Influence of Cooperative Learning Intervention on the Intrinsic Motivation of Physical Education Students—A Meta-Analysis within a Limited Range
Abstract
1. Introduction
2. Materials and Methods
2.1. Literature Retrieval and Selection
2.2. Literature Screening and Collection
2.3. Analysis of Comprehensive Effect
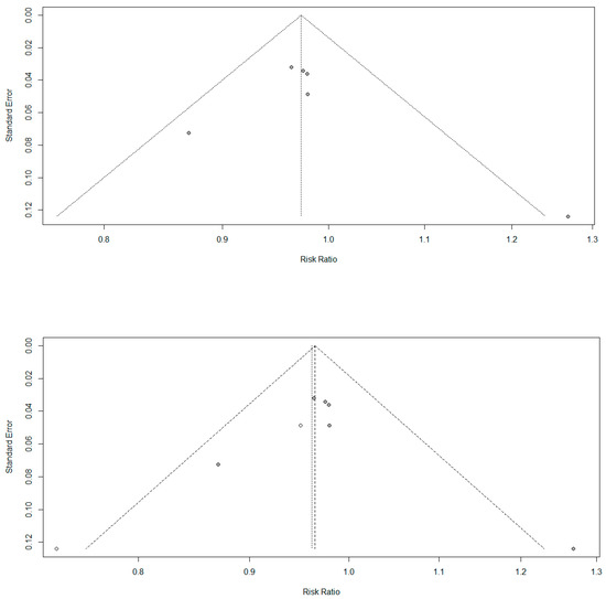
2.4. Bias Analysis
2.5. Regression Analysis
3. Results
3.1. Results of Literature Screening
3.2. Literature Comprehensive Effect
3.3. Results of Bias Analysis
3.4. Results of Random Effect Analysis
3.5. Results of Regression Analysis
4. Discussion
5. Conclusions
Author Contributions
Funding
Institutional Review Board Statement
Informed Consent Statement
Data Availability Statement
Conflicts of Interest
References
- Pedersen, M.T.; Vorup, J.; Nistrup, A.; Wikman, J.M.; Alstrøm, J.M.; Melcher, P.; Pfister, G.U.; Bangsbo, J. Effect of team sports and resistance training on physical function, quality of life, and motivation in older adults. Scand. J. Med. Sci. Sports 2017, 27, 852–864. [Google Scholar] [CrossRef]
- Mackenzie, S.H.; Son, J.S.; Eitel, K. Using outdoor adventure to enhance intrinsic motivation and engagement in science and physical activity: An exploratory study. J. Outdoor Recreat. Tour. 2018, 21, 76–86. [Google Scholar] [CrossRef]
- Kalajas-Tilga, H.; Koka, A.; Hein, V.; Tilga, H.; Raudsepp, L. Motivational processes in physical education and objectively measured physical activity among adolescents. J. Sport Health Sci. 2020, 9, 462–471. [Google Scholar] [CrossRef]
- Clancy, R.B.; Herring, M.P.; Campbell, M.J. Motivation measures in sport: A critical review and bibliometric analysis. Front. Psychol. 2017, 8, 348–356. [Google Scholar] [CrossRef]
- Uspuriene, B.; Sniras, S. Effect of sports training programme on juvenile sports dancers motivation. Pedagog. Phys. Cult. Sports 2018, 3, 163–169. [Google Scholar] [CrossRef]
- Fletcher, J. Applying self-determination theory to college students’ physical-activity behavior: Understanding the motivators for physical (in) activity. Commun. Stud. 2016, 67, 489–508. [Google Scholar] [CrossRef]
- Hassandra, M.; Goudas, M.; Chroni, S. Examining factors associated with intrinsic motivation in physical education: A qualitative approach. Psychol. Sport Exerc. 2003, 4, 211–223. [Google Scholar] [CrossRef]
- Ferrer-Caja, E.; Weiss, M.R. Predictors of intrinsic motivation among adolescent students in physical education. Res. Q. Exerc. Sport 2000, 71, 267–279. [Google Scholar] [CrossRef] [PubMed]
- Ntoumanis, N. A self-determination approach to the understanding of motivation in physical education. Br. J. Educ. Psychol. 2001, 71, 225–242. [Google Scholar] [CrossRef]
- Goudas, M.; Dermitzaki, I.; Bagiatis, K. Predictors of students’ intrinsic motivation in school physical education. Eur. J. Psychol. Educ. 2000, 15, 271–281. [Google Scholar] [CrossRef]
- Koka, A.; Hein, V. The effect of perceived teacher feedback on intrinsic motivation in physical education. Int. J. Sport Psychol. 2005, 36, 91–102. [Google Scholar]
- Johnson, D.W.; Johnson, R.T. Cooperative learning. Encycl. Peace Psychol. 2011. [Google Scholar] [CrossRef]
- Slavin, R.E. Cooperative Learning. Learning and Cognition in Education; Elsevier Academic Press: Boston, MA, USA, 2011. [Google Scholar]
- Dyson, B. Cooperative learning in an elementary physical education program. J. Teach. Phys. Educ. 2001, 20, 264–281. [Google Scholar] [CrossRef]
