Lung Cancer Characteristics in the World Trade Center Environmental Health Center
Abstract
1. Introduction
2. Methods
2.1. Clinical and Lung Cancer Characteristics in Patients in the WTC EHC
2.2. Lung Cancer Characteristics
2.3. Data Analysis
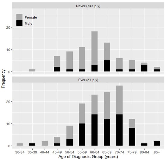
3. Results
3.1. Participants
3.2. WTC Exposure and Demographic Characteristic in Lung Cancer Patients in the WTC EHC Stratified by Smoking History
3.3. Lung Cancer Characteristics by Smoking History in the WTC EHC
3.4. Gender and Lung Cancer in the WTC EHC
3.5. Lung Cancer Characteristics by Gender in the WTC EHC
3.6. Multiple Primary Cancers
4. Discussion
5. Conclusions
Supplementary Materials
Author Contributions
Funding
Institutional Review Board Statement
Informed Consent Statement
Data Availability Statement
Acknowledgments
Conflicts of Interest
References
- Reibman, J.; Lin, S.; Hwang, S.A.; Gulati, M.; Bowers, J.A.; Rogers, L.; Berger, K.I.; Hoerning, A.; Gomez, M.; Fitzgerald, E.F. The World Trade Center Residents’ Respiratory Health Study: New-Onset Respiratory Symptoms and Pulmonary Function. Environ. Health Perspect. 2005, 113, 406–411. [Google Scholar] [CrossRef] [PubMed]
- Reibman, J.; Liu, M.; Cheng, Q.; Liautaud, S.; Rogers, L.; Lau, S.; Berger, K.I.; Goldring, R.M.; Marmor, M.; Fernandez-Beros, M.E.; et al. Characteristics of a Residential and Working Community With Diverse Exposure to World Trade Center Dust, Gas, and Fumes. J. Occup. Environ. Med. 2009, 51, 534–541. [Google Scholar] [CrossRef] [PubMed]
- Lippmann, M.; Cohen, M.D.; Chen, L.C. Health effects of World Trade Center (WTC) Dust: An unprecedented disaster’s inadequate risk management. Crit. Rev. Toxicol. 2015, 45, 492–530. [Google Scholar] [CrossRef]
- Reibman, J.; Levy-Carrick, N.; Miles, T.; Flynn, K.; Hughes, C.; Crane, M.; Lucchini, R.G. Destruction of the World Trade Center Towers. Lessons Learned from an Environmental Health Disaster. Ann. Am. Thorac. Soc. 2016, 13, 577–583. [Google Scholar] [CrossRef] [PubMed]
- The World Trade Center Health Program. Regulations. Available online: https://www.cdc.gov/wtc/conditions.html (accessed on 25 December 2020).
- Hena, K.M.; Murphy, S.; Zhang, Y.; Shao, Y.; Kazeros, A.; Reibman, J. Clinical Evaluation of Sarcoidosis in Community Members with World Trade Center Dust Exposure. Int. J. Environ. Res. Public Health 2019, 16, 1291. [Google Scholar] [CrossRef] [PubMed]
- Kahn, L.G.; Han, X.; Koshy, T.T.; Shao, Y.; Chu, D.B.; Kannan, K.; Trasande, L. Adolescents exposed to the World Trade Center collapse have elevated serum dioxin and furan concentrations more than 12 years later. Environ. Int. 2018, 111, 268–278. [Google Scholar] [CrossRef] [PubMed]
- Kazeros, A.; Maa, M.-T.; Patrawalla, P.; Liu, M.; Shao, Y.; Qian, M.; Turetz, M.; Parsia, S.; Caplan-Shaw, C.; Berger, K.I.; et al. Elevated Peripheral Eosinophils Are Associated with New-Onset and Persistent Wheeze and Airflow Obstruction in World Trade Center-Exposed Individuals. J. Asthma 2013, 50, 25–32. [Google Scholar] [CrossRef] [PubMed]
- Kazeros, A.; Zhang, E.; Cheng, X.; Shao, Y.; Liu, M.; Qian, M.; Caplan-Shaw, C.; Berger, K.I.; Goldring, R.M.; Ghumman, M.; et al. Systemic Inflammation Associated With World Trade Center Dust Exposures and Airway Abnormalities in the Local Community. J. Occup. Environ. Med. 2015, 57, 610–616. [Google Scholar] [CrossRef]
- Koshy, T.T.; Attina, T.M.; Ghassabian, A.; Gilbert, J.; Burdine, L.K.; Marmor, M.; Honda, M.; Chu, D.B.; Han, X.; Shao, Y.; et al. Serum perfluoroalkyl substances and cardiometabolic consequences in adolescents exposed to the World Trade Center disaster and a matched comparison group. Environ. Int. 2017, 109, 128–135. [Google Scholar] [CrossRef]
