graduates × 12 + number of junior college or above graduates × 16)/total population |
| Variable Type | Symbol | Sample Size | Mean | Standard Deviation | Min | Max |
|---|---|---|---|---|---|---|
| Dependent variable | FSP | 330 | 0.2766 | 0.2797 | 0.0240 | 1.6393 |
| Independent variable | Govern | 330 | 0.2107 | 0.0825 | 0.0719 | 0.6357 |
| Control variable | Pergdp | 330 | 10.2740 | 0.6272 | 8.5277 | 11.5895 |
| Open | 330 | 0.0557 | 0.0737 | 0.0071 | 0.7503 | |
| Market | 330 | 1.9743 | 0.2580 | 1.1694 | 2.5424 | |
| Industry | 330 | 0.4760 | 0.0784 | 0.1974 | 0.6150 | |
| Population | 330 | 5.2561 | 2.6170 | −0.6000 | 11.7800 | |
| Innovate | 330 | 1.5594 | 0.9506 | 0.2554 | 4.2080 | |
| Urbanization | 330 | 0.5174 | 0.1413 | 0.2687 | 0.8960 | |
| Education | 330 | 2.2595 | 0.0999 | 1.9985 | 2.5762 |
| Year | Ad-Weight | Geo-Weight | ||
|---|---|---|---|---|
| Moran’s I Index | p-Value | Moran’s I Index | p-Value | |
| 2005 | 0.178 | 0.000 | 0.189 | 0.000 |
| 2006 | 0.174 | 0.000 | 0.157 | 0.000 |
| 2007 | 0.289 | 0.001 | 0.098 | 0.002 |
| 2008 | 0.245 | 0.006 | 0.047 | 0.005 |
| 2009 | 0.269 | 0.005 | 0.046 | 0.007 |
| 2010 | 0.278 | 0.000 | 0.125 | 0.004 |
| 2011 | 0.314 | 0.000 | 0.137 | 0.014 |
| 2012 | 0.201 | 0.017 | 0.159 | 0.048 |
| 2013 | 0.218 | 0.008 | 0.182 | 0.030 |
| 2014 | 0.282 | 0.002 | 0.186 | 0.013 |
| 2015 | 0.303 | 0.001 | 0.222 | 0.019 |
| Variable | FSP | FSP | FSP | FSP | FSP |
|---|---|---|---|---|---|
| (1) | (2) | (3) | (4) | (5) | |
| Govern | −1.389 *** | −1.193 *** | −1.171 *** | −1.039 *** | −0.951 *** |
| (0.428) | (0.416) | (0.256) | (0.298) | (0.215) | |
| Pergdp | 0.282 *** | 0.272 *** | 0.286 *** | 0.278 ** | |
| (0.079) | (0.102) | (0.105) | (0.124) | ||
| Open | −0.111 *** | −0.105 *** | −0.050 ** | −0.039 * | |
| (0.034) | (0.020) | (0.024) | (0.021) | ||
| Market | 0.075 *** | 0.194 ** | 0.199 ** | ||
| (0.017) | (0.091) | (0.081) | |||
| Industry | −0.010 | −0.071 | −0.056 | ||
| (0.306) | (0.304) | (0.303) | |||
| Population | −0.021 * | −0.018 ** | |||
| (0.012) | (0.007) | ||||
| Innovation | 0.116 *** | 0.134 *** | |||
| (0.043) | (0.046) | ||||
| Urbanization | 0.482 | ||||
| (0.607) | |||||
| Education | 0.935 ** | ||||
| (0.443) | |||||
| Regional fixed effect | yes | yes | yes | yes | yes |
| Year fixed effect | yes | yes | yes | yes | yes |
| _cons | 0.961 *** | 3.613 *** | 3.690 *** | 3.851 *** | 5.590 *** |
| (0.051) | (0.743) | (0.891) | (0.946) | (1.252) | |
| observations | 330 | 330 | 330 | 330 | 330 |
| Adj | 0.663 | 0.676 | 0.674 | 0.686 | 0.689 |
| Variable | Ad-Weight | Geo-Weight | ||
|---|---|---|---|---|
| FE | SE | FE | SE | |
| (1) | (2) | (3) | (4) | |
| Govern | −0.615 *** | −0.747 ** | −1.238 *** | −1.190 *** |
| (0.158) | (0.326) | (0.314) | (0.282) | |
| Pergdp | 0.383 *** | 0.400 *** | 0.306 ** | 0.297 *** |
| (0.122) | (0.112) | (0.122) | (0.107) | |
| Open | −0.080 | −0.099 | 0.120 *** | −0.085 *** |
| (0.136) | (0.148) | (0.036) | (0.021) | |
| Market | 0.299 ** | 0.293 ** | 0.331 ** | 0.368 *** |
| (0.127) | (0.130) | (0.129) | (0.133) | |
| Industry | 0.102 | 0.086 | −0.008 | −0.032 |
| (0.281) | (0.222) | (0.323) | (0.237) | |
