Predicting the Water Rebound Effect in China under the Shared Socioeconomic Pathways
Abstract
1. Introduction
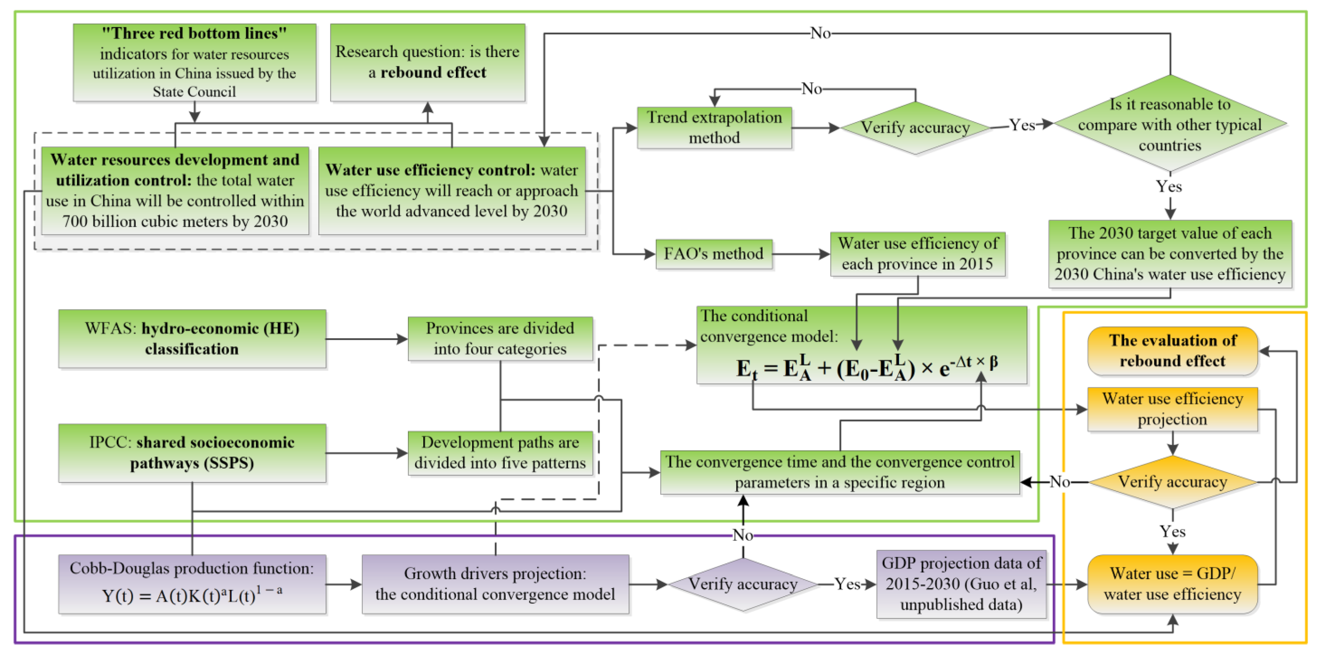
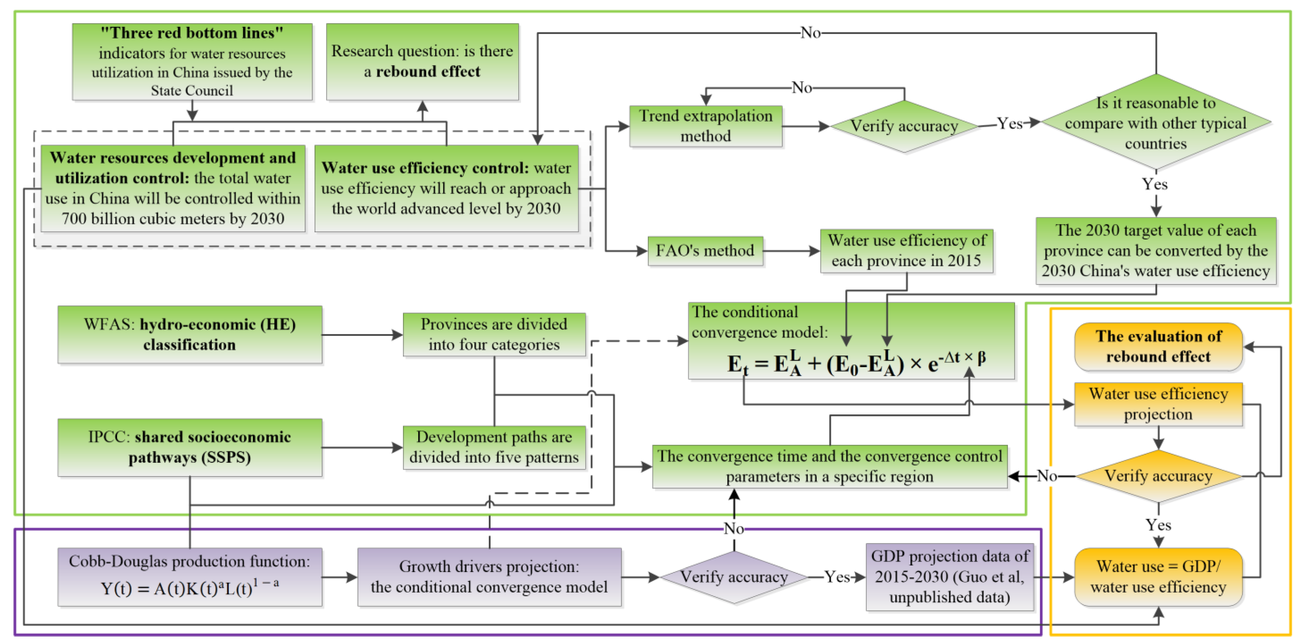
2. Materials and Methods
2.1. The Calculation Method for the Water Use Efficiency in China’s Provinces during the Historical Period
- WUE = water use efficiency (USD/m3);
- = irrigated agriculture water use efficiency (USD/m3);
- = industrial water use efficiency (USD/m3);
- = services water use efficiency (USD/m3);
- = proportion of water used by the agricultural sector over the total use;
- = proportion of water used by the industrial sector over the total use;
- = proportion of water used by the service sector over the total use.
- = gross value added by agriculture (USD);
- = proportion of agricultural GVA produced by rainfed agriculture (%);
- = volume of water used by the agricultural sector (m3).
- = proportion of irrigated land on the total cropland, in decimals.
- = gross value added by industrial (USD);
- = volume of water used by industrial (m3);
- = gross value added by services (USD);
- = volume of water used by the service sector (m3).
2.2. Estimation and Verification Method of China’s Water Use Efficiency Target Value in 2030
2.3. The Conditional Convergence Model Method for Simulating the Evolution of Water Use Efficiency
- = water use efficiency in convergence time t (years);
- = water use efficiency for medium- to long-term (2030) targets;
- = initial (2015) water use efficiency in a region;
- = time to convergence;
- = the convergence control parameters in a specific region.
2.4. The SSPs-HE Framework Parameter Setting Method that Combines Regional Characteristics and Different Pathway Scenarios
2.5. Total Water Use Accounting
- = water use in year t of region i;
- = GDP in year t of region i, (GDP data comes from the research team [51]);
- = water use efficiency in year t of region i.
2.6. Data Sources
3. Simulation and Results Analysis
3.1. Forecast of China’s Water Use Efficiency Target Value in 2030