- Rosen, R.; Zhu, Z.; Shao, Y.; Liu, M.; Bao, J.; Levy-Carrick, N.; Reibman, J. Longitudinal Change of PTSD Symptoms in Community Members after the World Trade Center Destruction. Int. J. Environ. Res. Public Health 2019, 16, 1215. [Google Scholar] [CrossRef]
- Rosen, R.L.; Levy-Carrick, N.; Reibman, J.; Xu, N.; Shao, Y.; Liu, M.; Ferri, L.; Kazeros, A.; Caplan-Shaw, C.E.; Pradhan, D.R.; et al. Elevated C-reactive protein and posttraumatic stress pathology among survivors of the 9/11 World Trade Center attacks. J. Psychiatr. Res. 2017, 89, 14–21. [Google Scholar] [CrossRef]
- Trasande, L.; Fiorino, E.K.; Attina, T.; Berger, K.; Goldring, R.; Chemtob, C.; Levy-Carrick, N.; Shao, Y.; Liu, M.; Urbina, E.; et al. Associations of World Trade Center exposures with pulmonary and cardiometabolic outcomes among children seeking care for health concerns. Sci. Total Environ. 2013, 444, 320–326. [Google Scholar] [CrossRef] [PubMed]
- Trasande, L.; Koshy, T.T.; Gilbert, J.; Burdine, L.K.; Attina, T.M.; Ghassabian, A.; Honda, M.; Marmor, M.; Chu, D.B.; Han, X.; et al. Serum perfluoroalkyl substances in children exposed to the world trade center disaster. Environ. Res. 2017, 154, 212–221. [Google Scholar] [CrossRef][Green Version]
- Trasande, L.; Koshy, T.T.; Gilbert, J.; Burdine, L.K.; Marmor, M.; Han, X.; Shao, Y.; Chemtob, C.; Attina, T.M.; Urbina, E.M. Cardiometabolic profiles of adolescents and young adults exposed to the World Trade Center Disaster. Environ. Res. 2018, 160, 107–114. [Google Scholar] [CrossRef] [PubMed]
- Li, J.; Cone, J.E.; Kahn, A.R.; Brackbill, R.M.; Farfel, M.R.; Greene, C.M.; Hadler, J.L.; Stayner, L.T.; Stellman, S.D. Association Between World Trade Center Exposure and Excess Cancer Risk. JAMA 2012, 308, 2479–2488. [Google Scholar] [CrossRef] [PubMed]
- Moline, J.M.; Herbert, R.; Crowley, L.; Troy, K.; Hodgman, E.; Shukla, G.; Udasin, I.; Luft, B.; Wallenstein, S.; Landrigan, P.; et al. Multiple Myeloma in World Trade Center Responders: A Case Series. J. Occup. Environ. Med. 2009, 51, 896–902. [Google Scholar] [CrossRef]
- Tuminello, S.; Van Gerwen, M.A.G.; Genden, E.; Crane, M.; Lieberman-Cribbin, W.; Taioli, E. Increased Incidence of Thyroid Cancer among World Trade Center First Responders: A Descriptive Epidemiological Assessment. Int. J. Environ. Res. Public Health 2019, 16, 1258. [Google Scholar] [CrossRef]
- Zeig-Owens, R.; Webber, M.P.; Hall, C.B.; Schwartz, T.; Jaber, N.; Weakley, J.; Rohan, T.E.; Cohen, H.W.; Derman, O.; Aldrich, T.K.; et al. Early assessment of cancer outcomes in New York City firefighters after the 9/11 attacks: An observational cohort study. Lancet 2011, 378, 898–905. [Google Scholar] [CrossRef]
- Lieberman-Cribbin, W.; Tuminello, S.; Gillezeau, C.; Van Gerwen, M.; Brody, R.; Mulholland, D.J.; Horton, L.; Sisco, M.; Prophete, C.; Zelikoff, J.; et al. Complementary biobank of rodent tissue samples to study the effect of World Trade Center exposure on cancer development. J. Transl. Med. 2019, 17, 342. [Google Scholar] [CrossRef]
- Gavett, S.H. World Trade Center fine particulate matter--chemistry and toxic respiratory effects: An overview. Environ. Health Perspect. 2003, 111, 971. [Google Scholar] [CrossRef] [PubMed]
- Lioy, P.J.; Georgopoulos, P. The Anatomy of the Exposures That Occurred around the World Trade Center Site: 9/11 and Beyond. Ann. N. Y. Acad. Sci. 2006, 1076, 54–79. [Google Scholar] [CrossRef]