- Casey, A.; Goodyear, V.A. Can cooperative learning achieve the four learning outcomes of physical education? A review of literature. Quest 2015, 67, 56–72. [Google Scholar] [CrossRef]
- Dyson, B.P.; Linehan, N.R.; Hastie, P.A. The ecology of cooperative learning in elementary physical education classes. J. Teach. Phys. Educ. 2010, 29, 113–130. [Google Scholar] [CrossRef]
- Ehsan, N.; Vida, S.; Mehdi, N. The impact of cooperative learning on developing speaking ability and motivation toward learning English. J. Lang. Educ. 2019, 5, 5–12. [Google Scholar]
- Gillies, R.M. Cooperative learning: Review of research and practice. Aust. J. Teach. Educ. 2016, 41, 3–14. [Google Scholar] [CrossRef]
- Legrain, P.; Escalié, G.; Lafont, L.; Chaliès, S. Cooperative learning: A relevant instructional model for physical education pre-service teacher training? Phys. Educ. Sport Pedagog. 2019, 24, 73–86. [Google Scholar] [CrossRef]
- Yang, K.; Meho, L.I. Citation analysis: A comparison of Google Scholar, Scopus, and Web of Science. Proc. Am. Soc. Inf. Sci. Technol. 2006, 43, 1–15. [Google Scholar] [CrossRef]
- Kyndt, E.; Raes, E.; Lismont, B.; Timmers, F.; Cascallar, E.; Dochy, F. A meta-analysis of the effects of face-to-face cooperative learning. Do recent studies falsify or verify earlier findings? Educ. Res. Rev. 2013, 10, 133–149. [Google Scholar] [CrossRef]
- Moher, D.; Altman, D.G.; Liberati, A.; Tetzlaff, J. PRISMA statement. Epidemiology 2011, 22, 128–132. [Google Scholar] [CrossRef]
- Standage, M.; Duda, J.L.; Ntoumanis, N. A model of contextual motivation in physical education: Using constructs from self-determination and achievement goal theories to predict physical activity intentions. J. Educ. Psychol. 2003, 95, 97–103. [Google Scholar] [CrossRef]
- Keating, X.D.; Silverman, S.; Kulinna, P.H. Preservice physical education teacher attitudes toward fitness tests and the factors influencing their attitudes. J. Teach. Phys. Educ. 2002, 21, 193–207. [Google Scholar] [CrossRef][Green Version]
- Cloes, M. Research on the students’ motivation in physical education. In The Art and Science of Teaching in Physical Education and Sport; da Costa, F.C., Cloes, M., Valeiro, M.G., Eds.; Universidade Técnica de Lisboa, Facultade de Motricidade Humana: Lisboa, Portugal, 2005; pp. 197–210. [Google Scholar]
- Balduzzi, S.; Rücker, G.; Schwarzer, G. How to perform a meta-analysis with R: A practical tutorial. Evid.-Based Ment. Health 2019, 22, 153–160. [Google Scholar] [CrossRef] [PubMed]
- Hassan, H.; Rompola, M.; Glaser, A.; Kinsey, S.E.; Phillips, R. Systematic review and meta-analysis investigating the efficacy and safety of probiotics in people with cancer. Supportive Care Cancer 2018, 26, 2503–2509. [Google Scholar] [CrossRef] [PubMed]
- Murcia, J.A.M.; Coll, D.G.-C.; Garzón, M.C. Preliminary validation in Spanish of a scale designed to measure motivation in physical education classes: The Perceived Locus of Causality (PLOC) Scale. Span. J. Psychol. 2009, 12, 327–337. [Google Scholar] [CrossRef]
- Vlachopoulos, S.P.; Katartzi, E.S.; Kontou, M.G.; Moustaka, F.C.; Goudas, M. The revised perceived locus of causality in physical education scale: Psychometric evaluation among youth. Psychol. Sport Exerc. 2011, 12, 583–592. [Google Scholar] [CrossRef]