3.2. Model Parameter Setting of the SSPs-HE Method
3.3. Verification of the Data Accuracy of the Total Water Use Forecast
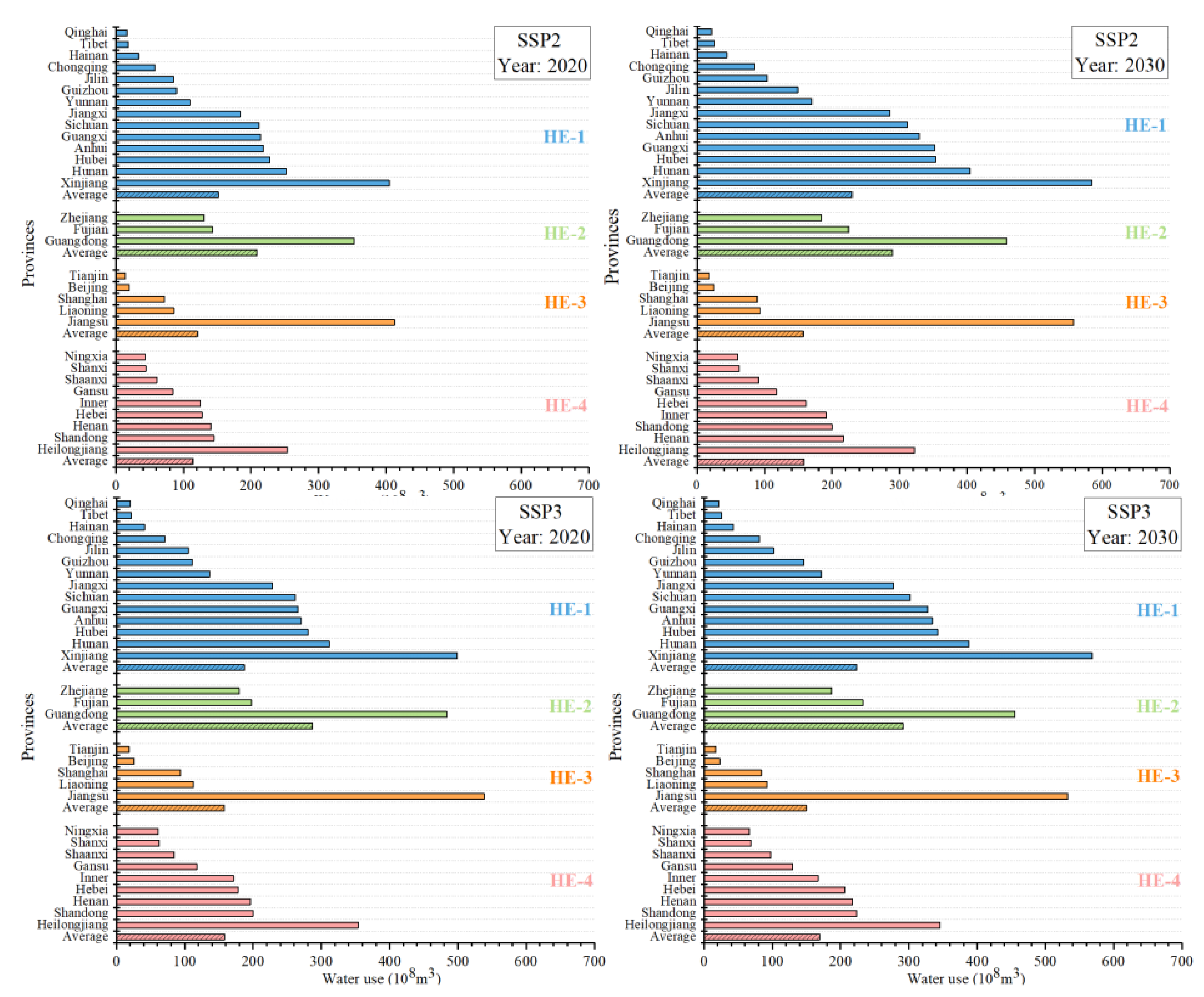
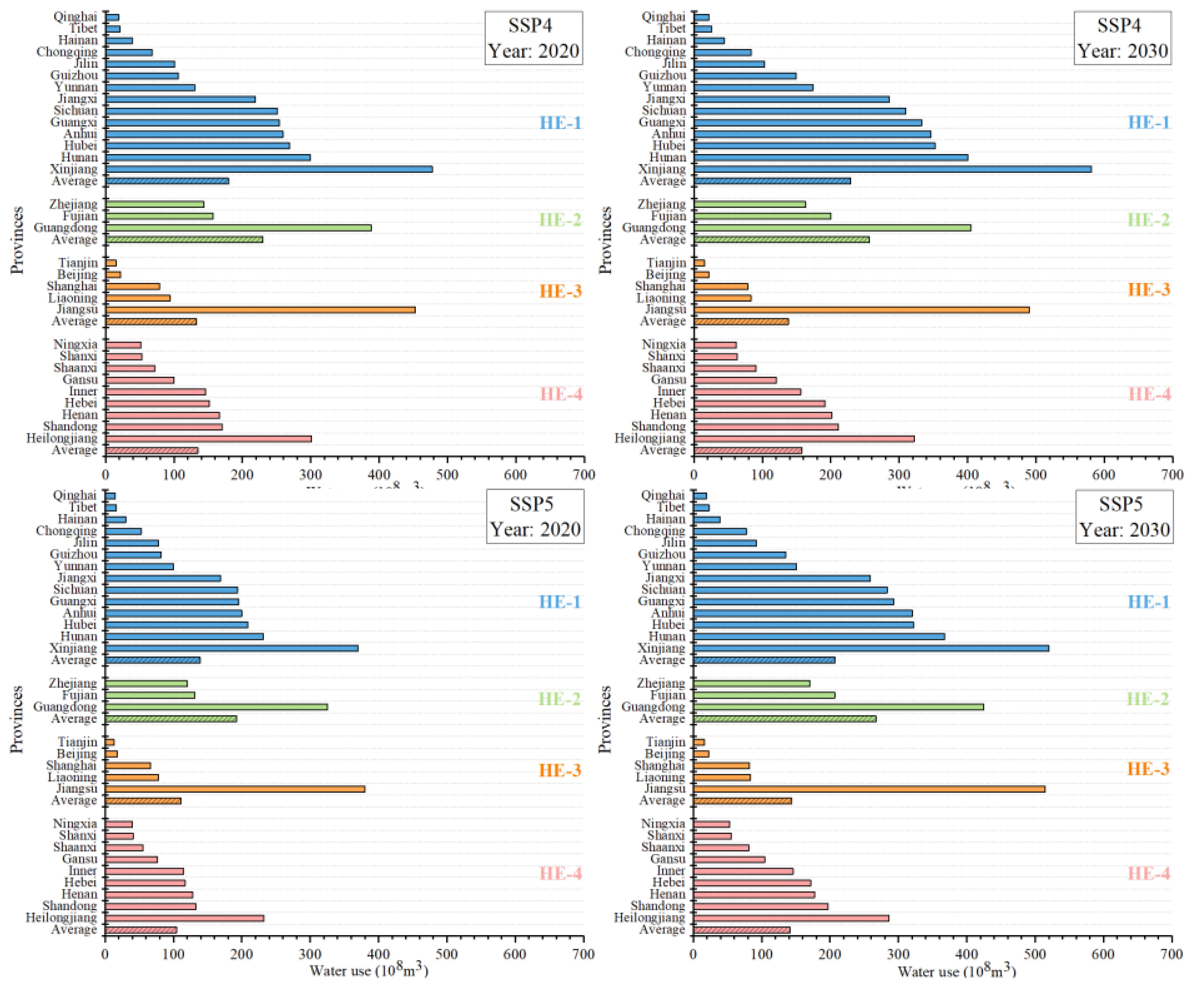
3.4. Analysis of the Water Use Efficiency and Total Water Use Forecast Results
3.5. Analysis of the Rebound Effect
3.6. Defect Discussion
4. Conclusions and Suggestions
Author Contributions
Funding
Institutional Review Board Statement
Informed Consent Statement
Data Availability Statement
Conflicts of Interest
References
- Song, J.; Guo, Y.; Wu, P.; Sun, S. The Agricultural Water Rebound Effect in China. Ecol. Econ. 2018, 146, 497–506. [Google Scholar] [CrossRef]
- Jevons, W.S. The Coal Question, 2nd ed.; Macmillan and Company: London, UK, 1866. [Google Scholar]
- Binswanger, M. Technological progress and sustainable development: What about the rebound effect? Ecol. Econ. 2001, 36, 119–132. [Google Scholar] [CrossRef]
- Sorrell, S.; Dimitropoulos, J. The rebound effect: Microeconomic definitions, limitations and extensions. Ecol. Econ. 2008, 65, 636–649. [Google Scholar] [CrossRef]
- Berbel, J.; Gutiérrez-Martín, C.; Rodríguez-Díaz, J.A.; Camacho, E.; Montesinos, P. Literature Review on Rebound Effect of Water Saving Measures and Analysis of a Spanish Case Study. Water Resour. Manag. 2015, 29, 663–678. [Google Scholar] [CrossRef]
- Berbel, J.; Mateos, L. Does investment in irrigation technology necessarily generate rebound effects? A simulation analysis based on an agro-economic model. Agric. Syst. 2014, 128, 25–34. [Google Scholar] [CrossRef]
- Ward, F.A.; Pulido-Velazquez, M. Water conservation in irrigation can increase water use. Proc. Natl. Acad. Sci. USA 2008, 105, 18215. [Google Scholar] [CrossRef] [PubMed]
- Loch, A.; Adamson, D. Drought and the rebound effect: A Murray–Darling Basin example. Nat. Hazards 2015, 79, 1429–1449. [Google Scholar] [CrossRef]
- Polimeni, J.M.; Polimeni, R.I. Jevons’ Paradox and the myth of technological liberation. Ecol. Complex. 2006, 3, 344–353. [Google Scholar] [CrossRef]