- Offenberg, J.H.; Eisenreich, S.J.; Gigliotti, C.L.; Chen, L.C.; Xiong, J.Q.; Quan, C.; Lou, X.; Zhong, M.; Gorczynski, J.; Yiin, L.-M.; et al. Persistent organic pollutants in dusts that settled indoors in lower Manhattan after September 11, 2001. J. Expo. Anal. Environ. Epidemiol. 2004, 14, 164–172. [Google Scholar] [CrossRef] [PubMed]
- Yiin, L.-M.; Millette, J.R.; Vette, A.; Ilacqua, V.; Quan, C.; Gorczynski, J.; Kendall, M.; Chen, L.C.; Weisel, C.P.; Buckley, B.; et al. Comparisons of the Dust/Smoke Particulate that Settled Inside the Surrounding Buildings and Outside on the Streets of Southern New York City after the Collapse of the World Trade Center, September 11, 2001. J. Air Waste Manag. Assoc. 2004, 54, 515–528. [Google Scholar] [CrossRef]
- Landrigan, P.J.; Lioy, P.J.; Thurston, G.; Berkowitz, G.; Chen, L.C.; Chillrud, S.N.; Gavett, S.H.; Georgopoulos, P.G.; Geyh, A.S.; Levin, S.; et al. Health and environmental consequences of the world trade center disaster. Environ. Health Perspect. 2004, 112, 731–739. [Google Scholar] [CrossRef] [PubMed]
- Lioy, P.J.; Weisel, C.P.; Millette, J.R.; Eisenreich, S.; Vallero, D.; Offenberg, J.; Buckley, B.; Turpin, B.; Zhong, M.; Cohen, M.D.; et al. Characterization of the dust/smoke aerosol that settled east of the World Trade Center (WTC) in lower Manhattan after the collapse of the WTC 11 September 2001. Environ. Health Perspect. 2002, 110, 703–714. [Google Scholar] [CrossRef]
- Boffetta, P.; Zeig-Owens, R.; Wallenstein, S.; Li, J.; Brackbill, R.; Cone, J.; Farfel, M.; Holden, W.; Lucchini, R.; Webber, M.P.; et al. Cancer in World Trade Center responders: Findings from multiple cohorts and options for future study. Am. J. Ind. Med. 2016, 59, 96–105. [Google Scholar] [CrossRef]
- Singh, A.; Zeig-Owens, R.; Moir, W.; Hall, C.B.; Schwartz, T.; Vossbrinck, M.; Jaber, N.; Webber, M.P.; Kelly, K.J.; Ortiz, V.; et al. Estimation of Future Cancer Burden Among Rescue and Recovery Workers Exposed to the World Trade Center Disaster. JAMA Oncol. 2018, 4, 828–831. [Google Scholar] [CrossRef]
- Sunil, V.R.; Vayas, K.N.; Fang, M.; Zarbl, H.; Massa, C.; Gow, A.J.; Cervelli, J.A.; Kipen, H.; Laumbach, R.J.; Lioy, P.J.; et al. World Trade Center (WTC) dust exposure in mice is associated with inflammation, oxidative stress and epigenetic changes in the lung. Exp. Mol. Pathol. 2017, 102, 50–58. [Google Scholar] [CrossRef]
- Henley, S.J.; Gallaway, S.; Singh, S.D.; O’Neil, M.E.; Buchanan Lunsford, N.; Momin, B.; Richards, T.B. Lung Cancer Among Women in the United States. J. Womens Health 2018, 27, 1307–1316. [Google Scholar] [CrossRef]
- Howlader, N.; Forjaz, G.; Mooradian, M.J.; Meza, R.; Kong, C.Y.; Cronin, K.A.; Mariotto, A.B.; Lowy, D.R.; Feuer, E.J. The Effect of Advances in Lung-Cancer Treatment on Population Mortality. N. Engl. J. Med. 2020, 383, 640–649. [Google Scholar] [CrossRef]
- Jemal, A.; Chu, K.C.; Tarone, R.E. Recent Trends in Lung Cancer Mortality in the United States. J. Natl. Cancer Inst. 2001, 93, 277–283. [Google Scholar] [CrossRef] [PubMed]
- Malvezzi, M.; Bosetti, C.; Rosso, T.; Bertuccio, P.; Chatenoud, L.; Levi, F.; Romano, C.; Negri, E.; La Vecchia, C. Lung cancer mortality in European men: Trends and predictions. Lung Cancer 2013, 80, 138–145. [Google Scholar] [CrossRef] [PubMed]
- Durmus, N.; Shao, Y.; Arslan, A.A.; Zhang, Y.; Pehlivan, S.; Fernandez-Beros, M.E.; Umana, L.; Corona, R.; Smyth-Giambanco, S.; Abbott, S.A.; et al. Characteristics of Cancer Patients in the World Trade Center Environmental Health Center. Int. J. Environ. Res. Public Health 2020, 17, 7190. [Google Scholar] [CrossRef] [PubMed]
- The World Trade Center Health Program. Regulations. Available online: https://www.cdc.gov/wtc/regulations2.html (accessed on 20 June 2020).