- Vallerand, R.J.; Ratelle, C.F. Intrinsic and extrinsic motivation: A hierarchical model. In Handbook of Self-Determination Research; Deci, E.L., Ryan, R.M., Eds.; University of Rochester Press: Rochester, NY, USA, 2002; pp. 37–63. [Google Scholar]
- Keller, J.; Bless, H. Flow and regulatory compatibility: An experimental approach to the flow model of intrinsic motivation. Personal. Soc. Psychol. Bull. 2008, 34, 196–209. [Google Scholar] [CrossRef] [PubMed]
- Wu, C.-H. An empirical study on the transformation of Likert-scale data to numerical scores. Appl. Math. Sci. 2007, 1, 2851–2862. [Google Scholar]
- Leshem, O.A.; Nooraddini, I.; Witte, J.C. Surveying Societies Mired in Conflict: Evidence of Social Desirability Bias in Palestine. Int. J. Public Opin. Res. 2020, 32, 132–142. [Google Scholar] [CrossRef]
- Hinüber, E.L.V.; Reimer, C.; Schneider, T.; Stock, M. INS/GNSS integration for aerobatic flight applications and aircraft motion surveying. Sensors 2017, 17, 941. [Google Scholar] [CrossRef]
- Morgan, R.L.; Thayer, K.A.; Santesso, N.; Holloway, A.C.; Blain, R.; Eftim, S.E.; Goldstone, A.E.; Ross, P.; Ansari, M.; Akl, E.A. A risk of bias instrument for non-randomized studies of exposures: A users’ guide to its application in the context of GRADE. Environ. Int. 2019, 122, 168–184. [Google Scholar] [CrossRef] [PubMed]
- Levine, H.; Jørgensen, N.; Martino-Andrade, A.; Mendiola, J.; Weksler-Derri, D.; Mindlis, I.; Pinotti, R.; Swan, S.H. Temporal trends in sperm count: A systematic review and meta-regression analysis. Hum. Reprod. Update 2017, 23, 646–659. [Google Scholar] [CrossRef] [PubMed]
- Gordon, B.R.; McDowell, C.P.; Hallgren, M.; Meyer, J.D.; Lyons, M.; Herring, M.P. Association of efficacy of resistance exercise training with depressive symptoms: Meta-analysis and meta-regression analysis of randomized clinical trials. JAMA Psychiatry 2018, 75, 566–576. [Google Scholar] [CrossRef] [PubMed]
- Fazel, S.; Yoon, I.A.; Hayes, A.J. Substance use disorders in prisoners: An updated systematic review and meta-regression analysis in recently incarcerated men and women. Addiction 2017, 112, 1725–1739. [Google Scholar] [CrossRef]
- Bussmann, J.D.; Gala, L.; Bartelmann, A.C. MathSciNet: A comparative analysis of American Mathematical Society and EBSCO platforms. J. Electron. Resour. Librariansh. 2019, 31, 1–13. [Google Scholar] [CrossRef]
- Ortiz-Martínez, V.M.; Andreo-Martinez, P.; Garcia-Martinez, N.; de los Ríos, A.P.; Hernández-Fernández, F.J.; Quesada-Medina, J. Approach to biodiesel production from microalgae under supercritical conditions by the PRISMA method. Fuel Process. Technol. 2019, 191, 211–222. [Google Scholar] [CrossRef]
- Moher, D.; Liberati, A.; Tetzlaff, J.; Altman, D.G.; Group, P. Reprint—preferred reporting items for systematic reviews and meta-analyses: The PRISMA statement. Phys. Ther. 2009, 89, 873–880. [Google Scholar] [CrossRef]
- Kim, Y.; Park, I.; Kang, M. Convergent validity of the international physical activity questionnaire (IPAQ): Meta-analysis. Public Health Nutr. 2013, 16, 440–452. [Google Scholar] [CrossRef] [PubMed]
- Fernández Argüelles, D.; González González-Mesa, C. Educación Física y Aprendizaje Cooperativo: Una experiencia práctica. J. Sport Health Res. 2018, 10, 241–253. [Google Scholar]
- Cecchini Estrada, J.A.; González González-Mesa, C.; Llamedo, R.; Sánchez Martínez, B.; Rodríguez Pérez, C. The impact of cooperative learning on peer relationships, intrinsic motivation and future intentions to do sport. Psicothema 2019, 31, 163–169. [Google Scholar]