- Zhang, H.; Chen, H.; Wu, M.; Jin, W.; Mao, G.; Long, R. Dynamic Evaluation and Internal Driving Factors of Water Resources Green Efficiency in China. Water 2020, 12, 2360. [Google Scholar] [CrossRef]
- Zhou, F.; Bo, Y.; Ciais, P.; Dumas, P.; Tang, Q.; Wang, X.; Liu, J.; Zheng, C.; Polcher, J.; Yin, Z.; et al. Deceleration of China’s human water use and its key drivers. Proc. Natl. Acad. Sci. USA 2020, 117, 7702–7711. [Google Scholar] [CrossRef]
- Ye, J. Land Transfer and the Pursuit of Agricultural Modernization in China: Land Transfer and Agricultural Modernization in China. J. Agrar. Chang. 2015, 15. [Google Scholar] [CrossRef]
- Grafton, R.; Williams, J.; Perry, C.J.; Molle, F.; Ringler, C.; Steduto, P.; Udall, B.; Wheeler, S.; Wang, Y.; Garrick, D.; et al. The paradox of irrigation efficiency. Science 2018, 361, 748–750. [Google Scholar] [CrossRef] [PubMed]
- Perry, C.J.; Steduto, P. Does Improved Irrigation Technology Save Water? A Review of the Evidence; Food and Agriculture Organization of the United Nations: Cairo, Egypt, 2017. [Google Scholar]
- Bai, X.; Shi, P.; Liu, Y. Realizing China′s Urban dream. Nature 2014, 509, 158–160. [Google Scholar] [CrossRef] [PubMed]
- Fan, L.; Liu, G.; Wang, F.; Geissen, V.; Ritsema, C.J. Factors Affecting Domestic Water Consumption in Rural Households upon Access to Improved Water Supply: Insights from the Wei River Basin, China. PLoS ONE 2013. [Google Scholar] [CrossRef] [PubMed]
- Malakar, K.; Mishra, T. Application of Gini, Theil and Concentration indices for assessing water use inequality. Int. J. Soc. Econ. 2017, 44, 1335–1347. [Google Scholar] [CrossRef]
- O’Neill, B.C.; Kriegler, E.; Ebi, K.L.; Kemp-Benedict, E.; Riahi, K.; Rothman, D.S.; van Ruijven, B.J.; van Vuuren, D.P.; Birkmann, J.; Kok, K.; et al. The roads ahead: Narratives for shared socioeconomic pathways describing world futures in the 21st century. Glob. Environ. Chang. 2017, 42, 169–180. [Google Scholar] [CrossRef]