- Shao, Y.; Durmus, N.; Zhang, Y.; Pehlivan, S.; Fernandez-Beros, M.E.; Umana, L.; Corona, R.; Abbott, S.; Smyth-Giambanco, S.; Arslan, A.A.; et al. The Development of a WTC Environmental Health Center Pan-Cancer Database. Int. J. Environ. Res. Public Health 2021, 18, 1646. [Google Scholar] [CrossRef]
- Harris, P.A.; Taylor, R.; Minor, B.L.; Elliott, V.; Fernandez, M.; O’Neal, L.; McLeod, L.; Delacqua, G.; Delacqua, F.; Kirby, J.; et al. The REDCap consortium: Building an international community of software platform partners. J. Biomed. Inform. 2019, 95, 103208. [Google Scholar] [CrossRef] [PubMed]
- Harris, P.A.; Taylor, R.; Thielke, R.; Payne, J.; Gonzalez, N.; Conde, J.G. Research electronic data capture (REDCap)—A metadata-driven methodology and workflow process for providing translational research informatics support. J. Biomed. Inform. 2009, 42, 377–381. [Google Scholar] [CrossRef]
- Vogt, A.; Schmid, S.; Heinimann, K.; Frick, H.; Herrmann, C.; Cerny, T.; Omlin, A. Multiple primary tumours: Challenges and approaches, a review. ESMO Open 2017, 2, e000172. [Google Scholar] [CrossRef] [PubMed]
- American Cancer Society Cancer Statistics. Available online: https://www.cancer.org/research/cancer-facts-statistics/all-cancer-facts-figures/cancer-facts-figures-2020.html (accessed on 15 July 2020).
- Moir, W.; Zeig-Owens, R.; Daniels, R.D.; Hall, C.B.; Webber, M.P.; Jaber, N.; Yiin, J.H.; Schwartz, T.; Liu, X.; Vossbrinck, M.; et al. Post-9/11 cancer incidence in World Trade Center-exposed New York City firefighters as compared to a pooled cohort of firefighters from San Francisco, Chicago and Philadelphia (9/11/2001-2009). Am. J. Ind. Med. 2016, 59, 722–730. [Google Scholar] [CrossRef] [PubMed]
- Li, J.; Brackbill, R.M.; Liao, T.S.; Qiao, B.; Cone, J.E.; Farfel, M.R.; Hadler, J.L.; Kahn, A.R.; Konty, K.J.; Stayner, L.T.; et al. Ten-year cancer incidence in rescue/recovery workers and civilians exposed to the September 11, 2001 terrorist attacks on the World Trade Center. Am. J. Ind. Med. 2016, 59, 709–721. [Google Scholar] [CrossRef]
- Shapiro, M.Z.; Wallenstein, S.R.; Dasaro, C.R.; Lucchini, R.G.; Sacks, H.S.; Teitelbaum, S.L.; Thanik, E.S.; Crane, M.A.; Harrison, D.J.; Luft, B.J.; et al. Cancer in General Responders Participating in World Trade Center Health Programs, 2003–2013. JNCI Cancer Spectr. 2020, 4, pkz090. [Google Scholar] [CrossRef] [PubMed]
- Society, A.C. Key Cancer Statistics. Available online: https://www.cancer.org/cancer/lung-cancer/about/key-statistics.html (accessed on 15 November 2020).
