Characterization of Ultrafine Particles and VOCs Emitted from a 3D Printer
Abstract
1. Introduction
2. Materials and Methods
2.1. Description of the Particle Source: Printer and Filaments
2.2. Strategy and Method of Measuring Ultrafine Particles (UFPs)
2.3. Thermal Analysis
2.4. Quantitative and Qualitative Determination of Volatile Organic Compounds (VOCs)
3. Results
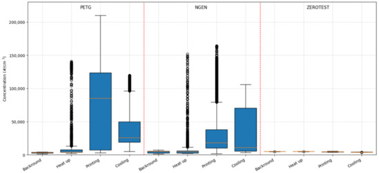
3.1. Particle Number Concentrations of UFPs
3.2. Thermal Analysis
3.3. Determination of the Total Amount of VOC
3.4. Qualitative GC-MS Analysis
4. Discussion
5. Conclusions
Supplementary Materials
Author Contributions
Funding
Institutional Review Board Statement
Informed Consent Statement
Data Availability Statement
Acknowledgments
Conflicts of Interest
References
- Stabile, L.; Scungio, M.; Buonanno, G.; Arpino, F.; Ficco, G. Airborne particle emission of a commercial 3D printer: The effect of filament material and printing temperature. Indoor Air 2017, 27, 398–408. [Google Scholar] [CrossRef]
- Byrley, P.; George, B.J.; Boyes, W.K.; Rogers, K. Particle emissions from fused deposition modeling 3D printers: Evaluation and meta-analysis. Sci. Total Environ. 2019, 655, 395–407. [Google Scholar] [CrossRef]
- Stephens, B.; Azimi, P.; Orch, Z.E.; Ramos, T. Ultrafine particle emissions from desktop 3D printers. Atmos. Environ. 2013, 79, 334–339. [Google Scholar] [CrossRef]
- Kim, Y.; Yoon, C.; Ham, S.; Park, J.; Kim, S.; Kwon, O.; Tsai, P.-J. Emissions of nanoparticles and gaseous material from 3D printer operation. Environ. Sci. Technol. 2015, 49, 12044–12053. [Google Scholar] [CrossRef]
- Deng, Y.; Cao, S.J.; Chen, A.; Guo, Y. The impact of manufacturing parameters on submicron particle emissions from a desktop 3D printer in the perspective of emission reduction. Build. Environ. 2016, 104, 311–319. [Google Scholar] [CrossRef]
- Azimi, P.; Yhao, D.; Pouzet, C.; Crain, N.E.; Stephens, B. Emissions of ultrafine particles and volatile organic compounds from commercially available desktop three-dimensional printers with multiple filaments. Environ. Sci. Technol. 2016, 50, 1260–1268. [Google Scholar] [CrossRef]
- Yi, J.; LeBouf, R.F.; Duling, M.G.; Nurkiewicz, T.; Chen, B.T.; Schwegler-Berry, D.; Virji, M.A.; Stefaniak, A.B. Emission of pafrticulate matter from a desktop three-dimensional (3D) printer. J. Toxicol. Environ. Health Part A 2016, 79, 453–465. [Google Scholar] [CrossRef]
- Azimi, P.; Fazli, T.; Stephens, B. Predicting Concentrations of Ultrafine Particles and Volatile Organic Compounds Resulting from Desktop 3D Printer Operation and the Impact of Potential Control Strategies. J. Ind. Ecol. 2017, 21, 107–119. [Google Scholar] [CrossRef]
- Stefaniak, A.B.; LeBouf, R.F.; Yi, J.; Ham, J.; Nurkewicz, T.; Schwegler-Berry, D.E.; Chen, B.T.; Wells, J.R.; Duling, M.G.; Lawrence, R.B.; et al. Characterization of chemical contaminants generated by a desktop fused deposition modeling 3-dimensional Printer. J. Occup. Environ. Hyg. 2017, 14, 540–550. [Google Scholar] [CrossRef]
- Zhang, Q.; Wong, J.P.S.; Davis, A.Y.; Black, M.S.; Weber, R.J. Characterization of particle emissions from consumer fused deposition modeling 3D printers. Aerosol Sci. Technol. 2017, 51, 1275–1286. [Google Scholar] [CrossRef]
- Gu, J.; Wensing, M.; Uhde, E.; Salthammer, T. Characterization of particulate and gaseous pollutants emitted during operation of a desktop 3D printer. Environ. Int. 2019, 123, 476–485. [Google Scholar] [CrossRef]
- Pinheiro, N.D.; Freire, R.T.; Conrado, J.A.M.; Batista, A.D.; Da Silveira Petruci, A.D. Paper-based optoelectronic nose for identification of indoor air pollution caused by 3D printing thermoplastic filaments. Anal. Chim. Acta 2021. [Google Scholar] [CrossRef]