- O’Neill, B.C.; Kriegler, E.; Riahi, K.; Ebi, K.L.; Hallegatte, S.; Carter, T.R.; Mathur, R.; van Vuuren, D.P. A new scenario framework for climate change research: The concept of shared socioeconomic pathways. Clim. Chang. 2014, 122, 387–400. [Google Scholar] [CrossRef]
- Kriegler, E.; O’Neill, B.C.; Hallegatte, S.; Kram, T.; Lempert, R.J.; Moss, R.H.; Wilbanks, T. The need for and use of socio-economic scenarios for climate change analysis: A new approach based on shared socio-economic pathways. Glob. Environ. Chang. 2012, 22, 807–822. [Google Scholar] [CrossRef]
- Guo, A.; Jiang, D.; Zhong, F.; Ding, X.; Song, X.; Cheng, Q.; Zhang, Y.; Huang, C. Prediction of Technological Change under Shared Socioeconomic Pathways and Regional Differences: A Case Study of Irrigation Water Use Efficiency Changes in Chinese Provinces. Sustainability 2019, 11, 7103. [Google Scholar] [CrossRef]
- Weng, Y.; Cai, W.; Wang, C. The application and future directions of the Shared Socioeconomic Pathways(SSPs). Clim. Chang. Res. 2020, 16, 215–222. (In Chinese) [Google Scholar] [CrossRef]
- Bauer, N.; Calvin, K.; Emmerling, J.; Fricko, O.; Fujimori, S.; Hilaire, J.; Eom, J.; Krey, V.; Kriegler, E.; Mouratiadou, I.; et al. Shared Socio-Economic Pathways of the Energy Sector—Quantifying the Narratives. Glob. Environ. Chang. 2017, 42, 316–330. [Google Scholar] [CrossRef]
- Hanasaki, N.; Fujimori, S.; Yamamoto, T.; Yoshikawa, S.; Masaki, Y.; Hijioka, Y.; Kainuma, M.; Kanamori, Y.; Masui, T.; Takahashi, K.; et al. A global water scarcity assessment under Shared Socio-economic Pathways—Part 1: Water use. Hydrol. Earth Syst. Sci. 2013, 17, 2375–2391. [Google Scholar] [CrossRef]
- Tamura, M.; Kumano, N.; Yotsukuri, M.; Yokoki, H. Global assessment of the effectiveness of adaptation in coastal areas based on RCP/SSP scenarios. Clim. Chang. 2019, 152, 363–377. [Google Scholar] [CrossRef]
- Yin, Y.; Tang, Q.; Liu, X.; Zhang, X. Water scarcity under various socio-economic pathways and its potential effects on food production in the Yellow River basin. Hydrol. Earth Syst. Sci. 2017, 21, 791–804. [Google Scholar] [CrossRef]