- Bethesda, M. SEER Cancer Stat Facts: Lung and Bronchus Cancer. National Cancer Institute. Available online: https://seer.cancer.gov/statfacts/html/lungb.html (accessed on 20 June 2020).
- National Institutes of Health (NIH). Surveillance, Epidemiology, and End Results Program. Available online: https://seer.cancer.gov/index.html (accessed on 20 June 2020).
- Travis, W.D.; Brambilla, E.; Noguchi, M.; Nicholson, A.G.; Geisinger, K.R.; Yatabe, Y.; Beer, D.G.; Powell, C.A.; Riely, G.J.; Van Schil, P.E.; et al. International Association for the Study of Lung Cancer/American Thoracic Society/European Respiratory Society International Multidisciplinary Classification of Lung Adenocarcinoma. J. Thorac. Oncol. 2011, 6, 244–285. [Google Scholar] [CrossRef] [PubMed]
- Inamura, K. Lung cancer: Understanding its molecular pathology and the 2015 WHO classification. Front. Oncol. 2017, 7, 193. [Google Scholar] [CrossRef] [PubMed]
- Boelens, M.C.; van den Berg, A.; Fehrmann, R.S.; Geerlings, M.; de Jong, W.K.; te Meerman, G.J.; Sietsma, H.; Timens, W.; Postma, D.S.; Groen, H.J. Current smoking-specific gene expression signature in normal bronchial epithelium is enhanced in squamous cell lung cancer. J. Pathol. 2009, 218, 182–191. [Google Scholar] [CrossRef] [PubMed]
- De Stefani, E.; Boffetta, P.; Ronco, A.L.; Brennan, P.; Correa, P.; Deneo-Pellegrini, H.; Gutiérrez, L.P.; Mendilaharsu, M. Squamous and small cell carcinomas of the lung: Similarities and differences concerning the role of tobacco smoking. Lung Cancer 2005, 47, 1–8. [Google Scholar] [CrossRef] [PubMed]
- Molina, J.R.; Yang, P.; Cassivi, S.D.; Schild, S.E.; Adjei, A.A. Non-Small Cell Lung Cancer: Epidemiology, Risk Factors, Treatment, and Survivorship. Mayo Clin. Proc. 2008, 83, 584–594. [Google Scholar] [CrossRef]
- Jemal, A.; Miller, K.D.; Ma, J.; Siegel, R.L.; Fedewa, S.A.; Islami, F.; Devesa, S.S.; Thun, M.J. Higher Lung Cancer Incidence in Young Women Than Young Men in the United States. N. Engl. J. Med. 2018, 378, 1999–2009. [Google Scholar] [CrossRef] [PubMed]

| Smoking | |||||
|---|---|---|---|---|---|
| Overall | Never (≤1 p-y) | Ever (>1 p-y) | p | ||
| n | 203 | 76 | 127 | ||
| Gender, n (%) | Female | 119 (58.6) | 58 (76.3) | 61 (48.0) | <0.001 |
| Male | 84 (41.4) | 18 (23.7) | 66 (52.0) | ||
| Age on 9/11 (years) (median (range)) | 50.7 (25.3, 74.0) | 49.7 (27.5, 71.6) | 51.9 (25.3, 74.0) | 0.21 | |
| Age of diagnosis (years) (median (range)) | 64 (34, 8) | 62 (38, 88) | 65 (34, 89) | 0.07 | |
| Race/Ethnicity, n (%) | White | 110 (55.8) | 29 (39.2) | 81 (65.9) | <0.001 |
| Black | 27 (13.7) | 9 (12.2) | 18 (14.6) | ||
| Asian | 46 (23.3) | 34 (45.9) | 12 (9.8) | ||
| Hispanic | 14 (7.1) | 2 (2.7) | 12 (9.8) | ||
| BMI, n (%) | Normal weight (<25) | 56 (38.6) | 23 (50.0) | 33 (33.3) | 0.17 |
| Overweight (25–30) | 51 (35.2) | 13 (28.3) | 38 (38.4) | ||