| Population | 0.004 | 0.013 | 0.078 ** | 0.025 *** |
| (0.013) | (0.011) | (0.036) | (0.010) | |
| Innovation | 0.126 *** | 0.068 * | 0.126 *** | 0.104 *** |
| (0.042) | (0.040) | (0.044) | (0.040) | |
| Urbanization | 0.561 ** | 1.193 *** | 0.544 | 0.681 |
| (0.243) | (0.406) | (0.650) | (0.428) | |
| Education | 0.926 ** | 0.742** | 0.838 * | 0.844 ** |
| (0.396) | (0.351) | (0.433) | (0.371) | |
| W × Govern | −0.822 ** | −0.676 ** | −7.723 *** | −1.257 *** |
| (0.326) | (0.312) | (2.816) | (0.348) | |
| W × Pergdp | 0.642 *** | 0.257 * | 1.308 | 0.227 |
| (0.232) | (0.156) | (0.853) | (0.270) | |
| W × Open | 1.245 | −1.747 | −3.529 | −3.141 |
| (1.591) | (1.213) | (4.010) | (2.166) | |
| W × Market | 0.381 *** | 0.494 *** | 2.345 ** | 0.438 ** |
| (0.089) | (0.159) | (1.118) | (0.180) | |
| W × Industry | −0.927 | −0.664 | −2.146 | −0.698 |
| (0.615) | (0.436) | (2.425) | (1.064) | |
| W × Population | −0.048 * | −0.009 * | −0.165 ** | −0.044 * |
| (0.025) | (0.004) | (0.073) | (0.023) | |
| W × Innovation | 0.030 | −0.061 | −0.173 | 0.031 |
| (0.084) | (0.061) | (0.372) | (0.173) | |
| W × Urbanization | −1.009 | −0.908 | 2.298 | −1.790 |
| (1.399) | (0.812) | (4.118) | (1.573) | |
| W × Education | 0.802 ** | 0.992 ** | 0.175 *** | 1.310 ** |
| (0.339) | (0.481) | (0.035) | (0.666) | |
| 0.260 *** | 0.639 *** | 0.265 *** | 0.703 *** | |
| (0.070) | (0.044) | (0.083) | (0.069) | |
| Log−likelihood | 275.926 | 171.307 | 269.717 | 177.948 |
| LR_spatial_lag | 12.932 ** | 33.082 *** | 18.415 ** | 31.552 *** |
| LR_spatial_error | 15.319 *** | 23.366 *** | 19.751 *** | 20.70 * |
| AIC | −457.853 | −244.614 | −445.436 | −257.897 |
| Hausman_test | 118.974 *** | 406.425 *** | ||
| Observations | 330 | 330 | 330 | 330 |
| R2 | 0.090 | 0.289 | 0.335 | 0.418 |
| Variable | Ad-Weight | Geo-Weight | ||||
|---|---|---|---|---|---|---|
| Direct | Indirect | Total | Direct | Indirect | Total | |
| (1) | (2) | (3) | (4) | (5) | (6) | |
| Govern | −0.874 ** | −0.306 ** | −0.949 *** | −1.125 *** | −8.196 ** | −11.305 *** |
| (0.361) | (0.142) | (0.154) | (0.381) | (3.794) | (2.986) | |
| Pergdp | 0.402 *** | 0.018 ** | 0.384 ** | 0.305 ** | 1.405 | 1.100 ** |
| (0.103) | (0.008) | (0.174) | (0.109) | (1.000) | (0.451) | |
| Open | −0.489 | −4.648 | −5.137 | 0.154 *** | −4.133 | −4.288 *** |
| (0.407) | (3.111) | (3.364) | (0.053) | (3.387) | (0.855) | |
| Market | 0.224 * | 0.788 *** | 0.564 * | 0.343 *** | 2.697 * | 3.040 ** |
| (0.120) | (0.290) | (0.292) | (0.130) | (1.430) | (1.482) | |
| Industry | −0.048 | −1.620 | −1.669 | −0.006 | −2.179 | −2.185 |
| (0.244) | (1.138) | (1.281) | (0.314) | (2.802) | (2.970) | |
| Population | 0.018 | −0.043 ** | −0.061 ** | 0.010 * | −0.184 * | −0.194 ** |
| (0.011) | (0.020) | (0.025) | (0.005) | (0.094) | (0.095) | |
| Innovation | 0.065 ** | −0.040 | 0.025 * | 0.126 *** | −0.156 | 0.031 *** |
| (0.029) | (0.145) | (0.014) | (0.048) | (0.447) | (0.009) | |
| Urbanization | 1.147 *** | −0.526 | 0.621 *** | 0.544 ** | 2.862 | 3.407 ** |
| (0.424) | (2.021) | (0.145) | (0.248) | (4.811) | (1.341) | |
| Education | 0.598 * | 1.254 ** | 1.655 * | 0.802 * | 0.650 ** | 1.452 ** |