- Liu, L.; Jiang, T.; Xu, H.; Wang, Y. Potential Threats from Variations of Hydrological Parameters to the Yellow River and Pearl River Basins in China over the Next 30 Years. Water 2018, 10, 883. [Google Scholar] [CrossRef]
- Su, B.; Huang, J.; Fischer, T.; Wang, Y.; Kundzewicz, Z.W.; Zhai, J.; Sun, H.; Wang, A.; Zeng, X.; Wang, G.; et al. Drought losses in China might double between the 1.5 °C and 2.0 °C warming. Proc. Natl. Acad. Sci. USA 2018, 115, 10600–10605. [Google Scholar] [CrossRef] [PubMed]
- Jie, C.; Liu, Y.; Pan, T.; Liu, Y.; Sun, F.; Ge, Q. Population exposure to droughts in China under 1.5 °C global warming target. Earth Syst. Dyn. Discuss. 2017, 1–13. [Google Scholar] [CrossRef]
- Tong, J.; Jing, Z.; Cheng, J.; Lige, C.; Yanjun, W.; Hemin, S.; Anqian, W.; Jinlong, H.; Buda, S.; Run, W. National and Provincial Population Projected to 2100 under the Shared Socioeconomic Pathways in China. Clim. Chang. Res. 2017, 13, 128–137. (In Chinese) [Google Scholar] [CrossRef]
- Guo, A.; Ding, X.; Zhong, F.; Cheng, Q.; Huang, C. Predicting the Future Chinese Population using Shared Socioeconomic Pathways, the Sixth National Population Census, and a PDE Model. Sustainability 2019, 11, 3686. [Google Scholar] [CrossRef]
- Tong, J.; Jing, Z.; Lige, C.; Yanjun, W.; Buda, S.; Cheng, J.; Run, W.; Chao, G. Projection of national and provincial economy under the Shared Socioeconomic Pathways in China. Clim. Chang. Res. 2018, 14, 50–58. (In Chinese) [Google Scholar] [CrossRef]
- Xiaojiang, D.; Fanglei, Z.; Jinhuang, M.; Xiaoyu, S.; Chunlin, H. Provincial urbanization projected to 2050 under the shared socioeconomic pathways in China. Clim. Chang. Res. 2018, 14, 392–401. (In Chinese) [Google Scholar] [CrossRef]
- Dong, N.; You, L.; Cai, W.; Li, G.; Lin, H. Land use projections in China under global socioeconomic and emission scenarios: Utilizing a scenario-based land-use change assessment framework. Glob. Environ. Chang. 2018, 50, 164–177. [Google Scholar] [CrossRef]