| Obese (≥30) | 38 (26.2) | 10 (21.7) | 28 (28.3) | ||
| Income, n (%) | ≤$30,000/year | 107 (56.0) | 45 (64.3) | 62 (51.2) | 0.09 |
| >$30,000/year | 84 (44.0) | 25 (35.7) | 59 (48.8) | ||
| Education, n (%) | High school or less | 78 (38.4) | 32 (42.1) | 46 (36.2) | 0.46 |
| More than high school | 125 (61.6) | 44 (57.9) | 81 (63.8) | ||
| Dust cloud, n (%) | No | 103 (50.7) | 37 (48.7) | 66 (52.0) | 0.66 |
| Yes | 100 (49.3) | 39 (51.3) | 61 (48.0) | ||
| Exposure category, n (%) | Worker | 115 (56.9) | 29 (38.2) | 86 (68.3) | <0.001 |
| Resident | 74 (36.6) | 44 (57.9) | 30 (23.8) | ||
| Other | 13 (6.4) | 3 (3.9) | 10 (7.9) | ||
| Smoking | |||||
|---|---|---|---|---|---|
| Level | Overall | Never (≤1 p-y) | Ever (>1 p-y) | p | |
| n | 203 | 76 | 127 | ||
| Histology, n (%) | Adenocarcinoma | 143 (70.4) | 60 (79.0) | 83 (65.4) | 0.02 |
| Squamous Cell Carcinoma | 24 (11.8) | 4 (5.3) | 20 (15.6) | ||
| Carcinoid Tumors | 13 (6.4) | 7 (9.2) | 6 (4.7) | ||
| Large cell Carcinoma | 3 (1.5) | 1 (1.3) | 2 (1.6) | ||
| Small Cell Carcinoma | 3 (1.5) | 0 (0.0) | 3 (2.4) | ||
| Unidentified Non-Small Cell Carcinoma or Unknown | 17 (8.4) | 4 (5.2) | 13 (10.3) | ||
| Grade, n (%) | G1 | 32 (15.8) | 14 (18.4) | 18 (14.2) | 0.77 |
| G2 | 44 (21.6) | 16 (21.1) | 28 (22.0) | ||
| G3 | 42 (20.7) | 15 (19.7) | 27 (21.3) | ||
| G4 | 1 (0.5) | 0 (0.0) | 1 (0.8) | ||
| GX or Unknown | 84 (41.4) | 31 (40.8) | 53 (41.7) | ||
| Tumor size, n (%) | Tis | 6 (2.9) | 5 (6.6) | 1 (0.8) | 0.21 |
| T1 | 88 (43.4) | 32 (42.1) | 56 (44.2) | ||
| T2 | 41 (20.2) | 12 (15.7) | 29 (22.8) | ||
| T3 | 14 (6.9) | 4 (5.3) | 10 (7.9) | ||
| T4 | 6 (2.9) | 2 (2.6) | 4 (3.1) | ||
| TX or Unknown | 48 (23.7) | 21 (27.7) | 27 (21.2) | ||
| Tumor Size in cm (median (range)) | 1.7 (0.2, 11.5) | 1.8 (0.4, 5.0) | 1.7 (0.2, 11.5) | 0.84 | |
| Regional Lymph Node Metastasis, n (%) | N0 | 110 (54.2) | 39 (51.3) | 71 (55.9) | 0.47 |
| N1 | 52 (25.6) | 17 (22.4) | 35 (27.6) | ||
| NX or Unknown | 41 (20.2) | 20 (26.3) | 21 (16.5) | ||
| Distant Metastasis, n (%) | M0 | 139 (68.5) | 48 (63.2) | 91 (71.6) | 0.20 |
| M1 | 32 (15.7) | 15 (19.7) | 17 (13.4) | ||
| MX or Unknown | 32 (15.8) | 13 (17.1) | 19 (15.0) | ||
| Stage, n (%) | 0 | 6 (3.0) | 5 (6.6) | 1 (0.8) | 0.08 |
| I | 86 (42.3) | 29 (38.2) | 57 (44.8) | ||
| II | 21 (10.3) | 7 (9.2) | 14 (11.0) | ||
| III | 26 (12.8) | 7 (9.2) | 19 (15.0) | ||
| IV | 32 (15.8) | 15 (19.7) | 17 (13.4) | ||
| Unknown | 32 (15.8) | 13 (17.1) | 19 (15.0) | ||
| Anatomic location, n (%) | Right upper lobe | 50 (24.6) | 18 (23.7) | 32 (25.2) | 0.60 |
| Right middle lobe | 8 (3.9) | 3 (3.9) | 5 (3.9) | ||
| Right Lower Lobe | 17 (8.4) | 10 (13.2) | 7 (5.5) | ||
| Right unspecified | 35 (17.2) | 14 (18.4) | 21 (16.5) | ||
| Left upper lobe | 32 (15.8) | 9 (11.8) | 23 (18.1) | ||
