Engagement in Muscle-Strengthening Activities Lowers Sarcopenia Risk in Older Adults Already Adhering to the Aerobic Physical Activity Guidelines
Abstract
1. Introduction
2. Materials and Methods
2.1. Participants
2.2. Anthropometry
2.3. Assessment of Adherence to PA Guidelines
2.4. Assessment of Adherence to Protein Intake
2.5. Assessment of Physical Function
2.6. Sarcopenia Risk Score
2.7. Statistical Analyses
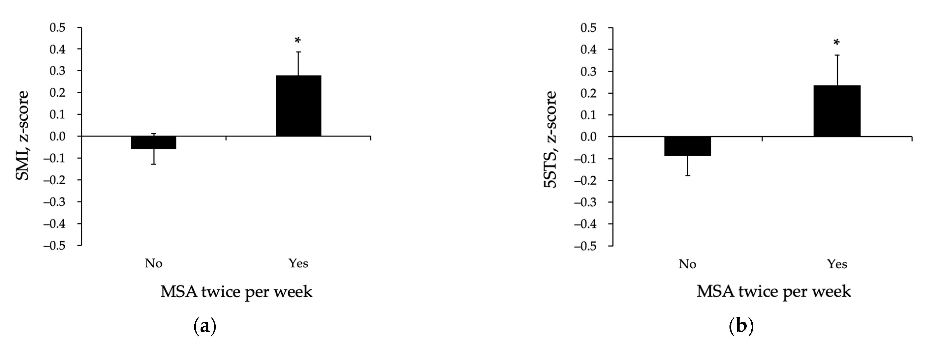
3. Results
4. Discussion
5. Conclusions
Author Contributions
Funding
Institutional Review Board Statement
Informed Consent Statement
Data Availability Statement
Acknowledgments
Conflicts of Interest
References
- Cruz-Jentoft, A.J.; Bahat, G.; Bauer, J.; Boirie, Y.; Bruyère, O.; Cederholm, T.; Cooper, C.; Landi, F.; Rolland, Y.; Sayer, A.A.; et al. Sarcopenia: Revised European consensus on definition and diagnosis. Age Ageing 2019, 48, 16–31. [Google Scholar] [CrossRef] [PubMed]
- Dodds, R.M.; Roberts, H.C.; Cooper, C.; Sayer, A.A. The Epidemiology of Sarcopenia. J. Clin. Densitom. 2015, 18, 461–466. [Google Scholar] [CrossRef] [PubMed]
- World Health Organization. Global Health and Aging. Available online: https://www.who.int/ageing/publications/global_health.pdf (accessed on 25 November 2020).
- Hida, T.; Harada, A.; Imagama, S.; Ishiguro, N. Managing sarcopenia and its related-fractures to improve quality of life in geriatric populations. Aging Dis. 2014, 5, 226–237. [Google Scholar] [PubMed]
- World Health Organization. WHO Guidelines on Physical Activity and Sedentary Behaviour; World Health Organization: Geneva, Switzerland, 2020. [Google Scholar]
- Marzetti, E.; Calvani, R.; Tosato, M.; Cesari, M.; Di Bari, M.; Cherubini, A.; Broccatelli, M.; Savera, G.; D’Elia, M.; Pahor, M.; et al. Physical activity and exercise as countermeasures to physical frailty and sarcopenia. Aging Clin. Exp. Res. 2017, 29, 35–42. [Google Scholar] [CrossRef] [PubMed]
- Schoenfeld, B.J.; Ogborn, D.; Krieger, J.W. Effects of Resistance Training Frequency on Measures of Muscle Hypertrophy: A Systematic Review and Meta-Analysis. Sport. Med. 2016, 46, 1689–1697. [Google Scholar] [CrossRef]
- Schoenfeld, B.J.; Grgic, J.; Ogborn, D.; Krieger, J.W. Strength and Hypertrophy Adaptations Between Low- vs. High-Load Resistance Training. J. Strength Cond. Res. 2017, 31, 3508–3523. [Google Scholar] [CrossRef]
- Damas, F.; Phillips, S.; Vechin, F.C.; Ugrinowitsch, C. A Review of Resistance Training-Induced Changes in Skeletal Muscle Protein Synthesis and Their Contribution to Hypertrophy. Sport. Med. 2015, 45, 801–807. [Google Scholar] [CrossRef]
- Ishigaki, E.Y.; Ramos, L.G.; Carvalho, E.S.; Lunardi, A.C. Effectiveness of muscle strengthening and description of protocols for preventing falls in the elderly: A systematic review. Braz. J. Phys. Ther. 2014, 18, 111–118. [Google Scholar] [CrossRef]
- Dipietro, L.; Campbell, W.W.; Buchner, D.M.; Erickson, K.I.; Powell, K.E.; Bloodgood, B.; Hughes, T.; Day, K.R.; Piercy, K.L.; Vaux-Bjerke, A.; et al. Physical Activity, Injurious Falls, and Physical Function in Aging. Med. Sci. Sport. Exerc. 2019, 51, 1303–1313. [Google Scholar] [CrossRef]
- Chou, C.-H.; Hwang, C.-L.; Wu, Y.-T. Effect of Exercise on Physical Function, Daily Living Activities, and Quality of Life in the Frail Older Adults: A Meta-Analysis. Arch. Phys. Med. Rehabil. 2012, 93, 237–244. [Google Scholar] [CrossRef]