| (0.359) | (0.501) | (0.354) | (0.440) | (0.270) | (0.610) | |
| Observations | 330 | 330 | 330 | 330 | 330 | 330 |
| Variable | Weighting Scheme | |||||
|---|---|---|---|---|---|---|
| Ad-Weight | Geo-Weight | Ad-Weight | Geo-Weight | Eco-Weight | ||
| (1) | (2) | (3) | (4) | (5) | (6) | |
| L.FSP | 0.264 *** | |||||
| (0.046) | ||||||
| Govern | −2.415 *** | −0.916 *** | ||||
| (0.524) | (0.194) | |||||
| Govern2 | −0.112 *** | −0.327 *** | ||||
| (0.041) | (0.090) | |||||
| Govern3 | −2.012 *** | −1.004 ** | ||||
| (0.519) | (0.409) | |||||
| Pergdp | 0.217 | 0.058 | 0.047 | 0.098 | 0.313 *** | 0.007 |
| (0.133) | (0.128) | (0.076) | (0.128) | (0.115) | (0.142) | |
| Open | −0.090 *** | −0.234 * | −0.329 ** | 0.120 | −0.002 | −0.153 |
| (0.025) | (0.138) | (0.132) | (0.139) | (0.141) | (0.094) | |
| Market | 0.030 | 0.062 | 0.068 | 0.027 | −0.151 | 0.093 |
| (0.117) | (0.118) | (0.108) | (0.128) | (0.128) | (0.197) | |
| Industry | 0.061 | −0.213 | 0.554 *** | −0.163 | 0.053 | −0.098 |
| (0.298) | (0.353) | (0.186) | (0.360) | (0.285) | (0.396) | |
| Population | −0.024 * | −0.014 | −0.006 | −0.011 | 0.015 | −0.020 |
| (0.013) | (0.013) | (0.007) | (0.013) | (0.012) | (0.013) | |
| Innovation | 0.013 | 0.003 | 0.049* | 0.013 *** | 0.090 ** | 0.100 ** |
| (0.047) | (0.053) | (0.029) | (0.003) | (0.043) | (0.043) | |
| Urbanization | 0.600 | 0.120 | 0.133 | 0.330 | 0.871 | 0.289 |
| (0.626) | (0.664) | (0.267) | (0.672) | (0.602) | (0.828) | |
| Education | 0.148 *** | 0.195 *** | 0.207 | 0.289 | 0.374 | 0.650 * |
| (0.044) | (0.030) | (0.255) | (0.433) | (0.427) | (0.392) | |
| W × Govern | −1.066 *** | |||||
| (0.321) | ||||||
| W × Govern2 | −0.223 ** | −2.950 ** | ||||
| (0.092) | (1.392) | |||||
| W × Govern3 | −1.063 ** | −9.282 *** | ||||
| (0.508) | (1.774) | |||||
| W × Pergdp | 0.692 *** | 1.444 | −0.032 | 0.928 | 0.472 | |
| (0.262) | (0.892) | (0.136) | (0.841) | (0.306) | ||
| W × Open | −0.181 | 1.708 | −1.504 | 0.279 | −1.161 ** | |
| (1.598) | (2.079) | (1.029) | (1.967) | (0.487) | ||
| W × Market | 0.015 | −0.322 | 0.255 * | −1.247 | 0.179 | |
| (0.232) | (1.074) | (0.132) | (1.145) | (0.338) | ||
| W × Industry | −1.595 ** | −5.822 ** | −0.478 | −4.862 * | 2.570 *** | |
| (0.672) | (2.608) | (0.396) | (2.635) | (0.886) | ||
| W × Population | −0.049 ** | −0.105 | −0.096 *** | −0.089 | 0.083 ** | |
| (0.025) | (0.079) | (0.029) | (0.078) | (0.036) | ||
| W × Innovation | 0.043 *** | 0.260 *** | 0.098 *** | 0.371 *** | −0.180 | |
| (0.007) | (0.077) | (0.023) | (0.086) | (0.148) | ||
| W × Urbanization | −1.746 | −1.685 | 0.195 | 0.398 | −0.177 | |
| (1.558) | (4.366) | (0.588) | (4.370) | (1.843) | ||
| W × Education | 1.115 | 3.188 | 0.462 | 3.374 | −0.073 | |
| (0.943) | (3.489) | (0.407) | (3.469) | (1.019) | ||
| 0.205 ** | 0.013 *** | 0.556 *** | 0.712 ** | 0.456 *** | ||
| (0.080) | (0.005) | (0.057) | (0.320) | (0.058) | ||
| Log-likelihood | 271.727 | 266.937 | 196.681 | 267.287 | 270.448 | |
| AIC | −449.455 | −439.875 | −295.363 | −440.575 | −446.896 | |
| Regional fixed effect | yes | yes | yes | yes | yes | yes |
| Year fixed effect | yes | yes | yes | yes | yes | yes |