| Left Lower Lobe | 18 (8.9) | 6 (7.9) | 12 (9.5) | ||
| Left unspecified | 39 (19.2) | 15 (19.8) | 24 (18.9) | ||
| Bilateral | 1 (0.5) | 0 (0.0) | 1 (0.8) | ||
| Unknown | 3 (1.5) | 1 (1.3) | 2 (1.6) | ||
| Sex | ||||
|---|---|---|---|---|
| Level | Female | Male | p | |
| n | 248 | 142 | 106 | |
| Age on 9/11 (median (range)) | 49.2 (27.5, 69.4) | 52.7 (25.3, 74.0) | 0.002 | |
| Age of diagnosis, years (median (range)) | 62 (34, 85) | 66 (38, 89) | 0.002 | |
| Race/Ethnicity, n (%) | Hispanic | 5 (4.2) | 10 (12.3) | 0.03 |
| White | 63 (52.9) | 48 (59.3) | ||
| Black | 22 (18.5) | 6 (7.4) | ||
| Asian | 29 (24.4) | 17 (21.0) | ||
| BMI, n (%) | Normal weight (<25) | 40 (46.0) | 18 (29.5) | 0.09 |
| Overweight (25–30) | 25 (28.7) | 27 (44.3) | ||
| Obese (≥30) | 22 (25.3) | 16 (26.2) | ||
| Income, n (%) | ≤$30,000/year | 69 (60.0) | 41 (51.9) | 0.30 |
| >$30,000/year | 46 (40.0) | 38 (48.1) | ||
| Education, n (%) | High school or less | 42 (34.4) | 36 (42.9) | 0.24 |
| More than high school | 80 (65.6) | 48 (57.1) | ||
| Dust cloud exposure, n (%) | No | 64 (52.5) | 41 (48.8) | 0.67 |
| Yes | 58 (47.5) | 43 (51.2) | ||
| Exposure category, n (%) | Resident | 51 (42.1) | 24 (28.6) | 0.12 |
| Student | 4 (3.3) | 1 (1.2) | ||
| Worker | 61 (50.4) | 56 (66.7) | ||
| Other | 5 (4.1) | 3 (3.6) | ||
| Pack-year, n (%) | ≤5 pack-year | 64 (53.8) | 22 (26.2) | <0.001 |
| >5 packyear | 55 (46.2) | 62 (73.8) | ||
| Smoking History, n (%) | Never (≤1 p-y) | 58 (40.8) | 18 (17.0) | <0.001 |
| Former smoker (>1 p-y, stopped) | 53 (37.3) | 60 (56.6) | ||
| Current smoker (>1 p-y, continue) | 8 (5.6) | 6 (5.7) | ||
| Sex | |||||
|---|---|---|---|---|---|
| Level | Overall | Female | Male | p | |
| n | 248 | 142 | 106 | ||
| Histology, n (%) | Adenocarcinoma | 176 (71.0) | 107 (75.3) | 69 (65.1) | 0.001 |
| Squamous cell carcinoma | 26 (10.5) | 8 (5.6) | 18 (17.0) | ||
| Carcinoid tumors | 16 (6.5) | 13 (9.1) | 3 (2.8) | ||
| Small cell carcinoma | 6 (2.4) | 2 (1.4) | 4 (3.8) | ||
| Large cell carcinoma | 3 (1.2) | 1 (0.7) | 2 (1.9) | ||
| Unidentified subtype of Non-small cell carcinoma or unknown | 21 (8.4) | 11 (7.7) | 10 (9.4) | ||
| Grade, n (%) | G1 | 43 (17.3) | 30 (21.1) | 13 (12.3) | 0.23 |
| G2 | 53 (21.4) | 30 (21.1) | 23 (21.7) | ||
| G3 | 51 (20.6) | 27 (19.0) | 24 (22.6) | ||
| G4 | 1 (0.4) | 0 (0.0) | 1 (0.9) | ||
| GX or Unknown | 100 (40.3) | 55 (38.8) | 45 (42.5) | ||
| Tumor size, TNM, n (%) | Tis | 8 (3.2) | 8 (5.6) | 0 (0.0) | 0.006 |
| T1 | 105 (42.3) | 66 (46.5) | 39 (36.8) | ||
| T2 | 53 (21.4) | 21 (14.8) | 32 (30.2) | ||
| T3 | 16 (6.5) | 7 (5.0) | 9 (8.5) | ||
| T4 | 8 (3.2) | 4 (2.8) | 4 (3.8) | ||
| TX or Unknown | 58 (23.4) | 36 (25.3) | 22 (20.7) | ||
| Tumor size, cm median (range) | 1.8 (0.2, 11.5) | 1.7 (0.4, 6.5) | 2.0 (0.2, 11.5) | 0.03 | |