- Davis, A.Y.; Zhang, Q.; Wong, J.P.S.; Weber, R.J.; Black, M.S. Characterization of volatile organic compound emissions from consumer level material extrusion 3D printers. Build. Environ. 2019, 160, 106209. [Google Scholar] [CrossRef]
- Zhou, Y.; Kong, X.; Chen, A.; Cao, S. Investigation of ultrafine particle emissions of desktop 3D printers in the clean room. Procedia Eng. 2015, 121, 506–512. [Google Scholar] [CrossRef]
- Wujtyla, S.; Klama, P.; Spiewak, K.; Baran, T. 3D printer as a potential source of indoor air pollution. Int. J. Environ. Sci. Technol. 2019, 17, 1–12. [Google Scholar]
- Afshar-Mohajer, N.; Wu, C.Y.; Ladun, T.; Rajon, D.A.; Huang, Y. Characterization of particulate matters and total VOC emissions from a binder jetting 3D printer. Build. Environ. 2015, 93, 293–301. [Google Scholar] [CrossRef]
- Giannopoulos, A.; Mitsouras, D.; Yoo, S.; Liu, P.P.; Chatzizisis, Y.S.; Rybicki, F.J. Applications of 3D printing in cardiovascular diseases. Nat. Rev. Cardiol. 2016, 13, 701–718. [Google Scholar] [CrossRef]
- Chan, F.; Rajaram, N.; House, R.; Kudla, I.; Lipszyc, J.; Tarlo, S.M. Potential respiratory effects from 3-D printing. In B58. Occupational Lung Disease: Case Studies, Epidemiology, and Mechanisms; American Thoracic Society: New York, NY, USA, 2017; p. A3861. [Google Scholar]
- House, R.; Rajaram, N.; Tarlo, S.M. Case report of asthma associated with 3d printing. Occup. Med. 2017, 67, 652–654. [Google Scholar] [CrossRef]
- Stefaniak, A.B.; Johnson, A.R.; Preez, S.D.; Hammond, D.R.; Wells, J.R.; Ham, J.E.; LeBouf, R.F.; Martin, S.B., Jr.; Duling, M.G.; Bowers, L.N.; et al. Insights into Emissions and Exposures from Use of Industrial-Scale Additive Manufacturing Machines. Saf. Health Work 2019, 10, 229–236. [Google Scholar] [CrossRef]
- AIRWOLF3D, 3D Printing with PETG: Tips and Tricks. Available online: https://airwolf3d.com/2015/12/05/3d-printing-with-petg-tips-and-tricks/ (accessed on 11 January 2021).
- Prusa Knowledge Base. Available online: https://help.prusa3d.com/en/article/ngen_167174 (accessed on 11 January 2021).
- Why nGen. In: ColorFabb: Why nGen. Available online: https://3dprintingforbeginners.com/colorfabb-ngen-review/ (accessed on 11 January 2021).
- Jankovic, J.T.; Hall, M.A.; Zontek, T.L.; Hollenbeck, S.M.; Ogle, B.R. Particle loss in a scanning mobility particle analyzer sampling extension tube. Int. J. Occup. Environ. Health 2010, 16, 429–433. [Google Scholar] [CrossRef]
- Wallace, L.A.; Ott, W.R.; Weschler, C.J. Ultrafine particles from electric appliances and cooking pans: Experiments suggesting desorption/nucleation of sorbed organics as the primary source. Indoor Air 2015, 25, 536–546. [Google Scholar] [CrossRef]
- ANSI. ANSI/CAN/UL 2904, Standard Method for Testing and Assessing Particle and Chemical Emissions from 3D Printers; American National Standards Institute: Washington, DC, USA, 2019. [Google Scholar]
- Steinle, P. Characterization of emissions from a desktop 3D printer and indoor air measurements in office settings. J. Occup. Environ. Hyg. 2016, 13, 121–132. [Google Scholar] [CrossRef]
- Mendes, L.; Kangas, A.; Kukko, K.; Mølgaard, B.; Säämänen, A.; Kanerva, T.; Flores Ituarte, I.; Huhtiniemi, M.; Stockmann-Juvala, H.; Partanen, J.; et al. Characterization of Emissions from a Desktop 3D Printer. J. Ind. Ecol. 2017, 21, 94–106. [Google Scholar] [CrossRef]
- International Agency for Research on Cancer (IARC, 2019): Website; List of Classifications–Ethylbenzene. Available online: https://monographs.iarc.fr/list-of-classifications/ (accessed on 11 January 2021).