- Harris, C.D.; Watson, K.B.; Carlson, S.A.; Fulton, J.E.; Dorn, J.M. Centers for Disease Control and Prevention (CDC) Adult engagement in aerobic and muscle-strengthening physical activities--United States, 2011. MMWR. Morb. Mortal. Wkly. Rep. 2013, 62, 326–330. [Google Scholar]
- Bennie, J.A.; De Cocker, K.; Teychenne, M.J.; Brown, W.J.; Biddle, S.J.H. The epidemiology of aerobic physical activity and muscle-strengthening activity guideline adherence among 383,928 U.S. adults. Int. J. Behav. Nutr. Phys. Act. 2019, 16, 34. [Google Scholar] [CrossRef]
- Bennie, J.A.; De Cocker, K.; Smith, J.J.; Wiesner, G.H. The epidemiology of muscle-strengthening exercise in Europe: A 28-country comparison including 280,605 adults. PLoS ONE 2020, 15, e0242220. [Google Scholar] [CrossRef]
- Strain, T.; Fitzsimons, C.; Kelly, P.; Mutrie, N. The forgotten guidelines: Cross-sectional analysis of engagement in muscle strengthening and balance & co-ordination activities by adults and older adults in Scotland. BMC Public Health 2016, 16, 1108. [Google Scholar]
- Dankel, S.J.; Loenneke, J.P.; Loprinzi, P.D. The Individual, Joint, and Additive Interaction Associations of Aerobic-Based Physical Activity and Muscle Strengthening Activities on Metabolic Syndrome. Int. J. Behav. Med. 2016, 23, 707–713. [Google Scholar] [CrossRef]
- Grøntved, A.; Pan, A.; Mekary, R.A.; Stampfer, M.; Willett, W.C.; Manson, J.E.; Hu, F.B. Muscle-Strengthening and Conditioning Activities and Risk of Type 2 Diabetes: A Prospective Study in Two Cohorts of US Women. PLoS Med. 2014, 11, e1001587. [Google Scholar] [CrossRef]
- Trudelle-Jackson, E.; Jackson, A.W. Do Older Adults Who Meet 2008 Physical Activity Guidelines Have Better Physical Performance Than Those Who Do Not Meet? J. Geriatr. Phys. Ther. 2018, 41, 180–185. [Google Scholar] [CrossRef]
- Janssen, I.; Heymsfield, S.B.; Baumgartner, R.N.; Ross, R. Estimation of skeletal muscle mass by bioelectrical impedance analysis. J. Appl. Physiol. 2000, 89, 465–471. [Google Scholar] [CrossRef]
- Nilsson, A.; Wåhlin-Larsson, B.; Kadi, F. Physical activity and not sedentary time per se influences on clustered metabolic risk in elderly community-dwelling women. PLoS ONE 2017, 12, e0175496. [Google Scholar] [CrossRef]
- Troiano, R.P.; Berrigan, D.; Dodd, K.W.; Mâsse, L.C.; Tilert, T.; McDowell, M. Physical Activity in the United States Measured by Accelerometer. Med. Sci. Sport. Exerc. 2008, 40, 181–188. [Google Scholar] [CrossRef]
- Wareham, N.J.; Jakes, R.W.; Rennie, K.L.; Mitchell, J.; Hennings, S.; Day, N.E. Validity and repeatability of the EPIC-Norfolk Physical Activity Questionnaire. Int. J. Epidemiol. 2002, 31, 168–174. [Google Scholar] [CrossRef] [PubMed]
- Johansson, I.; Van Guelpen, B.; Hultdin, J.; Johansson, M.; Hallmans, G.; Stattin, P. Validity of food frequency questionnaire estimated intakes of folate and other B vitamins in a region without folic acid fortification. Eur. J. Clin. Nutr. 2010, 64, 905–913. [Google Scholar] [CrossRef] [PubMed]
- Bauer, J.; Biolo, G.; Cederholm, T.; Cesari, M.; Cruz-Jentoft, A.J.; Morley, J.E.; Phillips, S.; Sieber, C.; Stehle, P.; Teta, D.; et al. Evidence-Based Recommendations for Optimal Dietary Protein Intake in Older People: A Position Paper From the PROT-AGE Study Group. J. Am. Med. Dir. Assoc. 2013, 14, 542–559. [Google Scholar] [CrossRef] [PubMed]
- Montiel-Rojas, D.; Nilsson, A.; Santoro, A.; Bazzocchi, A.; de Groot, L.C.P.G.M.; Feskens, E.J.M.; Berendsen, A.A.M.; Madej, D.; Kaluza, J.; Pietruszka, B.; et al. Fighting Sarcopenia in Ageing European Adults: The Importance of the Amount and Source of Dietary Proteins. Nutrients 2020, 12, 3601. [Google Scholar] [CrossRef]