| Regional lymph node metastasis, n (%) | N0. | 136 (54.8) | 76 (53.5) | 60 (56.6) | 0.81 |
| N1 | 63 (25.4) | 37 (26.1) | 26 (24.5) | ||
| NX or Unknown | 49 (19.8) | 29 (20.4) | 20 (18.9) | ||
| Distant Metastasis, n (%) | M0 | 170 (68.6) | 94 (66.2) | 76 (71.7) | 0.16 |
| M1 | 38 (15.3) | 25 (17.6) | 13 (12.3) | ||
| MX or Unknown | 40 (16.1) | 23 (16.2) | 17 (16.0) | ||
| Stage, n (%) | 0 | 8 (3.3) | 8 (5.6) | 0 (0.0) | 0.06 |
| I | 105 (42.3) | 55 (38.7) | 50 (47.1) | ||
| II | 27 (10.9) | 14 (9.9) | 13 (12.3) | ||
| III | 30 (12.1) | 17 (12.0) | 13 (12.3) | ||
| IV | 38 (15.3) | 25 (17.6) | 13 (12.3) | ||
| Unknown | 40 (16.1) | 23 (16.2) | 17 (16.0) | ||
| Anatomic Location, n (%) | Right upper lobe | 62 (25.0) | 32 (22.5) | 30 (28.4) | 0.01 |
| Right middle lobe | 10 (4.0) | 8 (5.6) | 2 (1.9) | ||
| Right lower lobe | 20 (8.1) | 12 (8.5) | 8 (7.5) | ||
| Right unspecified | 43 (17.4) | 26 (18.3) | 17 (16.0) | ||
| Left upper lobe | 38 (15.3) | 21 (14.8) | 17 (16.0) | ||
| Left Lower Lobe | 26 (10.5) | 9 (6.4) | 17 (16.0) | ||
| Left unspecified | 43 (17.3) | 30 (21.1) | 13 (12.3) | ||
| Bilateral | 2 (0.8) | 0 (0.0) | 2 (1.9) | ||
| Unknown | 4 (1.6) | 4 (2.8) | 0 (0.0) |
Publisher’s Note: MDPI stays neutral with regard to jurisdictional claims in published maps and institutional affiliations. |
© 2021 by the authors. Licensee MDPI, Basel, Switzerland. This article is an open access article distributed under the terms and conditions of the Creative Commons Attribution (CC BY) license (http://creativecommons.org/licenses/by/4.0/).
Share and Cite
Durmus, N.; Pehlivan, S.; Zhang, Y.; Shao, Y.; Arslan, A.A.; Corona, R.; Henderson, I.; Sterman, D.H.; Reibman, J. Lung Cancer Characteristics in the World Trade Center Environmental Health Center. Int. J. Environ. Res. Public Health 2021, 18, 2689. https://doi.org/10.3390/ijerph18052689
Durmus N, Pehlivan S, Zhang Y, Shao Y, Arslan AA, Corona R, Henderson I, Sterman DH, Reibman J. Lung Cancer Characteristics in the World Trade Center Environmental Health Center. International Journal of Environmental Research and Public Health. 2021; 18(5):2689. https://doi.org/10.3390/ijerph18052689
Chicago/Turabian StyleDurmus, Nedim, Sultan Pehlivan, Yian Zhang, Yongzhao Shao, Alan A. Arslan, Rachel Corona, Ian Henderson, Daniel H. Sterman, and Joan Reibman. 2021. "Lung Cancer Characteristics in the World Trade Center Environmental Health Center" International Journal of Environmental Research and Public Health 18, no. 5: 2689. https://doi.org/10.3390/ijerph18052689
APA StyleDurmus, N., Pehlivan, S., Zhang, Y., Shao, Y., Arslan, A. A., Corona, R., Henderson, I., Sterman, D. H., & Reibman, J. (2021). Lung Cancer Characteristics in the World Trade Center Environmental Health Center. International Journal of Environmental Research and Public Health, 18(5), 2689. https://doi.org/10.3390/ijerph18052689