- World Health Organization Regional Office for Europe. WHO Guidelines for Indoor Air Quality: Selected Pollutants WHO Guidelines for Indoor Air Quality 2010; World Health Organization Regional Office for Europe: Bonn, Germany, 2010. [Google Scholar]









| Filament Properties | NGEN | PETG | PLA | ABS |
|---|---|---|---|---|
| Glass temperature (°C) | 85 | 75 | 50 | 100 |
| Toughness | ++ | +++ | – | +++ |
| Printing temperature (°C) | 220–240 | 240–260 | 190–220 | 250–260 |
| Printability | +++ | ++ | +++ | + |
| Odour neutral (during printing) | +++ | ++ | + | – |
| Stability during printing | +++ | ++ | + | + |
| Surface clarity | +++ | ++ | + | – |
| Material | Printing Temperature of the Nozzle/Sample Plate (°C) | Filament Length/Weight (m)/(g) | Printing Time (min) | Printing Speed/Layer Height (mm·s−1)/(mm) |
|---|---|---|---|---|
| “Zero test” | 245/95 | No filament | 70 | 16/0.16 |
| PETG | 255/90 | 9.839/30.266 | 60 | 16/0.16 |
| NGEN | 230/95 | 11.62/34.799 | 82 | 16/0.16 |
| Compound | Temperature | |||||||||||
|---|---|---|---|---|---|---|---|---|---|---|---|---|
| 220 °C | 230 °C | 240 °C | 250 °C | 260 °C | 270 °C | |||||||
| Benzene | YES | YES | YES | YES | YES | YES | YES | |||||
| Heptane | YES | YES | ||||||||||
| Toluene | YES | YES | YES | YES | YES | YES | YES | YES | YES | YES | YES | YES |
| 1-Octanol | YES | YES | YES | YES | YES | YES | ||||||
| Ethylbenzene | YES | YES | YES | YES | YES | YES | YES | YES | YES | YES | YES | YES |
| Xylene | YES | YES | YES | YES | YES | YES | YES | YES | YES | YES | YES | YES |
| Styrene | YES | YES | YES | YES | ||||||||
| Propylbenzene | YES | YES | YES | |||||||||
| 1,3,5-Trimethylbenzene | YES | YES | YES | YES | YES | YES | YES | YES | YES | |||
| 1,2,4-Trimethylbenzene | YES | YES | YES | YES | YES | YES | YES | YES | YES | YES | YES | |
| Phenol | YES | YES | YES | |||||||||
| Cyclotrisiloxane, hexamethyl- | YES | YES | ||||||||||
| Cyclotetrasiloxane, octamethyl- | YES | YES | YES | YES | YES | YES | ||||||
| 2-Propyl-1-pentanol | YES | YES | YES | YES | YES | YES | YES | YES | YES | |||
| Nonanal | YES | YES | YES | YES | YES | YES | YES | YES | YES | YES | YES | YES |
| Benzene, 1-ethyl-2,4-dimethyl- | YES | YES | YES | YES | YES | YES | YES | YES | YES | YES | YES | |
| Decamethylcyclopentasiloxane | YES | |||||||||||
| Naphthalene | YES | YES | YES | YES | YES | YES | YES | YES | YES | YES | YES | YES |
| Decanal | YES | YES | YES | YES | YES | YES | YES | YES | YES | YES | YES | YES |
Publisher’s Note: MDPI stays neutral with regard to jurisdictional claims in published maps and institutional affiliations. |
© 2021 by the authors. Licensee MDPI, Basel, Switzerland. This article is an open access article distributed under the terms and conditions of the Creative Commons Attribution (CC BY) license (http://creativecommons.org/licenses/by/4.0/).
Share and Cite
Bernatikova, S.; Dudacek, A.; Prichystalova, R.; Klecka, V.; Kocurkova, L. Characterization of Ultrafine Particles and VOCs Emitted from a 3D Printer. Int. J. Environ. Res. Public Health 2021, 18, 929. https://doi.org/10.3390/ijerph18030929
Bernatikova S, Dudacek A, Prichystalova R, Klecka V, Kocurkova L. Characterization of Ultrafine Particles and VOCs Emitted from a 3D Printer. International Journal of Environmental Research and Public Health. 2021; 18(3):929. https://doi.org/10.3390/ijerph18030929
Chicago/Turabian StyleBernatikova, Sarka, Ales Dudacek, Radka Prichystalova, Vit Klecka, and Lucie Kocurkova. 2021. "Characterization of Ultrafine Particles and VOCs Emitted from a 3D Printer" International Journal of Environmental Research and Public Health 18, no. 3: 929. https://doi.org/10.3390/ijerph18030929
APA StyleBernatikova, S., Dudacek, A., Prichystalova, R., Klecka, V., & Kocurkova, L. (2021). Characterization of Ultrafine Particles and VOCs Emitted from a 3D Printer. International Journal of Environmental Research and Public Health, 18(3), 929. https://doi.org/10.3390/ijerph18030929