- Zhang, X.; Ermolieva, T.; Balkovic, J.; Mosnier, A.; Kraxner, F.; Liu, J. Recursive cross-entropy downscaling model for spatially explicit future land uses: A case study of the Heihe River Basin. Phys. Chem. Earth Parts A/B/C 2015, 89–90, 56–64. [Google Scholar] [CrossRef]
- Wada, Y.; Flörke, M.; Hanasaki, N.; Eisner, S.; Fischer, G.; Tramberend, S.; Satoh, Y.; van Vliet, M.T.H.; Yillia, P.; Ringler, C.; et al. Modeling global water use for the 21st century: The Water Futures and Solutions (WFaS) initiative and its approaches. Geosci. Model Dev. 2016, 9, 175–222. [Google Scholar] [CrossRef]
- Burek, P.; Satoh, Y.; Wada, Y.; Floerke, M.; Eisner, S.; Hanasaki, N.; Wiberg, D. Looking at the spatial and temporal distribution of global water availability and demand. In Proceedings of the Egu General Assembly Conference, Vienna, Austria, 17–22 April 2016. [Google Scholar]
- Satoh, Y.; Kahil, T.; Byers, E.; Burek, P.; Fischer, G.; Tramberend, S.; Greve, P.; Flörke, M.; Eisner, S.; Hanasaki, N.; et al. Multi-model and multi-scenario assessments of Asian water futures: The Water Futures and Solutions (WFaS) initiative. Earth’s Future 2017, 5, 823–852. [Google Scholar] [CrossRef]
- Fischer, G.; Hizsnyik, E.; Tramberend, S.; Wiberg, D. Towards Indicators for Water Security—A Global Hydro-Economic Classification of Water Challenges; IIASA: Laxenburg, Austria, 2015. [Google Scholar]
- Xuezhen, Z.; Jingyun, Z.; Zhixin, H. Climate change assessments for the main economic zones of China during recent decades. Prog. Geogr. 2020, 39, 1609–1618. (In Chinese) [Google Scholar] [CrossRef]
- Yangbin, L.; Junping, L. Prospects for development of water-saving irrigation equipment and technology in China. J. Drain. Irrig. Mach. Eng. 2020, 38, 738–742. (In Chinese) [Google Scholar] [CrossRef]
- Food and Agriculture Organization of the United Nations. GEMI—Integrated Monitoring Initiative for SDG 6, Step-by-Step Monitoring Methodology for SDG Indicator 6.4.1. Available online: http://www.fao.org/3/ca8484en/ca8484en.pdf (accessed on 8 October 2020).