- Borenstein, M.; Hedges, L.V.; Higgins, J.P.; Rothstein, H.R. A basic introduction to fixed-effect and random-effects models for meta-analysis. Res. Synth. Methods 2010, 1, 97–111. [Google Scholar] [CrossRef] [PubMed]
- Ganger, M.T.; Dietz, G.D.; Headley, P.; Ewing, S.J. Application of the common base method to regression and analysis of covariance (ANCOVA) in qPCR experiments and subsequent relative expression calculation. BMC Bioinform. 2020, 21, 1–27. [Google Scholar] [CrossRef]
- Adams, N.; Little, T.D.; Ryan, R.M. Self-determination theory. In Development of Self-Determination through the Life-Course; Wehmeyer, M.L., Shogren, K.A., Little, T.D., Lopez, S.J., Eds.; Springer Science and Business Media: Dordrecht, The Nederlands, 2017; pp. 47–54. [Google Scholar]
- Xie, X.; Wang, Y.; Wang, P.; Zhao, F.; Lei, L. Basic psychological needs satisfaction and fear of missing out: Friend support moderated the mediating effect of individual relative deprivation. Psychiatry Res. 2018, 268, 223–228. [Google Scholar] [CrossRef] [PubMed]
- Hale, A.J.; Ricotta, D.N.; Freed, J.; Smith, C.C.; Huang, G.C. Adapting Maslow’s hierarchy of needs as a framework for resident wellness. Teach. Learn. Med. 2019, 31, 109–118. [Google Scholar] [CrossRef]
- Lebrero-Casanova, I.; Almagro, B.J.; Sáenz-López, P. Participatory teaching styles in Physical Education classes and their influence on different psychological aspects. Espiral. Cuadernos del Profesorado 2019, 12, 30–39. [Google Scholar] [CrossRef]
- Fernandez-Rio, J.; Sanz, N.; Fernandez-Cando, J.; Santos, L. Impact of a sustained cooperative learning intervention on student motivation. Phys. Educ. Sport Pedagog. 2017, 22, 89–105. [Google Scholar] [CrossRef]
- Martens, R.; Gulikers, J.; Bastiaens, T. The impact of intrinsic motivation on e-learning in authentic computer tasks. J. Comput. Assist. Learn. 2004, 20, 368–376. [Google Scholar] [CrossRef]
- DePasque, S.; Tricomi, E. Effects of intrinsic motivation on feedback processing during learning. NeuroImage 2015, 119, 175–186. [Google Scholar] [CrossRef]
- Navarro-Patón, R.; Basanta-Camiño, S.; Gómez, C.A. Cooperative games: Incidence in motivation, basic psychological needs and enjoyment in Primary School. Sport. Sci. Tech. J. Sch. Sport Phys. Educ. Psychomot. 2017, 3, 589–604. [Google Scholar]
- Morris, T.; Roychowdhury, D. Physical activity for health and wellbeing: The role of motives for participation. Health Psychol. Rep. 2020, 84, 391–407. [Google Scholar] [CrossRef]
- Cornelius, C.; Fedewa, A.; Toland, M. A classroom-based physical activity intervention for adolescents: Is there an effect on self-efficacy, physical activity, and on-task behavior? Health Psychol. Rep. 2020, 8, 408–427. [Google Scholar] [CrossRef]
- Streno, M.; Poczwardowski, A.; Welton-Mitchell, C.; Moody, E. International student-athlete transition into collegiate sport in the United States. Health Psychol. Rep. 2020, 8, 38–46. [Google Scholar] [CrossRef]
- Jochimek, M.; Łada, A. Help or hindrance: The relationship of physical activity with aggressiveness and self-esteem in 16-year-old adolescents. Health Psychol. Rep. 2019, 7, 242–253. [Google Scholar] [CrossRef]
- Byrka, K.; Luszczynska, A.; Abraham, C. Can regret prompt compensatory health behaviors? Findings from a clustered randomized trial with physically active adults. Health Psychol. Rep. 2018, 6, 285–295. [Google Scholar] [CrossRef]