| AR(2) | 0.780 | |||||
| Sargan test | 1.000 | |||||
| Observations | 330 | 330 | 330 | 330 | 330 | 270 |
| Variable | Weighting Scheme | |||||
|---|---|---|---|---|---|---|
| Ad-Weight | Geo-Weight | Eco-Weight | ||||
| (1) | (2) | (3) | (4) | (5) | (6) | |
| L.FSP | 0.213 *** | 0.193 *** | 0.242 *** | 0.220 *** | 0.254 *** | 0.226 *** |
| (0.064) | (0.050) | (0.068) | (0.050) | (0.065) | (0.049) | |
| Race_bottom | 50.982 ** | 53.080 ** | 103.335 | 96.547 | 40.714 ** | 39.924 * |
| (22.778) | (24.342) | (72.648) | (65.187) | (19.988) | (21.236) | |
| Race_top | 70.530 *** | 70.437 *** | 136.947 * | 128.917 * | 12.707 *** | 13.050 *** |
| (18.186) | (19.471) | (70.677) | (72.416) | (3.529) | (3.085) | |
| Govern | −1.027 *** | −0.927 *** | −1.210 *** | −1.012 *** | −1.611 *** | −1.471 *** |
| (0.328) | (0.307) | (0.286) | (0.246) | (0.212) | (0.233) | |
| Pergdp | 0.035 | 0.020 | 0.035 | |||
| (0.117) | (0.121) | (0.143) | ||||
| Open | −0.134 * | −0.182 * | −0.206 ** | |||
| (0.080) | (0.095) | (0.102) | ||||
| Market | 0.085 *** | 0.094 *** | 0.112 *** | |||
| (0.029) | (0.035) | (0.038) | ||||
| Industry | −0.123 | −0.139 | −0.354 | |||
| (0.340) | (0.340) | (0.372) | ||||
| Population | −0.072 *** | −0.088 *** | −0.011 | |||
| (0.026) | (0.030) | (0.011) | ||||
| Innovation | 0.051 | 0.079 *** | 0.079 *** | |||
| (0.046) | (0.027) | (0.024) | ||||
| Urbanization | 0.046 | −0.122 | −0.031 | |||
| (0.765) | (0.789) | (0.819) | ||||
| Education | 0.358 | 0.480 *** | 0.625 | |||
| (0.450) | (0.144) | (0.386) | ||||
| Regional fixed effect | yes | yes | yes | yes | yes | yes |
| Year fixed effect | yes | yes | yes | yes | yes | yes |
| AR(2) | 0.540 | 0.893 | 0.439 | 0.198 | 0.980 | 0.761 |
| Sargan test | 0.588 | 1.000 | 0.368 | 0.720 | 0.811 | 0.470 |
| Observations | 270 | 270 | 270 | 270 | 270 | 270 |
Publisher’s Note: MDPI stays neutral with regard to jurisdictional claims in published maps and institutional affiliations. |
© 2021 by the authors. Licensee MDPI, Basel, Switzerland. This article is an open access article distributed under the terms and conditions of the Creative Commons Attribution (CC BY) license (https://creativecommons.org/licenses/by/4.0/).
Share and Cite
Zhang, H.; Sun, C.; Huang, L.; Si, H. Does Government Intervention Ensure Food Safety? Evidence from China. Int. J. Environ. Res. Public Health 2021, 18, 3645. https://doi.org/10.3390/ijerph18073645
Zhang H, Sun C, Huang L, Si H. Does Government Intervention Ensure Food Safety? Evidence from China. International Journal of Environmental Research and Public Health. 2021; 18(7):3645. https://doi.org/10.3390/ijerph18073645
Chicago/Turabian StyleZhang, Hongfeng, Chengyun Sun, Lu Huang, and Hongyun Si. 2021. "Does Government Intervention Ensure Food Safety? Evidence from China" International Journal of Environmental Research and Public Health 18, no. 7: 3645. https://doi.org/10.3390/ijerph18073645
APA StyleZhang, H., Sun, C., Huang, L., & Si, H. (2021). Does Government Intervention Ensure Food Safety? Evidence from China. International Journal of Environmental Research and Public Health, 18(7), 3645. https://doi.org/10.3390/ijerph18073645