- SDG Indicator 6.4.1—Change in Water Use Efficiency Over Time. Available online: http://www.fao.org/sustainable-development-goals/indicators/641/en/ (accessed on 8 January 2021).
- Barro, R.J. Convergence and Modernisation. Econ. J. 2015, 125, 911–942. [Google Scholar] [CrossRef]
- Barro, R.J.; Sala-i-Martin, X. Economic Growth, 2nd ed.; The MIT Press: Cambridge, MA, USA, 2004. [Google Scholar]
- Coe, D.T.; Helpman, E.; Hoffmaister, A.W. North-South R&D Spillovers. Econ. J. 1997, 107, 134–149. [Google Scholar] [CrossRef]
- Romer, P.M. Crazy Explanations for Productivity Slowdown. NBER Macroecon. Annu. 1987, 1. [Google Scholar] [CrossRef]
- Dellink, R.; Chateau, J.; Lanzi, E.; Magné, B. Long-term economic growth projections in the Shared Socioeconomic Pathways. Glob. Environ. Chang. 2017, 42, 200–214. [Google Scholar] [CrossRef]
- Johansson, Å.; Guillemette, Y.; Murtin, F.; Turner, D.; Nicoletti, G.; Maisonneuve, C.D.L.; Bagnoli, P.; Bousquet, G.; Spinelli, F. Long-Term Growth Scenarios. OECD Econ. Dep. Work. Pap. 2013. [Google Scholar] [CrossRef]
- Leimbach, M.; Kriegler, E.; Roming, N.; Schwanitz, J. Future growth patterns of world regions—A GDP scenario approach. Glob. Environ. Chang. 2017, 42, 215–225. [Google Scholar] [CrossRef]
- Guo, A.; Jiang, D.; Zhong, F.; Yao, W.; Zhang, Y.; Ding, X.; Huang, C. Future growth pattern projections under shared socioeconomic pathways: A municipal city bottom-up aggregated study based on a localised scenario and population projections for China. Econ. Res. Ekon. Istraživanja 2021. (under review). [Google Scholar]
- National Bureau of Statistics. Available online: http://www.stats.gov.cn/ (accessed on 8 October 2020). (In Chinese)
- World Bank. Available online: https://data.worldbank.org.cn/ (accessed on 8 October 2020).