- Deng, X.; Guo, X.; Wu, Y.; Chen, M. Perceived Environmental Dynamism Promotes Entrepreneurial Team Member’s Innovation: Explanations Based on the Uncertainty Reduction Theory. Int. J. Environ. Res. Public Health 2021, 18, 2033. [Google Scholar] [CrossRef]
- Feng, B.; Chen, M. The Impact of Entrepreneurial Passion on Psychology and Behavior of Entrepreneurs. Front. Psychol. 2020, 11, 1733. [Google Scholar] [CrossRef]
- Chen, M.; Shen, C. The correlation analysis between the service quality of intelligent library and the behavioral intention of users. Electron. Libr. 2019, 38, 95–112. [Google Scholar] [CrossRef]
- Feng, B.; Sun, K.; Chen, M.; Gao, T. The Impact of Core Technological Capabilities of High-Tech Industry on Sustainable Competitive Advantage. Sustainability 2020, 12, 2980. [Google Scholar] [CrossRef]





| First Author | Year | Number of Samples | Academic Stage | Distribution Principle | Intervention Group | Control Group | Generation | Processing Time |
|---|---|---|---|---|---|---|---|---|
| Fernandez, R. J. | 2017 | 217 | High school | Randomly assigned | 104 | 113 | 12-17 | 8–12 h |
| Fernandez, R. J. | 2017 | 249 | High school | Randomly assigned | 112 | 137 | 13-16 | 8 h |
| Navarro, P. | 2017 | 104 | Primary school | fixed allocation | 50 | 54 | 10-12 | 8 h |
| Fernández, A. D., and González, G. M. | 2018 | 47 | Primary school | fixed allocation | 31 | 16 | 10-12 | 9 h |
| Iván, L. C. | 2019 | 61 | High school | Randomly assigned | 29 | 32 | 13-17 | 17 h |
| Cecchini Estrada, J. A. | 2019 | 372 | High school | Fixed allocation | 190 | 182 | 12-17 | 6 months |
| Database | Search Method-1 | Search Method-2 | Search Method-3 | Total |
|---|---|---|---|---|
| Web of Science | 9 | 4 | 9 | 22 |
| Scopus | 2 | 10 | 4 | 16 |
| EBSCO | 40 | 18 | 40 | 98 |
| Total | 51 | 32 | 53 | 136 |
Publisher’s Note: MDPI stays neutral with regard to jurisdictional claims in published maps and institutional affiliations. |
© 2021 by the authors. Licensee MDPI, Basel, Switzerland. This article is an open access article distributed under the terms and conditions of the Creative Commons Attribution (CC BY) license (http://creativecommons.org/licenses/by/4.0/).
Share and Cite
Liu, T.; Lipowski, M. Influence of Cooperative Learning Intervention on the Intrinsic Motivation of Physical Education Students—A Meta-Analysis within a Limited Range. Int. J. Environ. Res. Public Health 2021, 18, 2989. https://doi.org/10.3390/ijerph18062989
Liu T, Lipowski M. Influence of Cooperative Learning Intervention on the Intrinsic Motivation of Physical Education Students—A Meta-Analysis within a Limited Range. International Journal of Environmental Research and Public Health. 2021; 18(6):2989. https://doi.org/10.3390/ijerph18062989
Chicago/Turabian StyleLiu, Taofeng, and Mariusz Lipowski. 2021. "Influence of Cooperative Learning Intervention on the Intrinsic Motivation of Physical Education Students—A Meta-Analysis within a Limited Range" International Journal of Environmental Research and Public Health 18, no. 6: 2989. https://doi.org/10.3390/ijerph18062989
APA StyleLiu, T., & Lipowski, M. (2021). Influence of Cooperative Learning Intervention on the Intrinsic Motivation of Physical Education Students—A Meta-Analysis within a Limited Range. International Journal of Environmental Research and Public Health, 18(6), 2989. https://doi.org/10.3390/ijerph18062989