- Montiel-Rojas, D.; Santoro, A.; Nilsson, A.; Franceschi, C.; Capri, M.; Bazzocchi, A.; Battista, G.; de Groot, L.C.P.G.M.; Feskens, E.J.M.; Berendsen, A.A.M.; et al. Beneficial Role of Replacing Dietary Saturated Fatty Acids with Polyunsaturated Fatty Acids in the Prevention of Sarcopenia: Findings from the NU-AGE Cohort. Nutrients 2020, 12, 3079. [Google Scholar] [CrossRef]
- Zimmet, P.; Alberti, K.; Shaw, J. International Diabetes Federation the IDF consensus worldwide definition of the metabolic syndrome. IDF Consens. Worldw. Defin. Metab. Syndr. 2006, 28, 1–7. [Google Scholar]
- Moritani, T. Neuromuscular adaptations during the acquisition of muscle strength, power and motor tasks. J. Biomech. 1993, 26, 95–107. [Google Scholar] [CrossRef]
- Fling, B.W.; Christie, A.; Kamen, G. Motor unit synchronization in FDI and biceps brachii muscles of strength-trained males. J. Electromyogr. Kinesiol. 2009, 19, 800–809. [Google Scholar] [CrossRef]
- Nilsson, A.; Montiel Rojas, D.; Kadi, F. Impact of Meeting Different Guidelines for Protein Intake on Muscle Mass and Physical Function in Physically Active Older Women. Nutrients 2018, 10, 1156. [Google Scholar] [CrossRef]
- Choi, K.M. Sarcopenia and Sarcopenic Obesity. Endocrinol. Metab. 2013, 28, 86. [Google Scholar] [CrossRef]
- Polyzos, S.A.; Margioris, A.N. Sarcopenic obesity. Hormones 2018, 17, 321–331. [Google Scholar] [CrossRef] [PubMed]


| Male | Female | |
|---|---|---|
| n | 71 | 122 |
| Age, y | 67 ± 2 | 67 ± 2 |
| Body Composition | ||
| Height, cm | 178.1 ± 6.0 | 165.0 ± 5.3 * |
| Weight, kg | 80.0 ± 1.0 | 63.7 ± 9.2 * |
| WC, cm | 93.7 ± 10.0 | 79.1 ± 8.5 * |
| Sarcopenia risk components | ||
| SMI, % BW | 34.5 ± 3.2 | 26.8 ± 3.4 * |
| Handgrip, kg | 44.1 ± 7.0 | 28.2 ± 5.2 * |
| 5STS | 10.0 ± 2.0 | 10.2 ± 2.3 |
Publisher’s Note: MDPI stays neutral with regard to jurisdictional claims in published maps and institutional affiliations. |
© 2021 by the authors. Licensee MDPI, Basel, Switzerland. This article is an open access article distributed under the terms and conditions of the Creative Commons Attribution (CC BY) license (http://creativecommons.org/licenses/by/4.0/).
Share and Cite
Veen, J.; Montiel-Rojas, D.; Nilsson, A.; Kadi, F. Engagement in Muscle-Strengthening Activities Lowers Sarcopenia Risk in Older Adults Already Adhering to the Aerobic Physical Activity Guidelines. Int. J. Environ. Res. Public Health 2021, 18, 989. https://doi.org/10.3390/ijerph18030989
Veen J, Montiel-Rojas D, Nilsson A, Kadi F. Engagement in Muscle-Strengthening Activities Lowers Sarcopenia Risk in Older Adults Already Adhering to the Aerobic Physical Activity Guidelines. International Journal of Environmental Research and Public Health. 2021; 18(3):989. https://doi.org/10.3390/ijerph18030989
Chicago/Turabian StyleVeen, Jort, Diego Montiel-Rojas, Andreas Nilsson, and Fawzi Kadi. 2021. "Engagement in Muscle-Strengthening Activities Lowers Sarcopenia Risk in Older Adults Already Adhering to the Aerobic Physical Activity Guidelines" International Journal of Environmental Research and Public Health 18, no. 3: 989. https://doi.org/10.3390/ijerph18030989
APA StyleVeen, J., Montiel-Rojas, D., Nilsson, A., & Kadi, F. (2021). Engagement in Muscle-Strengthening Activities Lowers Sarcopenia Risk in Older Adults Already Adhering to the Aerobic Physical Activity Guidelines. International Journal of Environmental Research and Public Health, 18(3), 989. https://doi.org/10.3390/ijerph18030989