- Huang, Q.; Wang, J.; Li, Y. Do water saving technologies save water? Empirical evidence from North China. J. Environ. Econ. Manag. 2017, 82, 1–16. [Google Scholar] [CrossRef]
- Ying, H.; Shan, Z. Analysis of Influencing Factors of Agricultural Water Use Efficiency in China: Based on Static and Dynamic Space Panel Models. Ecol. Econ. 2020, 36, 124–131. (In Chinese) [Google Scholar]
- Wang, F.; Yu, C.; Xiong, L.; Chang, Y. How can agricultural water use efficiency be promoted in China? A spatial-temporal analysis. Resour. Conserv. Recycl. 2019, 145, 411–418. [Google Scholar] [CrossRef]
- Zhang, Z.; Hu, H.; Tian, F.; Yao, X.; Sivapalan, M. Groundwater dynamics under water-saving irrigation and implications for sustainable water management in an oasis: Tarim River basin of western China. Hydrol. Earth Syst. Sci. 2014, 18, 3951–3967. [Google Scholar] [CrossRef]
- Liu, J.; Zhao, X.; Yang, H.; Liu, Q.; Xiao, H.; Cheng, G. Assessing China’s “developing a water-saving society” policy at a river basin level: A structural decomposition analysis approach. J. Clean. Prod. 2018, 190, 799–808. [Google Scholar] [CrossRef]
- Wang, Y.; Long, A.; Xiang, L.; Deng, X.; Zhang, P.; Hai, Y.; Wang, J.; Li, Y. The verification of Jevons’ paradox of agricultural Water conservation in Tianshan District of China based on Water footprint. Agric. Water Manag. 2020, 239. [Google Scholar] [CrossRef]














| Pathway | Water Use Efficiency Level | Convergence Level | Convergence Speed | Scenario Description |
|---|---|---|---|---|
| SSP1 | High | High | Low |
|
| SSP2 | Medium | Medium | Very fast |
|
| SSP3 | Low | Low | Fast |
|
| SSP4 | Low (developing)/high (developed) | Medium | Medium |
|
| SSP5 | High | High | Very low |
|
| Pathway | Water Use Efficiency | HE-1 | HE-2 | HE-3 | HE-4 |
|---|---|---|---|---|---|
| SSP1 | High | High | High-medium | High-low | High-medium |
| SSP2 | Medium | Medium | Medium | Medium | Medium |
| SSP3 | Low | Low-high | Low | Low-medium | low |
| SSP4 | High (developed), low (developing) | Medium-low | Medium-high | Medium-high | Medium-low |
| SSP5 | High | High | High | High | High |
| Pathway | HE-1 | HE-2 | HE-3 | HE-4 | ||||
|---|---|---|---|---|---|---|---|---|
| Convergence Target (Multiple of Benchmark Target) | Convergence Time (Years) | Convergence Target (Multiple of Benchmark Target) | Convergence Time (Years) | Convergence Target (Multiple of Benchmark Target) | Convergence Time (Years) | Convergence Target (Multiple of Benchmark Target) | Convergence Time (Years) | |
| SSP1 | 1.1 | 15 | 1.1 | 20 | 1.1 | 25 | 1.1 | 20 |
| SSP2 | 1.0 | 15 | 1.0 | 15 | 1.0 | 15 | 1.0 | 15 |
| SSP3 | 0.9 | 30 | 0.9 | 50 | 0.9 | 40 | 0.9 | 50 |
| SSP4 | 1.0 | 30 | 1.1 | 30 | 1.1 | 30 | 1.0 | 30 |
| SSP5 | 1.1 | 15 | 1.1 | 15 | 1.1 | 15 | 1.1 | 15 |
Publisher’s Note: MDPI stays neutral with regard to jurisdictional claims in published maps and institutional affiliations. |
© 2021 by the authors. Licensee MDPI, Basel, Switzerland. This article is an open access article distributed under the terms and conditions of the Creative Commons Attribution (CC BY) license (http://creativecommons.org/licenses/by/4.0/).
Share and Cite
Guo, A.; Zhang, R.; Song, X.; Zhong, F.; Jiang, D.; Song, Y. Predicting the Water Rebound Effect in China under the Shared Socioeconomic Pathways. Int. J. Environ. Res. Public Health 2021, 18, 1326. https://doi.org/10.3390/ijerph18031326
Guo A, Zhang R, Song X, Zhong F, Jiang D, Song Y. Predicting the Water Rebound Effect in China under the Shared Socioeconomic Pathways. International Journal of Environmental Research and Public Health. 2021; 18(3):1326. https://doi.org/10.3390/ijerph18031326
Chicago/Turabian StyleGuo, Aijun, Rong Zhang, Xiaoyu Song, Fanglei Zhong, Daiwei Jiang, and Yuan Song. 2021. "Predicting the Water Rebound Effect in China under the Shared Socioeconomic Pathways" International Journal of Environmental Research and Public Health 18, no. 3: 1326. https://doi.org/10.3390/ijerph18031326
APA StyleGuo, A., Zhang, R., Song, X., Zhong, F., Jiang, D., & Song, Y. (2021). Predicting the Water Rebound Effect in China under the Shared Socioeconomic Pathways. International Journal of Environmental Research and Public Health, 18(3), 1326. https://doi.org/10.3390/ijerph18031326

